Risk for Adolescent Substance Use Initiation: Associations with Large-Scale Brain Network Recruitment During Emotional Inhibitory Control
Abstract
1. Introduction
2. Method
2.1. Participants
2.2. Substance Use Initiation
2.3. Emotional Go-NoGo Task
2.4. Magnetic Resonance Imaging
2.5. FMRI Data Processing
2.5.1. Data Preprocessing
2.5.2. fMRI Statistical Modeling
2.5.3. Extraction of Network Activation Weights
2.6. Statistical Analysis
2.6.1. Behavioral Measures
2.6.2. Network Activation
3. Results
3.1. Behavioral Measures
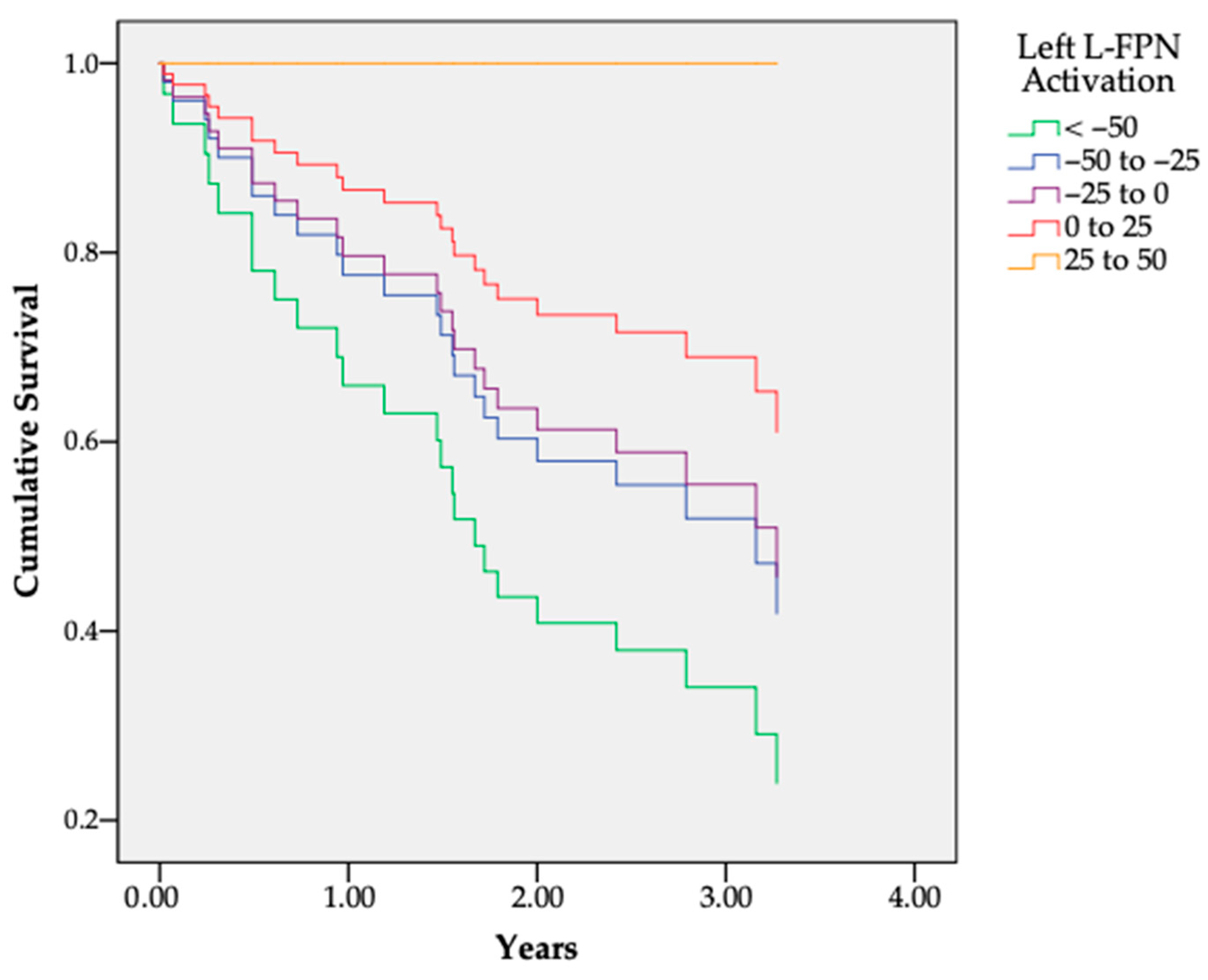
3.2. Network Activation and Substance Use Initiation
4. Discussion
5. Conclusions
Supplementary Materials
Author Contributions
Funding
Institutional Review Board Statement
Informed Consent Statement
Data Availability Statement
Conflicts of Interest
References
- Bava, S., & Tapert, S. F. (2010). Adolescent brain development and the risk for alcohol and other drug problems. Neuropsychology Review, 20(4), 398–413. [Google Scholar] [CrossRef] [PubMed]
- Berg, J. M., Latzman, R. D., Bliwise, N. G., & Lilienfeld, S. O. (2015). Parsing the heterogeneity of impulsivity: A meta-analytic review of the behavioral implications of the UPPS for psychopathology. Psychological Assessment, 27(4), 1129–1146. [Google Scholar] [CrossRef]
- Bhatia, D., Mikulich, S. K., Natvig, C., & Sakai, J. T. (2023). Emergence of sex differences in U.S. adolescent substance use. Substance Use & Misuse, 58(8), 1021–1029. [Google Scholar] [CrossRef]
- Bravo, A. J., Pilatti, A., Pearson, M. R., Mezquita, L., Ibanez, M. I., & Ortet, G. (2018). Depressive symptoms, ruminative thinking, drinking motives, and alcohol outcomes: A multiple mediation model among college students in three countries. Addictive Behaviors, 76, 319–327. [Google Scholar] [CrossRef]
- Brown, M. R., Benoit, J. R., Juhas, M., Lebel, R. M., MacKay, M., Dametto, E., Silverstone, P. H., Dolcos, F., Dursun, S. M., & Greenshaw, A. J. (2015). Neural correlates of high-risk behavior tendencies and impulsivity in an emotional Go/NoGo fMRI task. Frontiers in Systems Neuroscience, 9, 24. [Google Scholar] [CrossRef]
- Casey, B. J., Galván, A., & Somerville, L. H. (2016). Beyond simple models of adolescence to an integrated circuit-based account: A commentary. Developmental Cognitive Neuroscience, 17, 128–130. [Google Scholar] [CrossRef] [PubMed]
- Casey, B. J., & Jones, R. M. (2010). Neurobiology of the adolescent brain and behavior: Implications for substance use disorders. Journal of the American Academy of Child & Adolescent Psychiatry, 49(12), 1189–1201; quiz 1285. [Google Scholar] [CrossRef]
- Cohen-Gilbert, J. E., Nickerson, L. D., Seraikas, A. M., Oot, E. N., Rieselbach, M. M., Schuttenberg, E. M., Sneider, J. T., & Silveri, M. M. (2022). Large-scale brain network activation during emotional inhibitory control: Associations with alcohol misuse in college freshmen. Alcoholism: Clinical and Experimental Research, 46(3), 410–421. [Google Scholar] [CrossRef]
