From E-Commerce to the Metaverse: A Neuroscientific Analysis of Digital Consumer Behavior
Abstract
1. Introduction
1.1. The Metaverse as a New Frontier for Digital Commerce
1.2. Second Life as a Part of the Metaverse
1.3. The Role of Consumer Neuroscience in Studying the Metaverse
1.4. Research Objectives
2. Materials and Methods
2.1. Sample
2.2. Instrumentation
2.3. Experimental Procedure
Task Segmentation
- Environment Exploration (EEx): in this step, the participants freely explored both environments (EC by scrolling, and the world of SL with their avatar);
- Product Exploration (PEx): this phase regards participants’ interaction with the product they would later purchase. For SL, PEx was established at the moment they interacted with the product tab or tried it on; for EC, it was the moment when they were on the product page;
- Purchase Evaluation (PEv): for both SL and EC, this phase embedded 8 s before the actual purchase action. This was based on the fact that a purchase decision can be determined as early as 8 s before the actual purchase action [96]. The PEv phase did not overlap with the PEx phase;
- Purchase Action (PAc): this final phase refers to the exact moment of purchase, from the moment the person started to move the mouse to the purchase button on SL (“Add to Marketplace”) or EC (“Add to Cart”).
2.4. Data Processing
2.5. Self-Report Questionnaire
2.6. Statistical Analyses
3. Results
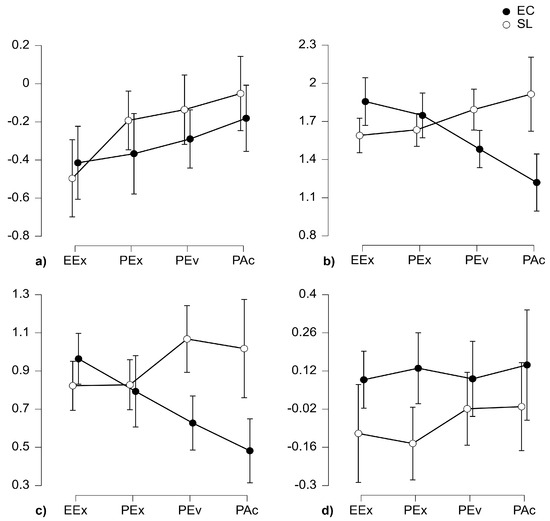
3.1. Neurophysiological Results
3.2. Self-Report Measures
3.3. Correlations
4. Discussion
4.1. Managerial Implications
4.2. Limits and Future Directions
5. Conclusions
Author Contributions
Funding
Institutional Review Board Statement
Informed Consent Statement
Data Availability Statement
Conflicts of Interest
References
- Yuruk-Kayapinar, P. Digital consumer behavior in an omnichannel world. In Managing Customer Experiences in an Omnichannel World: Melody of Online and Offline Environments in the Customer Journey; Emerald Publishing Limited: Bingley, UK, 2020; pp. 55–73. [Google Scholar] [CrossRef]
- Aliev, A.; Kadirov, D. Digital marketing and smart technology marketing systems as the future of metaverse. In International Conference on Next Generation Wired/Wireless Networking; Springer: Tashkent, Uzbekistan, 2022; pp. 397–410. [Google Scholar] [CrossRef]
- Hadi, R.; Melumad, S.; Park, E.S. The Metaverse: A new digital frontier for consumer behavior. J. Consum. Psychol. 2024, 34, 142–166. [Google Scholar] [CrossRef]
- Mystakidis, S. Metaverse. Encyclopedia 2022, 2, 486–497. [Google Scholar] [CrossRef]
- Metaverse May Be $800 Billion Market, Next Tech Platform. Available online: https://www.bloomberg.com/professional/blog/metaverse-may-be-800-billion-market-next-tech-platform/ (accessed on 2 May 2024).
- Dwivedi, Y.K.; Hughes, L.; Baabdullah, A.M.; Ribeiro-Navarrete, S.; Giannakis, M.; Al-Debei, M.M.; Dennehy, D.; Metri, B.; Buhalis, D.; Cheung, C.M.; et al. Metaverse beyond the hype: Multidisciplinary perspectives on emerging challenges, opportunities, and agenda for research, practice and policy. Int. J. Inf. Manag. 2022, 66, 102542. [Google Scholar] [CrossRef]
- Makransky, G.; Mayer, R.E. Benefits of taking a virtual field trip in immersive virtual reality: Evidence for the immersion principle in multimedia learning. Educ. Psychol. Rev. 2022, 34, 1771–1798. [Google Scholar] [CrossRef] [PubMed]
- de la Asuncion, I.N.M.; Vargas-Murillo, A.R.; Palacios, R.J.; de Jesús Guevara-Soto, F.; Ypanaque-Pereira, I.L. Smart Learning in Virtual Worlds: A Systematic Literature Review on the Usage and Applications of Metaverse in Education. Int. J. Learn. Teach. Educ. Res. 2023, 22, 85–101. [Google Scholar] [CrossRef]
- Hines, P.; Netland, T.H. Teaching a Lean masterclass in the metaverse. Int. J. Lean Six Sigma 2023, 14, 1121–1143. [Google Scholar] [CrossRef]
- Nwakanma, C.I.; Njoku, J.N.; Jo, J.Y.; Lim, C.H.; Kim, D.S. “Creativia” Metaverse Platform for Exhibition Experience. In Proceedings of the 2022 13th International Conference on Information and Communication Technology Convergence (ICTC), Jeju Island, Republic of Korea, 19–21 October 2022; pp. 1789–1793. [Google Scholar] [CrossRef]
- Ioannidis, S.; Kontis, A.P. Metaverse for tourists and tourism destinations. Inf. Technol. Tour. 2023, 25, 483–506. [Google Scholar] [CrossRef]
- Choi, H.Y. Working in the metaverse: Does telework in a metaverse office have the potential to reduce population pressure in megacities? Evidence from young adults in Seoul, South Korea. Sustainability 2022, 14, 3629. [Google Scholar] [CrossRef]
- Liu, Z.; Ren, L.; Xiao, C.; Zhang, K.; Demian, P. Virtual reality aided therapy towards health 4.0: A two-decade bibliometric analysis. Int. J. Environ. Res. Public Health 2022, 19, 1525. [Google Scholar] [CrossRef]
- Skalidis, I.; Muller, O.; Fournier, S. CardioVerse: The cardiovascular medicine in the era of Metaverse. Trends Cardiovasc. Med. 2022, 33, 471–476. [Google Scholar] [CrossRef]
- Siyaev, A.; Jo, G.S. Neuro-symbolic speech understanding in aircraft maintenance metaverse. IEEE Access 2021, 9, 154484–154499. [Google Scholar] [CrossRef]
- Gu, J.; Wang, J.; Guo, X.; Liu, G.; Qin, S.; Bi, Z. A metaverse-based teaching building evacuation training system with deep reinforcement learning. IEEE Trans. Syst. Man Cybern. Syst. 2023, 53, 2209–2219. [Google Scholar] [CrossRef]
- Nevelsteen, K.J. Virtual world, defined from a technological perspective and applied to video games, mixed reality, and the Metaverse. Comput. Animat. Virtual Worlds 2018, 29, e1752. [Google Scholar] [CrossRef]
- Yao, N.; Lin, Z.; Wu, X.; Wang, L. Freedom and restraint in dark forest: A peek at the metaverse through a blockchain game. IEEE Trans. Comput. Soc. Syst. 2022, 10, 2189–2200. [Google Scholar] [CrossRef]
- Lee, J.; Kwon, K.H. Future value and direction of cosmetics in the era of metaverse. J. Cosmet. Dermatol. 2022, 21, 4176–4183. [Google Scholar] [CrossRef] [PubMed]
- Pillai, R.; Sivathanu, B.; Rana, N.P.; Preet, R.; Mishra, A. Factors Influencing Customers’ Apparel Shopping Intention in Metaverse. J. Comput. Inf. Syst. 2024. [CrossRef]
- Ball, M. The Metaverse: And How it Will Revolutionize Everything; Liveright Publishing: New York, NY, USA, 2022. [Google Scholar]
- Sultan, A.J. Orchestrating service brand touchpoints and the effects on relational outcomes. J. Serv. Mark. 2018, 32, 777–788. [Google Scholar] [CrossRef]
- Dwivedi, Y.K.; Hughes, L.; Wang, Y.; Alalwan, A.A.; Ahn, S.J.; Balakrishnan, J.; Barta, S.; Belk, R.; Buhalis, D.; Dutot, V.; et al. Metaverse marketing: How the metaverse will shape the future of consumer research and practice. Psychol. Mark. 2023, 40, 750–776. [Google Scholar] [CrossRef]
- Koohang, A.; Nord, J.H.; Ooi, K.B.; Tan, G.W.H.; Al-Emran, M.; Aw, E.C.X.; Baabdullah, A.M.; Buhalis, D.; Cham, T.H.; Dennis, C.; et al. Shaping the metaverse into reality: A holistic multidisciplinary understanding of opportunities, challenges, and avenues for future investigation. J. Comput. Inf. Syst. 2023, 63, 735–765. [Google Scholar] [CrossRef]
- Periyasami, S.; Periyasamy, A.P. Metaverse as future promising platform business model: Case study on fashion value chain. Businesses 2022, 2, 527–545. [Google Scholar] [CrossRef]
- Sun, J.; Gan, W.; Chen, Z.; Li, J.; Yu, P.S. Big Data Meets Metaverse: A Survey. Available online: https://arxiv.org/abs/2210.16282 (accessed on 2 May 2024).
