Unconscious Integration of Categorical Relationship of Two Subliminal Numbers in Comparison with “5”
Abstract
1. Introduction
1.1. Unconscious Processing of Numbers
1.2. NCE in the Context of Unconscious Integration
2. Experiment 1
2.1. Method
Participants
2.2. Materials and Design
2.3. Procedure
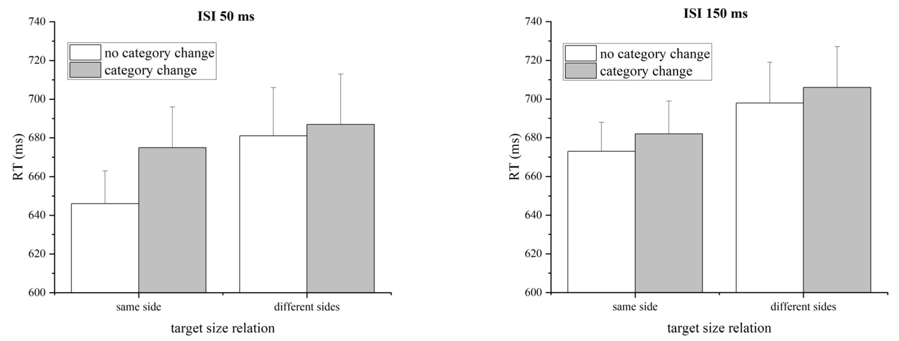
2.4. Results
2.4.1. Prime Visibility Results
2.4.2. The Visual Feature Priming Effect
2.4.3. The Category Priming Effect
2.4.4. The Response Priming Effect
3. Experiment 2
3.1. Method
Participants
3.2. Materials and Design
, were used in the one-sided number category change condition (S1 and D1 conditions in Table 2). The participants could not recognize the mosaic pictures. The mosaic pictures were used to keep the visual features altered on both sides across the prime and the target while al-lowing control over the number of categories changed across the prime and target.3.3. Procedure
3.4. Results
3.4.1. Prime Visibility Results
3.4.2. The Effect of Number of Changed Categories
4. Discussion
4.1. Unconscious Integration of Numbers
4.2. Attentional Modulation of the NCE within the Context of Unconscious Integration
4.3. Priming Effects from Multiple Sources
4.4. Another Possible Explanation
5. Conclusions
Author Contributions
Funding
Institutional Review Board Statement
Informed Consent Statement
Data Availability Statement
Conflicts of Interest
References
- Kouider, S.; Dehaene, S. Levels of processing during non-conscious perception: A critical review of visual masking. Philos. Trans. R. Soc. B 2007, 362, 857–875. [Google Scholar] [CrossRef] [PubMed]
- Holender, D.; Duscherer, K. Unconscious perception: The need for a paradigm shift. Percept. Psychophys. 2004, 66, 872–881. [Google Scholar] [CrossRef] [PubMed]
- Hassin, R.R. Yes It Can: On the functional abilities of the human unconscious. Perspect. Psychol. Sci. 2013, 8, 195–207. [Google Scholar] [CrossRef] [PubMed]
- Hirschhorn, R.; Kahane, O.; Gur-Arie, I.; Faivre, N.; Mudrik, L. Windows of integration hypothesis revisited. Front. Hum. Neurosci. 2021, 14, 617187. [Google Scholar] [CrossRef]
- Mudrik, L.; Faivre, N.; Koch, C. Information integration without awareness. Trends. Cogn. Sci. 2014, 18, 488–496. [Google Scholar] [CrossRef]
- Damian, M.F. Asymmetries in the processing of Arabic digits and number words. Mem. Cognition. 2004, 32, 164–171. [Google Scholar] [CrossRef] [PubMed]
- Ratinckx, E.; Brysbaert, M.; Fias, W. Naming two-digit Arabic numerals: Evidence from masked priming studies. J. Exp. Psychol. Human. 2005, 31, 1150–1163. [Google Scholar] [CrossRef] [PubMed]
- Ric, F.; Muller, D. Unconscious addition: When we unconsciously initiate and follow arithmetic rules. J. Exp. Psychol. Gen. 2012, 141, 222–226. [Google Scholar] [CrossRef] [PubMed]
- Garcia-Orza, J.; Damas-Lopez, J.; Matas, A.; Rodriguez, J.M. “2 × 3” primes naming “6”: Evidence from masked priming. Atten. Percept. Psychophys. 2009, 71, 471–480. [Google Scholar] [CrossRef]