- Cohen-Gilbert, J. E., Nickerson, L. D., Sneider, J. T., Oot, E. N., Seraikas, A. M., Rohan, M. L., & Silveri, M. M. (2017). College binge drinking associated with decreased frontal activation to negative emotional distractors during inhibitory control. Frontiers in Psychology, 8, 1650. [Google Scholar] [CrossRef]
- Cohen-Gilbert, J. E., & Thomas, K. M. (2013). Inhibitory control during emotional distraction across adolescence and early adulthood. Child Development, 84(6), 1954–1966. [Google Scholar] [CrossRef] [PubMed]
- Cole, M. W., Bassett, D. S., Power, J. D., Braver, T. S., & Petersen, S. E. (2014). Intrinsic and task-evoked network architectures of the human brain. Neuron, 83(1), 238–251. [Google Scholar] [CrossRef]
- Corbetta, M., Patel, G., & Shulman, G. L. (2008). The reorienting system of the human brain: From environment to theory of mind. Neuron, 58(3), 306–324. [Google Scholar] [CrossRef]
- Corbetta, M., & Shulman, G. L. (2002). Control of goal-directed and stimulus-driven attention in the brain. Nature Reviews Neuroscience, 3(3), 201–215. [Google Scholar] [CrossRef]
- Crews, F. T., Vetreno, R. P., Broadwater, M. A., & Robinson, D. L. (2016). Adolescent alcohol exposure persistently impacts adult neurobiology and behavior. Pharmacological Reviews, 68(4), 1074–1109. [Google Scholar] [CrossRef] [PubMed]
- Cross, C. P., Copping, L. T., & Campbell, A. (2011). Sex differences in impulsivity: A meta-analysis. Psychological Bulletin, 137(1), 97. [Google Scholar] [CrossRef] [PubMed]
- Dick, D. M., Smith, G., Olausson, P., Mitchell, S. H., Leeman, R. F., O’Malley, S. S., & Sher, K. (2010). Understanding the construct of impulsivity and its relationship to alcohol use disorders. Addiction Biology, 15(2), 217–226. [Google Scholar] [CrossRef]
- Dir, A. L., Bell, R. L., Adams, Z. W., & Hulvershorn, L. A. (2017). Gender Differences in Risk Factors for Adolescent Binge Drinking and Implications for Intervention and Prevention. Frontiers in Psychiatry, 8, 289. [Google Scholar] [CrossRef] [PubMed]
- Dosenbach, N. U., Fair, D. A., Cohen, A. L., Schlaggar, B. L., & Petersen, S. E. (2008). A dual-networks architecture of top-down control. Trends in Cognitive Sciences, 12(3), 99–105. [Google Scholar] [CrossRef] [PubMed]
- Fischer, S., Anderson, K. G., & Smith, G. T. (2004). Coping with distress by eating or drinking: Role of trait urgency and expectancies. Psychology of Addictive Behaviors, 18(3), 269–274. [Google Scholar] [CrossRef]
- Galvan, A. (2021). Adolescent brain development and contextual influences: A decade in review. Journal of Research on Adolescence, 31(4), 843–869. [Google Scholar] [CrossRef]
- Garavan, H., Ross, T., Murphy, K., Roche, R., & Stein, E. (2002). Dissociable executive functions in the dynamic control of behavior: Inhibition, error detection, and correction. Neuroimage, 17(4), 1820–1829. [Google Scholar] [CrossRef]