- Hassouneh, D.; Brengman, M. A motivation-based typology of social virtual world users. Comput. Hum. Behav. 2014, 33, 330–338. [Google Scholar] [CrossRef]
- Laeeq, K. Metaverse: Why, How and What. Available online: https://www.researchgate.net/publication/358505001_Metaverse_Why_How_and_What (accessed on 2 May 2024).
- Patil, K.; Pramod, D. Can Metaverse Retail lead to purchase intentions among the youth? A Stimulus-Organism-Response theory perspective. In Proceedings of the 2022 ASU International Conference in Emerging Technologies for Sustainability and Intelligent Systems (ICETSIS), Manama, Bahrain, 22–23 June 2022; pp. 314–320. [Google Scholar] [CrossRef]
- Mogaji, E.; Dwivedi, Y.K.; Raman, R. Fashion marketing in the metaverse. J. Glob. Fash. Mark. 2024, 15, 115–130. [Google Scholar] [CrossRef]
- Xi, N.; Chen, J.; Gama, F.; Riar, M.; Hamari, J. The challenges of entering the metaverse: An experiment on the effect of extended reality on workload. Inf. Syst. Front. 2023, 25, 659–680. [Google Scholar] [CrossRef] [PubMed]
- Mandolfo, M.; Baisi, F.; Lamberti, L. How did you feel during the navigation? Influence of emotions on browsing time and interaction frequency in immersive virtual environments. Behav. Inf. Technol. 2023, 42, 1216–1229. [Google Scholar] [CrossRef]
- Kinikoglu, B. Liabilities of virtual world developers as intermediary service providers: The case of Second Life. Queen Mary J. Intellect. Prop. 2023, 13, 121–140. [Google Scholar] [CrossRef]
- Galov, N. 18 Second Life Facts in 2023: What’s Life in a Virtual World. Available online: https://webtribunal.net/blog/second-life-facts/#gref (accessed on 2 May 2024).
- Richter, S.; Richter, A. What is novel about the Metaverse? Int. J. Inf. Manag. 2023, 73, 102684. [Google Scholar] [CrossRef]
- McArdle, G.; Bertolotto, M. Assessing the application of three-dimensional collaborative technologies within an e-learning environment. Interact. Learn. Environ. 2012, 20, 57–75. [Google Scholar] [CrossRef]
- Joshi, S. Virtual Reality Is Going to Change Live Events Culture Forever. Available online: https://www.vice.com/en/article/4aydzg/virtual-reality-is-going-to-change-live-events-culture-forever (accessed on 2 May 2024).
- Du, Y.; Grace, T.D.; Jagannath, K.; Salen-Tekinbas, K. Connected play in virtual worlds: Communication and control mechanisms in virtual worlds for children and adolescents. Multimodal Technol. Interact. 2021, 5, 27. [Google Scholar] [CrossRef]
- Lamb, H. Second life lessons. Eng. Technol. 2022, 17, 81–89. [Google Scholar] [CrossRef]
- Alkhalidi, A.S.; Izani, M.; Aishah, A.R.; Mustafa, F. Exploring the Virtual Space in the Metaverse: A Case Study Analysis. In Proceedings of the 2023 Intermountain Engineering, Technology and Computing (IETC), Provo, UT, USA, 12–13 May 2023; pp. 61–66. [Google Scholar] [CrossRef]
- Schechtman, M. The story of my (second) life: Virtual worlds and narrative identity. Philos. Technol. 2012, 25, 329–343. [Google Scholar] [CrossRef]
- Krishen, A.S.; Hardin, A.M.; LaTour, M.S. Virtual world experiential promotion. J. Curr. Issues Res. Advert. 2013, 34, 263–281. [Google Scholar] [CrossRef]
- Nicholson, J.A.; Nicholson, D.B.; Coyle, P.; Hardin, A.; Krishen, A.S. Exploring the use of virtual world technology for idea-generation tasks. Int. J. E-Collab. (IJeC) 2014, 10, 44–62. [Google Scholar] [CrossRef][Green Version]
- Kaplan, A.M.; Haenlein, M. The fairyland of Second Life: Virtual social worlds and how to use them. Bus. Horiz. 2009, 52, 563–572. [Google Scholar] [CrossRef]
- Bourlakis, M.; Papagiannidis, S.; Li, F. Retail spatial evolution: Paving the way from traditional to metaverse retailing. Electron. Commer. Res. 2009, 9, 135–148. [Google Scholar] [CrossRef]
- Eberhard, L.; Trattner, C.; Atzmueller, M. Predicting trading interactions in an online marketplace through location-based and online social networks. Inf. Retr. J. 2019, 22, 55–92. [Google Scholar] [CrossRef]
- Au, W.J. Making a Metaverse That Matters: From Snow Crash & Second Life to a Virtual World Worth Fighting for; John Wiley & Sons: Hoboken, NJ, USA, 2023. [Google Scholar]
- Zuri, A. Now Runway: Teletubbies-Inspired Digital Fashion Comes to Second Life. Available online: https://nftnow.com/runway/now-runway-teletubbies-inspired-digital-fashion-comes-to-second-life/ (accessed on 2 May 2024).
