Working Memory as the Focus of the Bilingual Effect in Executive Functions
Abstract
1. Introduction
2. Materials and Methods
2.1. Participants
2.2. Materials
2.2.1. Visual Stroop Task
2.2.2. Auditory Stroop Task
2.2.3. Visual N-Back Task
2.2.4. Auditory N-Back Task
2.2.5. Visual Task-Switching Paradigm
2.2.6. Auditory Task-Switching Paradigm
3. Results
3.1. Differences in EFs Between Bilingual and Monolingual Groups
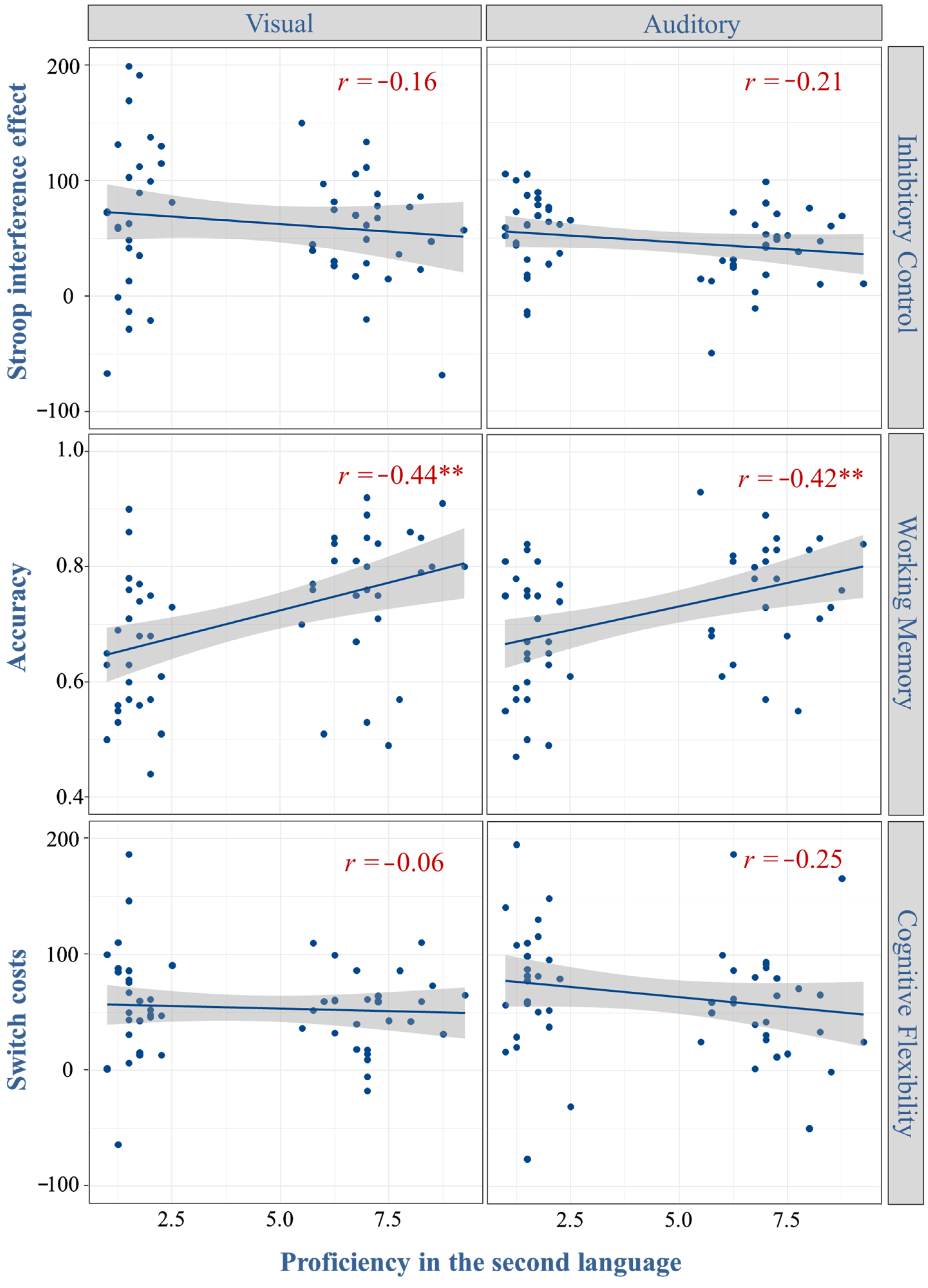
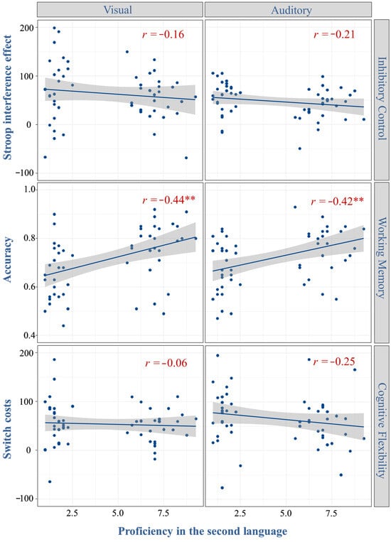
3.2. Correlation Analysis: Bilingualism and Executive Functions
3.3. Multiple Regression Analyses
4. Discussion
4.1. Bilingual Experience Predicts Working Memory
4.2. Weak Relationship Between Bilingual Experience and Inhibitory Control and Cognitive Flexibility
4.3. Limitation
5. Conclusions
Author Contributions
Funding
Institutional Review Board Statement
Informed Consent Statement
Data Availability Statement
Acknowledgments
Conflicts of Interest
References
- Alain, C., Khatamian, Y., He, Y., Lee, Y., Moreno, S., Leung, A. W. S., & Bialystok, E. (2018). Different neural activities support auditory working memory in musicians and bilinguals. Annals of the New York Academy of Sciences, 1423(1), 435–446. [Google Scholar] [CrossRef] [PubMed]
- Anderson, J. A. E., Mak, L., Chahi, A. K., & Bialystok, E. (2018). The language and social background questionnaire: Assessing degree of bilingualism in a diverse population. Behavior Research Methods, 50(1), 250–263. [Google Scholar] [CrossRef] [PubMed]
- Anton, E., Carreiras, M., & Dunabeitia, J. A. (2019). The impact of bilingualism on executive functions and working memory in young adults. PLoS ONE, 14(2), e0206770. [Google Scholar] [CrossRef] [PubMed]
- Antoniou, M. (2019). The advantages of bilingualism debate. Annual Review of Linguistics, 5, 395–415. [Google Scholar] [CrossRef]
- Arthur, W., & Day, D. V. (1994). Development of a short-form for the raven advanced progressive matrices test. Educational and Psychological Measurement, 54(2), 394–403. [Google Scholar] [CrossRef]
- Bialystok, E. (2017). The bilingual adaptation: How minds accommodate experience. Psychological Bulletin, 143(3), 233–262. [Google Scholar] [CrossRef]
- Bialystok, E., Abutalebi, J., Bak, T. H., Burke, D. M., & Kroll, J. F. (2016). Aging in two languages: Implications for public health. Ageing Research Reviews, 27, 56–60. [Google Scholar] [CrossRef]
- Bialystok, E., & Craik, F. I. M. (2022). How does bilingualism modify cognitive function? Attention to the mechanism. Psychonomic Bulletin & Review, 29(4), 1246–1269. [Google Scholar] [CrossRef]
- Bialystok, E., Craik, F. I. M., Klein, R., & Viswanathan, M. (2004). Bilingualism, aging, and cognitive control: Evidence from the simon task. Psychology and Aging, 19(2), 290–303. [Google Scholar] [CrossRef]