- Goodwin, S. R., Moskal, D., Marks, R. M., Clark, A. E., Squeglia, L. M., & Roche, D. J. O. (2022). A Scoping Review of Gender, Sex and Sexuality Differences in Polysubstance Use in Adolescents and Adults. Alcohol and Alcoholism, 57(3), 292–321. [Google Scholar] [CrossRef] [PubMed]
- Harris, P. A., Taylor, R., Thielke, R., Payne, J., Gonzalez, N., & Conde, J. G. (2009). Research electronic data capture (REDCap)—A metadata-driven methodology and workflow process for providing translational research informatics support. Journal of Biomedical Informatics, 42(2), 377–381. [Google Scholar] [CrossRef] [PubMed]
- Hingson, R. W., Zha, W., & Smyth, D. (2017). Magnitude and trends in heavy episodic drinking, alcohol-impaired driving, and alcohol-related mortality and overdose hospitalizations among emerging adults of college ages 18–24 in the United States, 1998–2014. Journal of Studies on Alcohol and Drugs, 78(4), 540–548. [Google Scholar] [CrossRef]
- Hollingshead, A. A. (1975). Four factor index of social status. Yale University. [Google Scholar]
- Hulvershorn, L. A., Hummer, T. A., Fukunaga, R., Leibenluft, E., Finn, P., Cyders, M. A., Anand, A., Overhage, L., Dir, A., & Brown, J. (2015). Neural activation during risky decision-making in youth at high risk for substance use disorders. Psychiatry Research: Neuroimaging, 233(2), 102–111. [Google Scholar] [CrossRef]
- Kaczkurkin, A. N., Raznahan, A., & Satterthwaite, T. D. (2019). Sex differences in the developing brain: Insights from multimodal neuroimaging. Neuropsychopharmacology, 44(1), 71–85. [Google Scholar] [CrossRef]
- Knight, J. R., Sherritt, L., Shrier, L. A., Harris, S. K., & Chang, G. (2002). Validity of the CRAFFT substance abuse screening test among adolescent clinic patients. Archives of Pediatrics & Adolescent Medicine, 156(6), 607–614. [Google Scholar] [CrossRef]
- Kuhn, C. (2015). Emergence of sex differences in the development of substance use and abuse during adolescence. Pharmacology & Therapeutics, 153, 55–78. [Google Scholar] [CrossRef]
- Laird, A. R., Fox, P. M., Eickhoff, S. B., Turner, J. A., Ray, K. L., McKay, D. R., Glahn, D. C., Beckmann, C. F., Smith, S. M., & Fox, P. T. (2011). Behavioral interpretations of intrinsic connectivity networks. Journal of Cognitive Neuroscience, 23(12), 4022–4037. [Google Scholar] [CrossRef]
- Lang, P. J., Bradley, M. M., & Cuthbert, B. N. (2008). International affective picture system (IAPS): Affective ratings of pictures and instruction manual. Technical Report A-8, Issue. University of Florida. [Google Scholar]
- Larsen, B., & Luna, B. (2018). Adolescence as a neurobiological critical period for the development of higher-order cognition. Neuroscience & Biobehavioral Reviews, 94, 179–195. [Google Scholar] [CrossRef]
