Next Article in Journal
The Relationship Between College Students’ Emotional Intelligence, Foreign Language Enjoyment, and L2 Willingness to Communicate: A Variable-Centered and Person-Centered Perspective
Previous Article in Journal
When Loneliness Leads to Help-Seeking: The Role of Perceived Transactive Memory System and Work Meaningfulness
 
 
Font Type:
Arial Georgia Verdana
Font Size:
Aa Aa Aa
Line Spacing:
Column Width:
Background:
Article

The Impact of AI-Recommended Content Affordances on Post-Purchase Intention in Stockout Substitution Scenarios

School of Information, Central University of Finance and Economics, Beijing 102206, China
*
Author to whom correspondence should be addressed.
Behav. Sci. 2025, 15(11), 1507; https://doi.org/10.3390/bs15111507
Submission received: 5 September 2025 / Revised: 31 October 2025 / Accepted: 3 November 2025 / Published: 6 November 2025
(This article belongs to the Section Behavioral Economics)

Abstract

Stockouts significantly threaten consumer loyalty and cause substantial economic losses. In response, online platforms are widely deploying AI recommender systems to provide substitutes. However, whether such AI-driven substitution strategies can effectively mitigate the negative consequences of stockouts remains underexplored. Grounded in technology affordance and perceived value theories, this study develops a conceptual framework to investigate how content affordances of AI-recommended substitutes—specifically perceived fit, personalization, and serendipity—influence post-purchase intentions through functional and emotional value perceptions. Analysis of survey data from 479 respondents reveals that these affordances enhance perceived value, which in turn strengthens post-purchase intentions. Moreover, the findings demonstrate distinct effects of each affordance dimension on perceived functional value versus emotional value. In terms of the moderating effects, privacy concerns positively moderate the relationship between perceived functional value and post-purchase intention. Necessary Condition Analysis (NCA) further identifies critical prerequisites for achieving high perceived value and post-purchase intentions. This study extends the application of AI recommender systems to service recovery contexts and offers a wealth of novel insights for designing effective substitution strategies.

1. Introduction

A stockout is defined as a state of product unavailability or a temporary mismatch between supply and demand for inventory items (Hofstetter et al., 2014). It is a service failure phenomenon that may elicit strong negative consumer reactions. A survey on online shopping annoyances revealed that stockouts are the second most prevalent issue (Breugelmans et al., 2006). Therefore, developing effective stockout recovery processes has become a critical challenge in online retail management. Product substitution has been proven as a key strategy to mitigate negative effects (Hoang & Breugelmans, 2023). Recently, AI-recommended agents have emerged as a novel tool for service recovery. In contrast to conventional marketers offering generic alternatives, AI systems generate a unique set of substitutes tailored to heterogeneous individuals. Existing studies have demonstrated that AI recommender systems leverage robust learning, adaptation, and interactive technical capabilities to construct and refine hyper-personalized customer experiences, thereby enhancing click-through rates, value co-creation, and engagement behaviors.
Despite the extensive deployment of AI recommender systems, their efficacy as a recovery strategy for stockouts lacks robust theoretical grounding. Prior literature exhibits dual limitations in explaining this phenomenon. First, studies predominantly focus on traditional offline retail, lacking validation of the efficacy of AI agents as digital remedial tools. Recommender systems harness advanced algorithms to generate assortment sets that surpass traditional marketing approaches by providing unprecedented insight into and response to consumer behavior (Teepapal, 2024). The AI-recommended items are shaped by the interplay of individual preferences, task context, and technical features (Chakraborty et al., 2025). User preferences derived from both explicit data and implicit feedback are used to select substitutes that exhibit congruence with consumers’ tastes, colors, brands, or historical consumption experiences (Raji et al., 2024). Our research aligns with another unresolved gap in the current literature: existing research emphasizes attribute fit between substitutes and out-of-stock products while overlooking the critical role of user-specific preference matching. In fact, consumers’ choice behaviors are driven by personalized factors including idiosyncratic preferences, individual values, and habitual behaviors (Arens & Hamilton, 2018).
Second, the efficacy of substitution strategies constitutes a pivotal research direction in substitution studies (Arens & Hamilton, 2018). Current research predominantly examines the impact of stockouts on consumers’ single purchase decisions through fine-grained analyses of substitutive attribute spaces, including categories, brands, and functionality, to pinpoint optimal substitutes for customer retention (Khan & DePaoli, 2023).Yet, it rarely evaluates the long-term effects of substitutive recovery strategies, especially in pivotal strategic dimensions such as relationship rehabilitation and loyalty cultivation, while short-term profit maximization may undermine sustainable consumer value (Matsuoka, 2022). Therefore, consumer satisfaction recovery and loyalty restoration are pivotal components in service recovery frameworks (Zhu et al., 2024). Improper service recovery interventions will amplify initial service failure effects; conversely, the service recovery paradox holds that effective recovery strategies can compensate for service failures and convert dissatisfied customers into loyal advocates (Nguyen & McColl-Kennedy, 2003). In particular, a 5% improvement in customer retention yields 25–85% profit growth (Shamsudin et al., 2020).
To fill this gap, this research establishes a theoretical framework that integrates technological affordance theory and perceived value theory, conceptualizing the content affordances of AI recommendations as strategic recovery resources. The study provides pioneering insights into how AI-driven functional designs produce long-term recovery effects in out-of-stock substitution scenarios. Post-purchase intentions have been used to forecast consumers’ long-term economic and social behaviors in terms of consumers’ repurchasing intentions and word-of-mouth (WOM) following service recovery (Mkedder et al., 2024). Yet, it is rarely used to evaluate the effectiveness of substitution strategies. In contrast to the short-term purchasing decisions, post-purchase intentions offer an effective way to assess the effect of service recovery strategies on enhancing customer experience and relationship and converting potential losses into opportunities to boost customer loyalty and satisfaction (Ravula et al., 2022). Perceived value has been proven to be a critical antecedent of post- purchase intentions (Kuo et al., 2009). As demonstrated in existing literature, the concept of perceived value is multidimensional. The value dimensions of utilitarian and hedonic encompass a wide range of specific types of values, describing consumers’ perceptions on the preset value proposition of service providers during interaction (C.-Y. Li et al., 2023).
Meanwhile, affordance is a popular perspective in the field of information systems to examine digital technology innovation and its efficacy potential. It describes the relationship between “value in use” and the technical features that provide potential for specific goals (S. I. Lei et al., 2019). Accordingly, as a content information service based on preset programs, the realized value of content design for AI-recommended alternatives hinges on consumers’ perceptions of the technology’s usefulness and how it can be used to achieve goals. Based on this discussion, this study delineates the causal pathway from the content affordances of AI recommender systems to post-purchase intentions through perceived value. Furthermore, distinct technological features exert varying impacts on consumer cognition and affect (Hepola et al., 2020), hence, this study explores the differential effects of content affordances on perceived functional value and perceived emotional value. Additionally, we employ Necessary Condition Analysis (NCA) to reveal the necessary conditions for producing the expected effects to improve diagnostic ability.
In addition, the underlying mechanism of recommender systems inherently induces privacy concerns (Y. Wang et al., 2024). Individuals’ perceptions of privacy disclosure risks or potential negative consequences significantly influence users’ decisions to adopt and continue using AI-driven services (Cao & Wen, 2025). Current research demonstrates no consensus on the impact of privacy concerns on service adoption: Many studies suggest that privacy concerns inhibit consumer engagement with AI services, but paradoxically, others indicate a positive effect (Awad & Krishnan, 2006). Although previous research acknowledges that privacy holds utilitarian value as foundational to human autonomy (Introna, 1997), the crucial role of privacy concerns in shaping consumers’ platform switching behavior remains unexamined. Given that individuals with high and low levels of privacy concerns represent differences in cost–benefit tradeoffs (Lavoye & Kumar, 2025), this study further discusses the moderating role of privacy concerns. The main findings are highly significant for platform retailers managing product stockouts in the presence of substitutes, contributing to improved product sales and inventory management policies.
The remainder of this paper is structured as follows. First, we provide a review of substitution for out-of-stock, technology affordance and perceived value theory. Second, we present a theoretical framework and a set of testable hypotheses. Third, we detail the methods and data analysis results. Finally, we discuss the findings, implications, limits, and future research directions.

2. Theoretical Background

2.1. Substitution for Out-of-Stock

Consumer reactions to substitution policies for stockouts vary widely, with policies implemented by either the retailer or the customer (Zhang et al., 2022). Research on customer-driven product substitution explores intrinsic motivations, choice preferences, and product attributes in alternative selection. Contextual awareness and heuristic processing of market cues shape consumers’ adoption of substitutes for brands, price, categories or platforms. For instance, mismatch costs may lead individuals to seek substitutes within the same platform, whereas monetary or temporal opportunity costs induce platform switching behavior (Diels et al., 2013). Moreover, consumers attribute stockouts to either high demand or limited supply, inferring the product’s popularity or scarcity (Ezhil et al., 2021). To minimize anticipated regret, they subsequently increase purchases of similar products. However, when consumers regard retailers’ substitution offers as a restriction on freedom of choice, the boomerang effect triggers psychological reactance, resulting in dissimilar purchases or decision deferral (Fitzsimons & Lehmann, 2004).
Substitution strategies for stockouts initiated by retailers are supply side solutions. Extant studies focus on the configuration of substitute sets for inventory optimization, as the attribute of choice sets significantly influence consumer-driven choice. Moreover, the situational effect literature is an important stream of relevant research. A new item that is introduced alters the composition and dominance structure of existing choice sets. Consumers tend to evaluate substitutes based on critical product attributes, price levels, and spatial positions of phantom options. This evaluation process leads to consumers’ choice behavior that deviates from standard rational models (Diels et al., 2013), resulting in disproportionate preference shifts manifested as the similarity effect, attraction effect, or compromise effect. Potential explanations include loss aversion, attribute importance shifts, and similarity heuristics, motivating the use of task simplification strategies to reduce decision errors or anticipated regret (Diels et al., 2013). Beyond attribute value comparisons, attribute (dis)similarity cues within identical set architectures intuitively direct consumer attention to divergent options. However, under risk conditions or in analytical processing modes, consumers exhibit herd behavior toward products with similar attributes.
AI recommender systems serve as retailer-driven, differentiated stockout tools in the digital intelligence era (H. Zhou, 2023). Despite their widespread adoption in retail, little research has examined their efficacy in stockout recovery. Limited studies cover the decoy effect, inventory management, or pricing strategy in the context of recommender systems. For example, Mousavi et al. (2023) demonstrated that including a decoy in personalized recommendations minimizes demand for a target option, deviating from the traditional decoy effect. Seymen et al. (2022) proposed a mixed-integer programming algorithm to allocate recommended items among buyers while accounting for individual preferences and real-time inventory states, including uncertainty. Zhang et al. (2022) argued that investing in high-quality recommender systems can reduce search costs for unfamiliar substitutes but requires cost–benefit trade-offs.
Most existing studies compare the attributes of substitute products and stockouts to test the substitution effect or focus on the utility of recommender systems in inventory management. However, few studies have investigated how the technology affordance of recommender systems influence the effectiveness of alternative strategies. In particular, the content generated by AI recommender systems not only represents task consistency through functional or attribute substitution but also reflects self-consistency aligned with user preferences, needs or personality, thereby manifesting the algorithmic logic and technical features of AI recommender systems. These factors are crucial for predicting information adoption and recommendation acceptance (Yang et al., 2023). Thus, this study integrates technology affordance theory and perceived value theory to investigate how the content characteristics of choice sets of recommender systems transcend functional substitution, thereby enhancing service recovery effectiveness. Rather than regarding recommender systems as integrated tools to advance prior work, our framework dissects their content attributes, thus revealing how algorithmic content design affects satisfaction and loyalty in service recovery following a stockout. It also provides novel insights into the application of AI recommender systems in the stockout substitution field.

