Do Victims Really Help Their Abusive Supervisors? Reevaluating the Positive Consequences of Abusive Supervision
Abstract
:1. Introduction
2. Literature Review and Hypotheses
3. Method
3.1. Sample and Procedures
3.2. Measures
3.3. Data Analysis Technique
4. Results
4.1. Descriptive Statistics and Corrections
4.2. Confirmatory Factor Analysis
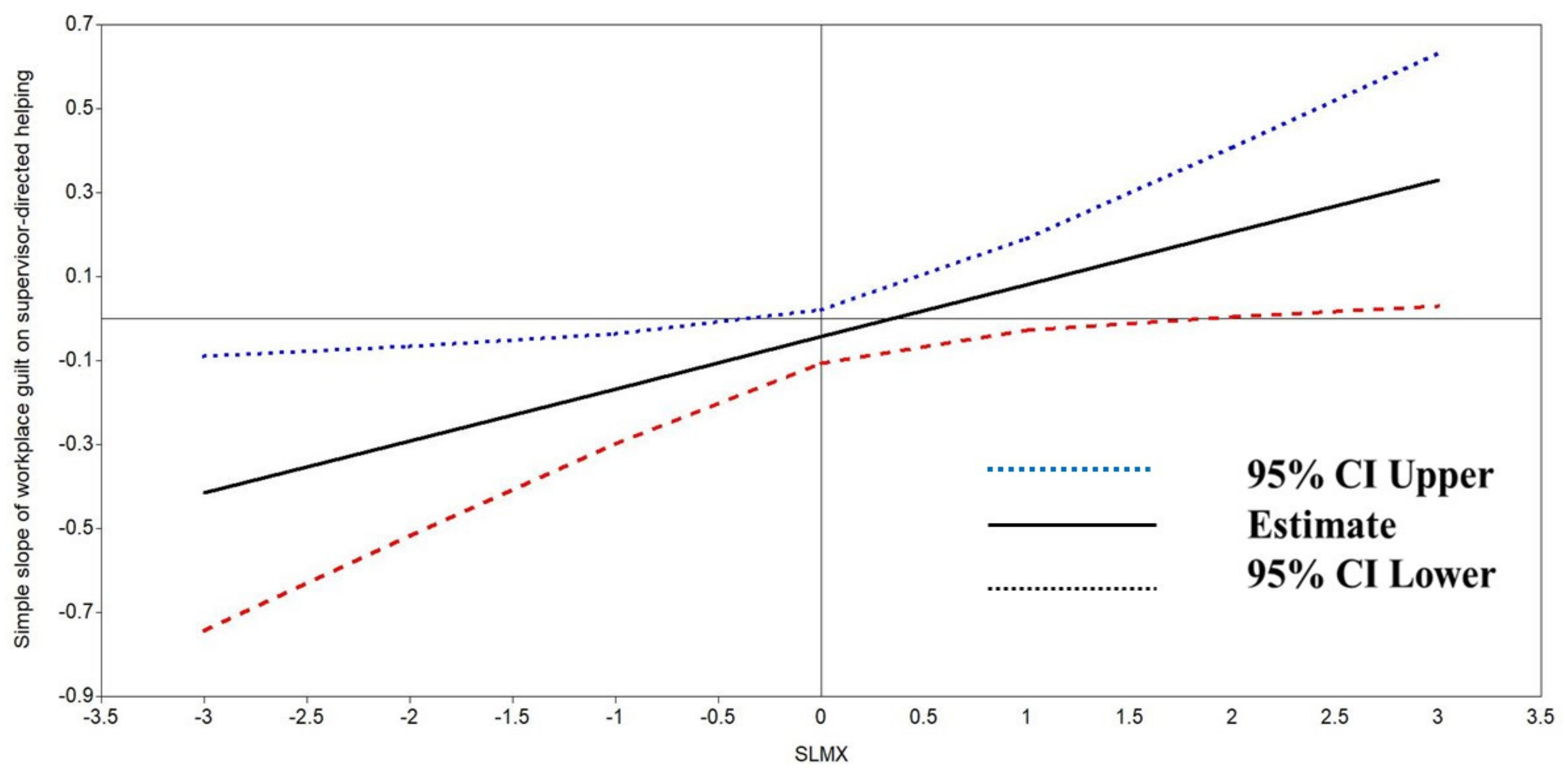
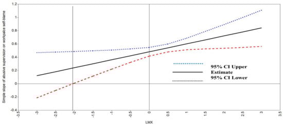
4.3. Test of Individual-Level Moderated Mediation Model
4.4. Test of Multilevel Moderated Mediation Model
5. Discussion
6. Conclusions
7. Supplementary Data Analysis (1)
8. Supplementary Data Analysis (2)
Author Contributions
Funding
Institutional Review Board Statement
Informed Consent Statement
Data Availability Statement
Acknowledgments
Conflicts of Interest
Appendix A. Scales Used in the Study
- I.
