Studying Behaviour Change Mechanisms under Complexity
Abstract
1. Introduction
1.1. What Are Complex Systems?
1.2. The Relevance of Complexity for Behaviour Change
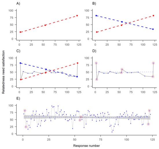
- A complex interconnected system: A multitude of variables and timescales which are interwoven, interdependent, and interacting.
- Contextualised processes, specific to each individual: Individuals follow meaningfully different change trajectories that develop and change with time.
- Not restricted to linear dynamics: Inputs are not necessarily proportional to outputs, and long periods of apparent stability can precede short periods of rapid change.
2. Behaviour Change Mechanisms under Complexity: Three Key Features
2.1. Interconnectedness
2.2. Non-Ergodicity
2.3. Non-Linear Dynamics
3. Empirical Solutions
Modelling Complex Time Series Data with Recurrence-Based Analyses
4. Discussion
5. Limitations
6. Conclusions
Author Contributions
Funding
Institutional Review Board Statement
Informed Consent Statement
Data Availability Statement
Acknowledgments
Conflicts of Interest
Reporting
Other Materials and Online Resources
References
- Kwasnicka, D.; Dombrowski, S.U.; White, M.; Sniehotta, F. Theoretical Explanations for Maintenance of Behaviour Change: A Systematic Review of Behaviour Theories. Health Psychol. Rev. 2016, 10, 277–296. [Google Scholar] [CrossRef] [PubMed]
- Carey, R.N.; Connell, L.E.; Johnston, M.; Rothman, A.J.; de Bruin, M.; Kelly, M.P.; Michie, S. Behavior Change Techniques and Their Mechanisms of Action: A Synthesis of Links Described in Published Intervention Literature. Ann. Behav. Med. 2019, 53, 693–707. [Google Scholar] [CrossRef] [PubMed]
- Michie, S.; West, R.; Campbell, R.; Brown, J.; Gainforth, H. ABC of Behaviour Change Theories; Silverback: Sutton, UK, 2014. [Google Scholar]
- Matthews, L.; Simpson, S.A. Evaluation of Behavior Change Interventions. In The Handbook of Behavior Change; Hamilton, K., Cameron, L.D., Hagger, M.S., Hankonen, N., Lintunen, T., Eds.; Cambridge Handbooks in Psychology; Cambridge University Press: Cambridge, UK, 2020; pp. 318–332. ISBN 978-1-108-49639-1. [Google Scholar]
- Hagger, M.S.; Moyers, S.; McAnally, K.; McKinley, L.E. Known Knowns and Known Unknowns on Behavior Change Interventions and Mechanisms of Action. Health Psychol. Rev. 2020, 14, 199–212. [Google Scholar] [CrossRef] [PubMed]
- Hankonen, N.; Heino, M.T.J.; Kujala, E.; Hynynen, S.-T.; Absetz, P.; Ara’ujo-Soares, V.; Borodulin, K.; Haukkala, A. What Explains the Socioeconomic Status Gap in Activity? Educational Differences in Determinants of Physical Activity and Screentime. BMC Public Health 2017, 17, 144. [Google Scholar] [CrossRef]
- Bullock, J.G.; Green, D.P.; Ha, S.E. Yes, but What’s the Mechanism? (Don’t Expect an Easy Answer). J. Personal. Soc. Psychol. 2010, 98, 550–558. [Google Scholar] [CrossRef]
- Fiedler, K.; Schott, M.; Meiser, T. What Mediation Analysis Can (Not) Do. J. Exp. Soc. Psychol. 2011, 47, 1231–1236. [Google Scholar] [CrossRef]
- Green, D.P.; Ha, S.E.; Bullock, J.G. Enough Already About “Black Box” Experiments: Studying Mediation Is More Difficult Than Most Scholars Suppose. Ann. Am. Acad. Political Soc. Sci. 2010, 628, 200–208. [Google Scholar] [CrossRef]
- Kline, R.B. The Mediation Myth. Basic Appl. Soc. Psychol. 2015, 37, 202–213. [Google Scholar] [CrossRef]
- Roe, R. What Is Wrong with Mediators and Moderators? Eur. Health Psychol. 2012, 14, 4–10. [Google Scholar]
- Keele, L. Causal Mediation Analysis: Warning! Assumptions Ahead. Am. J. Eval. 2015, 36, 500–513. [Google Scholar] [CrossRef]
- Hofmann, S.G.; Curtiss, J.E.; Hayes, S.C. Beyond Linear Mediation: Toward a Dynamic Network Approach to Study Treatment Processes. Clin. Psychol. Rev. 2020, 76, 101824. [Google Scholar] [CrossRef]
- Rohrer, J.M. Thinking Clearly About Correlations and Causation: Graphical Causal Models for Observational Data. Adv. Methods Pract. Psychol. Sci. 2018, 1, 27–42. [Google Scholar] [CrossRef]
- Rohrer, J.M.; Hünermund, P.; Arslan, R.C.; Elson, M. That’s a lot to PROCESS! Pitfalls of Popular Path Models. PsyArxiv 2021. [Google Scholar] [CrossRef]
- Loeys, T.; Moerkerke, B.; Vansteelandt, S. A Cautionary Note on the Power of the Test for the Indirect Effect in Mediation Analysis. Front. Psychol. 2015, 5, 1549. [Google Scholar] [CrossRef]