2.2. Technology Affordance

Technology affordance, which offers a perspective of social materiality, illuminates the relationship between users and technology within a situated environment (Ciuchita et al., 2022). It comprises two key dimensions: technical functionality and goal-oriented action (A. Li et al., 2024). Technological usability hinges on human perceptions of the functions offered by a technological object, suggesting that technological capabilities are part of the relationship rather than inherent attributes (Xu et al., 2023). Moreover, the realization of technology affordance requires goal-oriented consumers to trigger technical operations, with their perceptions and interpretations of technological features evolving after each action (Hong et al., 2025), following a key process sequence of technology affordance, belief formation, and behavioral outcomes. Xu et al. (2023) proposed that perceived affordance is the possibility for users to infer specific actions via technical features and functions, and this plays an important role in understanding the human–computer interaction process. Therefore, this study investigates technology affordance from the perspective of perceptual artifact design related to content algorithm—that is, consumers’ perception of the potential for action embedded in the content attributes of the choice set.
In stockout situations, consumers’ decision frames center on specific attributes such as brand and flavor (Campo et al., 2003), leading to a preference for substitutes that closely resemble their original choice (Arens & Hamilton, 2018). The perceived fit between product attributes serves as a functional cue in consumers’ heuristic decision-making process. Therefore, functional substitution and utility restoration are established as the first dimension of content affordance influencing consumers’ service recovery experience. Drawing on relevant research in fields such as brand similarity and search similarity, this study adopts perceived fit to describe the overall compatibility between substitutes and out-of-stock products. It is defined as “the overlap of attributes or associations between substitutes and target products” (J. Lei et al., 2004). Furthermore, personalized affordances manifest functional attributes inherent in content (A. Li et al., 2024). The items filtered by the AI recommender system are closely congruent with consumers’ preferences, reflective of their self-image, and thus critical in shaping consumer choices and establishing brand loyalty (Sirgy, 1982). C. Li and Liu (2017) proposed that personalization needs to be noticed to be effective. Thus, perceived personalization is the second factor of functional experiences, defined as “consumers’ subjective perception of the extent to which service providers offer personalized services” (Tran et al., 2020).
Perceived serendipity represents an algorithmic affordance (Zhao & Wagner, 2022). Prior literature indicates that although preference prediction accuracy is the most important performance criterion for recommender systems, failure to discover users’ emerging interests may gradually generate filter bubbles (Dokoupil et al., 2025), thereby compromising the long-term efficacy of recommendations. Researchers strive to strike a balance among accuracy, diversity, novelty, and serendipity (Kaminskas & Bridge, 2016). Thus, perceived serendipity is regarded as the third content affordance dimension, related to the content attributes of relevance and novelty (Y. L. Lin et al., 2025). Moreover, relevance is one of the key differences between diversity and serendipity. Diversity does not include relevance, whereas relevance is vital for serendipity (Kotkov et al., 2016). In out-of-stock situations, substitute set attributes correlate with specific decision goals for alternative selections. Thus, perceived serendipity is a key content feature of the decision scenario, combining informational value and surprise, defined as “consumers’ perceived extent to which recommended substitutes reveal value beyond initial expectations” (Yi et al., 2017).

2.3. Perceived Value Theory

Perceived value is a crucial determinant of consumer shopping experiences. It is defined as “consumers’ overall assessment of a product’s (or service’s) utility based on perceptions of what is received and what is given” (Kolbl et al., 2020). Previous research acknowledges perceived value as a key explanatory factor of consumer satisfaction, purchase decisions, and loyalty behaviors. Treating it as a multidimensional construct rather than a unitary construct better clarifies its antecedents and consequences. W. Wang et al. (2016) suggest that technology enables both utilitarian values and hedonic values, with algorithms exerting dual cognitive and affective influences on consumers (Yalcin Williams & Lim, 2024). Building on this dual influence and drawing on the research findings of Sheth (1981) on perceived value, this study investigates consumer responses to AI-recommended substitutes through two dimensions of perceived functional and perceived emotional value. Perceived functional value represents consumers’ rational cost–benefit assessment of choice utility, defined as “the perceived utility derived from functional, utilitarian, or physical attributes of AI-recommended substitutes”. Perceived emotional value, on the other hand, is defined as “the perceived utility obtained from the ability of AI-recommended substitutes to arouse emotions or emotional states” (Kolbl et al., 2020), such as pleasure, surprise, and enjoyment.

3. Research Hypothesis and Theoretical Framework

3.1. Antecedents: Drivers of Perceived Value

3.1.1. Functional Pathways

Stockouts increase consumers’ attention to substitutes that share important attributes with their preferred products. Categorization theory posits that consumers classify objects into distinct categories to enhance their comprehension of the environment. Thus, when a product matches the attributes of a category member, cognitive schema for the preferred product activates the evaluation of related products (Falana et al., 2024). In stockout scenarios, consumers prefer similar substitutes to infer the common attributes, reducing purchase uncertainty and mis-selection risks. The technical capability of AI recommender systems to suggest similar products aligns with task demands, enhancing consumers’ perceptions of the usefulness of new technologies (Chakraborty et al., 2025). Meanwhile, by actively recommending similar substitutes, AI recommender systems can reduce consumers’ search time and cognitive load, as well as enhance the economic utility of alternative choices through the functional benefits of perceived fit. In addition, perceived fit is a task-oriented content affordance dimension that provides key functional cues, and information accuracy is considered to be an important dimension of e-service quality (Ladhari, 2010), which is related to perceived functional value. Thus, we hypothesize that:
H1. 
Perceived fit positively influences consumers’ perceived functional value.
Perceived personalized substitutes significantly enhance consumers’ perception of functional value. AI recommender agents track users’ online behaviors and dynamically adapt displayed results through interactions, providing personalized substitutes with higher information quality and accuracy. This process effectively reduces both users’ search costs and information overload (Setyani et al., 2019). Furthermore, perceived personalization fosters cognitive trust in recommender agents. Compared to generic alternatives, personalized functions better emulate customer decision patterns (Araujo & Bol, 2024). Consequently, personalized substitutes lead consumers to believe that AI recommendations can enhance the effectiveness of their chosen alternatives. Moreover, personalized products reflect personal interests, preferences, values, and personality traits, promoting consumers’ self-referential processing through material possession (Belk, 1988). Thus, these customized substitutes serve as critical symbolic vehicles for consumers to express their unique identities. Substitutes function as symbols that overlap with self-concept and aid consumers in their pursuit of a coherent self-image, while the functional value is tied to the underlying needs for social recognition or personal expression. Thus, we hypothesize that:
H2. 
Perceived personalization positively influences consumers’ perceived functional value.
Serendipity is interpreted as “unexpected discoveries and information” (Yang et al., 2023). Perceived serendipitous items may help consumers realize new solutions, ideas, or other unexpected directions. For instance, AI recommender agents not only provide laundry detergents with similar attributes but also help consumers discover alternatives, such as liquid detergents or laundry pods, which meet their specific cleaning needs. Yang et al. (2023) revealed that the additional information gained from serendipitous content helps users effectively evaluate decision options, enabling them to better understand products and compare potential performance. Furthermore, Liu et al. (2023) found that serendipitous information discovery surpasses consumers’ expectations while fulfilling their personal information needs. Additionally, diversity and novelty are critical determinants of serendipity. They expand consumers’ interests, tastes, and perspectives while mitigating the excessive specialization issues caused by “filter bubbles” or “echo chambers,” thereby improving the quality of alternative purchase decisions. According to Yang et al. (2023), serendipitous content enhances the perceived usefulness of recommendations. Thus, we hypothesize that:
H3. 
Perceived serendipity positively influences consumers’ perceived functional value.

3.1.2. Emotional Pathways

Stockouts may induce consumer anxiety and aversion due to a loss of control (Piehlmaier & Gamiño, 2025). Compensatory control theory holds that humans have a strong motivation to seek control restoration. Reestablishing and restoring control over product choices serves as an effective means to compensate for the absence of control in a disordered environment (Mo et al., 2025). In stockout scenarios, perceived-fit substitutes offer functional attributes similar to preferred products and improve the efficacy of repurchase decisions during information overload. Pierce et al. (2001) demonstrate that experiences of efficacy and fulfillment act as motivators for psychological ownership formation. Notably, psychological ownership formation elevates consumers’ sense of control (Gong et al., 2025). Thus, perceived-fit substitutes can be viewed as an alternative compensatory form for objectively restoring control. Ma et al. (2024) also proposed that threats to personal control amplify the attractiveness of similarity. The fulfillment of psychological needs mitigates tension and anxiety induced by a loss of control, thereby deriving enjoyment that aids in psychological recovery. Thus, we hypothesize that:
H4. 
Perceived fit positively influences consumers’ perceived emotional value.
Perceived personalized substitutes can evoke users’ positive emotional experiences. AI technology enhances recommender systems’ external data learning capacity and personalization quality. High-quality personalized substitutes increase consumers’ sense of agency and control, leading to a relaxed feeling related to self-efficacy (Whang et al., 2022). Furthermore, personalized substitutes more effectively attract consumer attention and trigger positive cognitions responses to the content. Lambillotte et al. (2022) indicated that when content is perceived as personalized, users experience a higher degree of enjoyment and content consistency. In addition, personalized information strengthens consumers’ perception of the similarity between themselves and product or brand images (Tran et al., 2020). Users prefer and show positive effects toward self-relevant information, as self-concept consistency brings individuals higher hedonic enjoyment and well-being (Cross et al., 2003). Thus, we hypothesize that:
H5. 
Perceived personalization positively influences consumers’ perceived emotional value.
Perceived serendipity describes an “Aha!” moment in which affective dimensions induce pleasurable consumer experiences. The serendipitous discovery mechanism is intrinsically linked to expectation violation (Grange et al., 2018). When unpredictable product attributes violate consumer expectations, the resulting information asymmetry creates dissonance between pre-existing mental schemata and newly formed beliefs after recommendation experiences. This means that consumers who browse serendipitous alternatives are more likely to evoke feelings of “surprise and joy” without active searching (Butori & De Bruyn, 2013), and this strong emotion will amplify users’ positive attitude towards cognition. Moreover, while substitutes matching out-of-stock products may overexpose consumers to homogeneous attributes, serendipitous alternatives differ from the anchor product on specific dimensions, redirecting attention toward unexpectedly relevant discoveries. Novel knowledge and information activate consumer inspiration (L. Wang et al., 2024), generating surprise and emotional fulfillment. Thus, we hypothesize that:
H6. 
Perceived serendipity positively influences consumers’ perceived emotional value.

3.2. Outcomes: Impact on Post-Purchase Intention

Post-purchase intention refers to the customer’s intention to repurchase products or services from the same retailer and share their usage experience with friends or others (Mkedder et al., 2024). Boulding et al. (1993) proposed that repurchase intention and WOM can be used to evaluate post-purchase behavior. Consumers’ perceived value of AI-generated recommendations during out-of-stock episodes exerts a positive effect on post-purchase intentions. On the one hand, consumers expect high-quality functional recovery services, with AI-recommended substitutes providing convenience, problem-solving capability, and professional service quality as functional utilities. Consumers’ assessments of service recovery value manifest in their behavioral intentions, which drive continued consumption and facilitate positive WOM dissemination. Lu et al. (2022) demonstrate that repurchase behavior of experienced users is rooted in the relationship between consumers and platforms, with perceived value constituting the core foundation of relational exchange. On the other hand, the emotional value perceived by consumers in platform content fosters commitment and loyalty toward the platform enterprise (Sharma et al., 2023). Pleasant or surprising psychological experiences, coupled with psychological compensation for the loss of control, elevate consumers’ service recovery satisfaction. According to the service recovery paradox, properly executed recovery strategies can enhance consumers’ positive WOM and repurchase intention. Thus, we hypothesize that:
H7a. 
Perceived functional value positively influences consumers’ post-purchase intentions.
H7b. 
Perceived emotional value positively influences consumers’ post-purchase intentions.