- Bleize, D.N.; Antheunis, M.L. Factors influencing purchase intent in virtual worlds: A review of the literature. J. Mark. Commun. 2019, 25, 403–420. [Google Scholar] [CrossRef]
- Singla, B.; Bhattacharya, S.; Naik, N. Introduction to Metaverse and Consumer Behaviour Change: Adoption of Metaverse Among Consumers. In Handbook of Research on Consumer Behavioral Analytics in Metaverse and the Adoption of a Virtual World; Keikhosrokiani, P., Ed.; IGI Global: Hershey, PA, USA, 2023; pp. 113–129. [Google Scholar] [CrossRef]
- Barrientos-Báez, A.; Caldevilla-Domínguez, D.; Gonzálvez-Vallés, J.E. The Metaverse in Communication: Reflections from Neuroscience. In The Future of Digital Communication; Rojas, R.V.B., Ed.; CRC Press: Boca Raton, FL, USA, 2007; pp. 15–26. [Google Scholar] [CrossRef]
- Crespo-Pereira, V.; Sánchez-Amboage, E.; Membiela-Pollán, M. Facing the challenges of metaverse: A systematic literature review from Social Sciences and Marketing and Communication. Prof. Inf./Inf. Prof. 2023, 32, 1. [Google Scholar] [CrossRef]
- Riva, G.; Wiederhold, B.K. What the metaverse is (really) and why we need to know about it. Cyberpsychol. Behav. Soc. Netw. 2022, 25, 355–359. [Google Scholar] [CrossRef] [PubMed]
- González-Morales, A.; Martín-López, M.; Barroso, A.T. Neuromanagement of the Metaverse: Direction Based on Happiness and Health Could Offer a Competitive Edge in the Metaverse. Available online: https://www.researchgate.net/publication/375516042_Neuromanagement_of_the_Metaverse_Direction_based_on_happiness_and_health_could_offer_a_competitive_edge_in_the_Metaverse (accessed on 2 May 2024).
- Dincelli, E.; Yayla, A. Immersive virtual reality in the age of the Metaverse: A hybrid-narrative review based on the technology affordance perspective. J. Strateg. Inf. Syst. 2022, 31, 101717. [Google Scholar] [CrossRef]
- Kakaria, S.; Saffari, F.; Ramsøy, T.Z.; Bigné, E. Cognitive load during planned and unplanned virtual shopping: Evidence from a neurophysiological perspective. Int. J. Inf. Manag. 2023, 72, 102667. [Google Scholar] [CrossRef]
- Dozio, N.; Marcolin, F.; Scurati, G.W.; Ulrich, L.; Nonis, F.; Vezzetti, E.; Marsocci, G.; La Rosa, A.; Ferrise, F. A design methodology for affective Virtual Reality. Int. J. Hum.-Comput. Stud. 2022, 162, 102791. [Google Scholar] [CrossRef]
- Casado-Aranda, L.A.; Sánchez-Fernández, J.; Bigne, E.; Smidts, A. The application of neuromarketing tools in communication research: A comprehensive review of trends. Psychol. Mark. 2023, 40, 1737–1756. [Google Scholar] [CrossRef]
- Russo, V.; Bilucaglia, M.; Zito, M. From virtual reality to augmented reality: A neuromarketing perspective. Front. Psychol. 2022, 13, 965499. [Google Scholar] [CrossRef]
- Saffari, F.; Zarei, S.; Kakaria, S.; Bigné, E.; Bruni, L.E.; Ramsøy, T.Z. The Role of Stimuli-Driven and Goal-Driven Attention in Shopping Decision-Making Behaviors—An EEG and VR Study. Brain Sci. 2023, 13, 928. [Google Scholar] [CrossRef] [PubMed]
- Tichindelean, M.; Tichindelean, M.T.; Cetină, I.; Orzan, G. A comparative eye tracking study of usability—Towards sustainable web design. Sustainability 2021, 13, 10415. [Google Scholar] [CrossRef]
- Borys, M.; Milosz, M. Mobile application usability testing in quasi-real conditions-the synergy of using different methods. In Proceedings of the 2018 11th International Conference on Human System Interaction (HSI), Gdansk, Poland, 4–6 July 2018; pp. 362–368. [Google Scholar] [CrossRef]
- Venkatraman, V.; Dimoka, A.; Pavlou, P.A.; Vo, K.; Hampton, W.; Bollinger, B.; Hershfield, H.E.; Ishihara, M.; Winer, R.S. Predicting advertising success beyond traditional measures: New insights from neurophysiological methods and market response modeling. J. Mark. Res. 2015, 52, 436–452. [Google Scholar] [CrossRef]
- Eijlers, E.; Boksem, M.A.; Smidts, A. Measuring neural arousal for advertisements and its relationship with advertising success. Front. Neurosci. 2020, 14, 514113. [Google Scholar] [CrossRef] [PubMed]
- Zito, M.; Fici, A.; Bilucaglia, M.; Ambrogetti, F.S.; Russo, V. Assessing the emotional response in social communication: The role of neuromarketing. Front. Psychol. 2021, 12, 625570. [Google Scholar] [CrossRef] [PubMed]
- Russo, V.; Bilucaglia, M.; Casiraghi, C.; Chiarelli, S.; Columbano, M.; Fici, A.; Rivetti, F.; Rossi, C.; Valesi, R.; Zito, M. Neuroselling: Applying neuroscience to selling for a new business perspective. An analysis on teleshopping advertising. Front. Psychol. 2023, 14, 1238879. [Google Scholar] [CrossRef]
- Spence, C.; Velasco, C.; Petit, O. The consumer neuroscience of packaging. In Multisensory Packaging: Designing New Product Experiences; Palgrave Macmillan: Cham, Switzerland, 2019; pp. 319–347. [Google Scholar] [CrossRef]
- Russo, V.; Milani Marin, L.E.; Fici, A.; Bilucaglia, M.; Circi, R.; Rivetti, F.; Bellati, M.; Zito, M. Strategic communication and neuromarketing in the fisheries sector: Generating ideas from the territory. Front. Commun. 2021, 6, 659484. [Google Scholar] [CrossRef]
- Russo, V.; Zito, M.; Bilucaglia, M.; Circi, R.; Bellati, M.; Marin, L.E.M.; Catania, E.; Licitra, G. Dairy products with certification marks: The role of territoriality and safety perception on intention to buy. Foods 2021, 10, 2352. [Google Scholar] [CrossRef]
- Poels, K.; Dewitte, S. How to capture the heart? Reviewing 20 years of emotion measurement in advertising. J. Advert. Res. 2006, 46, 18–37. [Google Scholar] [CrossRef]
- Missaglia, A.L.; Oppo, A.; Mauri, M.; Ghiringhelli, B.; Ciceri, A.; Russo, V. The impact of emotions on recall: An empirical study on social ads. J. Consum. Behav. 2017, 16, 424–433. [Google Scholar] [CrossRef]
- Bigne, E.; Llinares, C.; Torrecilla, C. Elapsed time on first buying triggers brand choices within a category: A virtual reality-based study. J. Bus. Res. 2016, 69, 1423–1427. [Google Scholar] [CrossRef]
- Hu, M.; Roberts, J. Built environment evaluation in virtual reality environments—A cognitive neuroscience approach. Urban Sci. 2020, 4, 48. [Google Scholar] [CrossRef]
- Saffari, F.; Kakaria, S.; Bigné, E.; Bruni, L.E.; Zarei, S.; Ramsøy, T.Z. Motivation in the metaverse: A dual-process approach to consumer choices in a virtual reality supermarket. Front. Neurosci. 2023, 17, 1062980. [Google Scholar] [CrossRef]
