Development and Validation of a Health Behaviour Scale: Exploratory Factor Analysis on Data from a Multicentre Study in Female Primary Care Patients
Abstract
1. Introduction
2. Materials and Methods
2.1. Research Design
2.2. Development of the HBS
- (1)
 - (2)
 - (3)
 
2.3. Statistical Analyses
3. Results
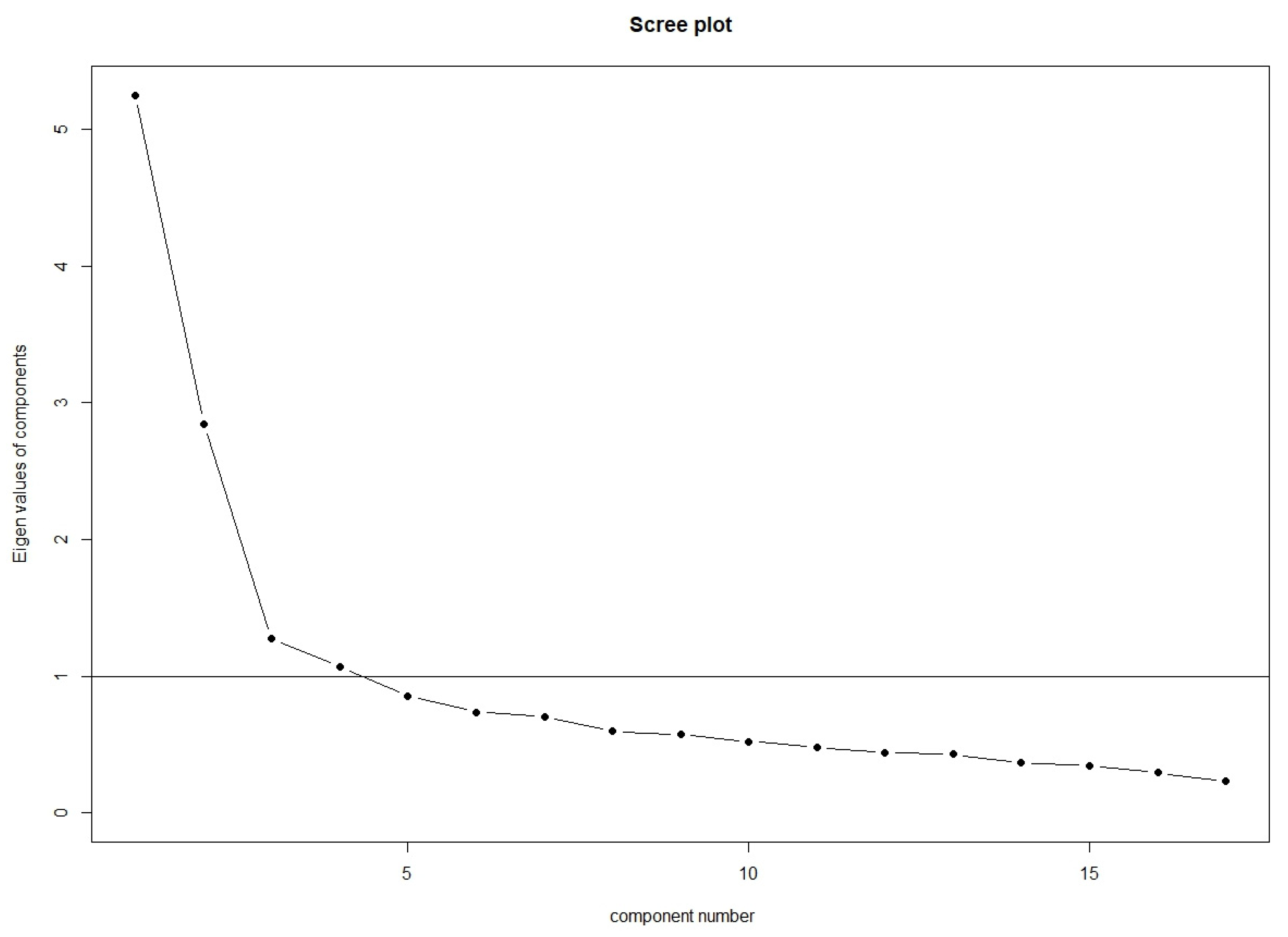
3.1. Exploratory Factor Analysis (EFA)
3.2. Reliability Analysis
3.3. Construct Validity and Descriptive Data
4. Discussion
5. Limitations
6. Conclusions
Author Contributions
Funding
Institutional Review Board Statement
Informed Consent Statement
Data Availability Statement
Acknowledgments
Conflicts of Interest
Abbreviations
Appendix A
| 1 | I Check My Blood Sugar Levels | More Often than Once a Year | Once a Year | Once Every Few Years | Never | 
| 2 | I eat regularly | yes | rather yes | rather not | no | 
| 3 | I lead an active lifestyle | yes | rather yes | rather not | no | 
| 4 | My diet is varied | yes | rather yes | rather not | no | 
| 5 | When buying food products, I check their composition | yes | rather yes | rather not | no | 
| 6 | I look for information on healthy eating | yes | rather yes | rather not | no | 
| 7 | I check my cholesterol levels | more often than once a year | once a year | once every few years | never | 
| 8 | I find the time to rest and relax | yes, always | yes, sometimes | yes, rarely | never | 
| 9 | I limit the consumption of sugar and foods which contain it (e.g., sweets) | yes | rather yes | rather not | no | 