- Lees, B., Meredith, L. R., Kirkland, A. E., Bryant, B. E., & Squeglia, L. M. (2020). Effect of alcohol use on the adolescent brain and behavior. Pharmacology Biochemistry and Behavior, 192, 172906. [Google Scholar] [CrossRef]
- Lenroot, R. K., & Giedd, J. N. (2010). Sex differences in the adolescent brain. Brain and Cognition, 72(1), 46–55. [Google Scholar] [CrossRef] [PubMed]
- Luna, B., Marek, S., Larsen, B., Tervo-Clemmens, B., & Chahal, R. (2015). An integrative model of the maturation of cognitive control. Annual Review of Neuroscience, 38, 151–170. [Google Scholar] [CrossRef]
- Lund, M. J., Alnaes, D., Rokicki, J., Schwab, S., Andreassen, O. A., Westlye, L. T., & Kaufmann, T. (2022). Functional connectivity directionality between large-scale resting-state networks across typical and non-typical trajectories in children and adolescence. PLoS ONE, 17(12), e0276221. [Google Scholar] [CrossRef] [PubMed]
- Mazziotta, J., Toga, A., Evans, A., Fox, P., Lancaster, J., Zilles, K., Woods, R., Paus, T., Simpson, G., Pike, B., Holmes, C., Collins, L., Thompson, P., MacDonald, D., Iacoboni, M., Schormann, T., Amunts, K., Palomero-Gallagher, N., Geyer, S., … Mazoyer, B. (2001a). A four-dimensional probabilistic atlas of the human brain. Journal of the American Medical Informatics Association: JAMIA, 8(5), 401–430. [Google Scholar] [CrossRef] [PubMed]
- Mazziotta, J., Toga, A., Evans, A., Fox, P., Lancaster, J., Zilles, K., Woods, R., Paus, T., Simpson, G., Pike, B., Holmes, C., Collins, L., Thompson, P., MacDonald, D., Iacoboni, M., Schormann, T., Amunts, K., Palomero-Gallagher, N., Geyer, S., … Mazoyer, B. (2001b). A probabilistic atlas and reference system for the human brain: International Consortium for Brain Mapping (ICBM). Philosophical Transactions of the Royal Society of London. Series B, Biological Sciences, 356(1412), 1293–1322. [Google Scholar] [CrossRef] [PubMed]
- McHugh, R. K., Votaw, V. R., Sugarman, D. E., & Greenfield, S. F. (2018). Sex and gender differences in substance use disorders. Clinical Psychology Review, 66, 12–23. [Google Scholar] [CrossRef]
- McQuaid, G. A., Darcey, V. L., Patterson, A. E., Rose, E. J., VanMeter, A. S., & Fishbein, D. H. (2022). Baseline brain and behavioral factors distinguish adolescent substance initiators and non-initiators at follow-up. Frontiers in Psychiatry, 13, 1025259. [Google Scholar] [CrossRef]
- Morales, A. M., Jones, S. A., Ehlers, A., Lavine, J. B., & Nagel, B. J. (2018). Ventral striatal response during decision making involving risk and reward is associated with future binge drinking in adolescents. Neuropsychopharmacology, 43(9), 1884–1890. [Google Scholar] [CrossRef]
- Nickerson, L. D. (2018). Replication of resting state-task network correspondence and novel findings on brain network activation during task fMRI in the human connectome project study. Scientific Reports, 8(1), 17543. [Google Scholar] [CrossRef]