- Guo, H.; Gao, W. Metaverse-powered experiential situational English-teaching design: An emotion-based analysis method. Front. Psychol. 2022, 13, 859159. [Google Scholar] [CrossRef]
- Costa-Feito, A.; González-Fernández, A.M.; Rodríguez-Santos, C.; Cervantes-Blanco, M. Electroencephalography in consumer behaviour and marketing: A science mapping approach. Humanit. Soc. Sci. Commun. 2023, 10, 474. [Google Scholar] [CrossRef]
- Davis, F.D. A Technology Acceptance Model for Empirically Testing New End-User Information Systems: Theory and Results. Ph.D. Thesis, Massachusetts Institute of Technology, Cambridge, MA, USA, 1985. [Google Scholar]
- Hausman, A.V.; Siekpe, J.S. The effect of web interface features on consumer online purchase intentions. J. Bus. Res. 2009, 62, 5–13. [Google Scholar] [CrossRef]
- Mosteller, J.; Donthu, N.; Eroglu, S. The fluent online shopping experience. J. Bus. Res. 2014, 67, 2486–2493. [Google Scholar] [CrossRef]
- Engeser, S.; Rheinberg, F. Flow, performance and moderators of challenge-skill balance. Motiv. Emot. 2008, 32, 158–172. [Google Scholar] [CrossRef]
- Karasek, R. Stress, Productivity, and the Reconstruction of Working Life; Health Work; Basic Books: New York, NY, USA, 1990. [Google Scholar]
- Schroth, H. Are you ready for Gen Z in the workplace? Calif. Manag. Rev. 2019, 61, 5–18. [Google Scholar] [CrossRef]
- Damar, M. Metaverse shape of your life for future: A bibliometric snapshot. J. Metaverse 2021, 1, 1–8. [Google Scholar]
- Garczarek-Bąk, U.; Szymkowiak, A.; Gaczek, P.; Disterheft, A. A comparative analysis of neuromarketing methods for brand purchasing predictions among young adults. J. Brand Manag. 2021, 28, 171–185. [Google Scholar] [CrossRef]
- Telpaz, A.; Webb, R.; Levy, D.J. Using EEG to predict consumers’ future choices. J. Mark. Res. 2015, 52, 511–529. [Google Scholar] [CrossRef]
- Khushaba, R.N.; Wise, C.; Kodagoda, S.; Louviere, J.; Kahn, B.E.; Townsend, C. Consumer neuroscience: Assessing the brain response to marketing stimuli using electroencephalogram (EEG) and eye tracking. Expert Syst. Appl. 2013, 40, 3803–3812. [Google Scholar] [CrossRef]
- Cartocci, G.; Caratù, M.; Modica, E.; Maglione, A.G.; Rossi, D.; Cherubino, P.; Babiloni, F. Electroencephalographic, heart rate, and galvanic skin response assessment for an advertising perception study: Application to antismoking public service announcements. J. Vis. Exp. (JoVE) 2017, 126, e55872. [Google Scholar] [CrossRef]
- Faul, F.; Erdfelder, E.; Lang, A.G.; Buchner, A. G* Power 3: A flexible statistical power analysis program for the social, behavioral, and biomedical sciences. Behav. Res. Methods 2007, 39, 175–191. [Google Scholar] [CrossRef] [PubMed]
- Cohen, J. A power primer. In Methodological Issues and Strategies in Clinical Research; Kazdin, A.E., Ed.; American Psychological Association: Washington, DC, USA, 2016; pp. 279–284. [Google Scholar] [CrossRef]
- Szucs, D.; Ioannidis, J.P. Empirical assessment of published effect sizes and power in the recent cognitive neuroscience and psychology literature. PLoS Biol. 2017, 15, e2000797. [Google Scholar] [CrossRef]
- Sinha, S.R.; Sullivan, L.; Sabau, D.; San-Juan, D.; Dombrowski, K.E.; Halford, J.J.; Hani, A.J.; Drislane, F.W.; Stecker, M.M. American clinical neurophysiology society guideline 1: Minimum technical requirements for performing clinical electroencephalography. J. Clin. Neurophysiol. 2016, 33, 303–307. [Google Scholar] [CrossRef]
- Boucsein, W.; Fowles, D.C.; Grimnes, S.; Ben-Shakhar, G.; Roth, W.T.; Dawson, M.E.; Filion, D.L. Publication recommendations for electrodermal measurements. Psychophysiology 2012, 49, 1017–1034. [Google Scholar] [CrossRef] [PubMed]
- Bilucaglia, M.; Masi, R.; Di Stanislao, G.; Laureanti, R.; Fici, A.; Circi, R.; Zito, M.; Russo, V. ESB: A low-cost EEG synchronization box. HardwareX 2020, 8, e00125. [Google Scholar] [CrossRef]
- Saghaei, M. An overview of randomization and minimization programs for randomized clinical trials. J. Med. Signals Sens. 2011, 1, 55–61. [Google Scholar] [CrossRef]
- Bespalov, A.; Wicke, K.; Castagné, V. Blinding and randomization. In Good Research Practice in Non-Clinical Pharmacology and Biomedicine; Springer: Berlin/Heidelberg, Germany, 2019; p. 81. [Google Scholar] [CrossRef]
- Knutson, B.; Rick, S.; Wimmer, G.E.; Prelec, D.; Loewenstein, G. Neural predictors of purchases. Neuron 2007, 53, 147–156. [Google Scholar] [CrossRef]
- Laureanti, R.; Bilucaglia, M.; Zito, M.; Circi, R.; Fici, A.; Rivetti, F.; Valesi, R.; Wahl, S.; Mainardi, L.T.; Russo, V. Yellow (lens) better: Bioelectrical and biometrical measures to assess arousing and focusing effects. In Proceedings of the 2021 43rd Annual International Conference of the IEEE Engineering in Medicine & Biology Society (EMBC), Mexico City, Mexico, 1–5 November 2021; pp. 6163–6166. [Google Scholar] [CrossRef]
- Bilucaglia, M.; Laureanti, R.; Zito, M.; Circi, R.; Fici, A.; Rivetti, F.; Valesi, R.; Wahl, S.; Russo, V. Looking through blue glasses: Bioelectrical measures to assess the awakening after a calm situation. In Proceedings of the 2019 41st Annual International Conference of the IEEE Engineering in Medicine and Biology Society (EMBC), Berlin, Germany, 23–27 July 2019; pp. 526–529. [Google Scholar] [CrossRef]
- Chang, C.Y.; Hsu, S.H.; Pion-Tonachini, L.; Jung, T.P. Evaluation of artifact subspace reconstruction for automatic artifact components removal in multi-channel EEG recordings. IEEE Trans. Biomed. Eng. 2019, 67, 1114–1121. [Google Scholar] [CrossRef] [PubMed]
- Urigüen, J.A.; Garcia-Zapirain, B. EEG artifact removal—State-of-the-art and guidelines. J. Neural Eng. 2015, 12, 031001. [Google Scholar] [CrossRef] [PubMed]
- Pion-Tonachini, L.; Kreutz-Delgado, K.; Makeig, S. ICLabel: An automated electroencephalographic independent component classifier, dataset, and website. NeuroImage 2019, 198, 181–197. [Google Scholar] [CrossRef]
- Kayser, J.; Tenke, C.E. On the benefits of using surface Laplacian (current source density) methodology in electrophysiology. Int. J. Psychophysiol. 2015, 97, 171. [Google Scholar] [CrossRef]