- Bialystok, E., Craik, F. I. M., & Luk, G. (2012). Bilingualism: Consequences for mind and brain. Trends in Cognitive Sciences, 16(4), 240–250. [Google Scholar] [CrossRef]
- Bialystok, E., Poarch, G., Luo, L., & Craik, F. I. M. (2014). Effects of bilingualism and aging on executive function and working memory. Psychol Aging, 29(3), 696–705. [Google Scholar] [CrossRef] [PubMed]
- Blumenfeld, H. K., & Marian, V. (2011). Bilingualism influences inhibitory control in auditory comprehension. Cognition, 118(2), 245–257. [Google Scholar] [CrossRef] [PubMed]
- Calvo, A., & Bialystok, E. (2014). Independent effects of bilingualism and socioeconomic status on language ability and executive functioning. Cognition, 130(3), 278–288. [Google Scholar] [CrossRef] [PubMed]
- Chen, J., Scheller, M., Wu, C., Hu, B., Peng, R., Liu, C., Liu, S., Zhu, L., & Chen, J. (2021). The relationship between early musical training and executive functions: Validation of effects of the sensitive period. Psychology of Music, 50(1), 86–99. [Google Scholar] [CrossRef]
- Chen, J., Zhou, Y., & Chen, J. (2020). The relationship between musical training and inhibitory control: An ERPs study. Acta Psychologica Sinica, 52(12), 1365–1376. [Google Scholar] [CrossRef]
- Crescioni, A. W., Ehrlinger, J., Alquist, J. L., Conlon, K. E., Baumeister, R. F., Schatschneider, C., & Dutton, G. R. (2011). High trait self-control predicts positive health behaviors and success in weight loss. Journal of Health Psychology, 16(5), 750–759. [Google Scholar] [CrossRef]
- Degirmenci, M. G., Grossmann, J. A., Meyer, P., & Teichmann, B. (2022). The role of bilingualism in executive functions in healthy older adults: A systematic review. International Journal of Bilingualism, 26(4), 426–449. [Google Scholar] [CrossRef]
- Diamond, A. (2013). Executive functions. Annual Review of Psychology, 64(1), 135–168. [Google Scholar] [CrossRef]
- Diamond, A. (2016). Why improving and assessing executive functions early in life is critical. In Executive function in preschool age children: Integrating measurement, neurodevelopment and translational research. American Psychological Association. [Google Scholar]
- Diamond, A. (2020). Executive functions. Handbook of Clinical Neurology, 173, 225–240. [Google Scholar] [CrossRef]
- Diamond, A., Barnett, W. S., Thomas, J., & Munro, S. (2007). The early years—Preschool program improves cognitive control. Science, 318(5855), 1387–1388. [Google Scholar] [CrossRef]
- Diamond, A., & Lee, K. (2011). Interventions shown to aid executive function development in children 4 to 12 years old. Science, 333(6045), 959–964. [Google Scholar] [CrossRef] [PubMed]
- Diamond, A., & Ling, D. S. (2016). Conclusions about interventions, programs, and approaches for improving executive functions that appear justified and those that, despite much hype, do not. Developmental Cognitive Neuroscience, 18, 34–48. [Google Scholar] [CrossRef] [PubMed]