- Knafl, G.J.; Knafl, K.A.; Grey, M.; Dixon, J.; Deatrick, J.A.; Gallo, A.M. Incorporating Nonlinearity into Mediation Analyses. BMC Med. Res. Methodol. 2017, 17, 45. [Google Scholar] [CrossRef]
- Hamaker, E.L.; Kuiper, R.M.; Grasman, R.P.P.P. A Critique of the Cross-Lagged Panel Model. Psychol. Methods 2015, 20, 102–116. [Google Scholar] [CrossRef]
- Dawid, A.P. Beware of the DAG; Guyon, I., Janzing, D., Schölkopf, B., Eds.; PMLR: Whistler, BC, Canada, 2010; Volume 6, pp. 59–86. [Google Scholar]
- Bechtel, W.; Abrahamsen, A.A. Thinking Dynamically About Biological Mechanisms: Networks of Coupled Oscillators. Found. Sci. 2013, 18, 707–723. [Google Scholar] [CrossRef]
- Golonka, S.; Wilson, A.D. Ecological Mechanisms in Cognitive Science. Theory Psychol. 2019, 29, 676–696. [Google Scholar] [CrossRef]
- Bolger, N.; Laurenceau, J.-P. Intensive Longitudinal Methods: An Introduction to Diary and Experience Sampling Research; Guilford Press: New York, NY, USA, 2013; ISBN 978-1-4625-0692-7. [Google Scholar]
- Reichert, M.; Giurgiu, M.; Koch, E.D.; Wieland, L.M.; Lautenbach, S.; Neubauer, A.B.; von Haaren-Mack, B.; Schilling, R.; Timm, I.; Notthoff, N.; et al. Ambulatory Assessment for Physical Activity Research: State of the Science, Best Practices and Future Directions. Psychol. Sport Exerc. 2020, 50, 101742. [Google Scholar] [CrossRef]
- Siegenfeld, A.F.; Bar-Yam, Y. An Introduction to Complex Systems Science and Its Applications. arXiv 2019, arXiv:1912.05088. [Google Scholar]
- Newman, M.E.J. Complex Systems: A Survey. Am. J. Phys. 2011, 79, 800–810. [Google Scholar] [CrossRef]
- Bar-Yam, Y. Concepts Map: System; New England Complex Systems Institute: 2018. Available online: https://web.archive.org/web/20181009095010/http://necsi.edu/guide/concepts/system.html (accessed on 1 May 2021).
- Wright, D.; Meadows, D.H. Thinking in Systems: A Primer, 1st ed.; Earthscan: London, UK, 2009; ISBN 978-1-84407-726-7. [Google Scholar]
- Mitchell, M. Complexity: A Guided Tour; Oxford University Press: Oxford, UK; New York, NY, USA, 2009; ISBN 978-0-19-512441-5. [Google Scholar]
- Brand, S.L.; Fleming, L.E.; Wyatt, K.M. Tailoring Healthy Workplace Interventions to Local Healthcare Settings: A Complexity Theory-Informed Workplace of Well-Being Framework. Sci. World J. 2015, 2015, 340820. [Google Scholar] [CrossRef] [PubMed]
- Rickles, D.; Hawe, P.; Shiell, A. A Simple Guide to Chaos and Complexity. J. Epidemiol. Commun. Health 2007, 61, 933–937. [Google Scholar] [CrossRef] [PubMed]
- Resnicow, K.; Vaughan, R. A Chaotic View of Behavior Change: A Quantum Leap for Health Promotion. Int. J. Behav. Nutr. Phys. Act. 2006, 3, 25. [Google Scholar] [CrossRef] [PubMed][Green Version]
- Gomersall, T. Complex Adaptive Systems: A New Approach for Understanding Health Practices. Health Psychol. Rev. 2018, 12, 405–418. [Google Scholar] [CrossRef] [PubMed]
- Dishman, R.K.; Sallis, J.F.; Orenstein, D.R. The Determinants of Physical Activity and Exercise. Public Health Rep. 1985, 100, 158–171. [Google Scholar]
- Kok, G.; Peters, G.-J.Y.; Kessels, L.T.; Ten Hoor, G.A.; Ruiter, R.A. Ignoring Theory and Misinterpreting Evidence: The False Belief in Fear Appeals. Health Psychol. Rev. 2018, 12, 111–125. [Google Scholar] [CrossRef]
- Peters, G.-J.Y.; Ruiter, R.A.; Ten Hoor, G.A.; Kessels, L.T.; Kok, G. Towards Consensus on Fear Appeals: A Rejoinder to the Commentaries on Kok, Peters, Kessels, Ten Hoor, and Ruiter. Health Psychol. Rev. 2018, 12, 151–156. [Google Scholar] [CrossRef]
- Scholz, U. It’s Time to Think About Time in Health Psychology. Appl. Psychol. Health Well-Being 2019, 11, 173–186. [Google Scholar]
- Bolger, N.; Zee, K.S. Heterogeneity in Temporal Processes: Implications for Theories in Health Psychology. Appl. Psychol. Health Well-Being 2019, 11, 198–201. [Google Scholar]
- Matthews, C.E.; Ainsworth, B.E.; Thompson, R.W.; Bassett, D.R. Sources of Variance in Daily Physical Activity Levels as Measured by an Accelerometer. Med. Sci. Sports Exerc. 2002, 34, 1376–1381. [Google Scholar] [CrossRef]
- Cepeda, M.; Koolhaas, C.M.; van Rooij, F.J.A.; Tiemeier, H.; Guxens, M.; Franco, O.H.; Schoufour, J.D. Seasonality of Physical Activity, Sedentary Behavior, and Sleep in a Middle-Aged and Elderly Population: The Rotterdam Study. Maturitas 2018, 110, 41–50. [Google Scholar] [CrossRef]