- Supervisor-evaluated LMX (SLMX, T1., reported by supervisors).
- I often make suggestions about better work methods to my subordinates.
- I usually let my subordinates know when I do something that makes their jobs easier (or harder).
- I usually let my subordinates know when they do something that makes my job earlier (or harder).
- My subordinates can well recognize my potential.
- My subordinates can understand my problems and needs.
- I am flexible about switching job responsibilities to make things easier for my subordinates.
- In busy situations, my subordinates often ask me to help out.
- In busy situations, I often volunteer to help my subordinates.
- I am willing to help finish work that has been assigned to my subordinates.
- My subordinates are willing to help finish work that I undertake.
- II.
- Abusive supervision (T2, reported by subordinate).
- My supervisor ridicules me.
- My supervisor puts me down in front of others.
- My supervisor tells me my thoughts or feelings are stupid.
- My supervisor tells me I’m incompetent.
- My supervisor makes negative comments about me to others.
- III.
- Leader–member exchange (T2, reported by subordinates).
- My immediate supervisor understands my problems and needs.
- My immediate supervisor recognizes my potential.
- My working relationship with my immediate supervisor is effective.
- I usually know how satisfied my immediate supervisor is with what I do.
- My immediate supervisor has enough confidence in me, who would defend and justify my decisions (rights) if I am not present to do so.
- I can count on my supervisor to “bail me out” at his or her expense when I really need it.
- My immediate supervisor would be personally inclined to use power to help me solve problems in your work.
- IV.
- Workplace self-blame (T3, reported by subordinates).
- I think that I did something that jeopardized my relationship with my supervisor.
- I think that I am responsible for damaging my relationship with my supervisor.
- I think that I am to be blamed for risking my relationship with my supervisor.
- V.
- Workplace guilt (T4, reported by subordinates).
- At work, I feel regrets, from time to time.
- At work, I feel like apologizing, from time to time.
- At work, I feel ashamed, from time to time.
- At work, I feel inadequate, from time to time.
- At work, I feel that tasks are not done well, from time to time.
- VI.
- Supervisor-directed helping (T5, rated by supervisors)
- This subordinate accepts added responsibility to help me.
- This subordinate helps me when I have a heavy workload.
- This subordinate assists me with my work when not asked.
- This subordinate is willing to help me to solve problems in my work.
- This subordinate communicates with me proactively.
References
- Fischer, T.; Tian, A.W.; Lee, A.; Hughes, D.J. Abusive supervision: A systematic review and fundamental rethink. Leadersh. Q. 2021, 32, 101540. [Google Scholar] [CrossRef]
- Mackey, J.D.; Frieder, R.E.; Brees, J.R.; Martinko, M.J. Abusive supervision: A meta-analysis and empirical review. J. Manag. 2017, 43, 1940–1965. [Google Scholar] [CrossRef]
- Zhang, Y.; Liao, Z. Consequences of abusive supervision: A meta-analytic review. Asia Pac. J. Manag. 2015, 32, 959–987. [Google Scholar] [CrossRef]
- Tepper, B.J.; Simon, L.; Park, H.M. Abusive supervision. Annu. Rev. Organ. Psychol. Organ. Behav. 2017, 4, 123–152. [Google Scholar] [CrossRef]
- Tepper, B.J. Consequences of abusive super-vision. Acad. Manag. J. 2000, 43, 178–190. [Google Scholar] [CrossRef]
- Lee, S.; Yun, S.; Srivastava, A. Evidence for a curvilinear relationship between abusive supervision and creativity in South Korea. Leadersh. Q. 2013, 24, 724–731. [Google Scholar] [CrossRef]