| 10 | I check my body for physical lesions or abnormalities | several times a month | once a month | once or several  times a year  | never | 
| 11 | I eat breakfast | yes | rather yes | rather not | no | 
| 12 | I use daily activities as an opportunity for physical activity (e.g., I climb the stairs instead of using the elevator, park my car at a distance so that I can walk, I move around by bicycle) | yes | rather yes | rather not | no | 
| 13 | I provide my body with enough sleep | yes | rather yes | rather not | no | 
| 14 | I limit the consumption of salt and foods which contain it | yes | rather yes | rather not | no | 
| 15 | I perform a breast self-examination | once a month | once every 6 months | once a year | less often than once a year or never  | 
| 16 | I can effectively manage stress | yes, always | yes, sometimes | yes, rarely | never | 
| SCORING TOTAL SCORE: MIN—0 points., MAX—48 points  | 3 | 2 | 1 | 0 | |
References
- Dahlgren, G.; Whitehead, M. The Dahlgren-Whitehead Model of Health Determinants: 30 Years on and Still Chasing Rainbows. Public Health 2021, 199, 20–24. [Google Scholar] [CrossRef] [PubMed]
 - Dahlgren, G.; Whitehead, M. Policies and Strategies to Promote Social Equity in Health. Background Document to WHO—Strategy Paper for Europe, 1991; Institute for Futures Studies: Stockholm, Sweden, 2007; Volume 14. [Google Scholar]
 - WHOQOL—Measuring Quality of Life| The World Health Organization. Available online: https://www.who.int/tools/whoqol (accessed on 9 September 2022).