- Norman, A. L., Pulido, C., Squeglia, L. M., Spadoni, A. D., Paulus, M. P., & Tapert, S. F. (2011). Neural activation during inhibition predicts initiation of substance use in adolescence. Drug and Alcohol Dependence, 119(3), 216–223. [Google Scholar] [CrossRef]
- Pedrelli, P., MacPherson, L., Khan, A., Shapero, B., Fisher, L., Nyer, M., Cassano, P., Farabaugh, A., Parnarouskis, L., Fava, M., & Silveri, M. M. (2018). Sex differences in the association between heavy drinking and behavioral distress tolerance and emotional reactivity among young adults. Alcohol and Alcoholism, 53(6), 674–681. [Google Scholar] [CrossRef]
- Peeters, M., Oldehinkel, T., & Vollebergh, W. (2017). Behavioral control and reward sensitivity in adolescents’ risk taking behavior: A longitudinal TRAILS study. Frontiers in Psychology, 8, 231. [Google Scholar] [CrossRef]
- Perkins, H. W. (2002). Surveying the damage: A review of research on consequences of alcohol misuse in college populations. Journal of Studies on Alcohol, Supplement, 63(S14), 91–100. [Google Scholar] [CrossRef]
- Petersen, A. C., Crockett, L., Richards, M., & Boxer, A. (1988). A self-report measure of pubertal status: Reliability, validity, and initial norms. Journal of Youth and Adolescence, 17(2), 117–133. [Google Scholar] [CrossRef]
- Pruim, R. H. R., Mennes, M., Buitelaar, J. K., & Beckmann, C. F. (2015). Evaluation of ICA-AROMA and alternative strategies for motion artifact removal in resting state fMRI. Neuroimage, 112, 278–287. [Google Scholar] [CrossRef] [PubMed]
- SAMHSA. (2020). Results from the 2019 National Survey on Drug Use and Health (NSDUH): Key substance use and mental health indicators in the United States. SAMHSA Publications and Digital Products. [Google Scholar]
- Sheehan, D. V., Sheehan, K. H., Shytle, R. D., Janavs, J., Bannon, Y., Rogers, J. E., Milo, K. M., Stock, S. L., & Wilkinson, B. (2010). Reliability and validity of the Mini International Neuropsychiatric Interview for Children and Adolescents (MINI-KID). The Journal of Clinical Psychiatry, 71(3), 313–326. [Google Scholar] [CrossRef]
- Silveri, M. M. (2012). Adolescent brain development and underage drinking in the United States: Identifying risks of alcohol use in college populations. Harvard Review of Psychiatry, 20(4), 189–200. [Google Scholar] [CrossRef] [PubMed]
- Silveri, M. M., Dager, A. D., Cohen-Gilbert, J. E., & Sneider, J. T. (2016). Neurobiological signatures associated with alcohol and drug use in the human adolescent brain. Neuroscience & Biobehavioral Reviews, 70, 244–259. [Google Scholar] [CrossRef]
- Smith, S. M., Fox, P. T., Miller, K. L., Glahn, D. C., Fox, P. M., Mackay, C. E., Filippini, N., Watkins, K. E., Toro, R., Laird, A. R., & Beckmann, C. F. (2009). Correspondence of the brain’s functional architecture during activation and rest. Proceedings of the National Academy of Sciences, 106(31), 13040–13045. [Google Scholar] [CrossRef]