- Dick, A. S., Garcia, N. L., Pruden, S. M., Thompson, W. K., Hawes, S. W., Sutherland, M. T., Riedel, M. C., Laird, A. R., & Gonzalez, R. (2019). No evidence for a bilingual executive function advantage in the nationally representative ABCD study. Nature Human Behaviour, 3(7), 692–701. [Google Scholar] [CrossRef] [PubMed]
- Dijkstra, T., & Van Heuven, W. J. B. (2002). The architecture of the bilingual word recognition system: From identification to decision. Bilingualism-Language and Cognition, 5(3), 175–197. [Google Scholar] [CrossRef]
- Dijkstra, T., & Van Heuven, W. J. B. (2013). The BIA model and bilingual word recognition. In Localist connectionist approaches to human cognition (pp. 189–225). Psychology Press. [Google Scholar]
- Doebel, S. (2020). Rethinking executive function and its development. Perspectives on Psychological Science, 15(4), 942–956. [Google Scholar] [CrossRef]
- Dong, Y., & Liu, Y. (2016). Classes in translating and interpreting produce differential gains in switching and updating. Frontiers in Psychology, 7, 1297. [Google Scholar] [CrossRef]
- Eakin, L., Minde, K., Hechtman, L., Ochs, E., Krane, E., Bouffard, R., Greenfield, B., & Looper, K. (2004). The marital and family functioning of adults with ADHD and their spouses. Journal of Attention Disorders, 8(1), 1–10. [Google Scholar] [CrossRef]
- Friederici, A. D. (2011). The brain basis of language processing: From structure to function. Physiological Reviews, 91(4), 1357–1392. [Google Scholar] [CrossRef]
- Friedman, N. P., & Miyake, A. (2017). Unity and diversity of executive functions: Individual differences as a window on cognitive structure. Cortex, 86, 186–204. [Google Scholar] [CrossRef]
- Frischen, U., Schwarzer, G., & Dege, F. (2021). Music lessons enhance executive functions in 6-to 7-year-old children. Learning and Instruction, 74, 101442. [Google Scholar] [CrossRef]
- Giguere, D., Dickson, D. J., Tulloch, M. K., & Hoff, E. (2022). Majority language skill, not measures of bilingualism, predicts executive attention in bilingual children. Journal of Experimental Child Psychology, 213, 105256. [Google Scholar] [CrossRef] [PubMed]
- Goodrich, J. M., Koziol, N. A., Yoon, H., & Leiva, S. (2022). Do Spanish-english bilingual children outperform monolingual english-speaking children on executive function tasks in early childhood? A propensity score analysis. Journal of Educational Psychology, 114(4), 870–892. [Google Scholar] [CrossRef]
- Grady, C. L., Luk, G., Craik, F. I. M., & Bialystok, E. (2015). Brain network activity in monolingual and bilingual older adults. Neuropsychologia, 66, 170–181. [Google Scholar] [CrossRef]
- Hackman, D. A., & Farah, M. J. (2009). Socioeconomic status and the developing brain. Trends in Cognitive Sciences, 13(2), 65–73. [Google Scholar] [CrossRef] [PubMed]