3.3. Comparing Functional and Emotional Value

Different dimensions of content affordances in AI-recommended substitutes exert varying degrees of influence on users’ perceived functional value and emotional value. Functional value originates from goal orientation, rationality, and utilitarian purposes during product/service usage, being more closely associated with individual cognition (Hirschman & Holbrook, 1982). Emotional value exhibits greater subjectivity and encompasses hedonic emotional traits such as interest, joy, and entertainment (Overby & Lee, 2006). Alnawas et al. (2023) confirmed that utilitarian attributes of applications exert stronger effects on consumers’ cognitive responses than affective responses, whereas hedonic attributes predominantly influence affective reactions rather than cognitive evaluations. S. I. Lei et al. (2024) proposed that consumers’ value perception is contingent upon their goals and situations.
Perceived fit captures the similarity transfer between stockout items and substitutes, emphasizing content affordance design for substitution tasks and functional remediation. Compared to emotional value, it more strongly influences users’ evaluations of service recovery effectiveness and performance. The direct result of perceived personalization is to evoke consumers’ awareness of the consistency between substitutes, personal interests, and self-concepts (Vorderer et al., 2004), while self-consistency is more related to affect-based structures (Abu Farha et al., 2024). C. Li and Liu (2017) proposed that actual personalization elements to be effective must be perceived. Considering users as individuals with unique needs is a crucial prerequisite for achieving positive personalized outcomes (Setyani et al., 2019). Unlike economically oriented functional value, consumers’ need for uniqueness fulfillment exhibits stronger associations with the emotional value of sensory pleasure and self-enhancement, with personalized information experience being a pleasurable response state. Perceived serendipity encompasses the dual concepts of information value and unexpectedness. The “Aha moment” triggered by unexpected information that exceeds initial expectations activates or amplifies users’ pleasant emotions, while the surprise affect itself originates from algorithmic content design that expands user preferences or incorporates “surprise” options (Kotkov et al., 2016). Thus, we hypothesize that:
H8a. 
Perceived fit has a stronger positive effect on perceived functional value than perceived emotional value.
H8b. 
Perceived personalization has a stronger positive effect on perceived emotional value than perceived functional value.
H8c. 
The effects of perceived serendipity on perceived functional value and perceived emotional value do not differ significantly.

3.4. Boundary Conditions

Privacy concerns refer to an individual’s level of worries and discomfort related to potential platform privacy violations, such as unauthorized disclosure of information and non-consensual secondary use (Jia et al., 2024). F. Lin et al. (2023) proposed that privacy is a utilitarian tool, and privacy concerns act as cost factors in the exchange of interests and the establishment of special relationships between consumers and retailers. Lu and Yi (2023) further posit that these concerns reflect efforts to mitigate disclosure risk. Individuals’ risk beliefs lead to varying perceptions of privacy threat severity (Boerman et al., 2021). Compared to individuals with low privacy concerns, those with high levels possess heightened sensitivity regarding their personal data (Pizzi et al., 2022) and tend to employ prevention-focused behavioral strategies (Lu & Yi, 2023), such as defensive or avoidance behaviors (Lwin et al., 2007), thereby reducing information disclosure and mitigating potential negative consequences.
Social exchange theory posits that individual social behaviors are a series of interdependent exchange processes, where participants seek to maximize benefits and minimize costs (Abarashi & Edirisingha, 2025). In out-of-stock substitution scenarios, switching to a new platform requires consumers to re-disclose detailed self-relevant information, including browsing habits, purchasing behaviors, and social interactions. This process exacerbates their privacy concerns and psychological costs, establishing high initial perceived switching costs that may trigger negative responses such as avoidance behaviors (Ham, 2017), negative attitudes (Morimoto, 2021), and psychological discomfort (Gironda & Korgaonkar, 2018). However, if the original platform can promptly provide service recovery measures with high perceived value, the benefits users gain from utilitarian, hedonic, and emotional rewards not only enhance their trust and loyalty toward the original platform but also raise the psychological and behavioral barriers to leaving the existing relationship (Casper Ferm & Thaichon, 2021). Furthermore, Wang’s research confirms that high perceived switching costs promote customer loyalty to the original service providers (Y. S. Wang et al., 2011), with this effect being more pronounced among consumers who hold stronger beliefs about privacy threat severity (Lv et al., 2025). Through this cost–benefit assessment process, users with high privacy concerns devote less attention to competing platforms than those with low privacy concerns (C.-Y. Li et al., 2023). Upon acquiring functional and emotional value from the original platform, they develop stronger relational dependency, manifested through positive WOM and repurchase intentions. Thus, we hypothesize that:
H9a. 
Consumer privacy concerns positively moderate the effect of perceived functional value on post-purchase intentions.
H9b. 
Consumer privacy concerns positively moderate the effect of perceived emotional value on post-purchase intentions.
In summary, this study proposes the theoretical model illustrated in Figure 1.

4. Research Methodology

4.1. Measures

Primary data were collected through an online survey. To ensure conceptual equivalence in the Chinese context, a back-translation procedure was employed. The original English scale items were first translated into Chinese and then independently back-translated by two information systems experts. Subsequently, one professor and three doctoral students in the HCI field were invited to verify the translations. Following their feedback, we adjusted the items for greater semantic consistency and correctness.
The questionnaire comprised two sections. The first section presented measurement items for research constructs. All measurement items were adapted from validated scales in the previous literature, with the original items contextualized to fit the out-of-stock substitution scenario. A 7-point Likert scale was utilized, ranging from “strongly disagree” (1) to “strongly agree” (7). The perceived fit scale was adapted from Wu et al. (2024), the serendipity items from Yi et al. (2017), and the personalization measures from De Keyzer et al. (2022). Perceived functional value was measured using the items derived from Crowley et al. (1992), while items for perceived emotional value were adjusted based on Crowley et al. (1992), and Sheth et al. (1991). Moreover, the measurements of post-purchase intention were derived from Kuo and Wu (2012), and the measurements of privacy concerns drew on Slepchuk et al. (2021). Furthermore, the second section collected demographic information. Following prior research practices, gender, age, education level, income, occupation, and purchase history were included as control variables to mitigate external validity threats. Appendix A lists all the items used for the formal survey.

4.2. Data Collection

Data were collected through Credamo, a professional Chinese survey platform, with monetary compensation provided to each participant. To ensure respondents possessed authentic experience with online stockouts and AI-recommended substitutes, an initial screening question was incorporated into the questionnaire. Participants were presented with four stockout recovery options: an apology, monetary compensation, a free gift, or a substitute recommendation. Only those selecting the substitute recommendation were granted access to the main survey, thereby excluding unrelated participants. To further ensure data quality, we enforced multiple screening criteria during sample collection. First, attention-check items were embedded to identify inattentive respondents. Second, leveraging the platform’s reputation system, we established strict participant eligibility criteria: only users with a survey credit score of ≥90% and a historical survey acceptance rate of ≥90% were invited to participate.
Additionally, responses were collected and screened according to the following criteria: (1) exclusion of responses with excessively long or short completion times, (2) removal of patterned responses, and (3) exclusion of participants who failed the attention-check question (‘Please select “1” for this question’). Ultimately, 479 valid responses were retained for analysis. A power analysis conducted using G*Power 3.1 showed that a minimum sample size of 114 was required (effect size f2 = 0.15, α = 0.05, power = 0.80). Thus, the sample size of this study satisfied the minimum criteria requirement for Partial Least Squares Structural Equation Modeling (PLS-SEM) analysis. To describe the sample, several demographic factors including gender, age, education level, occupation, income, and online purchase history were collected from respondents. Participant details are presented in Table 1.

4.3. Data Analysis and Results

PLS-SEM analysis was conducted using SmartPLS 4. This study integrates multiple theories to predict key target constructs. Prior research has indicated that PLS- SEM is particularly suitable for evaluating causal predictive relationships during theory testing and model development. Given the model’s complexity (7 first-order constructs and 22 indicators), the non-parametric estimation approach of PLS-SEM was employed to minimize the amount of unexplained variance. To identify critical variables required for achieving specific outcomes, the NCA was further employed to determine prerequisites for realizing the expected results.

4.3.1. Measurement Model

Reliability of the measurement model was evaluated using Cronbach’s alpha and composite reliability (CR). As shown in Table 2, the Cronbach’s alpha and CR of each construct are greater than 0.7. Therefore, all constructs in the study have good internal consistency and stability. The standardized factor loadings of each indicator are greater than 0.7, and the average variance extracted (AVE) is greater than 0.5. The measurement model of this study has good convergent validity. The discriminant validity of the model was assessed using Fornell-Larcker’s criterion and heterotrait-monotrait ratio (HTMT). As Table 3 and Table 4 show, the square root of AVE for each construct was greater than its correlations with other latent variables, and the HTMT ratio values are below the threshold of 0.9, indicating that the research model has good discriminant validity.
Due to the self-reported and single-source nature of the data, common method bias (CMB) was examined. First, collinearity was assessed using variance inflation factors (VIF), with all values ranging from 1.327 to 2.690, which were below the threshold of 3.3, indicating that this study had no multicollinearity issue. Second, the unmeasured latent method construct (ULMC) was used in AMOS to analyze the influence of common method variation. Results showed minimal changes in model fit indices after adding the common method factor (ΔRMSEA = 0.006, ΔTLI = 0.007, ΔCFI = 0.007), suggesting no significant improvement in fit. Additionally, we incorporated a common method factor into PLS model proposed by Liang et al. (2007). As shown in Table 5, substantive factor explained 78.2% of the variance, while method factors accounted for only 0.8%. To sum up, there was no significant common method bias in this study.

4.3.2. Structural Model

Following the suggestion of Hair et al. (2018), bootstrapping (a procedure with 5000 samples) was conducted to analyze the conceptual model. Path coefficients, effect size (f2), and R2 values were used to examine the explanatory power, whereas Q2 values were employed to assess the model’s predictive relevance. As summarized in Table 6, the R2 values for all reflective constructs exceeded the threshold of 0.1, indicating that the model explained adequate variance in the endogenous constructs. According to Cohen (1988), the p-value alone cannot reveal the effect size of predictor variables. Consequently, f2 values were calculated to estimate the effect sizes of the exogenous variables on the endogenous variables. As indicated in Table 6, all Q2 values were greater than 0, suggesting that the exogenous variables exhibit predictive relevance for the endogenous variables. Moreover, as Table 6 shows, path coefficient analysis revealed that perceived fit, personalization, and serendipity positively influenced perceived functional value, perceived emotional value, and post-purchase intentions. Thus, Hypotheses 1–7 were supported.
As presented in Figure 2, perceived functional value is positively influenced by perceived fit (β = 0.356, p < 0.001), perceived personalization (β = 0.183, p < 0.001), and perceived serendipity (β = 0.323, p < 0.001). Similarly, perceived emotional value is positively affected by perceived fit (β = 0.253, p < 0.01), perceived personalization (β = 0.394, p < 0.001), and perceived serendipity (β = 0.270, p < 0.001). Perceived functional value (β = 0.314, p < 0.001) and perceived emotional value (β = 0.396, p < 0.001) were both significant drivers of post-purchase behavioral intention. Thus, hypotheses H1 to H7 are supported.
To examine the differential effects of perceived fit, personalization, and serendipity on both functional and emotional value, we analyzed standardized path coefficients, effect sizes “f2”, and the path comparison approach outlined by (Chin et al., 2013). Chin et al. (2013) proposed calculating percentile p-values by comparing path coefficients across 5000 bootstrap samples to assess the existence of differential effects. The results showed that the perceived fit had a larger effect on perceived functional value (f2 = 0.153) than on perceived emotional value (f2 = 0.095), the bootstrap samples also revealed that perceived fit had a stronger effect on perceived functional value than on perceived emotional value (p = 0.028). These results supported H8a. Moreover, the effect sizes indicated that perceived personalization had a larger effect on perceived emotional value (f2 = 0.179) compared to perceived functional value (f2 = 0.031). Additionally, the bootstrap samples also indicated that perceived personalization had a stronger effect on perceived emotional value (f2 = 0.179) compared to perceived functional value, thus supporting H8b. Additionally, perceived serendipity showed no significant difference in its effect on perceived emotional value compared to perceived functional value (p = 0.168). Thus, H8c was supported.
We further analyzed the moderating effect of privacy concerns on the relationship between perceived value and post-purchase intention. Results indicated that privacy concerns positively moderated the influence of perceived functional value on post-purchase intention (β = 0.149, p = 0.011). Thus, H9a was supported, suggesting that the positive effect of perceived functional value on post-purchase intentions is stronger among consumers with high privacy concerns. Specifically, when AI-recommended substitutes demonstrate high functional value (e.g., practicality), these consumers exhibit significantly higher levels of repurchase intention and positive WOM than their low-concern counterparts.
However, no significant moderating effect was found in the relationship between perceived emotional value and post-purchase intention (β = -0.048, p = 0.378). H9b was not supported, indicating no significant difference in the impact of perceived emotional value on post-purchase intentions between consumers with high versus low privacy concerns. Furthermore, Figure 3 was plotted to illustrate the moderating effects at one standard deviation above and below the mean of privacy concerns, showing stronger marginal increases in functional value’s behavioral impact under high privacy concern conditions.