- Liao, Z.; Lee, H.W.; Johnson, R.E.; Song, Z.; Liu, Y. Seeing from a short-term perspective: When and why daily abusive supervisor behavior yields functional and dysfunctional consequences. J. Appl. Psychol. 2021, 106, 377–398. [Google Scholar] [CrossRef]
- Pan, W.; Sun, L.; Sun, L.-Y.; Li, C.W.; Leung, S.M. Abusive supervision and job-oriented constructive deviance in the hotel industry. Int. J. Contemp. Hosp. Manag. 2018, 30, 2248–2263. [Google Scholar] [CrossRef]
- Tröster, C.; Van Quaquebeke, N. When victims help their Abusive supervisors: The role of LMX, self-blame, and guilt. Acad. Manag. J. 2021, 64, 1793–1815. [Google Scholar] [CrossRef]
- Gerstner, C.R.; Day, D.V. Meta-analytic review of leader-member exchange theory: Correlates and construct issues. J. Appl. Psychol. 1997, 82, 827–844. [Google Scholar] [CrossRef]
- Graen, G.B.; Uhl-Bien, M. Relationship-based approach to leadership: Development of leader-member exchange (LMX) theory of leadership over 25 years: Applying a multi-level multi-domain perspective. Leadersh. Q. 1995, 6, 219–247. [Google Scholar] [CrossRef]
- Baumeister, R.F.; Stillwell, A.M.; Heatherton, T.F. Guilt: An interpersonal approach. Psychol. Bull. 1994, 115, 243–267. [Google Scholar] [CrossRef] [PubMed]
- Qin, X.; Huang, M.; Johnson, R.E.; Hu, Q.; Ju, D. The short-lived benefits of abusive supervisory behavior for actors: An investigation of recovery and work engagement. Acad. Manag. J. 2018, 61, 1951–1975. [Google Scholar] [CrossRef]
- Blau, P.M. Exchange and Power in Social Life; Wiley: New York, NY, USA, 1964. [Google Scholar]
- Perugini, M.; Gallucci, M. Individual differences and social norms: The distinction between reciprocators and prosocials. Eur. J. Personal. 2001, 15, S19–S35. [Google Scholar] [CrossRef]
- Xu, E.; Huang, X.; Lam, C.; Miao, Q. Abusive supervision and work behaviors: The mediating role of LMX. J. Organ. Behav. 2012, 33, 531–543. [Google Scholar] [CrossRef]
- Seers, A.; Petty, M.M.; Cashman, J.F. Team member exchange under team and traditional management. Group Organ. Manag. 1995, 20, 18. [Google Scholar] [CrossRef]
- Mitchell, M.S.; Ambrose, M.L. Abusive supervision and workplace deviance and the moderating effects of negative reciprocity beliefs. J. Appl. Psychol. 2007, 92, 1159–1168. [Google Scholar] [CrossRef]
- Scandura, T.A.; Graen, G.B. Moderating effects of initial leader–member exchange status on the effects of leadership intervention. J. Appl. Psychol. 1984, 69, 428–436. [Google Scholar] [CrossRef]
- Izard, C.E.; Libero, D.Z.; Putnam, P.; Haynes, O.M. Stability of Emotion Experiences and Their Relations to Traits of Personality. J. Personal. Soc. Psychol. 1993, 64, 847–860. [Google Scholar] [CrossRef]
- Karriker, J.; Williams, M.L. Organizational justice and organizational citizenship behavior: A mediated multifoci model. J. Manag. 2009, 35, 112–135. [Google Scholar] [CrossRef]
- Rupp, D.E.; Cropanzano, R. Multifoci Justice and Social Exchange Relationships. Organ. Behav. Hum. Decis. Process. 2002, 89, 925–946. [Google Scholar] [CrossRef]
- Williams, L.J.; Anderson, S.E. Job satisfaction and organizational commitment as predictors of organizational citizenship and in-role behaviors. J. Manag. 1991, 17, 601–617. [Google Scholar] [CrossRef]
- Muthen, L.K.; Muthen, B.O. Mplus User’s Guide, 8th ed.; Muthen & Muthen: Los Angeles, CA, USA, 2017. [Google Scholar]
- Preacher, K.J.; Selig, J.P. Advantages of Monte Carlo confidence intervals for indirect effects. Commun. Methods Meas. 2012, 6, 77–98. [Google Scholar] [CrossRef]