- Dumith, S.C.; Gigante, D.P.; Domingues, M.R.; Kohl, H.W. Physical Activity Change During Adolescence: A Systematic Review and a Pooled Analysis. Int. J. Epidemiol. 2011, 40, 685–698. [Google Scholar] [CrossRef]
- Richardson, M.J.; Kallen, R.W.; Eiler, B.A. Interaction-Dominant Dynamics, Timescale Enslavement, and the Emergence of Social Behavior. In Computational Social Psychology; Routledge: New York, NY, USA, 2017; pp. 121–142. [Google Scholar]
- Rickles, D. Causality in Complex Interventions. Med. Health Care Philos. 2009, 12, 77–90. [Google Scholar] [CrossRef]
- Meehl, P.E. Why Summaries of Research on Psychological Theories Are Often Uninterpretable. Psychol. Rep. 1990, 66, 195–244. [Google Scholar] [CrossRef]
- Cohen, J. The Earth Is Round (P0.6em.05). Am. Psychol. 1994, 49, 997–1003. [Google Scholar] [CrossRef]
- Fink, D.S.; Keyes, K.M.; Cerd’a, M. Social Determinants of Population Health: A Systems Sciences Approach. Curr. Epidemiol. Rep. 2016, 3, 98–105. [Google Scholar] [CrossRef]
- Wallot, S.; Kelty-Stephen, D.G. Interaction-Dominant Causation in Mind and Brain, and Its Implication for Questions of Generalization and Replication. Minds Mach. 2017, 28, 353–374. [Google Scholar] [CrossRef]
- Makridakis, S.; Taleb, N. Decision Making and Planning Under Low Levels of Predictability. Int. J. Forecast. 2009, 25, 716–733. [Google Scholar] [CrossRef]
- Makridakis, S.; Hyndman, R.J.; Petropoulos, F. Forecasting in Social Settings: The State of the Art. Int. J. Forecast. 2019. [Google Scholar] [CrossRef]
- Taleb, N.N. Statistical Consequences of Fat Tails: Real World Preasymptotics, Epistemology, and Applications; Illustrated Edition; STEM Academic Press: New York, NY, US, 2020; ISBN 978-1-5445-0805-4. [Google Scholar]
- Heino, M.T.J.; Fried, E.I.; LeBel, E.P. Commentary: Reproducibility in Psychological Science: When Do Psychological Phenomena Exist? Front. Psychol. 2017, 8, 1004. [Google Scholar] [CrossRef]
- Peters, G.-J.Y.; Crutzen, R. Pragmatic Nihilism: How a Theory of Nothing Can Help Health Psychology Progress. Health Psychol. Rev. 2017, 11, 103–121. [Google Scholar] [CrossRef]
- Hekler, E.B.; Klasnja, P.; Chevance, G.; Golaszewski, N.M.; Lewis, D.; Sim, I. Why We Need a Small Data Paradigm. BMC Med. 2019, 17, 133. [Google Scholar] [CrossRef]
- Schiepek, G.; Aichhorn, W.; Gruber, M.; Strunk, G.; Bachler, E.; Aas, B. Real-Time Monitoring of Psychotherapeutic Processes: Concept and Compliance. Front. Psychol. 2016, 7, 604. [Google Scholar] [CrossRef]
- Kwasnicka, D.; Inauen, J.; Nieuwenboom, W.; Nurmi, J.; Schneider, A.; Short, C.E.; Dekkers, T.; Williams, A.J.; Bierbauer, W.; Haukkala, A.; et al. Challenges and Solutions for N-of-1 Design Studies in Health Psychology. Health Psychol. Rev. 2019, 13, 163–178. [Google Scholar] [CrossRef]
- Hekler, E.B.; Rivera, D.E.; Martin, C.A.; Phatak, S.S.; Freigoun, M.T.; Korinek, E.; Klasnja, P.; Adams, M.A.; Buman, M.P. Tutorial for Using Control Systems Engineering to Optimize Adaptive Mobile Health Interventions. J. Med. Internet Res. 2018, 20, e214. [Google Scholar] [CrossRef] [PubMed]
- Hardeman, W.; Houghton, J.; Lane, K.; Jones, A.; Naughton, F. A Systematic Review of Just-in-Time Adaptive Interventions (JITAIs) to Promote Physical Activity. Int. J. Behav. Nutr. Phys. Act. 2019, 16, 31. [Google Scholar] [CrossRef] [PubMed]
- Hawe, P.; Shiell, A.; Riley, T. Theorising Interventions as Events in Systems. Am. J. Community Psychol. 2009, 43, 267–276. [Google Scholar] [CrossRef] [PubMed]
- Olthof, M.; Hasselman, F.; Strunk, G.; Aas, B.; Schiepek, G.; Lichtwarck-Aschoff, A. Destabilization in Self-Ratings of the Psychotherapeutic Process Is Associated with Better Treatment Outcome in Patients with Mood Disorders. Psychother. Res. 2019, 30, 520–531. [Google Scholar] [CrossRef]
- Scheffer, M.; Bolhuis, J.E.; Borsboom, D.; Buchman, T.G.; Gijzel, S.M.W.; Goulson, D.; Kammenga, J.E.; Kemp, B.; van de Leemput, I.A.; Levin, S.; et al. Quantifying Resilience of Humans and Other Animals. Proc. Natl. Acad. Sci. USA 2018, 201810630. [Google Scholar] [CrossRef]
- Ashwin, P.; Wieczorek, S.; Vitolo, R.; Cox, P. Tipping Points in Open Systems: Bifurcation, Noise-Induced and Rate-Dependent Examples in the Climate System. Philos. Trans. R. Soc. A Math. Phys. Eng. Sci. 2012, 370, 1166–1184. [Google Scholar] [CrossRef]