 - Fadlon, I.; Nielsen, T.H. Family Health Behaviors. Am. Econ. Rev. 2019, 109, 3162–3191. [Google Scholar] [CrossRef]
 - Short, S.E.; Mollborn, S. Social Determinants and Health Behaviors: Conceptual Frames and Empirical Advances. Curr. Opin. Psychol. 2015, 5, 78–84. [Google Scholar] [CrossRef]
 - Gochman, D.S. (Ed.) Handbook of Health Behavior Research II; Springer US: Boston, MA, USA, 1997; ISBN 978-1-4899-1762-1. [Google Scholar]
 - Spring, B.; Moller, A.C.; Coons, M.J. Multiple Health Behaviours: Overview and Implications. J. Public Health 2012, 34, i3–i10. [Google Scholar] [CrossRef] [PubMed]
 - Pampel, F.C.; Krueger, P.M.; Denney, J.T. Socioeconomic Disparities in Health Behaviors. Annu. Rev. Sociol. 2010, 36, 349. [Google Scholar] [CrossRef] [PubMed]
 - Lantz, P.M.; House, J.S.; Lepkowski, J.M.; Williams, D.R.; Mero, R.P.; Chen, J. Socioeconomic Factors, Health Behaviors, and Mortality: Results from a Nationally Representative Prospective Study of US Adults. JAMA 1998, 279, 1703–1708. [Google Scholar] [CrossRef]
 - Laaksonen, M.; Talala, K.; Martelin, T.; Rahkonen, O.; Roos, E.; Helakorpi, S.; Laatikainen, T.; Prättälä, R. Health Behaviours as Explanations for Educational Level Differences in Cardiovascular and All-Cause Mortality: A Follow-up of 60 000 Men and Women over 23 Years. Eur. J. Public Health 2008, 18, 38–43. [Google Scholar] [CrossRef]
 - Kvaavik, E. Influence of Individual and Combined Health Behaviors on Total and Cause-Specific Mortality in Men and Women. Arch. Intern. Med. 2010, 170, 711–718. [Google Scholar] [CrossRef]
 - McCullough, M.L.; Patel, A.V.; Kushi, L.H.; Patel, R.; Willett, W.C.; Doyle, C.; Thun, M.J.; Gapstur, S.M. Following Cancer Prevention Guidelines Reduces Risk of Cancer, Cardiovascular Disease, and All-Cause Mortality. Cancer Epidemiol. Biomark. Prev. 2011, 20, 1089–1097. [Google Scholar] [CrossRef]
 - Noncommunicable Diseases. Available online: https://www.who.int/news-room/fact-sheets/detail/noncommunicable-diseases (accessed on 12 August 2022).
 - Smoking-Attributable Mortality, Years of Potential Life Lost, and Productivity Losses—United States, 2000–2004. Available online: https://www.cdc.gov/mmwr/preview/mmwrhtml/mm5745a3.htm (accessed on 12 August 2022).
 - Khaw, K.T.; Wareham, N.; Bingham, S.; Welch, A.; Luben, R.; Day, N. Combined Impact of Health Behaviours and Mortality in Men and Women: The EPIC-Norfolk Prospective Population Study. PLoS Med. 2008, 5, e12. [Google Scholar] [CrossRef]
 - Klatsky, A.L. Alcohol and Cardiovascular Diseases: Where Do We Stand Today? J. Intern. Med. 2015, 278, 238–250. [Google Scholar] [CrossRef] [PubMed]
 - Fernald, D.H.; Dickinson, L.M.; Froshaug, D.B.; Balasubramanian, B.A.; Holtrop, J.S.; Krist, A.H.; Glasgow, R.E.; Green, L.A. Improving Multiple Health Risk Behaviors in Primary Care: Lessons from the Prescription for Health COmmon Measures, Better Outcomes (COMBO) Study. J. Am. Board Fam. Med. 2012, 25, 701–711. [Google Scholar] [CrossRef] [PubMed][Green Version]
 - Walker, S.N.; Sechrist, K.R.; Pender, N.J. The Health-Promoting Lifestyle Profile. Nurs. Res. 1987, 36, 76–81. [Google Scholar] [CrossRef] [PubMed]