- Smith, S. M., Jenkinson, M., Woolrich, M. W., Beckmann, C. F., Behrens, T. E., Johansen-Berg, H., Bannister, P. R., De Luca, M., Drobnjak, I., Flitney, D. E., Niazy, R. K., Saunders, J., Vickers, J., Zhang, Y., De Stefano, N., Brady, J. M., & Matthews, P. M. (2004). Advances in functional and structural MR image analysis and implementation as FSL. Neuroimage, 23(Suppl. S1), S208–S219. [Google Scholar] [CrossRef] [PubMed]
- Smith, S. M., Nichols, T. E., Vidaurre, D., Winkler, A. M., Behrens, T. E., Glasser, M. F., Ugurbil, K., Barch, D. M., Van Essen, D. C., & Miller, K. L. (2015). A positive-negative mode of population covariation links brain connectivity, demographics and behavior. Nature Neuroscience, 18(11), 1565–1567. [Google Scholar] [CrossRef]
- Sousa, S. S., Sampaio, A., Marques, P., Lopez-Caneda, E., Goncalves, O. F., & Crego, A. (2019). Functional and structural connectivity of the executive control network in college binge drinkers. Addictive Behaviors, 99, 106009. [Google Scholar] [CrossRef] [PubMed]
- Spear, L. P. (2000). The adolescent brain and age-related behavioral manifestations. Neuroscience & Biobehavioral Reviews, 24(4), 417–463. [Google Scholar] [CrossRef] [PubMed]
- Spear, L. P. (2016). Consequences of adolescent use of alcohol and other drugs: Studies using rodent models. Neuroscience & Biobehavioral Reviews, 70, 228–243. [Google Scholar] [CrossRef] [PubMed]
- Squeglia, L. M., & Cservenka, A. (2017). Adolescence and drug use vulnerability: Findings from neuroimaging. Current Opinion in Behavioral Sciences, 13, 164–170. [Google Scholar] [CrossRef]
- Steinberg, L. (2008). A social neuroscience perspective on adolescent risk-taking. Developmental Review, 28(1), 78–106. [Google Scholar] [CrossRef]
- Steinfeld, M. R., & Torregrossa, M. M. (2023). Consequences of adolescent drug use. Translational Psychiatry, 13(1), 313. [Google Scholar] [CrossRef]
- Tervo-Clemmens, B., Quach, A., Calabro, F. J., Foran, W., & Luna, B. (2020). Meta-analysis and review of functional neuroimaging differences underlying adolescent vulnerability to substance use. Neuroimage, 209, 116476. [Google Scholar] [CrossRef]
- Uddin, L. Q., Yeo, B. T. T., & Spreng, R. N. (2019). Towards a universal taxonomy of macro-scale functional human brain networks. Brain Topography, 32(6), 926–942. [Google Scholar] [CrossRef]
- Verdejo-Garcia, A., Bechara, A., Recknor, E. C., & Perez-Garcia, M. (2007). Negative emotion-driven impulsivity predicts substance dependence problems. Drug and Alcohol Dependence, 91(2–3), 213–219. [Google Scholar] [CrossRef]
- Vijayakumar, N., Op de Macks, Z., Shirtcliff, E. A., & Pfeifer, J. H. (2018). Puberty and the human brain: Insights into adolescent development. Neuroscience & Biobehavioral Reviews, 92, 417–436. [Google Scholar] [CrossRef]
- Wechsler, D. (1999). Wechsler abbreviated scale of intelligence. Hartcourt Brace and Company. [Google Scholar]