- Bar-Yam, Y. Making Things Work: Solving Complex Problems in a Complex World; NECSI/Knowledge Press: Cambridge, MA, USA, 2004. [Google Scholar]
- Navarro, J.; Rueff-Lopes, R. Healthy Variability in Organizational Behavior: Empirical Evidence and New Steps for Future Research. Nonlinear Dyn. Psychol. Life Sci. 2015, 19, 529–552. [Google Scholar]
- Taleb, N.N.; Blyth, M. The Black Swan of Cairo. Foreign Aff. 2011, 90, 33–39. [Google Scholar]
- Skivington, K.; Matthews, L.; Craig, P.; Simpson, S.; Moore, L. Developing and Evaluating Complex Interventions: Updating Medical Research Council Guidance to Take Account of New Methodological and Theoretical Approaches. Lancet 2018, 392, S2. [Google Scholar] [CrossRef]
- Wright, A.G.C.; Woods, W.C. Personalized Models of Psychopathology. Annu. Rev. Clin. Psychol. 2020, 16. [Google Scholar] [CrossRef]
- van Rooij, M.M.J.W.; Nash, B.A.; Rajaraman, S.; Holden, J.G. A Fractal Approach to Dynamic Inference and Distribution Analysis. Front. Physiol. 2013, 4. [Google Scholar] [CrossRef]
- Fisher, A.J.; Medaglia, J.D.; Jeronimus, B.F. Lack of Group-to-Individual Generalizability Is a Threat to Human Subjects Research. Proc. Natl. Acad. Sci. USA 2018, 201711978. [Google Scholar] [CrossRef]
- Molenaar, P.C.M. On the Implications of the Classical Ergodic Theorems: Analysis of Developmental Processes Has to Focus on Intra-Individual Variation. Dev. Psychobiol. 2008, 50, 60–69. [Google Scholar] [CrossRef]
- Time to Move Beyond Average Thinking. Nat. Phys. 2019, 15, 1207. [CrossRef]
- Helmich, M.A.; Wichers, M.; Olthof, M.; Strunk, G.; Aas, B.; Aichhorn, W.; Schiepek, G.; Snippe, E. Sudden Gains in Day-to-Day Change: Revealing Nonlinear Patterns of Individual Improvement in Depression. J. Consult. Clin. Psychol. 2020, 88, 119–127. [Google Scholar] [CrossRef]
- Kelty-Stephen, D.G.; Wallot, S. Multifractality Versus (Mono-) Fractality as Evidence of Nonlinear Interactions Across Timescales: Disentangling the Belief in Nonlinearity from the Diagnosis of Nonlinearity in Empirical Data. Ecol. Psychol. 2017, 29, 259–299. [Google Scholar] [CrossRef]
- Olthof, M.; Hasselman, F.; Lichtwarck-Aschoff, A. Complexity in Psychological Self-Ratings: Implications for Research and Practice. BMC Med. 2020, 18, 317. [Google Scholar] [CrossRef]
- Bak, P.; Tang, C.; Wiesenfeld, K. Self-Organized Criticality: An Explanation of the 1/F Noise. Phys. Rev. Lett. 1987, 59, 381–384. [Google Scholar] [CrossRef]
- Bandura, A. Social Foundations of Thought and Action: A Social Cognitive Theory; Prentice-Hall, Inc.: Englewood Cliffs, NJ, USA, 1986; ISBN 978-0-13-815614-5. [Google Scholar]
- Craig, P.; Di Ruggiero, E.; Frolich, K.L.; Mykhalovskiy, E.; White, M.; Campbell, R.; Cummins, S.; Edwards, N.; Hunt, K.; Kee, F. Taking Account of Context in Population Health Intervention Research: Guidance for Producers, Users and Funders of Research; NIHR Evaluation; Trials and Studies Coordinating Centre: Southampton, UK, 2018. [Google Scholar]
- West, B.J. Homeostasis and Gauss Statistics: Barriers to Understanding Natural Variability: Homeostasis and Gauss Statistics. J. Eval. Clin. Pract. 2010, 16, 403–408. [Google Scholar] [CrossRef]
- Trafimow, D.; Wang, T.; Wang, C. Means and Standard Deviations, or Locations and Scales? That Is the Question! New Ideas Psychol. 2018, 50, 34–37. [Google Scholar] [CrossRef]
- Cain, M.K.; Zhang, Z.; Yuan, K.-H. Univariate and Multivariate Skewness and Kurtosis for Measuring Nonnormality: Prevalence, Influence and Estimation. Behav. Res. Methods 2017, 49, 1716–1735. [Google Scholar] [CrossRef]
- Bono, R.; Blanca, M.J.; Arnau, J.; G’omez-Benito, J. Non-Normal Distributions Commonly Used in Health, Education, and Social Sciences: A Systematic Review. Front. Psychol. 2017, 8, 1602. [Google Scholar] [CrossRef]
- Van Orden, G.C.; Holden, J.G.; Turvey, M.T. Human Cognition and 1/F Scaling. J. Exp. Psychol. Gen. 2005, 134, 117–123. [Google Scholar] [CrossRef]
- Wijnants, M.L. A Review of Theoretical Perspectives in Cognitive Science on the Presence of 1/F Scaling in Coordinated Physiological and Cognitive Processes. J. Nonlinear Dyn. 2014, 2014, 1–17. [Google Scholar] [CrossRef]
- Barab’asi, A.-L. Network Science; Cambridge University Press: Cambridge, UK, 2016; ISBN 978-1-107-07626-6. [Google Scholar]
- Centola, D. The Truth about Behavioral Change. MIT Sloan Management Review, 3 October 2018. [Google Scholar]