4.3.3. Robustness Checks

To validate the reliability of the main findings, this study conducted a series of robustness tests. First, the finite mixture PLS (FIMIX-PLS) approach was reapplied to examine potential unobserved heterogeneity bias. Given a minimum sample size requirement of 114, a maximum of 4 segments could be extracted from the 479 participants, provided the minimum sample size for reliable parameter estimation was met (Lim et al., 2021). Since the minimum proportion of the fourth segment was 0.109, the three-segment solution (K = 3) was considered the optimal segmentation. Default settings in FIMIX-PLS were employed, including a stop criterion of 1.0E-10, a maximum of 5000 iterations, and the number of repetitions of 10. As shown in Table 7, the results suggested AIC3 (modified AIC with Factor 3) pointed to a 3-segment solution, while CAIC (consistent AIC) indicated a 2-segment solution. All different criteria did not converge on the same number of segments, and the EN (normed entropy statistic) values were below 0.50, indicating that unobserved heterogeneity does not pose a threat to our results.
Furthermore, we examined potential endogeneity bias, which may stem from sample selection bias, omitted variable bias, or reverse causality (Ullah et al., 2021). Following the methodological approach of Scaliza et al. (2022), this study employed the Heckman two-stage estimation procedure using Stata 17.0 software (Heckman & Robb, 1985). As shown in Table 8, the regression results demonstrate that the main findings remain statistically robust. Finally, we tested for nonlinear effects to ensure that the relationships between variables in the model conform to linear assumptions. By introducing quadratic terms to construct a polynomial model, the results fully support that the relationships between variables in the model are linear (p > 0.05), suggesting that there are no quadratic effects (e.g., U-shaped or S-shaped) among the variables (see Table 9).

4.4. NCA Results

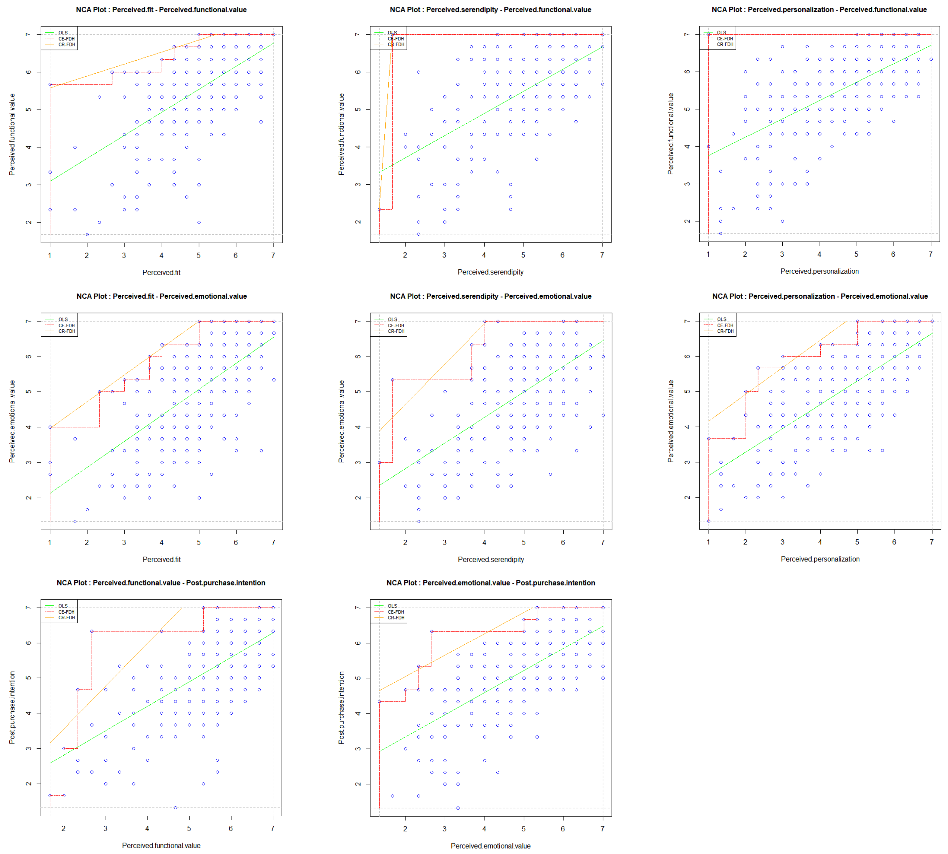
Although SEM examines correlations among variables, NCA serves as a valuable data analysis method rooted in necessity logic. It identifies essential prerequisites for outcomes and effectively complements the sufficiency-based PLS-SEM approach. Thus, the integration of PLS-SEM and NCA supports a more comprehensive and symmetrical analysis of the research model. In this study, NCA was employed to identify necessary prerequisites for perceived functional value, perceived emotional value, and post-purchase intentions. Permutation tests with 10,000 random samples were conducted to assess the necessity of the antecedents, and the ceiling line was estimated using the Ceiling Envelopment-Free Disposal Hull (CE-FDH). According to Dul et al. (2023), the requisite condition’s effect size should exceed 0.1 with p-values below 0.05 to hold practical significance. As shown in Table 10 and Figure 4, perceived fit emerged as a necessary condition for perceived functional value, while perceived fit, perceived personalization, and perceived serendipity were necessary conditions for perceived emotional value. Both perceived functional value and perceived emotional value were identified as necessary prerequisites for post-purchase intentions.
The critical test was conducted using a bottleneck table, which shows the essential thresholds of the conditions required for a specific level of the outcome. Results in Table 11 indicated that to achieve high levels of post-purchase intentions (90%), perceived functional value and perceived emotional value should reach minimum levels of 68.7% and 64.7%. To achieve a high level of perceived functional value (90%), a minimum of 55.6% perceived fit was required. For high level (90%) of perceived emotional value, at least 66.7% perceived fit, 47.1% perceived serendipity, and 66.7% perceived personalization were necessary.

5. Discussion and Implications

5.1. Main Findings

Despite the exponential growth of AI algorithm recommendations across industries, their economic impact and underlying mechanisms in out-of-stock substitution scenarios remain inadequately explored. Drawing on the Affordance Theory and Perceived Value Theory, this study examines how the content affordances of AI recommendations shape customer value perceptions and post-purchase intentions. PLS-SEM and NCA methods are integrated to examine both sufficient and necessary conditions, thereby enhancing causal understanding of structural relationships within the proposed framework.
First, the PLS-SEM results demonstrate that the content affordances of perceived fit, perceived personalization, and perceived serendipity are key antecedents of consumer perceived value. Specifically, the feature alignment between a substitute and the preferred product reflects a deep-level task-technology fit. Perceived personalization fosters self-congruity with the substitute, while perceived serendipity introduces valuable discovery by offering unexpected alternatives that are consistent with consumers’ latent preferences. Collectively, these affordances give rise to both perceived functional and emotional value. Furthermore, this study reveals the differential effects of technological characteristics on distinct consumer value dimensions. Perceived fit has a stronger impact on consumers’ perceived functional value, whereas perceived personalization exerts a greater influence on perceived emotional value. In contrast, perceived serendipity exhibits no significant differential effects between functional and emotional values. These findings validate the perspectives proposed by Alnawas et al. (2023) and Hepola et al. (2020): utilitarian elements of applications or products prompt consumers to evaluate instrumental benefits, while hedonic attributes exert a more pronounced influence on affective responses than cognitive assessments.
Second, this study employs post-purchase intentions to assess the long-term efficacy of service recovery. The results demonstrate that consumers’ perceived functional and emotional values derived from AI-recommended substitutes predict behavioral intentions such as repeat purchases and positive WOM. Previous studies have revealed the positive effects of consumers’ perceived value on repurchase, recommendation, and continuance intention in various contexts including hospitality services, chatbots, online gaming, and VR services. Our results are in line with these findings. When users perceive utilitarian benefits from alternative assortments or experience hedonic enjoyment, they develop heightened behavioral loyalty and affective commitment toward the original platform.
Third, the results reveal that privacy concerns positively moderate the relationship between perceived functional value and consumers’ post-purchase intentions. Privacy- sensitive users exhibit reinforced loyalty to the original platform following an effective functional recovery. In contrast, privacy concerns do not significantly moderate the relationship between perceived emotional value and purchase decisions. Thus, H9b is not supported. This may be explained through two distinct value pathways. In the functional value pathway, consumers’ perception of substantive utilitarian benefits activates cost–benefit calculations. Users with high privacy concerns, given their risk-averse nature, may strengthen their dependency on the original platform, resulting in enhanced loyalty and repurchase intentions. Within the emotional value pathway, high levels of emotional value (e.g., surprise, feeling understood) effectively alleviate negative emotions triggered by stockouts, serving as a powerful form of affective compensation and emotional support, which reinforces users’ affective trust and relational commitment toward the platform (C. Zhou & Chang, 2024). According to social exchange theory, a long-term reciprocal and affect-laden relational paradigm motivates users to maintain stable existing relationships (Can Saglam et al., 2022), leading to greater tolerance toward temporary platform failures (e.g., stockouts), lower switching intentions, and reduced perception of platform opportunism (Fang et al., 2024). Consequently, the moderating effect of privacy concerns is rendered insignificant.
In addition, NCA demonstrates that both perceived functional value and emotional value are necessary conditions for post-purchase intentions. The analysis shows that AI- recommended substitute sets must be efficient, useful, and practical to deliver functional benefits, while simultaneously evoking positive affective experiences that drive repeat purchases and positive WOM. Moreover, perceived fit constitutes a key determinant for functional value, making the offering of similar substitutes during stockouts essential. Meanwhile, perceived fit, personalization, and serendipity are critical determinants of perceived emotional value, which requires that recommended substitutes should match consumer preferences, fulfill expectations, and provide unexpected valuable information to enhance consumers’ emotional value perceptions.