- Liu, D.; Zhang, Z.; Wang, M. Mono-level and multilevel mediated moderation and moderated mediation. In Empirical Methods in Organization and Management Research, 3rd ed.; Chen, X.-P., Shen, W., Eds.; Peking University Press: Beijing, China, 2018. (In Chinese) [Google Scholar]
- Bagozzi, R.P.; Heatherton, T.F. A general approach to representing multifaceted personality constructs: Application to state self-esteem. Struct. Equ. Model. 1994, 1, 35–67. [Google Scholar] [CrossRef]
- Brooke, P.R.; Russell, D.W.; Price, J.L. Discriminant validation of measures of job satisfaction, job involvement, and organizational commitment. J. Appl. Psychol. 1988, 73, 139–145. [Google Scholar] [CrossRef]
- Köhler, T.; Cortina, J.M. Play It Again, Sam! An Analysis of Constructive Replication in the Organizational Sciences. J. Manag. 2021, 47, 488–518. [Google Scholar] [CrossRef]
- Ferris, G.R.; Zinko, R.; Brouer, R.L.; Buckley, M.R.; Harvey, M.G. Strategic bullying as a supplementary, balanced perspective on destructive leadership. Leadersh. Q. 2007, 18, 195–206. [Google Scholar] [CrossRef]
- Liang, L.H.; Lian, H.; Brown, D.J.; Ferris, D.L.; Hanig, S.; Keeping, L.M. Why are abusive supervisors abusive a dual-system self-control model. Acad. Manag. J. 2016, 59, 1385–1406. [Google Scholar] [CrossRef]



| Variables | Mean | SD | 1 | 2 | 3 | 4 | 5 | 6 |
|---|---|---|---|---|---|---|---|---|
| Individual level | ||||||||
| 1. SLMX (T1, Sup−reported) | 3.93 | 0.57 | (0.83) | |||||
| 2. Abusive supervision (T2, Sub−reported) | 2.13 | 1.12 | −0.02 | (0.94) | ||||
| 3. LMX (T2, Sub−reported) | 3.74 | 0.73 | 0.32 ** | 0.09 ** | (0.86) | |||
| 4. Workplace self−blame (T3, Sub−reported) | 2.75 | 1.23 | −0.01 | 0.48 ** | 0.10 ** | (0.90) | ||
| 5. Workplace guilt (T4, Sub−reported) | 2.95 | 1.02 | −0.04 | 0.47 ** | 0.09 ** | 0.50 ** | (0.90) | |
| 6. Sup−directed helping (T5, Sup−rated) | 3.91 | 0.74 | 0.24 ** | −0.00 | 0.20 ** | −0.03 | −0.06 * | (0.85) |
| Group level | ||||||||
| SLMX | 3.90 | 0.58 | (0.84) |
| Models | x2 | df | ∆x2 | RMSEA | CFI | TLI | SRMR |
|---|---|---|---|---|---|---|---|
| 6-factor (Baseline) Model | 1321.52 | 335 | 0.054 | 0.94 | 0.93 | 0.046 | |
| 5-factor Model 1 (SLMX + LMX) | 2388.76 | 340 | 1067.24 ** | 0.078 | 0.88 | 0.86 | 0.066 |
| 5-factor Model 2 (Abusive supervision + LMX) | 3831.86 | 340 | 2510.34 ** | 0.101 | 0.79 | 0.77 | 0.121 |
| 5-factor Model 3 (Abusive supervision + Workplace blame) | 2866.10 | 340 | 1544.58 ** | 0.086 | 0.85 | 0.83 | 0.070 |
| 5-factor Model 4 (Workplace blame + Workplace guilt) | 2681.47 | 340 | 1359.95 ** | 0.083 | 0.86 | 0.84 | 0.062 |
| 5-factor Model 5 (SLMX + Sup-directed helping) | 2514.02 | 340 | 1192.5 ** | 0.080 | 0.87 | 0.86 | 0.073 |
| 5-factor Model 6 (Workplace guilt + Sup-directed helping) | 3269.38 | 340 | 1947.86 ** | 0.093 | 0.82 | 0.80 | 0.102 |
| Workplace Self-Blame | Workplace Guilt | Supervisor-Directed Helping | ||||
|---|---|---|---|---|---|---|
| Model 1 | Model 2 | Model 3 | ||||
| b | SE | b | SE | b | SE | |
| Workplace guilt | −0.07 ** | |||||
| Workplace self-blame | 0.29 *** | −0.02 | 0.03 | |||
| Abusive supervision | 0.48 *** | 0.23 *** | 0.03 | −0.004 | 0.02 | |
| LMX | 0.10 | 0.03 | 0.06 | 0.03 | 0.22 *** | 0.03 |
| Abusive supervision LMX | 0.12 * | 0.06 | 0.14 ** | 0.04 | 0.09 * | 0.04 |
| R2 | 0.24 | 0.05 | 0.33 | 0.04 | 0.05 | 0.04 |
| Dependent Variable | Mediator | Moderator | Effect | SE | |
|---|---|---|---|---|---|
| Moderating effect | p | ||||
| DV = workplace self-blame | High-quality LMX | b = 0.57 | 0.04 | 0.000 | |
| Low-quality LMX | b = 0.39 | 0.06 | 0.000 | ||
| Difference | Δb = 0.18 | 0.07 | 0.018 | ||
| Moderated indirect effect (with single mediator) | 95% bias−corrected CI | ||||