 - Ping, W.; Cao, W.; Tan, H.; Guo, C.; Dou, Z.; Yang, J. Health Protective Behavior Scale: Development and Psychometric Evaluation. PLoS ONE 2018, 13, e0190390. [Google Scholar] [CrossRef] [PubMed]
 - Gonzalez-Ramirez, L.P.; de La Roca-Chiapas, J.M.; Colunga-Rodriguez, C.; Preciado-Serrano, M.D.L.; Daneri-Navarro, A.; Pedroza-Cabrera, F.J.; Martinez-Arriaga, R.J. Validation of Health Behavior and Stages of Change Questionnaire. Breast Cancer Targets Therapy 2017, 9, 199–205. [Google Scholar] [CrossRef]
 - Hampson, S.E.; Edmonds, G.W.; Goldberg, L.R. The Health Behavior Checklist: Factor Structure in Community Samples and Validity of a Revised Good Health Practices Scale. J. Health Psychol. 2019, 24, 1103–1109. [Google Scholar] [CrossRef]
 - Vliet, V. Development and Psychometric Evaluation of a Positive Health Measurement Scale: A Factor Analysis Study Based on a Dutch Population. BMJ Open 2021, 11, e040816. [Google Scholar] [CrossRef]
 - Juczyński, Z. Narzędzia Pomiaru w Promocji i Psychologii Zdrowia; Pracownia Testów Psychologicznych: Warszawa, Poland, 2009. [Google Scholar]
 - Isozaki, A.; Tadaka, E. Development of a Health Behavior Scale for Older Adults Living Alone Receiving Public Assistance. BMC Public Health 2021, 21, 1428. [Google Scholar] [CrossRef]
 - Chari, R.; Sauter, S.L.; Petrun Sayers, E.L.; Huang, W.; Fisher, G.G.; Chang, C.-C. Development of the National Institute for Occupational Safety and Health Worker Well-Being Questionnaire. J. Occup. Environ. Med. 2022, 64, 707–717. [Google Scholar] [CrossRef]
 - Selvaraj, S.; Naing, N.N.; Wan-Arfah, N.; Prasadh, S. Confirmatory Factor Analysis of Knowledge, Attitude, and Behaviour Questionnaire towards Oral Health among Indian Adults. J. Pers. Med. 2021, 11, 320. [Google Scholar] [CrossRef]
 - Cecon, N.; Lee, S.; Pfaff, H.; Dresen, A.; Groß, S.E. Development of the Health Behaviour Scale for Cancer Patients (HBSCP), Analysis of Its Factorial Structure and Evaluation of Its Psychometric Properties. Eur. J. Cancer Care 2021, 30, e13386. [Google Scholar] [CrossRef] [PubMed]
 - Walton, B.A.; Kim, H.-W. Validating a Behavioral Health Instrument for Adults: Exploratory Factor Analysis. J. Soc. Serv. Res. 2018, 44, 249–265. [Google Scholar] [CrossRef]
 - Havigerová, J.M.; Dosedlová, J.; Burešová, I. One Health Behaviour or Many Health-Related Behaviors? Psychol. Res. Behav. Manag. 2018, 12, 23–30. [Google Scholar] [CrossRef]
 - Pacheco, H.S.A.; Borges, J.W.P.; Furtado, A.M.; Rodrigues, M.T.P.; Mascarenhas, M.D.M.; dos Santos Brito, L.C.; Florêncio, R.S. Validity of Nursing Outcomes Classification Health Promotion Behavior Scale in College Students. Rev. Bras. Enferm. 2020, 73, e20200126. [Google Scholar] [CrossRef] [PubMed]
 - Koohi, F.; Amiri, P.; Mehrabi, Y.; Karimi, M.; Khalili, D. Development and Validation of a Knowledge, Attitude, and Practice Questionnaire Regarding Cardiovascular Diseases in an Iranian General Population. BMC Public Health 2021, 21, 2050. [Google Scholar] [CrossRef]
 - Chawłowska, E.; Staszewski, R.; Zawiejska, A.; Giernaś, B.; Domaradzki, J. Actions Speak Louder Than Words: Health Behaviours and the Literacy of Future Healthcare Professionals. Healthcare 2022, 10, 1723. [Google Scholar] [CrossRef]