5.2. Theoretical Implications

Our study makes a significant original contribution to the literature on substitute recovery in out-of-stock scenarios. First, although AI recommender systems are widely implemented in stockout contexts, few studies have examined how AI-recommended substitute sets yield economic benefits. Moreover, prior studies have primarily focused on the short-term impacts of conventional recovery measures (e.g., product upgrades, apologies, and compensation) from perspectives like contextual effects, stockout cues, and product attributes. In contrast, this study validates AI-recommended substitutes as a potent service recovery mechanism. By identifying three crucial content features of AI-recommended substitutes—perceived fit, perceived personalization, and perceived serendipity—our findings reveal the pivotal role of AI substitution strategies in shaping long-term customer relationships (e.g., repeat purchases and positive WOM), thereby extending the theoretical perspectives of stockout recovery and technology affordance.
Second, this study examines the underlying mechanisms through which content affordances influence consumers’ post-purchase intentions. Previous service recovery frameworks have emphasized the critical role of fairness and justice (Song et al., 2024), but their explanatory power is limited in AI-driven contexts (S. Li et al., 2025). This study introduces perceived value as a pivotal mediator to construct a dual-pathway model. Grounded in the premise that consumers’ attitudes toward AI technology determine the successful delivery of a company’s value propositions (S. I. Lei et al., 2019), our findings reveal that AI-recommended substitutes serve as an effective economic recovery strategy, wherein content affordances simultaneously trigger perceptions of functional value and emotional value, thereby directly driving post-recovery repurchase intentions and WOM. Furthermore, the results show the differential effects of content affordance dimensions on two value pathways: perceived fit primarily shapes functional value, whereas perceived personalization predominantly influences emotional value, indicating that the alignment among AI recovery strategies, stockout incidents, and individual needs significantly enhances perceived value (e.g., “task-technology fit” and “self-technology fit”). The results advance the theoretical framework of AI-driven service recovery and deepen the understanding of value formation mechanisms in human-AI interaction.
Third, our study reveals that privacy concerns positively moderate the relationship between perceived functional value and consumers’ post-purchase intentions. Previous research has suggested that privacy concerns represent a negative technology affordance that diminishes outcome valences (Pizzi et al., 2022), undermining consumers’ adoption intention, continuance usage, and recommendation intention (Lavoye & Kumar, 2025). However, existing research has not explored platform switching under service failure contexts, particularly when users derive significant functional value from a platform’s technological support. From the lens of social exchange theory, we identify a positive moderating effect of privacy concerns. Specifically, consumers’ perceived utilitarian value in service recovery emerges as a key prerequisite for accepting privacy costs. When users with higher privacy concerns perceive functional benefits from the original platform’s service recovery, a rational cost–benefit calculus motivates them to maintain the existing relationship, manifesting as stronger loyalty and repurchase intentions. Research on switching costs also confirms that customers’ loss aversion positively affects retention, advancing theories of privacy concerns and disclosure (Kim & Kim, 2024).

5.3. Managerial Implications

This study provides a solid theoretical and methodological foundation to guide platform operators in designing recommendation algorithms and strategies for out-of-stock substitution. First, it validates AI-recommended substitutes as an effective proactive service recovery strategy. Although most platforms leverage AI recommender systems to mitigate the negative impacts of stockouts, significant variation exists in the design of their choice sets’ content features, particularly in balancing relevance and diversity/serendipity. Our findings indicate that alternative sets integrating fit, personalization, and serendipity help build stronger long-term customer relationships. Specifically, algorithms should recommend substitutes with high functional alignment to meet rational problem-solving needs, while also providing personalized and serendipitous options to evoke emotional value. According to the service recovery paradox, a successful recovery from service failures can yield higher consumer satisfaction levels than before the incident occurred.
Second, the results indicate that perceived serendipity is a necessary condition for consumers’ value perception, with unexpectedly delightful recommendations for driving service recovery effectiveness. Therefore, by proactively identifying and responding to latent consumer preferences through unexpectedly fitting stockout alternatives, platforms can strengthen value perception and service identification, thereby cultivating long-term loyalty. However, the potential risks of “excessive serendipity” must be acknowledged. For instance, over-recommending alternatives that deviate from users’ explicit preferences may undermine the perceived reliability of the AI -driven system and breed skepticism about its intentions. Moreover, excessive serendipity can induce cognitive conflict and choice overload, potentially leading to purchase abandonment (Wu et al., 2024). Therefore, platform managers should strive to balance recommendation accuracy with exploratory shopping, first ensuring that substitutes satisfy core functional needs before introducing moderately surprising options.
Third, this study reveals individual heterogeneity in privacy concerns during AI- driven service recovery. Privacy concerns positively moderate the effect of perceived functional value on post-purchase intentions. Notably, consumers with higher privacy sensitivity demonstrate stronger loyalty to the original platform following an effective recovery. Consequently, platforms should increase investments in AI infrastructure and algorithmic R&D to enhance the quality and utility of recommendations. By delivering superior value that outweighs the costs of consumers’ privacy disclosure, platforms can convert highly privacy-conscious users into their most stable customer base. Moreover, platforms should establish a transparent and controllable data environment. For instance, they should clearly explain to consumers the logic of data collection, usage, and protection, as well as provide privacy protection tools that enhance user data access and control. Ultimately, these approaches cultivate the privacy literacy and empowerment among consumers to internalize privacy concerns as a switching cost, thereby strengthening competitive barriers and ensuring sustainable customer loyalty.

6. Limitations and Future Research

This study has several limitations that suggest potential avenues for future research. First, AI recommender systems possess multiple dimensions of technology affordance; this study focused solely on the impacts of content affordance and privacy concerns on consumers’ post-purchase intentions in out-of-stock scenarios. Previous research has confirmed that technical features such as the explainability, interactivity, and information presentation of AI recommender systems influence an individual’s understanding of the recommendation logic. The perceived transparency and algorithmic fairness may shape consumers’ value perception and subsequent behaviors. Therefore, future studies should explore other technical dimensions or adopt an integrated framework to evaluate the efficacy of AI-enabled service recovery. Additionally, situational cues, including the functional or hedonic attributes of products, product involvement, and causes of stockouts, also influence consumers’ processing of stock-out information. Future research should also investigate the boundary conditions for the efficacy of AI-driven substitution recovery strategies.
Second, this study establishes a dual-pathway recovery framework focusing on the perspective of perceived value. Future work should incorporate diverse theoretical lenses to further investigate the psychological mechanisms underlying consumer responses to AI-driven recovery. For instance, it could explore whether emotional value fosters WOM through affective trust, or whether the efficacy of functional value is contingent upon perceived fairness. Such efforts would contribute to constructing a more comprehensive and nuanced causal pathway from AI service features to user behavior.
Third, the reliance on self-reported data in this study may constrain the external validity of the main findings. Future research could employ laboratory experiments, field experiments, or analyses of real-world behavioral data to strengthen external validity. Furthermore, since our research was conducted in China, cultural factors pertaining to privacy and relationships may limit the generalizability of the model. Cross-cultural comparisons and extensions to diverse contexts are needed to validate these findings and enhance their robustness.

Author Contributions

Conceptualization, J.Z. and B.D.; methodology, B.D. and X.Z.; software, B.D.; validation, J.Z., B.D. and X.Z.; formal analysis, J.Z.; investigation, B.D. and X.Z.; resources, J.Z.; data curation, B.D. and X.Z.; writing—original draft preparation, B.D.; writing—review and editing, J.Z. and B.D.; visualization, B.D.; supervision, J.Z.; project administration, J.Z.; funding acquisition, J.Z. All authors have read and agreed to the published version of the manuscript.

Funding

This work is supported by the National Key Research and Development Program of China (2017YFB1400700).

Institutional Review Board Statement

Ethical review and approval were waived for this study due to its exclusive use of fully anonymized data (exempt under Article 32(2) of China’s Ethical Review Measures for Human Life Sciences and Medical Research, 2023) and compliance with the Declaration of Helsinki.

Informed Consent Statement

Informed consent was obtained from all subjects involved in the study.

Data Availability Statement

The data presented in this study are available on request from the corresponding author. The data are not publicly available due to privacy or ethical restrictions.

Conflicts of Interest

The authors declare no conflicts of interest.

Appendix A. The Survey Questionnaire Items

ConstructScale Items
Perceived fit (PF)The AI-recommended substitutes are a good fit with the stockout items.
The AI-recommended substitutes are consistent with the stockout items.
The AI-recommended substitutes are similar to the stockout items.
Perceived personalization (PP)I think that the AI recommender system provides stockout substitutes that are tailor-made for me.
Overall, the AI recommender system provides stockout substitutes that are tailored to my situation.
I believe that the AI recommender system provides stockout substitutes that are customized to my needs.
Perceived serendipity (PS)The stockout substitute experience provided by the AI recommender system has helped me discover some products that suit my needs but I had not planned to purchase.
The AI recommender system has provided me with some surprising yet interesting substitutes about stockout items in the filter process.
In the substitute filtering process, the AI recommender system has provided some unexpected but useful substitutes.
Perceived functional value (PFV)I think the AI recommender system is effective in providing substitutes for stockouts.
I think the AI recommender system is helpful in providing substitutes for stockouts.
I think the AI recommender system is practical for providing substitutes for stockouts.
Perceived emotional value (PEV)I think the filter experience of AI recommender systems providing stockout substitutes is enjoyable.
I think the filter experience of AI recommender systems providing stockout substitutes makes me happy.
I think the filter experience of AI recommender systems providing stockout substitutes makes me feel delighted.
Post-purchase intention (PPI)I intend to purchase from this shopping website next time.
I will recommend this shopping website to my friends or relatives.
I intend to continue to purchase from this shopping website in the future.
Privacy concerns (PC)I am concerned that the personal information I submit to the website could be misused.
I am concerned that companies or other parties can find personal information about me through the website.
I am concerned about providing personal information to the website because of what others might do with it.
I am concerned about providing personal information to the website because it could be used in a way that I did not foresee.