- Delorme, A.; Makeig, S. EEGLAB: An open source toolbox for analysis of single-trial EEG dynamics including independent component analysis. J. Neurosci. Methods 2004, 134, 9–21. [Google Scholar] [CrossRef]
- Klimesch, W. EEG alpha and theta oscillations reflect cognitive and memory performance: A review and analysis. Brain Res. Rev. 1999, 29, 169–195. [Google Scholar] [CrossRef]
- Borghini, G.; Aricò, P.; Di Flumeri, G.; Sciaraffa, N.; Babiloni, F. Correlation and similarity between cerebral and non-cerebral electrical activity for user’s states assessment. Sensors 2019, 19, 704. [Google Scholar] [CrossRef] [PubMed]
- Kleckner, I.R.; Jones, R.M.; Wilder-Smith, O.; Wormwood, J.B.; Akcakaya, M.; Quigley, K.S.; Lord, C.; Goodwin, M.S. Simple, transparent, and flexible automated quality assessment procedures for ambulatory electrodermal activity data. IEEE Trans. Biomed. Eng. 2017, 65, 1460–1467. [Google Scholar] [CrossRef] [PubMed]
- Greco, A.; Valenza, G.; Lanata, A.; Scilingo, E.P.; Citi, L. cvxEDA: A convex optimization approach to electrodermal activity processing. IEEE Trans. Biomed. Eng. 2015, 63, 797–804. [Google Scholar] [CrossRef] [PubMed]
- Pan, J.; Tompkins, W.J. A real-time QRS detection algorithm. IEEE Trans. Biomed. Eng. 1985, BME-32, 230–236. [Google Scholar] [CrossRef] [PubMed]
- Bilucaglia, M.; Laureanti, R.; Zito, M.; Circi, R.; Fici, A.; Russo, V.; Mainardi, L.T. It’sa Question of Methods: Computational Factors Influencing the Frontal Asymmetry in Measuring the Emotional Valence. In Proceedings of the 2021 43rd Annual International Conference of the IEEE Engineering in Medicine & Biology Society (EMBC), Mexico City, Mexico, 1–5 November 2021; pp. 575–578. [Google Scholar] [CrossRef]
- Pope, A.T.; Bogart, E.H.; Bartolome, D.S. Biocybernetic system evaluates indices of operator engagement in automated task. Biol. Psychol. 1995, 40, 187–195. [Google Scholar] [CrossRef] [PubMed]
- Freeman, F.G.; Mikulka, P.J.; Prinzel, L.J.; Scerbo, M.W. Evaluation of an adaptive automation system using three EEG indices with a visual tracking task. Biol. Psychol. 1999, 50, 61–76. [Google Scholar] [CrossRef] [PubMed]
- Berka, C.; Levendowski, D.J.; Lumicao, M.N.; Yau, A.; Davis, G.; Zivkovic, V.T.; Olmstead, R.E.; Tremoulet, P.D.; Craven, P.L. EEG correlates of task engagement and mental workload in vigilance, learning, and memory tasks. Aviat. Space Environ. Med. 2007, 78, B231–B244. [Google Scholar] [PubMed]
- Modica, E.; Cartocci, G.; Rossi, D.; Levy, A.C.M.; Cherubino, P.; Maglione, A.G.; Di Flumeri, G.; Mancini, M.; Montanari, M.; Perrotta, D.; et al. Neurophysiological responses to different product experiences. Comput. Intell. Neurosci. 2018, 2018, 9616301. [Google Scholar] [CrossRef] [PubMed]
- Ismail, L.E.; Karwowski, W. Applications of EEG indices for the quantification of human cognitive performance: A systematic review and bibliometric analysis. PLoS ONE 2020, 15, e0242857. [Google Scholar] [CrossRef]
- Klimesch, W. Memory processes, brain oscillations and EEG synchronization. Int. J. Psychophysiol. 1996, 24, 61–100. [Google Scholar] [CrossRef]
- Sederberg, P.B.; Kahana, M.J.; Howard, M.W.; Donner, E.J.; Madsen, J.R. Theta and gamma oscillations during encoding predict subsequent recall. J. Neurosci. 2003, 23, 10809–10814. [Google Scholar] [CrossRef]
- Summerfield, C.; Mangels, J.A. Dissociable neural mechanisms for encoding predictable and unpredictable events. J. Cogn. Neurosci. 2006, 18, 1120–1132. [Google Scholar] [CrossRef]
- Kong, W.; Zhao, X.; Hu, S.; Vecchiato, G.; Babiloni, F. Electronic evaluation for video commercials by impression index. Cogn. Neurodyn. 2013, 7, 531–535. [Google Scholar] [CrossRef] [PubMed]
- Vecchiato, G.; Cherubino, P.; Maglione, A.G.; Ezquierro, M.T.H.; Marinozzi, F.; Bini, F.; Trettel, A.; Babiloni, F. How to measure cerebral correlates of emotions in marketing relevant tasks. Cogn. Comput. 2014, 6, 856–871. [Google Scholar] [CrossRef]
- Vecchiato, G.; Babiloni, F.; Astolfi, L.; Toppi, J.; Cherubino, P.; Dai, J.; Kong, W.; Wei, D. Enhance of theta EEG spectral activity related to the memorization of commercial advertisings in Chinese and Italian subjects. In Proceedings of the 2011 4th International Conference on Biomedical Engineering and Informatics (BMEI), Shanghai, China, 15–17 October 2011; Volume 3, pp. 1491–1494. [Google Scholar] [CrossRef]
- Ursavaş, Ö.F. Reconsidering the role of attitude in the TAM: An answer to Teo (2009) and Nistor and Heymann (2010), and Lopez-Bonilla and Lopez-Bonilla (2011). Br. J. Educ. Technol. 2013, 44, E22–E25. [Google Scholar] [CrossRef]
- Chow, M.; Herold, D.K.; Choo, T.M.; Chan, K. Extending the technology acceptance model to explore the intention to use Second Life for enhancing healthcare education. Comput. Educ. 2012, 59, 1136–1144. [Google Scholar] [CrossRef]
- Aburbeian, A.M.; Owda, A.Y.; Owda, M. A technology acceptance model survey of the metaverse prospects. Ai 2022, 3, 285–302. [Google Scholar] [CrossRef]
- Toraman, Y.; Geçit, B.B. User acceptance of metaverse: An analysis for e-commerce in the framework of technology acceptance model (TAM). Sosyoekonomi 2023, 31, 85–104. [Google Scholar] [CrossRef]
- Davis, F.D.; Bagozzi, R.P.; Warshaw, P.R. User acceptance of computer technology: A comparison of two theoretical models. Manag. Sci. 1989, 35, 982–1003. [Google Scholar] [CrossRef]
- Rouibah, K.; Abbas, H.; Rouibah, S. Factors affecting camera mobile phone adoption before e-shopping in the Arab world. Technol. Soc. 2011, 33, 271–283. [Google Scholar] [CrossRef]
- Amin, M.; Rezaei, S.; Abolghasemi, M. User satisfaction with mobile websites: The impact of perceived usefulness (PU), perceived ease of use (PEOU) and trust. Nankai Bus. Rev. Int. 2014, 5, 258–274. [Google Scholar] [CrossRef]
- Wang, M.; Zhi, H.; Li, X. An empirical study of customer behavior online shopping in China. In Proceedings of the Seventh International Conference on Management Science and Engineering Management: Focused on Electrical and Information Technology Volume I; Springer: Berlin/Heidelberg, Germany, 2014; pp. 177–189. [Google Scholar] [CrossRef]