- Opstal, F.V.; Reynvoet, B.; Verguts, T. How to trigger elaborate processing? A comment on kunde, kiesel, and hoffmann (2003). Cognition 2005, 97, 89–97. [Google Scholar] [CrossRef]
- Dehaene, S.; Naccache, L.; Le Clec’H, G.; Koechlin, E.; Mueller, M.; Dehaene-Lambertz, G.; Van De Moortele, P.-F.; Le Bihan, D. Imaging unconscious semantic priming. Nature 1998, 395, 597–600. [Google Scholar] [CrossRef] [PubMed]
- Naccache, L.; Dehaene, S. Unconscious semantic priming extends to novel unseen stimuli. Cognition 2001, 80, 215–229. [Google Scholar] [CrossRef] [PubMed]
- Karpinski, A.; Briggs, J.C.; Yale, M. A direct replication: Unconscious arithmetic processing. Eur. J. Soc. Psychol. 2018, 49, 637–644. [Google Scholar] [CrossRef]
- Moors, P.; Hesselmann, G. A critical reexamination of doing arithmetic nonconsciously. Psychon. Bull. Rev. 2017, 25, 472–481. [Google Scholar] [CrossRef]
- Van Opstal, F. The same-different task as a tool to study unconscious processing. Curr. Opin. Behav. Sci. 2021, 37, 35–40. [Google Scholar] [CrossRef]
- Liu, C.; Sun, Z.; Jou, J.; Cui, Q.; Zhao, G.; Qiu, J.; Tu, S. Unconscious processing of facial emotional valence relation: Behavioral evidence of integration between subliminally perceived stimuli. PLoS ONE 2016, 11, e0162689. [Google Scholar] [CrossRef] [PubMed]
- Tu, S.; Liu, C.; Zhu, S.S.; Jou, J.; Zhou, Y.; Wan, S. The semantic integration between two subliminally perceived words simultaneously presented at different locations. J. Psycholinguist. Res. 2019, 48, 1087–1110. [Google Scholar] [CrossRef] [PubMed]
- Van Opstal, F.; Rooyakkers, M. Unconscious information integration: A replication and the role of spatial window in masking experiments. Cognition 2022, 225, 105113. [Google Scholar] [CrossRef] [PubMed]
- Wang, D.; Tang, L.; Liang, Q.; Jou, J.; Ma, Y.; Pan, W.; Tu, S. Unconscious integration of pointing relation between two masked arrows. Vis. Cogn. 2017, 25, 928–939. [Google Scholar] [CrossRef]
- Aron, A.R.; Schlaghecken, F.; Fletcher, P.C.; Bullmore, E.T.; Eimer, M.; Barker, R.; Sahakian, B.J.; Robbins, T.W. Inhibition of subliminally primed responses is mediated by the caudate and thalamus: Evidence from functional MRI and Huntington’s disease. Brain 2003, 126, 713–723. [Google Scholar] [CrossRef]
- Boy, F.; Husain, M.; Sumner, P. Unconscious inhibition separates two forms of cognitive control. Proc. Natl. Acad. Sci. USA 2010, 107, 11134–11139. [Google Scholar] [CrossRef] [PubMed]
- Eimer, M.; Schlaghecken, F. Links between conscious awareness and response inhibition: Evidence from masked priming. Psychon. Bull. Rev. 2002, 9, 514–520. [Google Scholar] [CrossRef] [PubMed][Green Version]
- Lingnau, A.; Vorberg, D. The time course of response inhibition in masked priming. Percept. Psychophys. 2005, 67, 545–557. [Google Scholar] [CrossRef]