- Han, X., Li, W., & Filippi, R. (2022). The effects of habitual code-switching in bilingual language production on cognitive control. Bilingualism-Language and Cognition, 25(5), 869–889. [Google Scholar] [CrossRef]
- Hannaway, N., Opitz, B., & Sauseng, P. (2019). Exploring the bilingual advantage: Manipulations of similarity and second language immersion in a Stroop task. Cognitive Neuroscience, 10(1), 1–12. [Google Scholar] [CrossRef]
- Hargreaves, D. J., & Aksentijevic, A. (2011). Music, IQ, and the executive function. British Journal of Psychology, 102(3), 306–308. [Google Scholar] [CrossRef]
- Hayakawa, S., & Marian, V. (2019). Consequences of multilingualism for neural architecture. Behavioral and Brain Functions, 15, 6. [Google Scholar] [CrossRef]
- Hilchey, M. D., & Klein, R. M. (2011). Are there bilingual advantages on nonlinguistic interference tasks? Implications for the plasticity of executive control processes. Psychonomic Bulletin & Review, 18(4), 625–658. [Google Scholar] [CrossRef]
- Huang, S., Seidman, L. J., Rossi, S., & Ahveninen, J. (2013). Distinct cortical networks activated by auditory attention and working memory load. NeuroImage, 83, 1098–1108. [Google Scholar] [CrossRef]
- Keijzer, M. (2013). Working memory capacity, inhibitory control and the role of l2 proficiency in aging L1 dutch speakers of near-native L2 english. Brain Sciences, 3(3), 1261–1281. [Google Scholar] [CrossRef] [PubMed]
- Lehtonen, M., Soveri, A., Laine, A., Jarvenpaa, J., de Bruin, A., & Antfolk, J. (2018). Is bilingualism associated with enhanced executive functioning in adults? A meta-analytic review. Psychological Bulletin, 144(4), 394–425. [Google Scholar] [CrossRef] [PubMed]
- Li, P., Legault, J., & Litcofsky, K. A. (2014). Neuroplasticity as a function of second language learning: Anatomical changes in the human brain. Cortex, 58, 301–324. [Google Scholar] [CrossRef] [PubMed]
- Lopez Zunini, R. A., Morrison, C., Kousaie, S., & Taler, V. (2019). Task switching and bilingualism in young and older adults: A behavioral and electrophysiological investigation. Neuropsychologia, 133, 107186. [Google Scholar] [CrossRef]
- Ma, X., Ma, X., Li, P., & Liu, Y. (2020). Differences in working memory with emotional distraction between proficient and non-proficient bilinguals. Frontiers in Psychology, 11, 1414. [Google Scholar] [CrossRef]
- MacDonald, M. C., & Christiansen, M. H. (2002). Reassessing working memory: Comment on just and carpenter (1992) and waters and caplan (1996). Psychological Review, 109(1), 35–54; discussion 55–74. [Google Scholar] [CrossRef]
- Miyake, A., & Friedman, N. P. (2012). The nature and organization of individual differences in executive functions: Four general conclusions. Current Directions in Psychological Science, 21(1), 8–14. [Google Scholar] [CrossRef]