| DV = workplace guilt | workplace self-blame | High-quality LMX | ρ = 0.17 | 0.02 | 0.13 TO 0.20 |
| Low-quality LMX | ρ = 0.11 | 0.02 | 0.08 TO 0.16 | ||
| Difference | Δρ = 0.05 | 0.02 | 0.01 TO 0.10 | ||
| Moderated indirect effect (with chain mediators) | 95% bias−corrected CI | ||||
| DV = supervisor-directed helping | workplace self-blame and workplace guilt in sequence | High-quality LMX | ρ = −0.011 | 0.005 | −0.021 TO −0.003 |
| Low-quality LMX | ρ = −0.008 | 0.003 | −0.016 TO −0.002 | ||
| Difference | Δρ = −0.003 | 0.002 | −0.008 TO −0.001 (90%CI) |
| Workplace Self-Blame | Workplace Guilt | Supervisor-Directed Helping | ||||
|---|---|---|---|---|---|---|
| Model 1 | Model 2 | Model 3 | ||||
| γ | SE | γ | SE | γ | SE | |
| Level 2 Independent Variables Workplace guilt SLMX Workplace guilt SLMX | −0.04 −0.06 0.12 * | 0.03 0.17 0.05 | ||||
| Level 1 Independent Variables Abusive supervision LMX Abusive supervision × LMX Workplace self-blame | 0.26 *** 0.14 0.56 *** | 0.06 0.09 0.10 | 0.14 ** 0.41 *** | 0.05 0.04 | 0.03 0.00 | 0.04 0.03 |
| Level-2 residual variance (τ) Level-1 residual variance (σ2) | 10.44 | 0.77 | 0.28 0.38 | |||
| Independent Variable | Mediator | Individual-Level Moderator | Group-Level Moderator | Effect | SE | |
|---|---|---|---|---|---|---|
| Moderating effect | γ | p | ||||
| DV = supervisor-directed helping | High-quality SLMX | 0.03 | 0.04 | 0.464 | ||
| Low-quality SLMX | −0.12 * | 0.05 | 0.019 | |||
| Difference | −0.14 * | 0.06 | 0.017 | |||
| Moderated indirect effect | ρ | 95% Monte Carlo CI | ||||
| DV = supervisor-directed helping | workplace self-blame and workplace guilt in sequence | P1: High-quality LMX | Low-quality SLMX | −0.025 | 0.011 | [−0.031 TO −0.002] |
| P2: Low-quality LMX | Low-quality SLMX | 0.000 | 0.004 | [−0.008 TO 0.009] | ||
| P3: High-quality LMX | High-quality SLMX | 0.006 | 0.009 | [−0.006 TO 0.016] | ||
| P4: Low-quality LMX | High-quality SLMX | 0.000 | 0.001 | [−0.003 TO 0.004] | ||
| Difference of indirect effect | Δρ | SE | p | |||
| P1 − P2 | −0.025 | 0.012 | 0.036 | |||
| P1 − P3 | −0.031 | 0.041 | 0.027 | |||
| P1 − P4 | −0.025 | 0.011 | 0.024 | |||
Disclaimer/Publisher’s Note: The statements, opinions and data contained in all publications are solely those of the individual author(s) and contributor(s) and not of MDPI and/or the editor(s). MDPI and/or the editor(s) disclaim responsibility for any injury to people or property resulting from any ideas, methods, instructions or products referred to in the content. |
© 2023 by the authors. Licensee MDPI, Basel, Switzerland. This article is an open access article distributed under the terms and conditions of the Creative Commons Attribution (CC BY) license (https://creativecommons.org/licenses/by/4.0/).
Share and Cite
Pan, W.; Sun, L.-Y. Do Victims Really Help Their Abusive Supervisors? Reevaluating the Positive Consequences of Abusive Supervision. Behav. Sci. 2023, 13, 815. https://doi.org/10.3390/bs13100815
Pan W, Sun L-Y. Do Victims Really Help Their Abusive Supervisors? Reevaluating the Positive Consequences of Abusive Supervision. Behavioral Sciences. 2023; 13(10):815. https://doi.org/10.3390/bs13100815
Chicago/Turabian StylePan, Wen, and Li-Yun Sun. 2023. "Do Victims Really Help Their Abusive Supervisors? Reevaluating the Positive Consequences of Abusive Supervision" Behavioral Sciences 13, no. 10: 815. https://doi.org/10.3390/bs13100815
APA StylePan, W., & Sun, L.-Y. (2023). Do Victims Really Help Their Abusive Supervisors? Reevaluating the Positive Consequences of Abusive Supervision. Behavioral Sciences, 13(10), 815. https://doi.org/10.3390/bs13100815

