Influence of Relative Age on Physical Condition and Academic Performance in Adolescents
Abstract
1. Introduction
2. Materials and Methods
2.1. Research Design
2.2. Participants
2.3. Sample Selection Criteria
2.4. Procedure
2.5. Variables and Measurements
2.6. Statistical Analysis
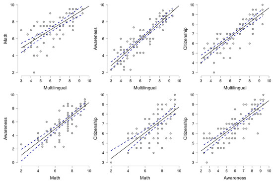
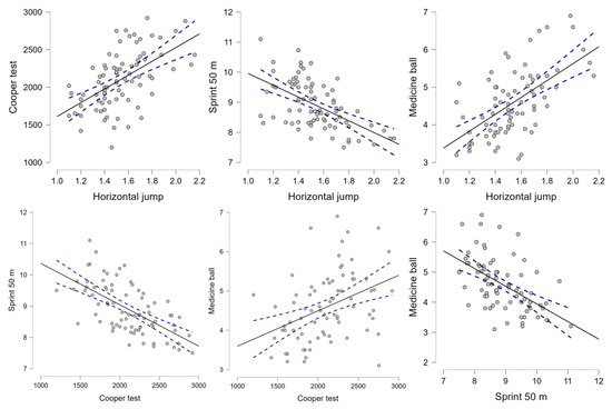
3. Results
4. Discussion
5. Conclusions
Author Contributions
Funding
Institutional Review Board Statement
Informed Consent Statement
Data Availability Statement
Conflicts of Interest
References
- Mavilidi, M.F.; Marsh, H.W.; Xu, K.M.; Parker, P.D.; Jansen, P.W.; Paas, F. Relative Age Effects on Academic Achievement in the First Ten Years of Formal Schooling: A Nationally Representative Longitudinal Prospective Study. J. Educ. Psychol. 2022, 114, 308–325. [Google Scholar] [CrossRef]
- Cobley, S.; McKenna, J.; Baker, J.; Wattie, N. How Pervasive Are Relative Age Effects in Secondary School Education? J. Educ. Psychol. 2009, 101, 520–528. [Google Scholar] [CrossRef]
- Caye, A.; Petresco, S.; de Barros, A.J.D.; Bressan, R.A.; Gadelha, A.; Gonçalves, H.; Manfro, A.G.; Matijasevich, A.; Menezes, A.M.B.; Miguel, E.C.; et al. Relative Age and Attention-Deficit/Hyperactivity Disorder: Data From Three Epidemiological Cohorts and a Meta-analysis. J. Am. Acad. Child. Adolesc. Psychiatry 2020, 59, 990–997. [Google Scholar] [CrossRef] [PubMed]
- Dhuey, E.; Lipscomb, S. What makes a leader? Relative age and high school leadership. Econ. Educ. Rev. 2008, 27, 173–183. [Google Scholar] [CrossRef]
- Cobley, S.; Baker, J.; Wattie, N.; McKenna, J. Annual age-grouping and athlete development: A meta-analytical review of relative age effects in sport. Sports Med. 2009, 39, 235–256. [Google Scholar] [CrossRef] [PubMed]
- Musch, J.; Grondin, S. Unequal competition as an impediment to personal development: A review of the relative age effect in sport. Dev. Rev. 2001, 21, 147–167. [Google Scholar] [CrossRef]
- Lien, L.; Tambs, K.; Oppedal, B.; Heyerdahl, S.; Bjertness, E. Is relatively young age within a school year a risk factor for mental health problems and poor school performance? A population-based cross-sectional study of adolescents in Oslo, Norway. BMC Public Health 2005, 5, 102. [Google Scholar] [CrossRef]
- Gledhill, J.; Ford, T.; Goodman, R. Does Season of Birth Matter?: The Relationship between Age within the School Year (Season of Birth) and Educational Difficulties among a Representative General Population Sample of Children and Adolescents (Aged 5–15) in Great Britain. Res. Educ. 2002, 68, 41–47. [Google Scholar] [CrossRef]
- Verachtert, P.; De Fraine, B.; Onghena, P.; Ghesquière, P. Season of birth and school success in the early years of primary education. Oxf. Rev. Educ. 2010, 36, 285–306. [Google Scholar] [CrossRef]
- Martin, R.P.; Foels, P.; Clanton, G.; Moon, K. Season of birth is related to child retention rates, achievement, and rate of diagnosis of specific LD. J. Learn. Disabil. 2004, 37, 307–317. [Google Scholar] [CrossRef]