- Sumner, P. Negative and positive masked-priming—Implications for motor inhibition. Adv. Cogn. Psychol. 2007, 3, 317–326. [Google Scholar] [CrossRef] [PubMed]
- Jaśkowski, P.; Verleger, R. What determines the direction of subliminal priming. Adv. Cogn. Psychol. 2007, 3, 181–192. [Google Scholar] [CrossRef] [PubMed]
- Reynvoet, B.; Brysbaert, M. Cross-notation number priming investigated at different stimulus onset asynchronies in parity and naming tasks. Exp. Psychol. 2004, 51, 81–90. [Google Scholar] [CrossRef] [PubMed][Green Version]
- Ramsøy, T.Z.; Overgaard, M. Introspection and subliminal perception. Phenomenol. Cogn. Sci. 2004, 3, 1–23. [Google Scholar] [CrossRef]
- Schmidt, T.; Biafora, M. A theory of visibility measures in the dissociation paradigm. Psychon. Bull. Rev. 2024, 31, 65–88. [Google Scholar] [CrossRef] [PubMed]
- Tu, S.; Li, J.; Wan, S.; Wang, D.; Jou, J.; Liu, Y.; Ma, Y. A target sequential effect on the forced-choice prime visibility test in unconscious priming studies: A caveat for researchers. J. Psychol. Behav. Sci. 2023, 11, 6–17. [Google Scholar] [CrossRef]
- Meyen, S.; Zerweck, I.A.; Amado, C.; von Luxburg, U.; Franz, V.H. Advancing research on unconscious priming: When can scientists claim an indirect task advantage? J. Exp. Psychol. Gen. 2022, 151, 65–81. [Google Scholar] [CrossRef]
- Zerweck, I.A.; Kao, C.; Meyen, S.; Amado, C.; von Eltz, M.; Klimm, M.; Franz, V.H. Number processing outside awareness? Systematically testing sensitivities of direct and indirect measures of consciousness. Atten. Percept. Psychophys. 2021, 83, 2510–2529. [Google Scholar] [CrossRef] [PubMed]
- Dienes, Z. How to use and report Bayesian hypothesis tests. Psychol. Conscious. 2021, 8, 9–26. [Google Scholar] [CrossRef]
- Sklar, A.Y.; Levy, N.; Goldstein, A.; Mandel, R.; Maril, A.; Hassin, R.R. Reading and doing arithmetic nonconsciously. Proc. Natl. Acad. Sci. USA 2012, 109, 19614–19619. [Google Scholar] [CrossRef] [PubMed]
- Oxner, M.; Corballis, P.M.; Hayward, W.G. The relation of discrete stimuli can be integrated despite the failure of conscious identification. Vis. Cogn. 2018, 26, 655–671. [Google Scholar] [CrossRef]
- Lin, Z.; Murray, S.O. Unconscious processing of an abstract concept. Psychol. Sci. 2014, 25, 296–298. [Google Scholar] [CrossRef]
- Panis, S.; Schmidt, T. What is shaping RT and accuracy distributions? Active and selective response inhibition causes the negative compatibility effect. J. Cognitive. Neurosci. 2016, 28, 1651–1671. [Google Scholar] [CrossRef]
- Van Opstal, F.; Calderon, C.B.; Gevers, W.; Verguts, T. Setting the stage subliminally: Unconscious context effects. Conscious. Cogn. 2011, 20, 1860–1864. [Google Scholar] [CrossRef]





| Conditions | S-S | D-D | D-S (aaa) | S-D (aaa) | |||||
|---|---|---|---|---|---|---|---|---|---|
| S-S (uuu) | S-S (auu) | S-S (aau) | D-D (uuu) | D-D (auu) | D-D (aau) | ||||