- Li, Y.M.; Yeh, Y.S. Increasing trust in mobile commerce through design aesthetics. Comput. Hum. Behav. 2010, 26, 673–684. [Google Scholar] [CrossRef]
- Rezaei, S.; Amin, M. Exploring online repurchase behavioural intention of university students in Malaysia. J. Glob. Bus. Adv. 2013, 6, 92–119. [Google Scholar] [CrossRef]
- Rese, A.; Baier, D.; Geyer-Schulz, A.; Schreiber, S. How augmented reality apps are accepted by consumers: A comparative analysis using scales and opinions. Technol. Forecast. Soc. Change 2017, 124, 306–319. [Google Scholar] [CrossRef]
- Davis, F.D.; Bagozzi, R.P.; Warshaw, P.R. Extrinsic and intrinsic motivation to use computers in the workplace 1. J. Appl. Soc. Psychol. 1992, 22, 1111–1132. [Google Scholar] [CrossRef]
- Cahyani, N.I.; Artanti, Y. The influence of informativeness, entertainment and e-mail marketing irritation on online buying intentions with attitude toward advertising as mediation variable. SENTRALISASI 2020, 9, 77–86. [Google Scholar] [CrossRef]
- Holdack, E.; Lurie-Stoyanov, K.; Fromme, H.F. The role of perceived enjoyment and perceived informativeness in assessing the acceptance of AR wearables. J. Retail. Consum. Serv. 2022, 65, 102259. [Google Scholar] [CrossRef]
- Pantano, E.; Servidio, R. Modeling innovative points of sales through virtual and immersive technologies. J. Retail. Consum. Serv. 2012, 19, 279–286. [Google Scholar] [CrossRef]
- Balog, A.; Pribeanu, C. The role of perceived enjoyment in the students’ acceptance of an augmented reality teaching platform: A structural equation modelling approach. Stud. Inform. Control 2010, 19, 319–330. [Google Scholar] [CrossRef]
- Toraman, Y. User acceptance of metaverse: Insights from technology acceptance model (TAM) and planned behavior theory (PBT). Emerg. Mark. J. 2022, 12, 67–75. [Google Scholar] [CrossRef]
- Kang, H.J.; Shin, J.h.; Ponto, K. How 3D virtual reality stores can shape consumer purchase decisions: The roles of informativeness and playfulness. J. Interact. Mark. 2020, 49, 70–85. [Google Scholar] [CrossRef]
- Moneta, G.B.; Csikszentmihalyi, M. The effect of perceived challenges and skills on the quality of subjective experience. J. Pers. 1996, 64, 275–310. [Google Scholar] [CrossRef] [PubMed]
- Lee, Y.J.; Ha, S.; Johnson, Z. Antecedents and consequences of flow state in e-commerce. J. Consum. Mark. 2019, 36, 264–275. [Google Scholar] [CrossRef]
- Lee, S.E.; Domina, T.; MacGillivray, M. Exploring consumers’ flow experiences in virtual shopping: An exploratory study. Int. J. Electron. Mark. Retail. 2011, 4, 165–182. [Google Scholar] [CrossRef]
- Bilgihan, A.; Okumus, F.; Nusair, K.; Bujisic, M. Online experiences: Flow theory, measuring online customer experience in e-commerce and managerial implications for the lodging industry. Inf. Technol. Tour. 2014, 14, 49–71. [Google Scholar] [CrossRef]
- Wang, H.; Ding, J.; Akram, U.; Yue, X.; Chen, Y. An empirical study on the impact of e-commerce live features on consumers’ purchase intention: From the perspective of flow experience and social presence. Information 2021, 12, 324. [Google Scholar] [CrossRef]
- Westbrook, A.; Braver, T.S. Cognitive effort: A neuroeconomic approach. Cogn. Affect. Behav. Neurosci. 2015, 15, 395–415. [Google Scholar] [CrossRef] [PubMed]
- Taherdoost, H. What is the best response scale for survey and questionnaire design; review of different lengths of rating scale/attitude scale/Likert scale. Int. J. Acad. Res. Manag. 2019, 8, 1–10. [Google Scholar]
- Love, J.; Selker, R.; Marsman, M.; Jamil, T.; Dropmann, D.; Verhagen, J.; Ly, A.; Gronau, Q.F.; Šmíra, M.; Epskamp, S.; et al. JASP: Graphical statistical software for common statistical designs. J. Stat. Softw. 2019, 88, 1–17. [Google Scholar] [CrossRef]
- Nunnally, J.C. Psychometric Theory, 2nd ed.; Mcgraw-Hill: New York, NY, USA, 1978. [Google Scholar]
- Castiblanco Jimenez, I.A.; Nonis, F.; Olivetti, E.C.; Ulrich, L.; Moos, S.; Monaci, M.G.; Marcolin, F.; Vezzetti, E. Exploring User Engagement in Museum Scenario with EEG—A Case Study in MAV Craftsmanship Museum in Valle d’Aosta Region, Italy. Electronics 2023, 12, 3810. [Google Scholar] [CrossRef]
- Hart, S.G.; Wickens, C.D. Workload assessment and prediction. In Manprint: An Approach to Systems Integration; Booher, H.R., Ed.; Springer: Berlin/Heidelberg, Germany, 1990; pp. 257–296. [Google Scholar] [CrossRef]
- Bailey, N.R.; Scerbo, M.W.; Freeman, F.G.; Mikulka, P.J.; Scott, L.A. Comparison of a brain-based adaptive system and a manual adaptable system for invoking automation. Hum. Factors 2006, 48, 693–709. [Google Scholar] [CrossRef] [PubMed]
- Ryu, K.; Myung, R. Evaluation of mental workload with a combined measure based on physiological indices during a dual task of tracking and mental arithmetic. Int. J. Ind. Ergon. 2005, 35, 991–1009. [Google Scholar] [CrossRef]
- Smith, M.E.; Gevins, A.; Brown, H.; Karnik, A.; Du, R. Monitoring task loading with multivariate EEG measures during complex forms of human-computer interaction. Hum. Factors 2001, 43, 366–380. [Google Scholar] [CrossRef] [PubMed]
- Murata, A. An attempt to evaluate mental workload using wavelet transform of EEG. Hum. Factors 2005, 47, 498–508. [Google Scholar] [CrossRef] [PubMed]
- Borghini, G.; Astolfi, L.; Vecchiato, G.; Mattia, D.; Babiloni, F. Measuring neurophysiological signals in aircraft pilots and car drivers for the assessment of mental workload, fatigue and drowsiness. Neurosci. Biobehav. Rev. 2014, 44, 58–75. [Google Scholar] [CrossRef] [PubMed]
- Kim, G.; Jin, B.; Shin, D.C. Virtual reality as a promotion tool for small independent stores. J. Retail. Consum. Serv. 2022, 64, 102822. [Google Scholar] [CrossRef]
- Aydınoğlu, N.Z.; Krishna, A. The power of consumption-imagery in communicating retail-store deals. J. Retail. 2019, 95, 116–127. [Google Scholar] [CrossRef]
- Zhang, H.; Zhao, L.; Gupta, S. The role of online product recommendations on customer decision making and loyalty in social shopping communities. Int. J. Inf. Manag. 2018, 38, 150–166. [Google Scholar] [CrossRef]
- Fan, X.; Chai, Z.; Deng, N.; Dong, X. Adoption of augmented reality in online retailing and consumers’ product attitude: A cognitive perspective. J. Retail. Consum. Serv. 2020, 53, 101986. [Google Scholar] [CrossRef]