- Navarro, J.-J.; García-Rubio, J.; Olivares, P.R. The Relative Age Effect and Its Influence on Academic Performance. PLoS ONE 2015, 10, e0141895. [Google Scholar] [CrossRef]
- Barnsley, R.H.; Thompson, A.H.; Barnsley, P.E. Hockey success and birthdate: The relative age effect. J. Can. Assoc. Health Phys. Educ. Recreat. 1985, 51, 23–28. [Google Scholar]
- Rubia, A.; Bjørndal, C.T.; Sánchez-Molina, J.; Yagüe, J.M.; Calvo, J.L.; Maroto-Izquierdo, S. The relationship between the relative age effect and performance among athletes in World Handball Championships. PLoS ONE 2020, 15, e0230133. [Google Scholar] [CrossRef]
- Behringer, M.; vom Heede, A.; Yue, Z.; Mester, J. Effects of Resistance Training in Children and Adolescents: A Meta-analysis. Pediatrics 2010, 126, e1199–e1210. [Google Scholar] [CrossRef] [PubMed]
- Sun, T.R. Analysis of sex and age differences in performance of young Canadian freestyle swimmers. J. Hum. Sport. Exerc. 2022, 17, 640–654. [Google Scholar] [CrossRef]
- De la Rubia Riaza, A.; Lorenzo Calvo, J.; Mon-López, D.; Lorenzo, A. Impact of the relative age effect on competition performance in basketball: A qualitative systematic review. Int. J. Env. Res. Public Health 2020, 17, 8596. [Google Scholar] [CrossRef]
- Wrang, C.M.; Rossing, N.N.; Diernæs, R.M.; Hansen, C.G.; Dalgaard-Hansen, C.; Karbing, D.S. Relative Age Effect and the Re-Selection of Danish Male Handball Players for National Teams. J. Hum. Kinet. 2018, 63, 33–41. [Google Scholar] [CrossRef]
- Sierra-Díaz, M.; González-Víllora, S.; Pastor-Vicedo, J.; Serra-Olivares, J. Soccer and Relative Age Effect: A Walk among Elite Players and Young Players. Sports 2017, 5, 5. [Google Scholar] [CrossRef]
- Williams, A.M.; Ford, P.R.; Drust, B. Talent identification and development in soccer since the millennium. J. Sports Sci. 2020, 38, 1199–1210. [Google Scholar] [CrossRef]
- Hancock, D.J.; Starkes, J.L.; Ste-Marie, D.M. The relative age effects in female gymnastics: A flip-flop phenomenon. Int. J. Sports Med. 2015, 46, 714. [Google Scholar] [CrossRef]
- Hernández, R.; Fernández, C.; Baptista, P. Metodología de la Investigación, 6th ed.; McGraw-Hill: Mexico City, Mexico, 2014. [Google Scholar]
- Montero, I.; León, O.G. A guide for naming research studies in Psychology. Int. J. Clin. Health 2007, 7, 847–862. [Google Scholar]
- Check, J.; Schutt, R.K. Research Methods in Education; Sage Publications: Thousand Oaks, CA, USA, 2011. [Google Scholar]
- Isorna-Folgar, M.; Vaquero-Cristóbal, R.; Vinuesa-González, J.; Rial-Boubeta, A. The effect of relative age on participation in the national sport training plan and the achievement of sporting success in canoeing. Apunts. Ef YD 2014, 1, 46–53. [Google Scholar]
- Gutiérrez Díaz del Campo, D. Review of relative age effects and potential ways to reduce them in sport and education. Retos 2015, 23, 51–63. [Google Scholar] [CrossRef]
- Cohen, J. Statistical Power Analysis for the Behavioral Sciences; Lawrence Erlbaum Associates: Hillsdle, NJ, USA, 1988. [Google Scholar]