 - Wang, W.C.; Worsley, A.; Hunter, W. Similar but Different. Health Behaviour Pathways Differ between Men and Women. Appetite 2012, 58, 760–766. [Google Scholar] [CrossRef][Green Version]
 - Deeks, A.; Lombard, C.; Michelmore, J.; Teede, H. The Effects of Gender and Age on Health Related Behaviors. BMC Public Health 2009, 9, 213. [Google Scholar] [CrossRef]
 - Buttery, A.K.; Mensink, G.B.M.; Busch, M.A. Healthy Behaviours and Mental Health: Findings from the German Health Update (GEDA). Eur. J. Public Health 2015, 25, 219–225. [Google Scholar] [CrossRef][Green Version]
 - Westerman, S.; Wenger, N.K. Women and Heart Disease, the Underrecognized Burden: Sex Differences, Biases, and Unmet Clinical and Research Challenges. Clin. Sci. 2016, 130, 551–563. [Google Scholar] [CrossRef]
 - Tavakol, M.; Wetzel, A. Factor Analysis: A Means for Theory and Instrument Development in Support of Construct Validity. Int. J. Med. Educ. 2020, 11, 245. [Google Scholar] [CrossRef]
 - Watkins, M.W. Exploratory Factor Analysis: A Guide to Best Practice. J. Black Psychol. 2018, 44, 219–246. [Google Scholar] [CrossRef]
 - Hu, L.T.; Bentler, P.M. Cutoff Criteria for Fit Indexes in Covariance Structure Analysis: Conventional Criteria versus New Alternatives. Struct. Equ. Model. Multidiscip. J. 2009, 6, 1–55. [Google Scholar] [CrossRef]
 - Gie Yong, A.; Pearce, S. A Beginner’s Guide to Factor Analysis: Focusing on Exploratory Factor Analysis. Tutor. Quant. Methods Psychol. 2013, 9, 79–94. [Google Scholar] [CrossRef]
 - De Vellis, R.F. Scale Development: Theory and Applications, 4th ed.; SAGE: Chapel Hill, NC, USA, 2017. [Google Scholar]
 - RStudio Team (2020). RStudio: Integrated Development for R. RStudio, PBC, Boston, MA. Available online: https://support.rstudio.com/hc/en-us/articles/206212048-Citing-RStudio (accessed on 12 August 2022).
 - Wetzel, A.P. Factor Analysis Methods and Validity Evidence: A Review of Instrument Development across the Medical Education Continuum. Acad. Med. 2012, 87, 1060–1069. [Google Scholar] [CrossRef]
 - Costello, A.B.; Osborne, J. Best Practices in Exploratory Factor Analysis: Four Recommendations for Getting the Most from Your Analysis. Res. Eval. Pract. Assess. Res. Eval. 2005, 10, 7. [Google Scholar] [CrossRef]
 - Rogers, R.G.; Everett, B.G.; Onge, J.M.S.; Krueger, P.M. Social, Behavioral, and Biological Factors, and Sex Differences in Mortality. Demography 2010, 47, 555–578. [Google Scholar] [CrossRef]
 - Poraj-Weder, M.; Pasternak, A.; Szulawski, M. The Development and Validation of the Health Behavior Motivation Scale. Front. Psychol. 2021, 12, 706495. [Google Scholar] [CrossRef]
 - Bakhshandeh Bavarsad, M.; Foroughan, M.; Zanjari, N.; Ghaedamini Harouni, G.; Jorjoran Shushtari, Z. Development and Validation of the Geriatrics Health Behavior Questionnaire (GHBQ). BMC Public Health 2022, 22, 526. [Google Scholar] [CrossRef]
 - Pilewska-Kozak, A.B.; Pałucka, K.; Łepecka-Klusek, C.; Stadnicka, G.; Jurek, K.; Dobrowolska, B.B. Perception of Health, Health Behaviours and the Use of Prophylactic Examinations in Postmenopausal Women. BMC Womens Health 2020, 20, 71. [Google Scholar] [CrossRef]