- Wetherill, R. R., Castro, N., Squeglia, L. M., & Tapert, S. F. (2013). Atypical neural activity during inhibitory processing in substance-naive youth who later experience alcohol-induced blackouts. Drug and Alcohol Dependence, 128(3), 243–249. [Google Scholar] [CrossRef]
- Wiese, A. L., Sease, T. B., Knight, D., & Knight, K. (2022). Analyses of the TCU drug screen 5: Using an item response theory model with a sample of juvenile justice youth. Journal of Offender Rehabilitation, 61(8), 442–455. [Google Scholar] [CrossRef] [PubMed]
- Wilcox, C. E., Abbott, C. C., & Calhoun, V. D. (2019). Alterations in resting-state functional connectivity in substance use disorders and treatment implications. Progress in Neuro-Psychopharmacology and Biological Psychiatry, 91, 79–93. [Google Scholar] [CrossRef]
- Worhunsky, P. D., Dager, A. D., Meda, S. A., Khadka, S., Stevens, M. C., Austad, C. S., Raskin, S. A., Tennen, H., Wood, R. M., Fallahi, C. R., Potenza, M. N., & Pearlson, G. D. (2016). A preliminary prospective study of an escalation in ‘maximum daily drinks’, fronto-parietal circuitry and impulsivity-related domains in young adult drinkers. Neuropsychopharmacology, 41(6), 1637–1647. [Google Scholar] [CrossRef]
- Yeo, B. T., Krienen, F. M., Sepulcre, J., Sabuncu, M. R., Lashkari, D., Hollinshead, M., Roffman, J. L., Smoller, J. W., Zollei, L., Polimeni, J. R., Fischl, B., Liu, H., & Buckner, R. L. (2011). The organization of the human cerebral cortex estimated by intrinsic functional connectivity. Journal of Neurophysiology, 106(3), 1125–1165. [Google Scholar] [CrossRef] [PubMed]
- Yong, X., Hong, L., & Jia-Jin, Y. (2010). Negative emotion interferes with behavioral inhibitory control: An ERP study. Acta Psychologica Sinica, 42(3), 334. [Google Scholar] [CrossRef]
- Zhu, X., Cortes, C. R., Mathur, K., Tomasi, D., & Momenan, R. (2017). Model-free functional connectivity and impulsivity correlates of alcohol dependence: A resting-state study. Addiction Biology, 22(1), 206–217. [Google Scholar] [CrossRef]



| Age (years) | 13.8 ± 0.6 |
| Female/Male | 31/25 |
| Education (years) | 7.5 ± 0.7 |
| SES a | 52.1 ± 8.3 |
| Handedness | 55R, 1L |
| Ethnicity b | 98% Non-Hispanic 2% Hispanic |
| Race c | 80% Caucasian 5% Asian 15% Multi-racial |
| WASI IQ estimate (2-subtest) | 115.2 ± 10.5 |
| Puberty d | 2.8 ± 0.7 |
| Measure | Negative | Neutral |
|---|---|---|
| NoGo accuracy (%) | 53.10 (16.74) | 57.38 (18.87) |
| Go accuracy (%) | 97.46 (3.39) | 98.33 (2.90) |
| Go reaction time (ms) | 376.51 (47.52) | 361.77 (39.42) |
| Beta | SE | Wald | df | p | Hazard Ratio | 95% CI | ||
|---|---|---|---|---|---|---|---|---|
| Negative NoGo Accuracy | −0.006 | 0.012 | 0.219 | 1 | 0.64 | 0.994 | 0.971 | 1.02 |
| Negative Go Accuracy | 0.066 | 0.089 | 0.541 | 1 | 0.462 | 1.068 | 0.897 | 1.272 |
| Negative Go RT | −0.003 | 0.005 | 0.359 | 1 | 0.549 | 0.997 | 0.988 | 1.01 |