- Vazquez Ramil, R.; Ucha, P.; Serafin, A. Cross-curricular teaching, citizenship and values education: From LOGSE (1990) to LOMLOE (2020). Innovación Educ. 2020, 30, 113–125. [Google Scholar]
- Shariat, A.; Cleland, J.A.; Danaee, M.; Alizadeh, R.; Sangelaji, B.; Kargarfard, M.; Ansari, N.N.; Sepehr, F.H.; Tamrin, S.B.M. Borg CR-10 scale as a new approach to monitoring office exercise training. Work 2018, 60, 549–554. [Google Scholar] [CrossRef]
- Nicol, C.; Avela, J.; Komi, P.V. The stretch-shortening cycle: A model to study naturally occurring neuromuscular fatigue. Sports Med. 2006, 36, 977–999. [Google Scholar] [CrossRef]
- Maulder, P.; Cronin, J. Horizontal and vertical jump assessment: Reliability, symmetry, discriminative and predictive ability. Phys. Ther. Sport 2005, 6, 74–82. [Google Scholar] [CrossRef]
- Cooper, K.H. A Means of Assessing Maximal Oxygen Intake: Correlation Between Field and Treadmill Testing. JAMA J. Am. Med. Assoc. 1968, 203, 201–204. [Google Scholar] [CrossRef]
- Di Prampero, P.E.; Fusi, S.; Sepulcri, L.; Morin, J.B.; Belli, A.; Antonutto, G. Sprint running: A new energetic approach. J. Exp. Biol. 2005, 208, 2809–2816. [Google Scholar] [CrossRef]
- Mayorga-Vega, D.; Merino-Marban, R.; Viciana, J. Criterion-related validity of sit-and-reach tests for estimating hamstring and lumbar extensibility: A meta-analysis. J. Sports Sci. Med. 2014, 13, 1–14. [Google Scholar]
- Gabbett, T.; Georgieff, B.; Domrow, N. The use of physiological, anthropometric, and skill data to predict selection in a talent-identified junior volleyball squad. J. Sports Sci. 2007, 25, 1337–1344. [Google Scholar] [CrossRef] [PubMed]
- Lakens, D. Calculating and reporting effect sizes to facilitate cumulative science: A practical primer for t-tests and ANOVAs. Front. Physiol. 2013, 4, 863. [Google Scholar] [CrossRef] [PubMed]
- Hopkins, W.G.; Marshall, S.W.; Batterham, A.M.; Hanin, J. Progressive statistics for studies in sports medicine and exercise science. Med. Sci. Sports Exerc. 2009, 41, 3–13. [Google Scholar] [CrossRef]
- Lovell, R.; Towlson, C.; Parkin, G.; Portas, M.; Vaeyens, R.; Cobley, S. Soccer player characteristics in English lower-league development programmes: The relationships between relative age, maturation, anthropometry and physical fitness. PLoS ONE 2015, 10, e0137238. [Google Scholar] [CrossRef]
- Delorme, N.; Boiché, J.; Raspaud, M. The relative age effect in elite sport: The French case. Res. Q. Exerc. Sport 2009, 80, 336–344. [Google Scholar] [CrossRef]
- Lloyd, R.S.; Oliver, J.L. The youth physical development model: A new approach to long-term athletic development. Strength Cond. J. 2012, 34, 61–72. [Google Scholar] [CrossRef]
- Martínez-Pérez, P.; Vaquero-Cristóbal, R. Systematic review of strength training in preadolescent and adolescent football players. Retos 2021, 41, 272–284. [Google Scholar]
- Reyes, A.C.; Chaves, R.; Baxter-Jones, A.D.G.; Vasconcelos, O.; Tani, G.; Maia, J. A mixed-longitudinal study of children’s growth, motor development and cognition. Design, methods and baseline results on sex-differences. Ann. Hum. Biol. 2018, 45, 376–385. [Google Scholar] [CrossRef] [PubMed]