- Zhang, J.; Centola, D. Social Networks and Health: New Developments in Diffusion, Online and Offline. Annu. Rev. Sociol. 2019, 45, 91–109. [Google Scholar] [CrossRef]
- Borsboom, D. A Network Theory of Mental Disorders. World Psychiatry 2017, 16, 5–13. [Google Scholar] [CrossRef]
- Cramer, A.O.J.; van Borkulo, C.D.; Giltay, E.J.; van der Maas, H.L.J.; Kendler, K.S.; Scheffer, M.; Borsboom, D. Major Depression as a Complex Dynamic System. PLoS ONE 2016, 11. [Google Scholar] [CrossRef]
- Heino, M.T.J.; Knittle, K.; Fried, E.; Sund, R.; Haukkala, A.; Borodulin, K.; Uutela, A.; Araujo-Soares, V.; Vasankari, T.; Hankonen, N. Visualisation and Network Analysis of Physical Activity and Its Determinants: Demonstrating Opportunities in Analysing Baseline Associations in the Let’s Move It Trial. Health Psychol. Behav. Med. 2019, 7, 269–289. [Google Scholar] [CrossRef]
- Mkhitaryan, S.; Crutzen, R.; Steenaart, E.; de Vries, N.K. Network Approach in Health Behavior Research: How Can We Explore New Questions? Health Psychol. Behav. Med. 2019, 7, 362–384. [Google Scholar] [CrossRef]
- Epskamp, S.; Waldorp, L.J.; Mõttus, R.; Borsboom, D. The Gaussian Graphical Model in Cross-Sectional and Time-Series Data. Multivar. Behav. Res. 2018, 53, 453–480. [Google Scholar] [CrossRef]
- Haslbeck, J.M.B.; Ryan, O.; Robinaugh, D.J.; Waldorp, L.J.; Borsboom, D. Modeling Psychopathology: From Data Models to Formal Theories. 2019. Available online: https://psyarxiv.com/jgm7f/ (accessed on 1 May 2021).
- Bringmann, L.F.; Eronen, M.I. Don’t Blame the Model: Reconsidering the Network Approach to Psychopathology. Psychol. Rev. 2018, 125, 606–615. [Google Scholar] [CrossRef] [PubMed]
- Hasselman, F.; Bosman, A.M.T. Studying Complex Adaptive Systems with Internal States: A Recurrence Network Approach to the Analysis of Multivariate Time Series Data Representing Self-Reports of Human Experience. Front. Appl. Math. Stat. 2020, 6. [Google Scholar] [CrossRef]
- Johnston, D.W.; Johnston, M. Useful Theories Should Apply to Individuals. Br. J. Health Psychol. 2013, 18, 469–473. [Google Scholar] [CrossRef] [PubMed]
- Molenaar, P.C.M. Consequences of the Ergodic Theorems for Classical Test Theory, factor Analysis, and the Analysis of Developmental Processes. In Handbook of Cognitive Aging: Interdisciplinary Perspectives; SAGE Publications, Inc.: Thousand Oaks, CA, USA, 2008; pp. 90–104. ISBN 978-1-4129-4105-1. [Google Scholar]
- Molenaar, P.C.M. A Manifesto on Psychology as Idiographic Science: Bringing the Person Back into Scientific Psychology, This Time Forever. Measurement 2004, 2, 201–218. [Google Scholar] [CrossRef]
- Hall, P.A.; Fong, G.T. Temporal Self-Regulation Theory: A Neurobiologically Informed Model for Physical Activity Behavior. Front. Hum. Neurosci. 2015, 9, 117. [Google Scholar] [CrossRef]
- Molenaar, P.C.; Campbell, C.G. The New Person-Specific Paradigm in Psychology. Curr. Dir. Psychol. Sci. 2009, 18, 112–117. [Google Scholar] [CrossRef]
- Cole, D.A.; Maxwell, S.E. Testing Mediational Models with Longitudinal Data: Questions and Tips in the Use of Structural Equation Modeling. J. Abnorm. Psychol. 2003, 112, 558–577. [Google Scholar] [CrossRef]
- Gayles, J.G.; Molenaar, P.C.M. The Utility of Person-Specific Analyses for Investigating Developmental Processes: An Analytic Primer on Studying the Individual. Int. J. Behav. Dev. 2013, 37, 549–562. [Google Scholar] [CrossRef]
- Piccirillo, M.L.; Rodebaugh, T.L. Foundations of Idiographic Methods in Psychology and Applications for Psychotherapy. Clin. Psychol. Rev. 2019, 71, 90–100. [Google Scholar] [CrossRef]
- Hamaker, E.L.; Grasman, R.P.P.P.; Kamphuis, J.H. Modeling BAS Dysregulation in Bipolar Disorder: Illustrating the Potential of Time Series Analysis. Assessment 2016, 23, 436–446. [Google Scholar] [CrossRef]
- Burke, L.E.; Shiffman, S.; Music, E.; Styn, M.A.; Kriska, A.; Smailagic, A.; Siewiorek, D.; Ewing, L.J.; Chasens, E.; French, B.; et al. Ecological Momentary Assessment in Behavioral Research: Addressing Technological and Human Participant Challenges. J. Med. Internet Res. 2017, 19. [Google Scholar] [CrossRef]
- Fisher, A.J.; Soyster, P.D. Generating Accurate Personalized Predictions of Future Behavior: A Smoking Exemplar. 2019. Available online: https://psyarxiv.com/e24v6 (accessed on 1 May 2021).