- Miyake, A., Friedman, N. P., Emerson, M. J., Witzki, A. H., Howerter, A., & Wager, T. D. (2000). The unity and diversity of executive functions and their contributions to complex “Frontal Lobe” tasks: A latent variable analysis. Cognitive Psychology, 41(1), 49–100. [Google Scholar] [CrossRef]
- Monnier, C., Boiche, J., Armandon, P., Baudoin, S., & Bellocchi, S. (2021). Is bilingualism associated with better working memory capacity? A meta-analysis. International Journal of Bilingual Education and Bilingualism, 25(6), 2229–2255. [Google Scholar] [CrossRef]
- Morton, J. B., & Harper, S. N. (2007). What did Simon say? Revisiting the bilingual advantage. Developmental Science, 10(6), 719–726. [Google Scholar] [CrossRef]
- Nancy, G., Bryson, S. E., & Smith, I. M. (2008). Executive function in preschoolers: A review using an integrative framework. Psychological Bulletin, 134(1), 31–60. [Google Scholar] [CrossRef]
- Olulade, O. A., Jamal, N. I., Koo, D. S., Perfetti, C. A., LaSasso, C., & Eden, G. F. (2016). Neuroanatomical evidence in support of the bilingual advantage theory. Cerebral Cortex, 26(7), 3196–3204. [Google Scholar] [CrossRef] [PubMed]
- Paap, K. R., Johnson, H. A., & Sawi, O. (2015). Bilingual advantages in executive functioning either do not exist or are restricted to very specific and undetermined circumstances. Cortex, 69, 265–278. [Google Scholar] [CrossRef] [PubMed]
- Privitera, A. J., Momenian, M., & Weekes, B. (2022). Task-specific bilingual effects in Mandarin-English speaking high school students in China. Current Research in Behavioral Sciences, 3, 100066. [Google Scholar] [CrossRef]
- Privitera, A. J., Momenian, M., & Weekes, B. (2023). Graded bilingual effects on attentional network function in Chinese high school students. Bilingualism-Language and Cognition, 26(3), 527–537. [Google Scholar] [CrossRef]
- Ratiu, I., & Azuma, T. (2014). Working memory capacity: Is there a bilingual advantage? Journal of Cognitive Psychology, 27(1), 1–11. [Google Scholar] [CrossRef]
- Schwering, S. C., & MacDonald, M. C. (2020). Verbal working memory as emergent from language comprehension and production. Frontiers in Human Neuroscience, 14, 68. [Google Scholar] [CrossRef]
- Snyder, H. R. (2013). Major Depressive disorder is associated with broad impairments on neuropsychological measures of executive function: A meta-analysis and review. Psychological Bulletin, 139(1), 81–132. [Google Scholar] [CrossRef]
- Thorell, L. B., Lindqvist, S., Bergman Nutley, S., Bohlin, G., & Klingberg, T. (2009). Training and transfer effects of executive functions in preschool children. Developmental Science, 12(1), 106–113. [Google Scholar] [CrossRef]