- Helsen, W.F.; van Winckel, J.; Williams, A.M. The relative age effect in youth soccer across Europe. J. Sports Sci. 2005, 23, 629–636. [Google Scholar] [CrossRef]
- Rejeski, W.; Darracott, C.; Hutslar, S. Pygmalion in Youth Sport: A Field Study. J. Sport Psychol. 1979, 1, 311–319. [Google Scholar] [CrossRef]
- Malina, R.M.; Ribeiro, B.; Aroso, J.; Cumming, S.P. Characteristics of youth soccer players aged 13-15 years classified by skill level. Br. J. Sports Med. 2007, 41, 290–295. [Google Scholar] [CrossRef]
- Deprez, D.; Coutts, A.J.; Fransen, J.; Deconinck, F.; Lenoir, M.; Vaeyens, R.; Philippaerts, R. Relative age, biological maturation and anaerobic characteristics in elite youth soccer players. Int. J. Sports Med. 2013, 34, 897–903. [Google Scholar] [CrossRef]
- Apadopoulou, S.D.; Papadopoulou, S.K.; Rosemann, T.; Knechtle, B.; Nikolaidis, P.T. Relative Age Effect on Youth Female Volleyball Players: A Pilot Study on Its Prevalence and Relationship with Anthropometric and Physiological Characteristics. Front. Physiol. 2019, 10, 2737. [Google Scholar] [CrossRef]
- Malina, R.M.; Bouchard, C. Growth, Maturation, and Physical Activity. JSAMS 1992, 24, 841. [Google Scholar] [CrossRef]
- Pedraja-Chaparro, F.; Santín, D.; Simancas, R. Determinants of grade retention in France and Spain: Does birth month matter? J. Policy Model. 2015, 37, 820–834. [Google Scholar] [CrossRef]
- Yanci, J.; García Huerta, A.; Castillo Alvira, D.; Rivero Benito, L.A.; Los Arcos Larumbe, A. Evaluación y relación entre distintos parámetros de condición física en futbolistas semi profesionales (Evaluation and relationship among different fitness parameters in semi professional soccer players). Retos 2014, 26, 114–117. [Google Scholar] [CrossRef]
- Wittberg, R.A.; Northrup, K.L.; Cottrell, L.A. Children’s aerobic fitness and academic achievement: A longitudinal examination of students during their fifth and seventh grade years. Am. J. Public Health 2012, 102, 2303–2307. [Google Scholar] [CrossRef]
- Meeusen, R. Exercise, nutrition and the brain. Sports Med. 2014, 44 (Suppl. S1), S47–S56. [Google Scholar] [CrossRef]
- Lambourne, K.; Hansen, D.M.; Szabo, A.N.; Lee, J.; Herrmann, S.D.; Donnelly, J.E. Indirect and direct relations between aerobic fitness, physical activity, and academic achievement in elementary school students. Ment. Health Phys. Act. 2013, 6, 165–171. [Google Scholar] [CrossRef] [PubMed]
- Donnelly, J.E.; Hillman, C.H.; Castelli, D.; Etnier, J.L.; Lee, S.; Tomporowski, P.; Lambourne, K.; Szabo-Reed, A.N. Physical Activity, Fitness, Cognitive Function, and Academic Achievement in Children: A Systematic Review. Med. Sci. Sports Exerc. 2016, 48, 1197–1222. [Google Scholar] [CrossRef] [PubMed]



| Variable | Procedure | Author | 
|---|---|---|