- Soyster, P.D.; Fisher, A.J. Involving Stakeholders in the Design of Ecological Momentary Assessment Research: An Example from Smoking Cessation. PLoS ONE 2019, 14, e0217150. [Google Scholar] [CrossRef]
- Carello, C.; Moreno, M. Why nonlinear methods. In Tutorials in Contemporary Nonlinear Methods for the Behavioral Sciences; US National Science Foundation: Alexandria, VA, USA, 2015; pp. 1–25. [Google Scholar]
- Gonz’alez, M.; Coenders, G.; Saez, M.; Casas, F. Non-Linearity, Complexity and Limited Measurement in the Relationship Between Satisfaction with Specific Life Domains and Satisfaction with Life as a Whole. J. Happiness Stud. 2010, 11, 335–352. [Google Scholar] [CrossRef]
- Verboon, P.; Peters, G.-J.Y. Applying the Generalized Logistic Model in Single Case Designs: Modeling Treatment-Induced Shifts. Behav. Modif. 2020, 44, 27–48. [Google Scholar] [CrossRef]
- Kelso, J.A.S. Haken-Kelso-Bunz Model. Scholarpedia 2008, 3, 1612. [Google Scholar] [CrossRef]
- van Rooij, M.M.J.W.; Favela, L.H.; Malone, M.; Richardson, M.J. Modeling the Dynamics of Risky Choice. Ecol. Psychol. 2013, 25, 293–303. [Google Scholar] [CrossRef]
- Strogatz, S.H. Nonlinear Dynamics and Chaos: With Applications to Physics, Biology, Chemistry, and Engineering; CRC Press: Boca Raton, FL, USA, 2018; ISBN-13 978-0813349107. [Google Scholar]
- May, R.M. Simple Mathematical Models with Very Complicated Dynamics. Nature 1976, 261, 459–467. [Google Scholar] [CrossRef]
- Taleb, N.N. Antifragile: Things That Gain from Disorder, 1st ed.; Random House: New York, NY, USA, 2012; ISBN 978-1-4000-6782-4. [Google Scholar]
- Taleb, N.N. ’Antifragility’ as a Mathematical Idea. Nature 2013, 494, 430. [Google Scholar] [CrossRef]
- Almurad, Z.M.H.; Roume, C.; Blain, H.; Deligni‘eres, D. Complexity Matching: Restoring the Complexity of Locomotion in Older People Through Arm-in-Arm Walking. Front. Physiol. 2018, 9, 1766. [Google Scholar] [CrossRef]
- Delignieres, D.; Fortes, M.; Ninot, G. The Fractal Dynamics of Self-Esteem and Physical Self. Nonlinear Dyn. Psychol. Life Sci. 2004, 8, 479–510. [Google Scholar]
- Van Orden, G.C.; Kloos, H.; Wallot, S. Living in the Pink: Intentionality, Wellbeing, and Complexity. In Philosophy of Complex Systems; Hooker, C., Ed.; Handbook of the Philosophy of Science; North-Holland: Amsterdam, The Netherlands, 2011; Volume 10, pp. 629–672. [Google Scholar]
- Tobias, R. Changing behavior by memory aids: A social psychological model of prospective memory and habit development tested with dynamic field data. Psychol. Rev. 2009, 116, 408–438. [Google Scholar] [CrossRef]
- Chatzisarantis, N.L.D.; Yli-Piipari, S.; Schriefer, L.S.; Wang, D.; Barkoukis, V.; Hagger, M.S. Is the Relationship Between Physical Activity Intentions and Behaviour Convex? A Test across 13 Studies. Psychol. Sport Exerc. 2019, 43, 114–122. [Google Scholar] [CrossRef]
- Hofmans, J.; Vantilborgh, T.; Solinger, O.N. K-Centres Functional Clustering: A Person-Centered Approach to Modeling Complex Nonlinear Growth Trajectories. Organ. Res. Methods 2017, 1094428117725793. [Google Scholar] [CrossRef]
- Bradley, E.; Kantz, H. Nonlinear Time-Series Analysis Revisited. Chaos Interdiscip. J. Nonlinear Sci. 2015, 25, 097610. [Google Scholar]
- Bringmann, L.F.; Hamaker, E.L.; Vigo, D.E.; Aubert, A.; Borsboom, D.; Tuerlinckx, F. Changing Dynamics: Time-Varying Autoregressive Models Using Generalized Additive Modeling. Psychol. Methods 2017, 22, 409. [Google Scholar] [CrossRef] [PubMed]
- Olthof, M.; Hasselman, F.; Wijnants, M.; Lichtwarck-Aschoff, A. Psychological dynamics are complex: A comparison of scaling, variance, and dynamic complexity in simulated and observed data. In Selbstorganisation–ein Paradigma für die Humanwissenschaften; Springer: Wiesbaden, Germany, 2020; pp. 303–316. ISBN 978-3-658-29905-7. [Google Scholar]
- Schiepek, G.; Strunk, G. The Identification of Critical Fluctuations and Phase Transitions in Short Term and Coarse-Grained Time Seriesa Method for the Real-Time Monitoring of Human Change Processes. Biol. Cybern. 2010, 102, 197–207. [Google Scholar] [CrossRef]
- van de Leemput, I.A.; Wichers, M.; Cramer, A.O.J.; Borsboom, D.; Tuerlinckx, F.; Kuppens, P.; van Nes, E.H.; Viechtbauer, W.; Giltay, E.J.; Aggen, S.H.; et al. Critical Slowing down as Early Warning for the Onset and Termination of Depression. Proc. Natl. Acad. Sci. USA 2014, 111, 87–92. [Google Scholar] [CrossRef]
- Wichers, M.; Groot, P.C.; Psychosystems, E.G. Critical Slowing down as a Personalized Early Warning Signal for Depression. Psychother. Psychosom. 2016, 85, 114–116. [Google Scholar] [CrossRef]