References

  1. Abarashi, J., & Edirisingha, P. (2025). Trust-materiality theory of social exchange: The evolution of social exchange through relationship trust and object materiality interplays. European Journal of Marketing, 59(13), 332–357. [Google Scholar] [CrossRef]
  2. Abu Farha, A., Hedhli, K., Zourrig, H., & Becheur, I. (2024). Drivers and outcomes of a shopper-retailer’s app relationship. Journal of Retailing and Consumer Services, 81(2), 104002. [Google Scholar] [CrossRef]
  3. Alnawas, I., Al Khateeb, A., & El Hedhli, K. (2023). The effects of app-related factors on app stickiness: The role of cognitive and emotional app relationship quality. Journal of Retailing and Consumer Services, 75(1), 103412. [Google Scholar] [CrossRef]
  4. Araujo, T., & Bol, N. (2024). From speaking like a person to being personal: The effects of personalized, regular interactions with conversational agents. Computers in Human Behavior: Artificial Humans, 2(6), 100030. [Google Scholar] [CrossRef]
  5. Arens, Z. G., & Hamilton, R. W. (2018). The substitution strategy dilemma: Substitute selection versus substitute effectiveness. Journal of the Academy of Marketing Science, 46(1), 130–146. [Google Scholar] [CrossRef]
  6. Awad, N., & Krishnan, M. (2006). The personalization privacy paradox: An empirical evaluation of information transparency and the willingness to be profiled online for personalization. MIS Quarterly, 30(1), 13–28. [Google Scholar] [CrossRef]
  7. Belk, R. W. (1988). Possessions and the extended self. Journal of Consumer Research, 15(2), 139–168. [Google Scholar] [CrossRef]
  8. Boerman, S., Kruikemeier, S., & Borgesius, F. (2021). Exploring motivations for online privacy protection behavior: Insights from panel data. Communication Research, 48, 953–977. [Google Scholar] [CrossRef]
  9. Boulding, W., Kalra, A., Staelin, R., & Zeithaml, V. (1993). A dynamic process model of service quality: From expectations to behavioral intentions. Journal of Marketing Research, 30(1), 7–27. [Google Scholar] [CrossRef]
  10. Breugelmans, E., Campo, K., & Gijsbrechts, E. (2006). Opportunities for active stock-out management in online stores: The impact of the stock-out policy on online stock-out reactions. Journal of Retailing, 82(3), 215–228. [Google Scholar] [CrossRef]
  11. Butori, R., & De Bruyn, A. (2013). So you want to delight your customers: The perils of ignoring heterogeneity in customer evaluations of discretionary preferential treatments. International Journal of Research in Marketing, 30(4), 358–367. [Google Scholar] [CrossRef]
  12. Campo, K., Gijsbrechts, E., & Nisol, P. (2003). The impact of retailer stockouts on whether, how much, and what to buy. International Journal of Research in Marketing, 20(3), 273–286. [Google Scholar] [CrossRef]
  13. Can Saglam, Y., Yildiz Çankaya, S., Golgeci, I., Sezen, B., & Zaim, S. (2022). The role of communication quality, relational commitment, and reciprocity in building supply chain resilience: A social exchange theory perspective. Transportation Research Part E: Logistics and Transportation Review, 167, 102936. [Google Scholar] [CrossRef]
  14. Cao, B., & Wen, C. (2025). Does greater chatbot usage improve affective attitudes toward AI? A moderated mediation model of relational capacity, competence, and privacy concerns in a two-wave panel study. Telematics and Informatics, 98(2), 102263. [Google Scholar] [CrossRef]
  15. Casper Ferm, L. E., & Thaichon, P. (2021). Customer pre-participatory social media drivers and their influence on attitudinal loyalty within the retail banking industry: A multi-group analysis utilizing social exchange theory. Journal of Retailing and Consumer Services, 61(3), 102584. [Google Scholar] [CrossRef]
  16. Chakraborty, D., Troise, C., & Bresciani, S. (2025). Exploring consumer intentions to continue: Integrating task technology fit and social technology fit in generative AI based shopping platforms. Technovation, 142(4), 103189. [Google Scholar] [CrossRef]
  17. Chin, W., Kim, Y. J., & Lee, G. (2013). Testing the differential impact of structural paths in PLS Analysis: A bootstrapping approach. Springer Proceedings in Mathematics and Statistics, 56, 221–229. [Google Scholar] [CrossRef]
  18. Ciuchita, R., Medberg, G., Penttinen, V., Lutz, C., & Heinonen, K. (2022). Affordances advancing user-created communication (UCC) in service: Interactivity, visibility and anonymity. Journal of Service Management, 33(4), 688–704. [Google Scholar] [CrossRef]
  19. Cohen, J. (1988). Statistical power analysis for the behavioral sciences. Routledge. [Google Scholar]
  20. Cross, S., Gore, J., & Morris, M. (2003). The relational-interdependent self-construal, self-concept consistency, and well-being. Journal of Personality and Social Psychology, 85(5), 933–944. [Google Scholar] [CrossRef] [PubMed]
  21. Crowley, A., Spangenberg, E., & Hughes, K. (1992). Measuring the hedonic and utilitarian dimensions of attitudes toward product categories. Marketing Letters, 3(3), 239–249. [Google Scholar] [CrossRef]
  22. De Keyzer, F., van Noort, G., & Kruikemeier, S. (2022). Going too far? How consumers respond to personalized advertising from different sources. Journal of Electronic Commerce Research, 23(3), 138–159. Available online: https://www.proquest.com/scholarly-journals/going-too-far-how-consumers-respond-personalized/docview/2702535059/se-2?accountid=10025 (accessed on 17 January 2025).
  23. Diels, J. L., Wiebach, N., & Hildebrandt, L. (2013). The impact of promotions on consumer choices and preferences in out-of-stock situations. Journal of Retailing and Consumer Services, 20(6), 587–598. [Google Scholar] [CrossRef]
  24. Dokoupil, P., Boratto, L., & Peška, L. (2025). Accuracy and beyond-accuracy perspectives of controllable multi-objective recommender systems. Information Processing & Management, 62(6), 104267. [Google Scholar] [CrossRef]
  25. Dul, J., Hauff, S., & Bouncken, R. (2023). Necessary condition analysis (NCA): Review of research topics and guidelines for good practice. Review of Managerial Science, 17(1), 1–32. [Google Scholar] [CrossRef]
  26. Ezhil, M., Sharma, V. D., & Tapar, A. (2021). Out-of-stock justifications and consumers’ behavioral outcomes–exploring the role of product type and sales level information in out-of-stock situations. Journal of Retailing and Consumer Services, 60(1), 102458. [Google Scholar] [CrossRef]
  27. Falana, W., Aspara, J., & Frösén, J. (2024). The impact of Janus fit brand extensions on perceived brand innovativeness. Journal of Business Research, 179(3), 114674. [Google Scholar] [CrossRef]
  28. Fang, M., Lai, P.-L., & Wang, X. (2024). The value of congruence in social exchanges: A dyadic trust perspective on servitization. Industrial Marketing Management, 123, 317–329. [Google Scholar] [CrossRef]
  29. Fitzsimons, G., & Lehmann, D. (2004). Reactance to recommendations: When unsolicited advice yields contrary responses. Marketing Science, 23(1), 82–94. [Google Scholar] [CrossRef]
  30. Gironda, J., & Korgaonkar, P. (2018). Ispy? Tailored versus invasive ads and consumers’ perceptions of personalized advertising. Electronic Commerce Research and Applications, 29, 64–77. [Google Scholar] [CrossRef]
  31. Gong, Y., Huang, R., Liu, Y., & Chen, Z. (2025). Escapism as a driver of workcation: The roles of psychological ownership and motivation. Journal of Hospitality and Tourism Management, 64, 101309. [Google Scholar] [CrossRef]
  32. Grange, C., Benbasat, I., & Burton-Jones, A. (2018). With a little help from my friends: Cultivating serendipity in online shopping environments. Information & Management, 56(2), 225–235. [Google Scholar] [CrossRef]
  33. Hair, J., Risher, J., Sarstedt, M., & Ringle, C. (2018). When to use and how to report the results of PLS-SEM. European Business Review, 31(1), 2–24. [Google Scholar] [CrossRef]
  34. Ham, C.-D. (2017). Exploring how consumers cope with online behavioral advertising. International Journal of Advertising, 36(4), 632–658. [Google Scholar] [CrossRef]
  35. Heckman, J. J., & Robb, R. (1985). Alternative methods for evaluating the impact of interventions: An overview. Journal of Econometrics, 30(1), 239–267. [Google Scholar] [CrossRef]
  36. Hepola, J., Leppäniemi, M., & Karjaluoto, H. (2020). Is it all about consumer engagement? Explaining continuance intention for utilitarian and hedonic service consumption. Journal of Retailing and Consumer Services, 57, 102232. [Google Scholar] [CrossRef]
  37. Hirschman, E., & Holbrook, M. (1982). Hedonic consumption: Emerging concepts, methods and propositions. Journal of Marketing, 46(3), 92–101. [Google Scholar] [CrossRef]
  38. Hoang, D., & Breugelmans, E. (2023). “Sorry, the product you ordered is out of stock”: Effects of substitution policy in online grocery retailing. Journal of Retailing, 99(1), 26–45. [Google Scholar] [CrossRef]
  39. Hofstetter, J. S., Gruen, T., & Ehrenthal, J. (2014). Value attenuation and retail out-of-stocks: A service-dominant logic perspective. International Journal of Physical Distribution & Logistics Management, 44(1–2), 39–57. [Google Scholar] [CrossRef]
  40. Hong, J., Tan, B., Ng, E., Davison, R. M., & Wong, L. (2025). The impact of social media on digital guanxi development in the Chinese workplace: A technology affordance perspective. International Journal of Information Management, 84, 102933. [Google Scholar] [CrossRef]
  41. Introna, L. (1997). Privacy and the computer: Why we need privacy in the information society. Metaphilosophy, 28(3), 259–275. [Google Scholar] [CrossRef]
  42. Jia, S., Chi, O., & Lu, L. (2024). Social robot privacy concern (SRPC): Rethinking privacy concerns within the hospitality domain. International Journal of Hospitality Management, 122(2), 103853. [Google Scholar] [CrossRef]
  43. Kaminskas, M., & Bridge, D. (2016). Diversity, serendipity, novelty, and coverage: A survey and empirical analysis of beyond-accuracy objectives in recommender systems. ACM Transactions on Interactive Intelligent Systems, 7(1), 1–42. [Google Scholar] [CrossRef]
  44. Khan, U., & DePaoli, A. (2023). Brand loyalty in the face of stockouts. Journal of the Academy of Marketing Science, 52(3), 44–74. [Google Scholar] [CrossRef]
  45. Kim, K., & Kim, J. (2024). The study of brand loyalty and switching cost on OTT bundled service choice: Focusing on reference-dependent preferences in the saturated market. Journal of Retailing and Consumer Services, 77(7), 103689. [Google Scholar] [CrossRef]
  46. Kolbl, Ž., Diamantopoulos, A., Arslanagic-Kalajdzic, M., & Žabkar, V. (2020). Do brand warmth and brand competence add value to consumers? A stereotyping perspective. Journal of Business Research, 118(3), 346–362. [Google Scholar] [CrossRef]
  47. Kotkov, D., Wang, S., & Veijalainen, J. (2016). A survey of serendipity in recommender systems. Knowledge-Based Systems, 111(1), 180–192. [Google Scholar] [CrossRef]
  48. Kuo, Y. F., & Wu, C. M. (2012). Satisfaction and post-purchase intentions with service recovery of online shopping websites: Perspectives on perceived justice and emotions. International Journal of Information Management, 32(2), 127–138. [Google Scholar] [CrossRef]
  49. Kuo, Y. F., Wu, C. M., & Deng, W. J. (2009). The relationships among service quality, perceived value, customer satisfaction, and post-purchase intention in mobile value-added services. Computers in Human Behavior, 25(4), 887–896. [Google Scholar] [CrossRef]
  50. Ladhari, R. (2010). Developing e-service quality scales: A literature review. Journal of Retailing and Consumer Services, 17(6), 464–477. [Google Scholar] [CrossRef]
  51. Lambillotte, L., Magrofuoco, N., Poncin, I., & Vanderdonckt, J. (2022). Enhancing playful customer experience with personalization. Journal of Retailing and Consumer Services, 68(1), 103017. [Google Scholar] [CrossRef]
  52. Lavoye, V., & Kumar, H. (2025). Understanding how augmented reality’s immersive experience and privacy concerns impact consumer responses: A cognitive perspective. Journal of Retailing and Consumer Services, 87, 104425. [Google Scholar] [CrossRef]
  53. Lei, J., Pruppers, R., Ouwersloot, H., & Lemmink, J. (2004). Service intensiveness and brand extension evaluations. Journal of Service Research, 6(3), 243–255. [Google Scholar] [CrossRef]
  54. Lei, S. I., Wang, D., Fong, L. H. N., & Ye, S. (2024). Recipe for perceived personalization in hotels. Tourism Management, 100(1), 104818. [Google Scholar] [CrossRef]
  55. Lei, S. I., Wang, D., & Law, R. (2019). Perceived technology affordance and value of hotel mobile apps: A comparison of hoteliers and customers. Journal of Hospitality and Tourism Management, 39, 201–211. [Google Scholar] [CrossRef]
  56. Li, A., Ding, Z., Sun, C., & Liu, Y. (2024). Recommending AI based on quantified self: Investigating the mechanism of consumer acceptance of AI recommendations. Electronic Markets, 34(1), 57. [Google Scholar] [CrossRef]
  57. Li, C., & Liu, J. (2017). A name alone is not enough: A reexamination of web-based personalization effect. Computers in Human Behavior, 72, 132–139. [Google Scholar] [CrossRef]
  58. Li, C.-Y., Fang, Y.-H., & Chiang, Y.-H. (2023). Can AI chatbots help retain customers? An integrative perspective using affordance theory and service-domain logic. Technological Forecasting and Social Change, 197(6), 122921. [Google Scholar] [CrossRef]
  59. Li, S., Yang, Y., Han, C., Sun, Y., Attar, R. W., & Gupta, B. B. (2025). Addressing consumer needs: Effects of firms remediation strategies on satisfaction and brand usage intent in AI-powered voice assistant service failures. International Journal of Information Management, 85, 102951. [Google Scholar] [CrossRef]
  60. Liang, H., Saraf, N., Hu, Q., & Xue, Y. (2007). Assimilation of enterprise systems: The effect of institutional pressures and the mediating role of top management. MIS Quarterly, 31(1), 59–87. [Google Scholar] [CrossRef]
  61. Lim, X.-J., Cheah, J.-H., Ng, S. I., Basha, N. K., & Soutar, G. (2021). The effects of anthropomorphism presence and the marketing mix have on retail app continuance use intention. Technological Forecasting and Social Change, 168, 120763. [Google Scholar] [CrossRef]
  62. Lin, F., Xiong, B., Zhi, P., & Cheng, E. (2023). A three-dimensional framework of perceiving privacy: A cross-national survey on contact tracing technology and privacy concerns during the COVID-19 pandemic. Computers in Human Behavior, 152(1), 108047. [Google Scholar] [CrossRef]
  63. Lin, Y. L., Zheng, Y. X., & Ku, Y. C. (2025). Augmenting micro-moment recommendations with group and serendipity perspectives. Decision Support Systems, 193(2), 114454. [Google Scholar] [CrossRef]
  64. Liu, Z., Li, J., Wang, X., & Guo, Y. (2023). How search and evaluation cues influence consumers’ continuous watching and purchase intentions: An investigation of live-stream shopping from an information foraging perspective. Journal of Business Research, 168, 114233. [Google Scholar] [CrossRef]
  65. Lu, B., Yan, L., & Chen, Z. (2022). Perceived values, platform attachment and repurchase intention in on-demand service platforms: A cognition-affection-conation perspective. Journal of Retailing and Consumer Services, 67, 103024. [Google Scholar] [CrossRef]
  66. Lu, B., & Yi, X. (2023). Institutional trust and repurchase intention in the sharing economy: The moderating roles of information privacy concerns and security concerns. Journal of Retailing and Consumer Services, 73(2), 103327. [Google Scholar] [CrossRef]
  67. Lv, L., Chen, S., Gong, Z., Liu, G. G., Qin, H., & Zhang, H. (2025). Reducing privacy concerns in personalized advertising: The role of social-self information in recommendation labels. Journal of Business Research, 201, 115722. [Google Scholar] [CrossRef]
  68. Lwin, M., Williams, J., & Wirtz, J. (2007). Consumer online privacy concerns and responses: A power-responsibility equilibrium perspective. Journal of the Academy of Marketing Science, 35(4), 572–585. [Google Scholar] [CrossRef]
  69. Ma, A., Paek, J., Liu, F., & Kim, J. Y. (2024). Threats to personal control fuel similarity attraction. Proceedings of the National Academy of Sciences, 121(43), e2321189121. [Google Scholar] [CrossRef]