 - Szymoniak, K.; Malinowski, W.; Ćwiek, D.; Fryc, D.; Zimny, M. Views and Expectations of Women Regarding Gynaecological Examinations. Pomeranian J. Life Sci. 2016, 62, 47–51. [Google Scholar] [CrossRef] [PubMed][Green Version]
 - Holahan, C.K.; Holahan, C.J.; Chen, Y.T.; Li, X. Leisure-Time Physical Activity and Affective Experience in Middle-Aged and Older Women. J. Women Aging 2020, 32, 672–683. [Google Scholar] [CrossRef] [PubMed]
 - Shaw, B.A.; Liang, J.; Krause, N.; Gallant, M.; McGeever, K. Age Differences and Social Stratification in the Long-Term Trajectories of Leisure-Time Physical Activity. J. Gerontol. B Psychol. Sci. Soc. Sci. 2010, 65, 756–766. [Google Scholar] [CrossRef] [PubMed]
 - Keessen, P.; Latour, C.H.M.; van Duijvenbode, I.C.D.; Visser, B.; Proosdij, A.; Reen, D.; Scholte op Reimer, W.J.M. Factors Related to Fear of Movement after Acute Cardiac Hospitalization. BMC Cardiovasc. Disord. 2020, 20, 495. [Google Scholar] [CrossRef]
 - Pan, L.; Morton, J.; Mbulo, L.; Dean, A.; Ahluwalia, I.B. Electronic Cigarette Use among Adults in 14 Countries: A Cross-Sectional Study. EClinicalMedicine 2022, 47, 101401. [Google Scholar] [CrossRef]
 - Tucker, J.S.; Klein, D.J.; Elliott, M.N. Social Control of Health Behaviors: A Comparison of Young, Middle-Aged, and Older Adults. J. Gerontol. Ser. B 2004, 59, P147–P150. [Google Scholar] [CrossRef] [PubMed]
 - Sach, T.H.; Whynes, D.K. Men and Women: Beliefs about Cancer and about Screening. BMC Public Health 2009, 9, 431. [Google Scholar] [CrossRef]
 - Zatońska, K.; Psikus, P.; Basiak-Rasała, A.; Stępnicka, Z.; Wołyniec, M.; Wojtyła, A.; Szuba, A.; Połtyn-Zaradna, K. Patterns of Alcohol Consumption in the PURE Poland Cohort Study and Their Relationship with Health Problems. Int. J. Environ. Res. Public Health 2021, 18, 4185. [Google Scholar] [CrossRef]
 - Yang, Y.; Tang, L. Understanding Women’s Stories about Drinking: Implications for Health Interventions. Health Educ. Res. 2018, 33, 271–279. [Google Scholar] [CrossRef]
 - Petersson, U.; Östgren, C.J.; Brudin, L.; Ovhed, I.; Nilsson, P.M. Predictors of Successful, Self-Reported Lifestyle Changes in a Defined Middle-Aged Population: The Söderåkra Cardiovascular Risk Factor Study, Sweden. Scand. J. Public Health 2008, 36, 389–396. [Google Scholar] [CrossRef]
 - George, J.; Mackinnon, A.; Kong, D.C.M.; Stewart, K. Development and Validation of the Beliefs and Behaviour Questionnaire (BBQ). Patient Educ. Couns. 2006, 64, 50–60. [Google Scholar] [CrossRef] [PubMed]
 



| Item | F1 | F2 | F3 | F4 | h2 | u2 | com | |
|---|---|---|---|---|---|---|---|---|
| 1 | I check my blood sugar levels | 0.84 | 0.72 | 0.28 | 1.0 | |||
| 3 | I eat regularly | 0.68 | 0.64 | 0.36 | 1.2 | |||
| 8 | I lead an active lifestyle | 0.72 | 0.54 | 0.46 | 1.1 | |||
| 9 | My diet is varied | 0.49 | 0.47 | 0.53 | 1.8 | |||
| 11 | When buying food products, I check their composition | 0.61 | 0.44 | 0.56 | 1.1 | |||
| 13 | I look for information on healthy eating | 0.64 | 0.52 | 0.48 | 1.1 | |||