- Xie, Z., & Pisano, T. S. (2019). Second language (L2) proficiency, socioeconomic status (SES), and intelligence (IQ) are significant predictors of cognitive control differences among young adult unbalanced Chinese-English bilinguals. Bilingualism-Language and Cognition, 22(4), 866–882. [Google Scholar] [CrossRef]
- Xie, Z., & Zhou, S. (2020). Bilingualism, demographics, and cognitive control: A within-group approach. Frontiers in Psychology, 11, 94. [Google Scholar] [CrossRef] [PubMed]
- Yang, H., Hartanto, A., & Yang, S. (2018). Bilingualism confers advantages in task switching: Evidence from the dimensional change card sort task. Bilingualism-Language and Cognition, 21(5), 1091–1109. [Google Scholar] [CrossRef]
- Zhou, Y., & Privitera, A. J. (2024). Subjective versus objective language proficiency measures in the investigation of bilingual effects on cognitive control. International Journal of Bilingualism, 1–17. [Google Scholar] [CrossRef]


| Bilinguals M (SD) | Monolinguals M (SD) | |
|---|---|---|
| Age | 20.21 (1.34) | 19.96 (1.58) |
| Gender | 4 males, 24 females | 5 males, 23 females |
| SES | 3.23 (0.40) | 3.18 (0.39) |
| Intelligence (out of 12) | 9.68 (1.66) | 9.36 (1.37) |
| L2 AoA | 5.61 (1.66) | 7.04 (0.64) |
| IELTS score (total) | 7.21 (0.36) | -- |
| IELTS score (understanding) | 7.81 (0.75) | -- |
| IELTS score (speaking) | 6.45 (0.48) | -- |
| IELTS score (reading) | 7.71 (0.64) | -- |
| IELTS score (writing) | 6.50 (0.45) | -- |
| Self-reported L2 understanding proficiency (none: 1–fluent (native): 10) | 7.50 (1.30) | 1.50 (0.69) |
| Self-reported L2 speaking proficiency (none: 1–fluent (native): 10) | 6.61 (0.96) | 1.43 (0.79) |
| Self-reported L2 reading proficiency (none:1–fluent (native): 10) | 7.43 (1.29) | 1.82 (0.82) |
| Self-reported L2 writing proficiency (none: 1–fluent (native): 10) | 6.79 (1.13) | 1.68 (0.86) |
| L2 use at home (All L1: 0%–All L2: 100%) | 16.07% (20.65%) | -- |
| L2 use in non-home situations (school) (All L1: 0%–All L2: 100%) | 41.07% (18.28%) | -- |
| EFs Measures | Bilinguals M (SD) | Monolinguals M (SD) | p-Values |
|---|---|---|---|
| Inhibitory Control (response time in ms) | |||
| Visual Stroop | |||
| Congruent | 646 (72) | 614 (76) | 0.22 |
| Incongruent | 703 (75) | 689 (89) | 0.53 |
| Difference (Stroop effect) | 58 (45) | 76 (71) | 0.26 |
| Auditory Stroop | |||
| Congruent | 610 (57) | 639 (75) | 0.10 |
| Incongruent | 648 (66) | 696 (86) | 0.03 |
| Difference (Stroop effect) | 39 (32) | 56 (33) | 0.05 |
| Working Memory (accuracy: proportion of hits minus proportion of false alarms) | |||
| Visual N-back | |||
| 1-back | 0.88 (0.09) | 0.84 (0.09) | 0.10 |
| 2-back | 0.78 (0.11) | 0.67 (0.14) | 0.001 |
| 3-back | 0.63 (0.16) | 0.47 (0.15) | <0.001 |
| Combined | 0.76 (0.12) | 0.66 (0.11) | 0.001 |
| Auditory N-back | |||
| 1-back | 0.89 (0.06) | 0.86 (0.08) | 0.06 |
| 2-back | 0.78 (0.11) | 0.69 (0.13) | 0.01 |
| 3-back | 0.63 (0.16) | 0.47 (0.16) | <0.001 |