  70. Matsuoka, K. (2022). Effects of revenue management on perceived value, customer satisfaction, and customer loyalty. Journal of Business Research, 148, 131–148. [Google Scholar] [CrossRef]
  71. Mkedder, N., Jain, V., & Salunke, P. (2024). Determinants of virtual reality stores influencing purchase intention: An interpretive structural modeling approach. Journal of Retailing and Consumer Services, 78(1), 103757. [Google Scholar] [CrossRef]
  72. Mo, Z., Ma, J., Hamilton, R., & Zhao, Y. (2025). When compensatory consumption backfires: The asymmetric effect of self-threat on consumption preference and satisfaction. Journal of Business Research, 186(1), 115013. [Google Scholar] [CrossRef]
  73. Morimoto, M. (2021). Privacy concerns about personalized advertising across multiple social media platforms in Japan: The relationship with information control and persuasion knowledge. International Journal of Advertising, 40(3), 431–451. [Google Scholar] [CrossRef]
  74. Mousavi, N., Adamopoulos, P., & Bockstedt, J. (2023). The decoy effect and recommendation systems. Information Systems Research, 34(5), 1533–1553. [Google Scholar] [CrossRef]
  75. Nguyen, D. T., & McColl-Kennedy, J. (2003). Diffusing customer anger in service recovery: A conceptual framework. Australasian Marketing Journal (AMJ), 11(2), 46–55. [Google Scholar] [CrossRef]
  76. Overby, J., & Lee, E. J. (2006). The effects of utilitarian and hedonic online shopping value on consumer preference and intentions. Journal of Business Research, 59(10), 1160–1166. [Google Scholar] [CrossRef]
  77. Piehlmaier, D., & Gamiño, U. (2025). Fear and loathing in the supermarket: The effect of incidental stockouts on consumer anxiety. Journal of Marketing Analytics. [Google Scholar] [CrossRef]
  78. Pierce, J., Kostova, T., & Dirks, K. (2001). Toward a theory of psychological ownership in organizations. The Academy of Management Review, 26(2), 298. [Google Scholar] [CrossRef]
  79. Pizzi, G., Vannucci, V., Shukla, Y., & Aiello, G. (2022). Privacy concerns and justice perceptions with the disclosure of biometric versus behavioral data for personalized pricing tell me who you are, I’ll tell you how much you pay. Consumers’ fairness and privacy perceptions with personalized pricing. Journal of Business Research, 148(1), 420–432. [Google Scholar] [CrossRef]
  80. Raji, M., Olodo, H., Oke, T., Addy, W., Ofodile, O., & Oyewole, A. (2024). E-commerce and consumer behavior: A review of AI-powered personalization and market trends. GSC Advanced Research and Reviews, 18(3), 66–77. [Google Scholar] [CrossRef]
  81. Ravula, P., Jha, S., & Biswas, A. (2022). Relative persuasiveness of repurchase intentions versus recommendations in online reviews. Journal of Retailing, 98(4), 724–740. [Google Scholar] [CrossRef]
  82. Scaliza, J. A. A., Jugend, D., Chiappetta Jabbour, C. J., Latan, H., Armellini, F., Twigg, D., & Andrade, D. F. (2022). Relationships among organizational culture, open innovation, innovative ecosystems, and performance of firms: Evidence from an emerging economy context. Journal of Business Research, 140(3), 264–279. [Google Scholar] [CrossRef]
  83. Setyani, V., Zhu, Y. Q., Hidayanto, A., Sandhyaduhita, P., & Hsiao, B. (2019). Exploring the psychological mechanisms from personalized advertisements to urge to buy impulsively on social media. International Journal of Information Management, 48(4), 96–107. [Google Scholar] [CrossRef]
  84. Seymen, S., Sachs, A. L., & Malthouse, E. (2022, September 18–23). Making smart recommendations for perishable and stockout products. 2nd Workshop on Multi-Objective Recommender Systems (MORS 2022), Seattle, WA, USA. [Google Scholar]
  85. Shamsudin, M. F., Ramle, N. H., Nayan, S. M., Esa, S. A., & Kadir, B. (2020). Understanding customer expectation in facial treatment services in Malaysia. Journal of Critical Reviews, 7(19), 637–648. [Google Scholar]
  86. Sharma, P., Srivastava, A., Sharma, V., Singh, N., & Nijjer, S. (2023). Understanding consumer repurchase intentions towards luxury retail brands: Evidence from an emerging market. Journal of Retailing and Consumer Services, 76, 103570. [Google Scholar] [CrossRef]
  87. Sheth, J. (1981). An integrative theory of patronage preference and behavior. North Holland. [Google Scholar]
  88. Sheth, J., Newman, B., & Gross, B. (1991). Why we buy what we buy: A theory of consumption values. Journal of Business Research, 22(2), 159–170. [Google Scholar] [CrossRef]
  89. Sirgy, M. (1982). Self-Concept in Consumer Behavior: A Critical Review. Journal of Consumer Research, 9(3), 287–300. [Google Scholar] [CrossRef]
  90. Slepchuk, A., Milne, G., & Swani, K. (2021). Overcoming privacy concerns in consumers’ use of health information technologies: A justice framework. Journal of Business Research, 141(49), 782–793. [Google Scholar] [CrossRef]
  91. Song, D., Deng, Z., & Wang, B. (2024). Are companies better off with AI? The effect of AI service failure events on firm value. Industrial Management & Data Systems, 125(8), 504–534. [Google Scholar] [CrossRef]
  92. Teepapal, T. (2024). AI-Driven Personalization: Unraveling Consumer Perceptions in Social Media Engagement. Computers in Human Behavior, 165(4), 108549. [Google Scholar] [CrossRef]
  93. Tran, T. P., Lin, C. W., Baalbaki, S., & Guzmán, F. (2020). How personalized advertising affects equity of brands advertised on Facebook? A mediation mechanism. Journal of Business Research, 120, 1–15. [Google Scholar] [CrossRef]
  94. Ullah, S., Zaefarian, G., & Ullah, F. (2021). How to use instrumental variables in addressing endogeneity? A step-by-step procedure for non-specialists. Industrial Marketing Management, 96(3), A1–A6. [Google Scholar] [CrossRef]
  95. Vorderer, P., Klimmt, C., & Ritterfeld, U. (2004). Enjoyment: At the heart of media entertainment. Communication Theory, 14(4), 388–408. [Google Scholar] [CrossRef]
  96. Wang, L., Zhang, G., & Jiang, D. (2024). Encountering product information: How flashes of insight improve your decisions on e-commerce platforms. Journal of Theoretical and Applied Electronic Commerce Research, 19, 2180–2197. [Google Scholar] [CrossRef]
  97. Wang, W., Qiu, L., Kim, D., & Benbasat, I. (2016). Effects of rational and social appeals of online recommendation agents on cognition- and affect-based trust. Decision Support Systems, 86, 48–60. [Google Scholar] [CrossRef]
  98. Wang, Y., Zhu, J., Liu, R., & Jiang, Y. (2024). Enhancing recommendation acceptance: Resolving the personalization–privacy paradox in recommender systems: A privacy calculus perspective. International Journal of Information Management, 76(1), 102755. [Google Scholar] [CrossRef]
  99. Wang, Y. S., Wu, S. C., Lin, H. H., & Wang, Y. Y. (2011). The relationship of service failure severity, service recovery justice and perceived switching costs with customer loyalty in the context of e-tailing. International Journal of Information Management, 31(4), 350–359. [Google Scholar] [CrossRef]
  100. Whang, J. B., Song, J. H., Lee, J. H., & Choi, B. (2022). Interacting with Chatbots: Message type and consumers’ control. Journal of Business Research, 153(1), 309–318. [Google Scholar] [CrossRef]
  101. Wu, W., Wang, X., & Xia, Q. (2024). Why leave items in the shopping cart? The impact of consumer filtering behavior. Information Processing & Management, 61(6), 103854. [Google Scholar] [CrossRef]
  102. Xu, X., Jia, Q., & Tayyab, S. (2023). The exploration of customization in augmented reality from the affordance lens: A three-stage hybrid approach. Technological Forecasting and Social Change, 194(1), 122729. [Google Scholar] [CrossRef]
  103. Yalcin Williams, G., & Lim, S. (2024). Psychology of AI: How AI impacts the way people feel, think, and behave. Current Opinion in Psychology, 58, 101835. [Google Scholar] [CrossRef] [PubMed]
  104. Yang, T., Yang, F., & Men, J. (2023). Recommendation content matters! Exploring the impact of the recommendation content on consumer decisions from the means-end chain perspective. International Journal of Information Management, 68(3), 102589. [Google Scholar] [CrossRef]
  105. Yi, C., Jiang, Z., & Benbasat, I. (2017). Designing for diagnosticity and serendipity: An investigation of social product-search mechanisms. Information Systems Research, 28(2), 413–429. [Google Scholar] [CrossRef]
  106. Zhang, X., Dearden, J. A., & Yao, Y. (2022). Let them stay or let them go? Online retailer pricing strategy for managing stockouts. Production and Operations Management, 31(2), 4173–4190. [Google Scholar] [CrossRef]
  107. Zhao, H., & Wagner, C. (2022). How TikTok leads users to flow experience: Investigating the effects of technology affordances with user experience level and video length as moderators. Internet Research, 33(5), 820–849. [Google Scholar] [CrossRef]
  108. Zhou, C., & Chang, Q. (2024). Informational or emotional? Exploring the relative effects of chatbots’ self-recovery strategies on consumer satisfaction. Journal of Retailing and Consumer Services, 78(2), 103779. [Google Scholar] [CrossRef]
  109. Zhou, H. (2023). Intelligent personalized content recommendations based on neural networks. International Journal of Intelligent Networks, 4(3), 231–239. [Google Scholar] [CrossRef]
  110. Zhu, X., Lu, Z., Wu, G., & Tian, H. (2024). How to acquire customer loyalty in online retailing industry? An empirical study from service recovery perspective. Electronic Commerce Research and Applications, 65(3), 101385. [Google Scholar] [CrossRef]
Figure 1. Research model.
Figure 1. Research model.
Behavsci 15 01507 g001
Figure 2. Structural model results. Note: ***, ** statistically significant at the 1 percent and 5 percent levels.
Figure 2. Structural model results. Note: ***, ** statistically significant at the 1 percent and 5 percent levels.
Behavsci 15 01507 g002
Figure 3. Moderating effect of PC between PFV and PPI.
Figure 3. Moderating effect of PC between PFV and PPI.
Behavsci 15 01507 g003
Figure 4. NCA scatter plots. Note: blue dots represent observations.
Figure 4. NCA scatter plots. Note: blue dots represent observations.
Behavsci 15 01507 g004
Table 1. Demographics of respondents.
Table 1. Demographics of respondents.
VariablesNumbersPercentage (%)
GenderMale21144.1
Female26855.9
AgeUnder 20204.2
21–3024952.0
31–4017135.7
41–50255.2
50 and above142.9
EducationJunior college and below428.8
Undergraduate35774.5
Postgraduate8016.7
OccupationStudent9018.8
Employee38379.9
Others61.3
Monthly income (RMB)Under 20006212.9
2000–3999316.5
4000–59995611.7
6000–79997515.7
8000–999910221.3
10,000 and above15331.9
Purchase history (Year)Below 1142.9
2–39319.4
4–512325.7
6–710421.7
8 and above14530.3
Table 2. Reliability and validity analysis.
Table 2. Reliability and validity analysis.
VariableItemLoadingCronbach’s αCRAVE
Perceived fitPF10.8340.7940.8790.708
(PF)PF20.855
PF30.834
Perceived personalizationPP10.8690.8590.9140.780
(PP)PP20.898
PP30.882
Perceived serendipityPS10.8560.7690.8660.683
(PS)PS20.755
PS30.864
Perceived functional valuePFV10.8950.8590.9140.780
(PFV)PFV20.877
PFV30.877
Perceived emotional valuePEV10.8850.8870.930.815
(PEV)PEV20.910
PEV30.913
Post-purchase intentionPPI10.8790.8480.9080.767
(PPI)PPI20.852
PPI30.897
Privacy concernsPC10.9450.9620.9720.897
(PC)PC20.944
PC30.953
PC40.946
Table 3. Discriminant validity analysis.
Table 3. Discriminant validity analysis.
PPPPIPFVPEVPSPFPC
PP0.883
PPI0.5790.876
PFV0.6260.6700.883
PEV0.7350.7020.7500.903
PS0.6410.5380.6150.6470.827
PF0.6630.5510.6360.6470.4900.841
PC−0.382−0.359−0.254−0.424−0.355−0.3070.947
Table 4. Heterotrait–Monotrait (HTMT) ratio.
Table 4. Heterotrait–Monotrait (HTMT) ratio.
PPPPIPFVPEVPSPFPC
PP
PPI0.678
PFV0.7290.783
PEV0.8410.8090.858
PS0.780.6560.750.771
PF0.8010.6710.7690.7670.621
PC0.420.3970.2790.4580.4020.351
Table 5. Common method bias analysis.
Table 5. Common method bias analysis.
ConstructIndicatorSubstantive Factor Loading (R1)R12Method Factor Loading (R2)R22
Perceived fitPF10.8400.706−0.0680.005
PF20.8480.7190.0370.001
PF30.8360.6990.0300.001
Perceived personalizationPP10.8680.7530.0960.009
PP20.9010.812−0.0840.007
PP30.8810.776−0.0100.000
Perceived serendipityPS10.8540.7290.0360.001
PS20.7770.604−0.1840.034
PS30.8490.7210.1240.015
Perceived functional valuePFV10.8940.7990.0060.000
PFV20.8750.7660.0100.000
PFV30.8810.776−0.0160.000
Perceived emotional valuePEV10.8810.7760.1900.036
PEV20.9140.835−0.1960.038
PEV30.9140.8350.0070.000
Post-purchase intentionPPI10.8810.776−0.0460.002
PPI20.8480.7190.1110.012
PPI30.8980.806−0.0610.004
Privacy concernsPC10.9460.8950.0280.001
PC20.9410.885−0.0300.001
PC30.9530.908−0.0130.000
PC40.9480.8990.0140.000
Average 0.782 0.008
Table 6. PLS structural model results.
Table 6. PLS structural model results.
PathStd. Betat-Value2.5%CI97.5%CIR2Q2f2
H1: PF→PFV0.3566.7020.2500.459 0.153
H2: PP→PFV0.1833.1480.0690.2970.5400.4140.031
H3: PS→PFV0.3235.9580.2170.427 0.132
H4:PF→PEV0.2535.7360.1680.340 0.095
H5: PP→PEV0.3948.5490.3030.4810.6280.5050.179
H6: PS→PEV0.2706.1590.1820.356 0.114
H7a: PFV→PPI0.3145.3360.2020.4340.5630.4190.088
H7b: PEV→PPI0.3967.6140.2930.499 0.129
Table 7. Assessment of unobserved heterogeneity.
Table 7. Assessment of unobserved heterogeneity.
Number of Segments
CriteriaK = 1K = 2K = 3
AIC (Akaike’s information criterion)2867.8762728.442684.011
AIC3 (modified AIC with Factor 3)2881.8762757.442728.011
AIC4 (modified AIC with Factor 4)2895.8762786.442772.011
BIC (Bayesian information criterion)2926.282849.4192867.566
CAIC (consistent AIC)2940.282878.4192911.566
HQ (Hannan-Quinn criterion)2890.8352775.9982756.169
MDL5 (minimum description length with factor 5)3271.8953565.3363953.785
LnL (LogLikelihood)−1419.938−1335.22−1298.006
EN (normed entropy statistic)NA0.3530.447
NFI (non-fuzzy index)NA0.4060.446
NEC (normalized entropy criterion)NA309.969264.851
Note: NA: not available.
Table 8. Assessment of endogeneity bias.
Table 8. Assessment of endogeneity bias.
Testβp-ValuezConclusion
PF→PFV (Selection DV = PEV; IV = PP)0.2890.000 ***5.97 ***No bias present
PF→PEV (Selection DV = PFV; IV = PP)0.4670.000 ***5.87 ***No bias present
PP→PFV (Selection DV = PEV; IV = PF)0.1540.006 ***2.76 ***No bias present
PP→PEV (Selection DV = PFV; IV = PF)0.5050.000 ***13.01 ***No bias present
PS→PFV (Selection DV = PEV; IV = PP)0.1270.023 **2.27 **No bias present
PS→PEV (Selection DV = PFV; IV = PP)0.4440.000 ***7.94 ***No bias present
PFV→PPI (Selection DV = PC; IV = PEV)0.5850.000 ***9.04 ***No bias present
PEV→PPI (Selection DV = PC; IV = PFV)1.0430.000 ***4.58 ***No bias present
Note: DV = dependent variables, IV = independent variables; ***, ** statistically significant at the 1 percent and 5 percent levels.
Table 9. Assessment of nonlinear effects.
Table 9. Assessment of nonlinear effects.
Nonlinear Relationshipβp-Value
QE(PF)→PFV0.0290.295
QE(PF)→PEV0.0370.068
QE(PP)→PFV−0.0230.509
QE(PP)→PEV−0.0390.110
QE(PS)→PFV−0.0520.232
QE(PS)→PEV0.0270.332
QE(PFV)→PPI0.0070.835
QE(PEV)→PPI0.0100.780
Note: QE: quadratic effect.
Table 10. NCA effect sizes.
Table 10. NCA effect sizes.
PFV PEV PPI
CE-FDHp-ValueCE-FDHp-ValueCE-FDHp-Value
Effect Size Effect Size Effect Size
PF0.1000.0000.1780.000
PP010.1540.000
PS0.0260.5900.1320.006
PFV 0.2010.000
PEV 0.1430.001
Table 11. Bottleneck table (percentages).
Table 11. Bottleneck table (percentages).
PFVPEVPPI
Y (%)PFY (%)PFPSPPY (%)PFVPEV
NNNNNNNNNNNNNNNNNN
10NN10NNNNNN106.2NN
20NN20NNNNNN206.2NN
30NN30NN5.9NN3012.5NN
40NN40NN5.916.74012.5NN
50NN5022.25.916.75012.5NN
60NN6022.25.916.76018.817.6
70NN7033.35.922.27018.817.6
8027.88044.441.233.38018.823.5
9055.69066.747.166.79068.764.7
10066.710066.747.166.710068.770.6
Note: NN represent “Not Necessary”.
Disclaimer/Publisher’s Note: The statements, opinions and data contained in all publications are solely those of the individual author(s) and contributor(s) and not of MDPI and/or the editor(s). MDPI and/or the editor(s) disclaim responsibility for any injury to people or property resulting from any ideas, methods, instructions or products referred to in the content.