- Jeronimus, B.F. Dynamic system perspectives on anxiety and depression. In Psychosocial Development in Adolescence; Kunnen, E.S., de Ruiter, N.M.P., Jeronimus, B.F., van der Gaag, M.A.E., Eds.; Routledge: Abingdon on Thames, UK, 2019; pp. 100–126. ISBN 978-1-315-16584-4. [Google Scholar]
- Olthof, M.; Hasselman, F.; Strunk, G.; van Rooij, M.; Aas, B.; Helmich, M.A.; Schiepek, G.; Lichtwarck-Aschoff, A. Critical Fluctuations as an Early-Warning Signal for Sudden Gains and Losses in Patients Receiving Psychotherapy for Mood Disorders. Clin. Psychol. Sci. 2019, 2167702619865969. [Google Scholar] [CrossRef]
- Schiepek, G.; Schöller, H.J.; de Felice, G.; Steffensen, S.V.; Bloch, M.S.; Fartacek, C.; Aichhorn, W.; Viol, K. Convergent Validation of Methods for the Identification of Psychotherapeutic Phase Transitions in Time Series of Empirical and Model Systems. Front. Psychol. 2020, 11, 1970. [Google Scholar] [CrossRef]
- Chevance, G.; Baretta, D.; Heino, M.T.J.; Perski, O.; Klasnja, P.; Hekler, E.; Godino, J. Characterizing and Predicting Person-Specific, Day-to-Day, Fluctuations in Walking Behavior. 2020. Available online: https://osf.io/preprints/sportrxiv/bzj6s/ (accessed on 1 May 2021).
- Wallot, S.; Leonardi, G. Analyzing Multivariate Dynamics Using Cross-Recurrence Quantification Analysis (CRQA), Diagonal-Cross-Recurrence Profiles (DCRP), and Multidimensional Recurrence Quantification Analysis (MdRQA) A Tutorial in R. Front. Psychol. 2018, 9. [Google Scholar] [CrossRef]
- Hasselman, F. Casnet: A Toolbox for Studying Complex Adaptive Systems and Networks. 2020. Available online: https://github.com/FredHasselman/casnet (accessed on 1 May 2021).
- Ryan, R.M.; Deci, E.L. Self-Determination Theory: Basic Psychological Needs in Motivation, Development, and Wellness; Guilford Press: New York, NY, USA, 2017; ISBN 978-1-4625-2876-9. [Google Scholar]
- Schreiber, T.; Schmitz, A. Surrogate Time Series. Phys. D Nonlinear Phenom. 2000, 142, 346–382. [Google Scholar] [CrossRef]
- Knittle, K.; Heino, M.; Marques, M.M.; Stenius, M.; Beattie, M.; Ehbrecht, F.; Hagger, M.S.; Hardeman, W.; Hankonen, N. The Compendium of Self-Enactable Techniques to Change and Self-Manage Motivation and Behaviour V.1.0. Nat. Hum. Behav. 2020, 4, 215–223. [Google Scholar] [CrossRef]
- Bronfenbrenner, U.; Morris, P.A. The ecology of developmental processes. In Handbook of Child Psychology: Theoretical Models of Human Development, 5th ed.; John Wiley & Sons Inc.: Hoboken, NJ, USA, 1998; Volume 1, pp. 993–1028. ISBN 978-0-471-05527-3. [Google Scholar]
- Navarro, J.; Roe, R.A.; Artiles, M.I. Taking Time Seriously: Changing Practices and Perspectives in Work/Organizational Psychology. Rev. Psicol. Trab. Organ. 2015, 31, 135–145. [Google Scholar] [CrossRef]
- Rogers, P.J. Using Programme Theory to Evaluate Complicated and Complex Aspects of Interventions. Evaluation 2008, 14, 29–48. [Google Scholar] [CrossRef]
- Navarro, J.; Arrieta, C.; Ball’en, C. An Approach to the Study of the Dynamics of Work Motivation Using Diary Method. Nonlinear Dyn. Psychol. Life Sci. 2007, 11, 473–498. [Google Scholar]
- Gordon, R.A. Issues in Multiple Regression. Am. J. Sociol. 1968, 73, 592–616. [Google Scholar] [CrossRef]
- Molenaar, P.C.M. Psychological Methodology Will Change Profoundly Due to the Necessity to Focus on Intra-Individual Variation. Integr. Psychol. Behav. Sci. 2007, 41, 35–40. [Google Scholar] [CrossRef]
- Smaldino, P.E.; Calanchini, J.; Pickett, C.L. Theory Development with Agent-Based Models. Organ. Psychol. Rev. 2015, 5, 300–317. [Google Scholar] [CrossRef]
- Chevance, G.; Perski, O.; Hekler, E. Innovative Methods for Predicting and Changing Complex Health Behaviors: Four Propositions. Transl. Behav. Med. 2021, 11, 676–685. [Google Scholar] [CrossRef]
- van Rooij, I.; Baggio, G. Theory Before the Test: How to Build High-Verisimilitude Explanatory Theories in Psychological Science. Perspect. Psychol. Sci. 2021, 1745691620970604. [Google Scholar] [CrossRef]
- Trull, T.J.; Ebner-Priemer, U.W. Ambulatory Assessment in Psychopathology Research: A Review of Recommended Reporting Guidelines and Current Practices. J. Abnorm. Psychol. 2020, 129, 56–63. [Google Scholar] [CrossRef]
- Stawski, R.S.; MacDonald, S.W.S.; Sliwinski, M.J. Measurement Burst Design. In The Encyclopedia of Adulthood and Aging; Wiley: Hoboken, NJ, USA, 2015; pp. 1–5. ISBN 978-1-118-52137-3. [Google Scholar]
- Kwasnicka, D.; Dombrowski, S.U.; White, M.; Sniehotta, F.F. N-of-1 Study of Weight Loss Maintenance Assessing Predictors of Physical Activity, Adherence to Weight Loss Plan and Weight Change. Psychol. Health 2017, 32, 686–708. [Google Scholar] [CrossRef] [PubMed]