| 16 | I check my cholesterol levels | 0.67 | 0.55 | 0.45 | 1.1 | |||
| 17 | I find the time to relax and rest | 0.78 | 0.65 | 0.35 | 1.1 | |||
| 18 | I limit the consumption of sugar and foods which contain it (sweets) | 0.51 | 0.36 | 0.64 | 1.3 | |||
| 19 | I check my body for physical lesions or abnormalities | 0.63 | 0.35 | 0.65 | 1.2 | |||
| 20 | I eat breakfast | 0.71 | 0.73 | 0.27 | 1.3 | |||
| 22 | I use daily activities as an opportunity for physical activity (e.g., I climb the stairs instead of using the elevator, park my car at a distance so that I can walk, I move around by bicycle) | 0.72 | 0.54 | 0.46 | 1.0 | |||
| 25 | I provide my body with enough sleep | 0.85 | 0.67 | 0.33 | 1.0 | |||
| 26 | I limit the consumption of salt and foods which contain it | 0.57 | 0.35 | 0.65 | 1.4 | |||
| 28 | I perform a breast self-examination | 0.47 | 0.25 | 0.75 | 1.1 | |||
| 32 | I can effectively manage stress | 0.57 | 0.25 | 0.75 | 1.4 | |||
| Eigenvalues | 5.249 | 2.845 | 1.272 | 1.067 | ||||
| % of variance | 0.22 | 0.10 | 0.08 | 0.07 | ||||
| Cumulative variance | 0.22 | 0.32 | 0.40 | 0.47 | 
| M | SD | Cronbach’s Alpha | McDonald’s Omega | Factor 1 | Factor 2 | Factor 3 | Factor 4 | |
|---|---|---|---|---|---|---|---|---|
| Factor 1 (8 items) | 16.0 | 5.3 | 0.87 | 0.87 | 1.00 | |||
| Factor 2 (4 items) | 6.5 | 3.0 | 0.69 | 0.70 | 0.76 | 1.00 | ||
| Factor 3 (2 items) | 3.8 | 1.6 | 0.77 | 0.77 | −0.56 | −0.06 | 1.00 | |
| Factor 4 (2 items) | 3.6 | 1.7 | 0.68 | 0.69 | −0.19 | −0.44 | 0.01 | 1.00 | 
Publisher’s Note: MDPI stays neutral with regard to jurisdictional claims in published maps and institutional affiliations.  | 
© 2022 by the authors. Licensee MDPI, Basel, Switzerland. This article is an open access article distributed under the terms and conditions of the Creative Commons Attribution (CC BY) license (https://creativecommons.org/licenses/by/4.0/).
Share and Cite
Chawłowska, E.; Staszewski, R.; Jóźwiak, P.; Lipiak, A.; Zawiejska, A. Development and Validation of a Health Behaviour Scale: Exploratory Factor Analysis on Data from a Multicentre Study in Female Primary Care Patients. Behav. Sci. 2022, 12, 378. https://doi.org/10.3390/bs12100378
Chawłowska E, Staszewski R, Jóźwiak P, Lipiak A, Zawiejska A. Development and Validation of a Health Behaviour Scale: Exploratory Factor Analysis on Data from a Multicentre Study in Female Primary Care Patients. Behavioral Sciences. 2022; 12(10):378. https://doi.org/10.3390/bs12100378
Chicago/Turabian StyleChawłowska, Ewelina, Rafał Staszewski, Paulina Jóźwiak, Agnieszka Lipiak, and Agnieszka Zawiejska. 2022. "Development and Validation of a Health Behaviour Scale: Exploratory Factor Analysis on Data from a Multicentre Study in Female Primary Care Patients" Behavioral Sciences 12, no. 10: 378. https://doi.org/10.3390/bs12100378
APA StyleChawłowska, E., Staszewski, R., Jóźwiak, P., Lipiak, A., & Zawiejska, A. (2022). Development and Validation of a Health Behaviour Scale: Exploratory Factor Analysis on Data from a Multicentre Study in Female Primary Care Patients. Behavioral Sciences, 12(10), 378. https://doi.org/10.3390/bs12100378
        