| Explosive power | The participants performed a horizontal jump; to do so, they stood behind the starting line with their feet shoulder-width apart and bent their knees to an angle of ~120°. To measure the distance jumped, a tape measure oriented perpendicular to the starting line and fixed to the ground was used. The maximum distance in centimeters (cm) achieved by the subject was taken into account. | Maulder and Cronin [30] | 
| Cardiorespiratory capacity | The participants performed the Cooper test on an athletic track, which consisted of running the greatest distance possible in a time of 12 min. The distance traveled in meters (m) was taken into account. | Cooper [31] | 
| Speed | The participants performed the 50 m straight-line sprint test on an athletic track. To measure the time taken, a radar gun placed on a tripod 10 m behind the subject and at a height of ~80 cm was used. The minimum time in seconds (s) taken by the subject was considered. | Di Prampero, Fusi [32] | 
| Flexibility | The participants performed the trunk anterior flexion test (sit-and-reach test). To do this, they took off their shoes and sat on the floor with their legs fully extended and the soles of their feet resting against the box. Then, participants clasped their hands over each other and slowly leaned and stretched forward as far as possible, sliding their fingers along the top of the box and holding the final position for 2–3 s. The maximum distance in cm achieved by the subject was taken into account. | Mayorga-Vega, Merino-Marban [33] | 
| Muscle strength | The participants performed a throw with a 3 kg medicine ball. To do this, they stood behind the starting line, took the ball with both hands, carried it back to gain momentum, and threw it at an angle of ~45° as far as possible. Chalk was used to mark the throw on the ground. The maximum distance in cm achieved by the subject was taken into account. | Gabbett, Georgieff [34] | 
| Variables | Q1 (n = 27) | Q2 (n = 25) | Q3 (n = 27) | 
|---|---|---|---|
| Demographics | |||
| Age | 13.72 ± 0.15 | 13.48 ± 0.23 | 13.18 ± 0.11 | 
| Weight (kg) | 55.16 ± 7.87 | 53.89 ± 9.41 | 54.01 ± 8.78 | 
| Height (cm) | 160.62 ± 5.11 | 158.87 ± 7.89 | 155.89 ± 6.58 | 
| Physical condition | |||
| Explosive power (Horizontal jump) (cm) | 1.71 ± 0.24 *# | 1.49 ± 0.10 | 1.40 ± 0.19 | 
| Cardiorespiratory capacity (Cooper) (m) | 2255.93 ± 361.67 # | 2043.44 ± 284.65 | 2004.26 ± 435.87 | 
| Speed (Sprint 50 m) (s) | 8.59 ± 0.70 # | 9.06 ± 0.76 | 9.08 ± 0.87 | 
| Flexibility (Sit-and-reach) (cm) | 27.37 ± 10.10 | 23.84 ± 8.48 | 22.37 ± 11.81 | 
| Muscle Strength (Medicine ball) (cm) | 5.02 ± 0.97 # | 4.54 ± 0.67 | 4.20 ± 0.76 | 
| Academics performance | |||
| Multilingual competence | 6.84 ± 1.53 | 6.13 ± 1.80 | 5.99 ± 1.95 | 
| Mathematical competence | 7.80 ± 1.35 | 7.08 ± 2.03 | 6.87 ± 1.58 | 
| Consciousness competence | 6.67 ± 1.98 | 5.81 ± 2.22 | 6.02 ± 1.84 | 
| Citizenship competence | 7.37 ± 1.33 | 6.40 ± 1.75 | 6.93 ± 1.55 | 
| Q1 (n = 27) | Q2 (n = 25) | Q3 (n = 27) | ||||
|---|---|---|---|---|---|---|
| Variables | Males (n = 13) | Females (n = 14) | Males (n = 12) | Females (n = 13) | Males (n = 13) | Females (n = 14) | 