- O’Donnell, R.D. Workload assessment methodology. In Handbook of Perception and Human Performance, Vol. 2. Cognitive Processes and Performance; John Wiley & Sons: Hoboken, NJ, USA, 1986. [Google Scholar]
- Dehais, F.; Lafont, A.; Roy, R.; Fairclough, S. A neuroergonomics approach to mental workload, engagement and human performance. Front. Neurosci. 2020, 14, 519228. [Google Scholar] [CrossRef]
- Kim, S.Y.; Kim, M.S.; Chun, M.M. Concurrent working memory load can reduce distraction. Proc. Natl. Acad. Sci. USA 2005, 102, 16524–16529. [Google Scholar] [CrossRef]
- Jensen, O.; Tesche, C.D. Frontal theta activity in humans increases with memory load in a working memory task. Eur. J. Neurosci. 2002, 15, 1395–1399. [Google Scholar] [CrossRef] [PubMed]
- Pappas, I.O.; Kourouthanassis, P.E.; Giannakos, M.N.; Chrissikopoulos, V. Sense and sensibility in personalized e-commerce: How emotions rebalance the purchase intentions of persuaded customers. Psychol. Mark. 2017, 34, 972–986. [Google Scholar] [CrossRef]
- Sheng, H.; Joginapelly, T. Effects of web atmospheric cues on users’ emotional responses in e-commerce. AIS Trans. Hum.-Comput. Interact. 2012, 4, 1–24. [Google Scholar] [CrossRef]
- Cheng, L.K.; Chieng, M.H.; Chieng, W.H. Measuring virtual experience in a three-dimensional virtual reality interactive simulator environment: A structural equation modeling approach. Virtual Real. 2014, 18, 173–188. [Google Scholar] [CrossRef]
- Kim, W.B.; Choo, H.J. How virtual reality shopping experience enhances consumer creativity: The mediating role of perceptual curiosity. J. Bus. Res. 2023, 154, 113378. [Google Scholar] [CrossRef]
- Pallavicini, F.; Pepe, A.; Ferrari, A.; Garcea, G.; Zanacchi, A.; Mantovani, F. What is the relationship among positive emotions, sense of presence, and ease of interaction in virtual reality systems? An on-site evaluation of a commercial virtual experience. Presence 2020, 27, 183–201. [Google Scholar] [CrossRef]
- Cadet, L.B.; Chainay, H. Memory of virtual experiences: Role of immersion, emotion and sense of presence. Int. J. Hum.-Comput. Stud. 2020, 144, 102506. [Google Scholar] [CrossRef]
- Loureiro, S.M.C.; Correia, C.; Guerreiro, J. Mental imagery, product involvement and presence at virtual reality supermarket. J. Creat. Commun. 2023, 18, 79–92. [Google Scholar] [CrossRef]
- Moreno, R.; Mayer, R. Interactive multimodal learning environments: Special issue on interactive learning environments: Contemporary issues and trends. Educ. Psychol. Rev. 2007, 19, 309–326. [Google Scholar] [CrossRef]
- Plass, J.L.; Kaplan, U. Emotional design in digital media for learning. In Emotions, Technology, Design, and Learning; Tettegah, S.Y., Gartmeier, M., Eds.; Elsevier: Amsterdam, The Netherlands, 2016; pp. 131–161. [Google Scholar] [CrossRef]
- LeDoux, J.E.; Brown, R. A higher-order theory of emotional consciousness. Proc. Natl. Acad. Sci. USA 2017, 114, E2016–E2025. [Google Scholar] [CrossRef] [PubMed]
- Sun, M.; Marquardt, C.A.; Disner, S.G.; Burton, P.C.; Davenport, N.D.; Lissek, S.; Sponheim, S.R. Posttraumatic stress symptomatology and abnormal neural responding during emotion regulation under cognitive demands: Mediating effects of personality. Pers. Neurosci. 2020, 3, e9. [Google Scholar] [CrossRef] [PubMed]
- Guo, X.; Zhu, T.; Wu, C.; Bao, Z.; Liu, Y. Emotional activity is negatively associated with cognitive load in multimedia learning: A case study with EEG signals. Front. Psychol. 2022, 13, 889427. [Google Scholar] [CrossRef] [PubMed]
- Burke, L.A.; James, K.E. PowerPoint-based lectures in business education: An empirical investigation of student-perceived novelty and effectiveness. Bus. Commun. Q. 2008, 71, 277–296. [Google Scholar] [CrossRef]
- Magni, M.; Taylor, M.S.; Venkatesh, V. ‘To play or not to play’: A cross-temporal investigation using hedonic and instrumental perspectives to explain user intentions to explore a technology. Int. J. Hum.-Comput. Stud. 2010, 68, 572–588. [Google Scholar] [CrossRef]
- Hong, J.C.; Hwang, M.Y.; Tai, K.H.; Lin, P.H.; Lin, P.C. Learning progress in a Chinese order of stroke game: The effects of intrinsic cognitive load and gameplay interest mediated by flow experience. J. Educ. Comput. Res. 2020, 58, 842–862. [Google Scholar] [CrossRef]
- Yang, S.; Carlson, J.R.; Chen, S. How augmented reality affects advertising effectiveness: The mediating effects of curiosity and attention toward the ad. J. Retail. Consum. Serv. 2020, 54, 102020. [Google Scholar] [CrossRef]
- Cagnina, M.R.; Poian, M. Beyond e-business models: The road to virtual worlds. Electron. Commer. Res. 2009, 9, 49–75. [Google Scholar] [CrossRef]
- Diehl, E.; Rieger, S.; Letzel, S.; Schablon, A.; Nienhaus, A.; Escobar Pinzon, L.C.; Dietz, P. The relationship between workload and burnout among nurses: The buffering role of personal, social and organisational resources. PLoS ONE 2021, 16, e0245798. [Google Scholar] [CrossRef]
- Varvello, M.; Ferrari, S.; Biersack, E.; Diot, C. Exploring second life. IEEE/ACM Trans. Netw. 2010, 19, 80–91. [Google Scholar] [CrossRef]
- Burleson, W.; Picard, R.W. Affective agents: Sustaining motivation to learn through failure and a state of stuck. In Proceedings of the Workshop on Social and Emotional Intelligence in Learning Environments, Alagoas, Brazil, 30 August–3 September 2004. [Google Scholar]
- Müller, S.C.; Fritz, T. Stuck and frustrated or in flow and happy: Sensing developers’ emotions and progress. In Proceedings of the 2015 IEEE—ACM 37th IEEE International Conference on Software Engineering, Florence, Italy, 16–24 May 2015; Volume 1, pp. 688–699. [Google Scholar] [CrossRef]
- Park, S.M.; Kim, Y.G. A metaverse: Taxonomy, components, applications, and open challenges. IEEE Access 2022, 10, 4209–4251. [Google Scholar] [CrossRef]
- Kim, A.; McInerney, P.; Smith, T.R.; Yamakawa, N. What Makes Asia-Pacific’s Generation Z Different? Available online: https://www.mckinsey.com/capabilities/growth-marketing-and-sales/our-insights/what-makes-asia-pacifics-generation-z-different (accessed on 2 May 2024).