| Combined | 0.77 (0.10) | 0.67 (0.11) | 0.001 |
| Cognitive Flexibility (response time in ms) | |||
| Visual Task-switching | |||
| Stay | 813 (118) | 824 (109) | 0.71 |
| Switch | 864 (122) | 881 (112) | 0.71 |
| Difference (Switch costs) | 51 (32) | 56 (49) | 0.62 |
| Auditory Task-switching | |||
| Stay | 861 (98) | 952 (79) | <0.001 |
| Switch | 919 (128) | 1036 (79) | <0.001 |
| Difference (Switch costs) | 57 (48) | 84 (66) | 0.09 |
| Predictors | Inhibitory Control (incongruent minus congruent RTs) | |||
| Visual | Auditory | |||
| β | t | β | t | |
| Age | −0.14 | −0.83 | 0.21 | 1.34 |
| SES | 0.25 | 1.77 | −0.06 | −0.42 |
| IQ | 0.02 | 0.11 | −0.19 | −1.28 |
| Bilingualism | −0.16 | −1.19 | −0.26 | −1.94 |
| /adj. | 0.08/0.01 | 0.11/0.04 | ||
| Predictors | Working Memory (proportion hits minus proportion false alarms) | |||
| Visual | Auditory | |||
| β | t | β | t | |
| Age | 0.11 | 0.84 | −0.02 | −0.16 |
| SES | −0.04 | −0.31 | 0.08 | 0.62 |
| IQ | 0.42 | 3.32 ** | 0.24 | 1.77 |
| Bilingualism | 0.37 | 3.35 ** | 0.39 | 3.20 ** |
| /adj. | 0.39/0.34 | 0.25/0.19 | ||
| Predictors | Cognitive Flexibility (switch minus stay RTs) | |||
| Visual | Auditory | |||
| β | t | β | t | |
| Age | −0.13 | −0.82 | 0.03 | 0.22 |
| SES | −0.15 | −1.06 | −0.05 | −0.30 |
| IQ | 0.02 | 0.13 | −0.11 | −0.75 |
| Bilingualism | −0.05 | −0.35 | −0.22 | −1.60 |
| /adj. | 0.06/−0.02 | 0.07/−0.01 | ||
Disclaimer/Publisher’s Note: The statements, opinions and data contained in all publications are solely those of the individual author(s) and contributor(s) and not of MDPI and/or the editor(s). MDPI and/or the editor(s) disclaim responsibility for any injury to people or property resulting from any ideas, methods, instructions or products referred to in the content. |
© 2025 by the authors. Licensee MDPI, Basel, Switzerland. This article is an open access article distributed under the terms and conditions of the Creative Commons Attribution (CC BY) license (https://creativecommons.org/licenses/by/4.0/).
Share and Cite
Chen, J.; Li, Z.; Xiong, Z.; Liu, G. Working Memory as the Focus of the Bilingual Effect in Executive Functions. Behav. Sci. 2025, 15, 134. https://doi.org/10.3390/bs15020134
Chen J, Li Z, Xiong Z, Liu G. Working Memory as the Focus of the Bilingual Effect in Executive Functions. Behavioral Sciences. 2025; 15(2):134. https://doi.org/10.3390/bs15020134
Chicago/Turabian StyleChen, Jiejia, Zitong Li, Zhiheng Xiong, and Guangyuan Liu. 2025. "Working Memory as the Focus of the Bilingual Effect in Executive Functions" Behavioral Sciences 15, no. 2: 134. https://doi.org/10.3390/bs15020134
APA StyleChen, J., Li, Z., Xiong, Z., & Liu, G. (2025). Working Memory as the Focus of the Bilingual Effect in Executive Functions. Behavioral Sciences, 15(2), 134. https://doi.org/10.3390/bs15020134