| Demographics | ||||||
| Age | 13.79 ± 0.41 | 13.51 ± 0.09 | 13.41 ± 0.24 | 13.24 ± 0.19 | 13.12 ± 0.23 | 13.09 ± 0.22 | 
| Weight (kg) | 58.28 ± 5.87 | 53.24 ± 6.17 | 55.48 ± 4.17 | 51.19 ± 3.87 | 53.28 ± 6.87 | 50.98 ± 4.87 | 
| Height (cm) | 159.89 ± 6.87 | 162.58 ± 5.24 | 157.89 ± 5.98 | 159.68 ± 6.58 | 156.58 ± 4.21 | 155.65 ± 5.87 | 
| Physical condition | ||||||
| Explosive power (cm) | 1.86 ± 0.19 $*# | 1.58 ± 0.21 # | 1.52 ± 0.12 | 1.47 ± 0.07 | 1.46 ± 0.22 | 1.34 ± 0.15 | 
| Cardiorespiratory (m) | 2385 ± 299 | 2135 ± 382 | 2061 ± 534 | 2027 ± 252 | 2134 ± 534 | 1883 ± 289 | 
| Speed (s) | 8.19 ± 0.38 $* | 8.95 ± 0.73 | 9.01 ± 0.84 | 9.10 ± 0.72 | 8.57 ± 0.74 $ | 9.55 ± 0.72 | 
| Flexibility (cm) | 23.15 ± 11.65 # | 31.29 ± 6.66 $ | 19.00 ± 5.94 | 28.31 ± 8.15 $ | 14.92 ± 6.65 | 29.29 ± 11.46 $ | 
| Muscle strength (cm) | 5.59 ± 0.86 $# | 4.49 ± 0.76 | 4.84 ± 0.75 $ | 4.26 ± 0.45 | 4.44 ± 0.76 | 3.98 ± 0.72 | 
| Academics performance | ||||||
| Multilingual | 6.82 ± 1.71 | 6.86 ± 1.40 | 6.08 ± 1.81 | 6.18 ± 1.86 | 5.49 ± 2.01 | 6.45 ± 1.83 $ | 
| Math | 7.54 ± 1.27 | 8.04 ± 1.42 $ | 6.42 ± 2.36 | 7.69 ± 1.51 $ | 6.15 ± 1.52 | 7.54 ± 1.38 $ | 
| Awareness | 6.64 ± 2.08 | 6.69 ± 1.96 | 5.47 ± 2.27 | 6.13 ± 2.22 $ | 5.54 ± 1.86 | 6.48 ± 1.77 $ | 
| Citizenship | 7.35 ± 1.45 | 7.39 ± 1.26 | 6.17 ± 1.48 | 6.62 ± 2.01 | 6.65 ± 1.61 | 7.18 ± 1.50 $ | 
| Disclaimer/Publisher’s Note: The statements, opinions and data contained in all publications are solely those of the individual author(s) and contributor(s) and not of MDPI and/or the editor(s). MDPI and/or the editor(s) disclaim responsibility for any injury to people or property resulting from any ideas, methods, instructions or products referred to in the content. | 
© 2024 by the authors. Licensee MDPI, Basel, Switzerland. This article is an open access article distributed under the terms and conditions of the Creative Commons Attribution (CC BY) license (https://creativecommons.org/licenses/by/4.0/).
Share and Cite
Fernández-Galván, L.M.; Belando-Pedreño, N.; Yañez-Araque, B.; Sánchez-Infante, J. Influence of Relative Age on Physical Condition and Academic Performance in Adolescents. Behav. Sci. 2024, 14, 181. https://doi.org/10.3390/bs14030181
Fernández-Galván LM, Belando-Pedreño N, Yañez-Araque B, Sánchez-Infante J. Influence of Relative Age on Physical Condition and Academic Performance in Adolescents. Behavioral Sciences. 2024; 14(3):181. https://doi.org/10.3390/bs14030181
Chicago/Turabian StyleFernández-Galván, Luis Miguel, Noelia Belando-Pedreño, Benito Yañez-Araque, and Jorge Sánchez-Infante. 2024. "Influence of Relative Age on Physical Condition and Academic Performance in Adolescents" Behavioral Sciences 14, no. 3: 181. https://doi.org/10.3390/bs14030181
APA StyleFernández-Galván, L. M., Belando-Pedreño, N., Yañez-Araque, B., & Sánchez-Infante, J. (2024). Influence of Relative Age on Physical Condition and Academic Performance in Adolescents. Behavioral Sciences, 14(3), 181. https://doi.org/10.3390/bs14030181
 
        





 
       