- Hamaker, E.L.; Wichers, M. No Time Like the Present: Discovering the Hidden Dynamics in Intensive Longitudinal Data. Curr. Dir. Psychol. Sci. 2017, 26, 10–15. [Google Scholar] [CrossRef]
- Kaplan, D.M.; Rentscher, K.E.; Lim, M.; Reyes, R.; Keating, D.; Romero, J.; Shah, A.; Smith, A.D.; York, K.A.; Milek, A.; et al. Best Practices for Electronically Activated Recorder (EAR) Research: A Practical Guide to Coding and Processing EAR Data. Behav. Res. 2020, 52, 1538–1551. [Google Scholar]
- Mathews, K.M.; White, M.C.; Long, R.G. Why Study the Complexity Sciences in the Social Sciences? Hum. Relat. 1999, 52, 439–462. [Google Scholar] [CrossRef]
- Aust, F.; Barth, M. Papaja (Preparing APA Journal Articles). 2020. Available online: crsh.github.io/papaja_man/ (accessed on 1 May 2021).






| Interconnectedness | Non-Ergodicity | Non-Linear Dynamics | |
|---|---|---|---|
| Description | The structure of a system—how it is organised and the relationships between its component parts—can matter more than the component parts themselves. This includes interconnectedness of different variables such as attitudes or perceived norms, as well as that of their temporal dependence; dynamic dependencies of complex systems are not restricted to one or a few previous time points [41,46,66]. | Psychological processes are non-stationary and heterogeneous, hence non-ergodic (group-level measurements do not correspond to those of individuals in time). This means within-individual processes cannot, in general, be inferred from between-individual data. The lack of group-to-individual generalisability implies a threat to validity of results in many areas of science [67,68,69]. | In a linear progression of a phenomenon, the whole is exactly the sum of its parts: You can calculate how much each influencer of behaviour changes, and add them together to get the total effect. Non-linearity occurs when a system’s inputs are disproportionate to its outputs. For example, an effect might be imperceptible for a long time, then explode (as in exponential growth), or suddenly switch states upon reaching a threshold [70,71,72]. |
| Main lesson | Dynamic, intertwined processes do not exist in a vacuum. They are always co-dependent and cannot be partialed out into variance components without losing essential information on how the system as a whole operates. | Drawing individual-level inferences from group-level data (the ecological fallacy) leads to misleading or incorrect inferences regarding individual behaviour. A statistical relationship in the population may not hold for any of the individuals. | Viewing the world solely from the lens of linear phenomena and relationships, leads to missed opportunities and misunderstood impacts of interventions. |
| Recommendations for the research community | Move from traditional regression-based approaches, which are inspired by component-dominant, additive dynamics, to methods developed for interaction-dominant dynamics, able to cope with multiplicative effects and heavy-tailed distributions. | Move from large-sample research with many variables and many people but few time points (one model per sample), to N-of-1 and intensive longitudinal time series designs, with usually fewer people and variables, but more data per variable (one model per individual). | Move from linear approximations with the illusion of predictability, to methods that can accommodate non-linear patterns and disproportionate influences. |
Publisher’s Note: MDPI stays neutral with regard to jurisdictional claims in published maps and institutional affiliations. |
© 2021 by the authors. Licensee MDPI, Basel, Switzerland. This article is an open access article distributed under the terms and conditions of the Creative Commons Attribution (CC BY) license (https://creativecommons.org/licenses/by/4.0/).
Share and Cite
Heino, M.T.J.; Knittle, K.; Noone, C.; Hasselman, F.; Hankonen, N. Studying Behaviour Change Mechanisms under Complexity. Behav. Sci. 2021, 11, 77. https://doi.org/10.3390/bs11050077
Heino MTJ, Knittle K, Noone C, Hasselman F, Hankonen N. Studying Behaviour Change Mechanisms under Complexity. Behavioral Sciences. 2021; 11(5):77. https://doi.org/10.3390/bs11050077
Chicago/Turabian StyleHeino, Matti T. J., Keegan Knittle, Chris Noone, Fred Hasselman, and Nelli Hankonen. 2021. "Studying Behaviour Change Mechanisms under Complexity" Behavioral Sciences 11, no. 5: 77. https://doi.org/10.3390/bs11050077
APA StyleHeino, M. T. J., Knittle, K., Noone, C., Hasselman, F., & Hankonen, N. (2021). Studying Behaviour Change Mechanisms under Complexity. Behavioral Sciences, 11(5), 77. https://doi.org/10.3390/bs11050077