| Number pairing | L1L3 → L1L3 (32) G8G6 → G8G6 (32) | L1L3 → L2L4 (32) G6G8 → G9G7 (32) | L1L3 → G7G9 (32) G8G6 → L2L4 (32) | L1G6 → L1G6 (32) G7L2 → G7L2 (32) | L2G7 → L3G8 (32) G6L1 → G7L2 (32) | L1G6 → G7L2 (32) G6L1 → L3G8 (32) | L1G6 → L4L2 (16) L2G7 → G6G8 (16) G8L3 → L2L4 (16) G7L2 → G6G8 (16) | L4L2 → L3G8 (16) L1L3 → G7L2 (16) G7G9 → L1G6 (16) G9G7 → G8L3 (16) | |
| 50 ms ISI | RT | 651 (26) | 659 (22) | 675 (20) | 677 (29) | 687 (27) | 687 (26) | 661 (17) | 673 (21) |
| ACC | 0.95 (0.01) | 0.95 (0.01) | 0.95 (0.01) | 0.97 (0.01) | 0.97 (0.01) | 0.97 (0.01) | 0.95 (0.01) | 0.96 (0.01) | |
| 150 ms ISI | RT | 685 (15) | 677 (15) | 682 (17) | 708 (20) | 703 (22) | 706 (21) | 669 (14) | 698 (19) |
| ACC | 0.93 (0.01) | 0.93 (0.02) | 0.94 (0.01) | 0.95 (0.01) | 0.95 (0.01) | 0.96 (0.01) | 0.94 (0.01) | 0.96 (0.01) | |
| Conditions | S1 | D1 | S2 | D2 | |
|---|---|---|---|---|---|
| Number pairing | L2×→ G7G9 (16) ×L3→ G6G8 (16) G7×→ L1L3 (16) ×G8→ L2L4 (16) | L1×→G6L1 (16) ×G6→G7L2 (16) ×L2→L3G8 (16) G7×→L1G6 (16) | L1L3→G6G8 (32) G6G8→L2L4 (32) | L1G6→G7L2 (32) G7L2→L3G8 (32) | |
| 50 ms | RT (ms) | 827 ± 47 | 925 ± 58 | 832 ± 44 | 937 ± 62 |
| accuracy | 0.97 ± 0.01 | 0.97 ± 0.01 | 0.97 ± 0.01 | 0.98 ± 0.01 | |
| 150 ms | RT (ms) | 810 ± 54 | 890 ± 58 | 821 ± 56 | 888 ± 67 |
| accuracy | 0.98 ± 0.00 | 0.97 ± 0.01 | 0.98 ± 0.01 | 0.98 ± 0.00 | |
Disclaimer/Publisher’s Note: The statements, opinions and data contained in all publications are solely those of the individual author(s) and contributor(s) and not of MDPI and/or the editor(s). MDPI and/or the editor(s) disclaim responsibility for any injury to people or property resulting from any ideas, methods, instructions or products referred to in the content. |
© 2024 by the authors. Licensee MDPI, Basel, Switzerland. This article is an open access article distributed under the terms and conditions of the Creative Commons Attribution (CC BY) license (https://creativecommons.org/licenses/by/4.0/).
Share and Cite
Li, C.; Liu, Q.; Liu, Y.; Jou, J.; Tu, S. Unconscious Integration of Categorical Relationship of Two Subliminal Numbers in Comparison with “5”. Behav. Sci. 2024, 14, 296. https://doi.org/10.3390/bs14040296
Li C, Liu Q, Liu Y, Jou J, Tu S. Unconscious Integration of Categorical Relationship of Two Subliminal Numbers in Comparison with “5”. Behavioral Sciences. 2024; 14(4):296. https://doi.org/10.3390/bs14040296
Chicago/Turabian StyleLi, Changjun, Qingying Liu, Yingjuan Liu, Jerwen Jou, and Shen Tu. 2024. "Unconscious Integration of Categorical Relationship of Two Subliminal Numbers in Comparison with “5”" Behavioral Sciences 14, no. 4: 296. https://doi.org/10.3390/bs14040296
APA StyleLi, C., Liu, Q., Liu, Y., Jou, J., & Tu, S. (2024). Unconscious Integration of Categorical Relationship of Two Subliminal Numbers in Comparison with “5”. Behavioral Sciences, 14(4), 296. https://doi.org/10.3390/bs14040296