- Priporas, C.V.; Stylos, N.; Fotiadis, A.K. Generation Z consumers’ expectations of interactions in smart retailing: A future agenda. Comput. Hum. Behav. 2017, 77, 374–381. [Google Scholar] [CrossRef]
- Agrawal, D.K. Determining behavioural differences of Y and Z generational cohorts in online shopping. Int. J. Retail Distrib. Manag. 2022, 50, 880–895. [Google Scholar] [CrossRef]
- Choi, Y. A study on factors affecting the user experience of metaverse service. Int. J. Inf. Syst. Serv. Sect. 2022, 14, 1–17. [Google Scholar] [CrossRef]
- O’Brien, H.L. The influence of hedonic and utilitarian motivations on user engagement: The case of online shopping experiences. Interact. Comput. 2010, 22, 344–352. [Google Scholar] [CrossRef]
- Blasco-Arcas, L.; Hernandez-Ortega, B.I.; Jimenez-Martinez, J. Engagement platforms: The role of emotions in fostering customer engagement and brand image in interactive media. J. Serv. Theory Pract. 2016, 26, 559–589. [Google Scholar] [CrossRef]
- Jeon, J.E. The Effects of User Experience-Based Design Innovativeness on User? Metaverse Platform Channel Relationships in South Korea. J. Distrib. Sci. 2021, 19, 81–90. [Google Scholar] [CrossRef]
- Lee, H.J.; Gu, H.H. Empirical research on the metaverse user experience of digital natives. Sustainability 2022, 14, 14747. [Google Scholar] [CrossRef]
- Delgado, C.B. User experience (UX) in metaverse: Realities and challenges. Metaverse Basic Appl. Res. 2022, 1, 9. [Google Scholar] [CrossRef]
- Papagiannidis, S.; See-To, E.; Bourlakis, M. Virtual test-driving: The impact of simulated products on purchase intention. J. Retail. Consum. Serv. 2014, 21, 877–887. [Google Scholar] [CrossRef]
- Baxendale, S.; Macdonald, E.K.; Wilson, H.N. The impact of different touchpoints on brand consideration. J. Retail. 2015, 91, 235–253. [Google Scholar] [CrossRef]
- Papagiannidis, S.; Pantano, E.; See-To, E.W.; Dennis, C.; Bourlakis, M. To immerse or not? Experimenting with two virtual retail environments. Inf. Technol. People 2017, 30, 163–188. [Google Scholar] [CrossRef]
- Fang, Y.S.; Lee, L.S. A review and synthesis of recent research in Second Life. Interact. Technol. Smart Educ. 2009, 6, 261–267. [Google Scholar] [CrossRef]
- Gent, E. Lessons from a second life> before meta, philip rosedale created an online universe. IEEE Spectr. 2022, 59, 19. [Google Scholar] [CrossRef]
- Alsharif, A.H.; Salleh, N.Z.M.; Baharun, R. The neural correlates of emotion in decision making. Int. J. Acad. Res. Bus. Soc. Sci. 2021, 11, 64–77. [Google Scholar] [CrossRef]




| Signal | Index | Analysis | Reference |
|---|---|---|---|
| EEG (Electroencephalogram) | BATR (Cognitive Engagement) | Measures the cognitive demand to process visual and environmental stimuli. | [111,112] |
| WL (Workload) | Measures the cognitive cost of performing a task. | [113,114,115] | |
| MI (Memorization) | Measures the potential activation of memorization processes. | [107,108,109,110] | |
| SC (Skin Conductance) | EI (Emotional Index) | Combines both SCL measured via SC sensors and HR measured via PPG. It indicates the emotional strength and valence of the experience. | [116,117] |
| PPG (Photoplethysmogram) |
| Environment | Phase | BATR | WL | MI | WI | ||||
|---|---|---|---|---|---|---|---|---|---|
| M | SD | M | SD | M | SD | M | SD | ||
| SL | EEx | −0.497 | 1.056 | 1.589 | 1.136 | 0.823 | 0.758 | −0.109 | 0.417 |
| PEx | −0.192 | 0.924 | 1.633 | 1.032 | 0.827 | 0.577 | −0.146 | 0.430 | |
| PEv | −0.136 | 0.946 | 1.793 | 1.207 | 1.068 | 0.816 | −0.019 | 0.500 | |
| PAc | −0.051 | 0.980 | 1.915 | 1.340 | 1.018 | 1.017 | −0.011 | 0.567 | |
| EC | EEx | −0.415 | 0.864 | 1.856 | 1.015 | 0.964 | 0.781 | 0.088 | 0.452 |
| PEx | −0.367 | 0.917 | 1.748 | 1.007 | 0.793 | 0.805 | 0.130 | 0.561 | |
| PEv | −0.290 | 0.792 | 1.482 | 1.117 | 0.627 | 0.729 | 0.091 | 0.584 | |
| PAc | −0.181 | 0.949 | 1.219 | 1.209 | 0.482 | 0.864 | 0.142 | 0.661 | |
| Environment | Dimension | Mean | SD | Cronbach’s α |
|---|---|---|---|---|
| SL | PE | 3.697 | 1.234 | 0.874 |
| PI | 2.919 | 1.202 | 0.839 | |
| PEOU | 2.758 | 1.265 | 0.907 | |
| Flow | 3.430 | 0.999 | 0.902 | |
| CES | 3.576 | 1.157 | 0.901 | |
| EC | PE | 3.457 | 1.187 | 0.905 |
| PI | 4.333 | 0.946 | 0.795 | |
| PEOU | 5.535 | 0.623 | 0.843 | |
| Flow | 4.724 | 0.669 | 0.760 | |
| CES | 1.742 | 0.683 | 0.735 |
Disclaimer/Publisher’s Note: The statements, opinions and data contained in all publications are solely those of the individual author(s) and contributor(s) and not of MDPI and/or the editor(s). MDPI and/or the editor(s) disclaim responsibility for any injury to people or property resulting from any ideas, methods, instructions or products referred to in the content. |
© 2024 by the authors. Licensee MDPI, Basel, Switzerland. This article is an open access article distributed under the terms and conditions of the Creative Commons Attribution (CC BY) license (https://creativecommons.org/licenses/by/4.0/).
Share and Cite
Fici, A.; Bilucaglia, M.; Casiraghi, C.; Rossi, C.; Chiarelli, S.; Columbano, M.; Micheletto, V.; Zito, M.; Russo, V. From E-Commerce to the Metaverse: A Neuroscientific Analysis of Digital Consumer Behavior. Behav. Sci. 2024, 14, 596. https://doi.org/10.3390/bs14070596
Fici A, Bilucaglia M, Casiraghi C, Rossi C, Chiarelli S, Columbano M, Micheletto V, Zito M, Russo V. From E-Commerce to the Metaverse: A Neuroscientific Analysis of Digital Consumer Behavior. Behavioral Sciences. 2024; 14(7):596. https://doi.org/10.3390/bs14070596
Chicago/Turabian StyleFici, Alessandro, Marco Bilucaglia, Chiara Casiraghi, Cristina Rossi, Simone Chiarelli, Martina Columbano, Valeria Micheletto, Margherita Zito, and Vincenzo Russo. 2024. "From E-Commerce to the Metaverse: A Neuroscientific Analysis of Digital Consumer Behavior" Behavioral Sciences 14, no. 7: 596. https://doi.org/10.3390/bs14070596
APA StyleFici, A., Bilucaglia, M., Casiraghi, C., Rossi, C., Chiarelli, S., Columbano, M., Micheletto, V., Zito, M., & Russo, V. (2024). From E-Commerce to the Metaverse: A Neuroscientific Analysis of Digital Consumer Behavior. Behavioral Sciences, 14(7), 596. https://doi.org/10.3390/bs14070596