Share and Cite

MDPI and ACS Style

Dai, B.; Zhu, J.; Zhu, X. The Impact of AI-Recommended Content Affordances on Post-Purchase Intention in Stockout Substitution Scenarios. Behav. Sci. 2025, 15, 1507. https://doi.org/10.3390/bs15111507

AMA Style

Dai B, Zhu J, Zhu X. The Impact of AI-Recommended Content Affordances on Post-Purchase Intention in Stockout Substitution Scenarios. Behavioral Sciences. 2025; 15(11):1507. https://doi.org/10.3390/bs15111507

Chicago/Turabian Style

Dai, Beibei, Jianming Zhu, and Xiaoling Zhu. 2025. "The Impact of AI-Recommended Content Affordances on Post-Purchase Intention in Stockout Substitution Scenarios" Behavioral Sciences 15, no. 11: 1507. https://doi.org/10.3390/bs15111507

APA Style

Dai, B., Zhu, J., & Zhu, X. (2025). The Impact of AI-Recommended Content Affordances on Post-Purchase Intention in Stockout Substitution Scenarios. Behavioral Sciences, 15(11), 1507. https://doi.org/10.3390/bs15111507

Note that from the first issue of 2016, this journal uses article numbers instead of page numbers. See further details here.

Article Metrics

Article metric data becomes available approximately 24 hours after publication online.
Back to TopTop