| Neutral NoGo Accuracy | −0.009 | 0.011 | 0.664 | 1 | 0.415 | 0.991 | 0.969 | 1.01 |
| Neutral Go Accuracy | −0.013 | 0.098 | 0.018 | 1 | 0.892 | 0.987 | 0.815 | 1.195 |
| Neutral Go RT | −0.004 | 0.005 | 0.432 | 1 | 0.511 | 0.996 | 0.986 | 1.01 |
| Negative | Neutral | Negative-Neutral | ||||
|---|---|---|---|---|---|---|
| Network | Standard β | p | Standard β | p | Standard β | p |
| left L-FPN | −0.121 | 0.378 | −0.188 | 0.170 | 0.130 | 0.352 |
| right L-FPN | 0.028 | 0.846 | 0.054 | 0.713 | −0.046 | 0.756 |
| DAN | −0.116 | 0.401 | −0.012 | 0.991 | −0.163 | 0.245 |
| Negative | Neutral | Negative-Neutral | ||||
|---|---|---|---|---|---|---|
| Network | Standard β | p | Standard β | p | Standard β | p |
| left L-FPN | −0.039 | 0.774 | −0.016 | 0.908 | −0.071 | 0.601 |
| right L-FPN | 0.188 | 0.190 | 0.174 | 0.232 | 0.120 | 0.403 |
| DAN | >0.001 | 0.999 | 0.032 | 0.819 | −0.073 | 0.592 |
Disclaimer/Publisher’s Note: The statements, opinions and data contained in all publications are solely those of the individual author(s) and contributor(s) and not of MDPI and/or the editor(s). MDPI and/or the editor(s) disclaim responsibility for any injury to people or property resulting from any ideas, methods, instructions or products referred to in the content. |
© 2025 by the authors. Licensee MDPI, Basel, Switzerland. This article is an open access article distributed under the terms and conditions of the Creative Commons Attribution (CC BY) license (https://creativecommons.org/licenses/by/4.0/).
Share and Cite
Cohen-Gilbert, J.E.; Sneider, J.T.; Oot, E.N.; Seraikas, A.M.; Schuttenberg, E.M.; Harris, S.K.; Nickerson, L.D.; Silveri, M.M. Risk for Adolescent Substance Use Initiation: Associations with Large-Scale Brain Network Recruitment During Emotional Inhibitory Control. Behav. Sci. 2025, 15, 1407. https://doi.org/10.3390/bs15101407
Cohen-Gilbert JE, Sneider JT, Oot EN, Seraikas AM, Schuttenberg EM, Harris SK, Nickerson LD, Silveri MM. Risk for Adolescent Substance Use Initiation: Associations with Large-Scale Brain Network Recruitment During Emotional Inhibitory Control. Behavioral Sciences. 2025; 15(10):1407. https://doi.org/10.3390/bs15101407
Chicago/Turabian StyleCohen-Gilbert, Julia E., Jennifer T. Sneider, Emily N. Oot, Anna M. Seraikas, Eleanor M. Schuttenberg, Sion K. Harris, Lisa D. Nickerson, and Marisa M. Silveri. 2025. "Risk for Adolescent Substance Use Initiation: Associations with Large-Scale Brain Network Recruitment During Emotional Inhibitory Control" Behavioral Sciences 15, no. 10: 1407. https://doi.org/10.3390/bs15101407
APA StyleCohen-Gilbert, J. E., Sneider, J. T., Oot, E. N., Seraikas, A. M., Schuttenberg, E. M., Harris, S. K., Nickerson, L. D., & Silveri, M. M. (2025). Risk for Adolescent Substance Use Initiation: Associations with Large-Scale Brain Network Recruitment During Emotional Inhibitory Control. Behavioral Sciences, 15(10), 1407. https://doi.org/10.3390/bs15101407

