Glacier Changes on the Pik Topografov Massif, East Sayan Range, Southeast Siberia, from Remote Sensing Data
Abstract
1. Introduction
2. Study Area and Previous Glacier Inventory
3. Materials and Methods
3.1. Imagery
3.2. Digital Elevation Model
3.3. Glacier Mapping
3.4. Accuracy of Mapping
3.5. Reconstruction of the LIA Glacier Outlines
4. Results
4.1. Glacier Parameters
4.2. Mapping Accuracy
4.3. Glacier Change
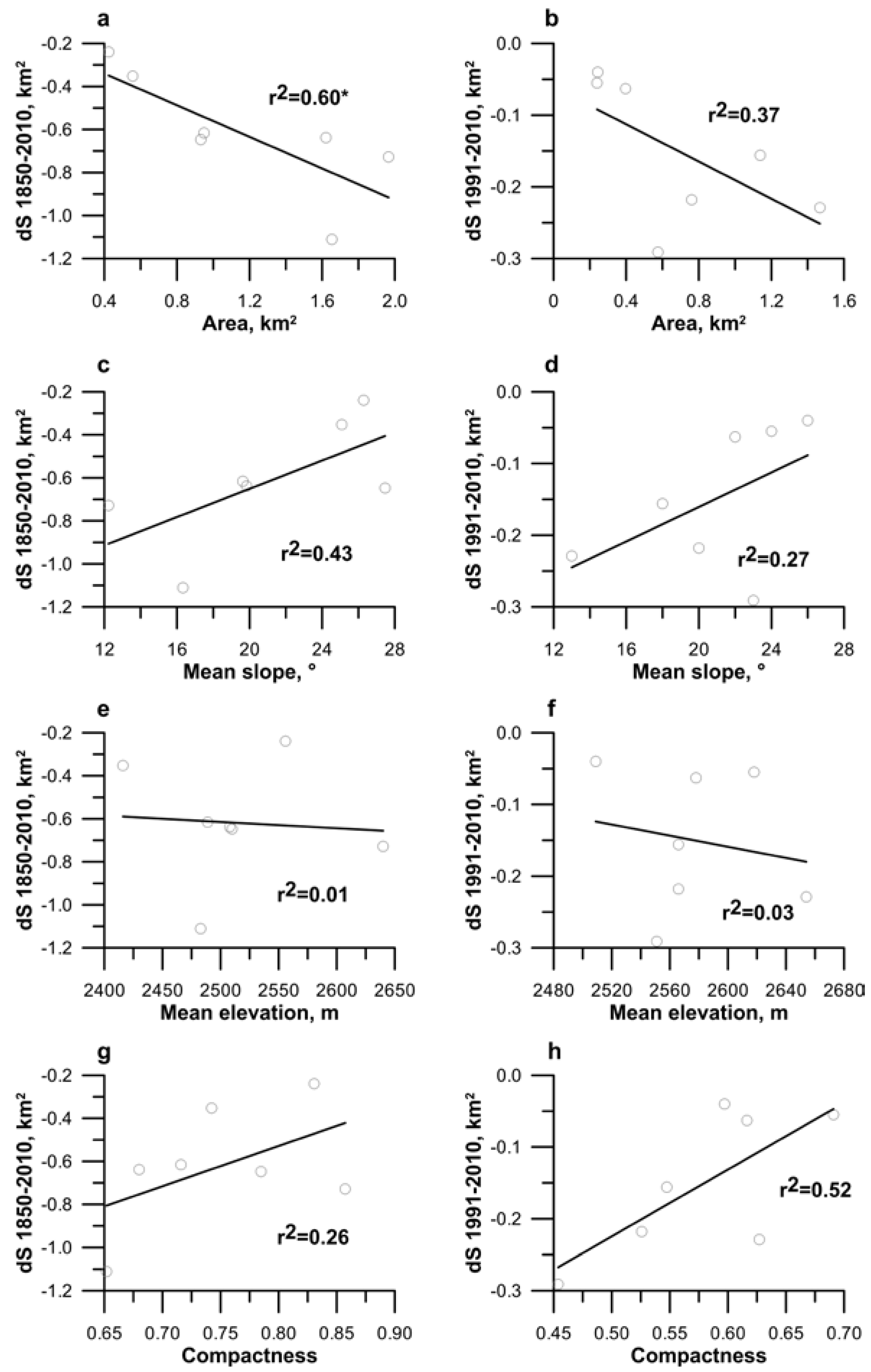
4.4. Local Topography and Ice Area Changes
4.5. Regional Climate Trends and Area Changes
5. Discussion
6. Conclusions
Author Contributions
Acknowledgments
Conflicts of Interest
References
- Climate Change 2014: Synthesis Report. Contribution of Working Groups I, II and III to the Fifth Assessment Report of the Intergovernmental Panel on Climate Change; Pachauri, R.K., Meyer, L.A., Eds.; IPCC: Geneva, Switzerland, 2014; p. 151. [Google Scholar]
- Paul, F.; Kääb, A.; Maisch, M.; Kellenberger, T.; Haeberli, W. Rapid disintegration of Alpine glaciers observed with satellite data. Geophys. Res. Lett. 2004, 31, L21402. [Google Scholar] [CrossRef]
- Haeberli, W.; Hoelzle, M.; Paul, F.; Zemp, M. Integrated monitoring of mountain glaciers as key indicators of global climate change: The European Alps. Ann. Glaciol. 2007, 46, 150–160. [Google Scholar] [CrossRef]
- Hoffman, M.; Fountain, A.; Achuff, J. 20th-century variations in area of cirque glaciers and glacierets, Rocky Mountain National Park, Rocky Mountains, Colorado, USA. Ann. Glaciol. 2007, 46, 349–354. [Google Scholar] [CrossRef]
- DeBeer, C.; Sharp, M. Topographic influences on recent changes of very small glaciers in the Monashee Mountains, British Columbia, Canada. J. Glaciol. 2009, 55, 691–700. [Google Scholar] [CrossRef]
- Paul, F.; Barry, R.; Cogley, J.; Frey, H.; Haeberli, W.; Ohmura, A.; Ommanney, C.; Raup, B.; Rivera, A.; Zemp, M. Recommendations for the compilation of glacier inventory data from digital sources. Ann. Glaciol. 2009, 50, 119–126. [Google Scholar] [CrossRef]
- Silnitskaya, V.I.; Chernova, L.P. Katalog Lednikov SSSR (Catalogue of Glaciers of the USSR); Grosswald, M.G., Ed.; Gidrometeoizdat: Leningrad, USSR, 1973; Volume 16, pp. 1–37. (In Russian) [Google Scholar]
- Farr, T.G.; Rosen, P.A.; Caro, E.; Crippen, R.; Duren, R.; Hensley, S.; Kobrick, M.; Paller, M.; Rodriguez, E.; Roth, L.; et al. The Shuttle Radar Topography Mission. Rev. Geophys. 2007, 45, 1–33. [Google Scholar] [CrossRef]
- Osipov, E.Y.; Ashmetiev, A.Y.; Osipova, O.P.; Klevtsov, E.V. New glacier inventory of the south-eastern Eastern Sayan. Ice Snow 2013, 3, 45–54. (In Russian) [Google Scholar] [CrossRef]
- Paul, F.; Kääb, A. Perspectives on the production of a glacier inventory from multispectral satellite data in Arctic Canada: Cumberland Peninsula, Baffin Island. Ann. Glaciol. 2005, 42, 59–66. [Google Scholar] [CrossRef]
- Bolch, T.; Menounos, B.; Wheate, R. Landsat-based inventory of glaciers in western Canada, 1985–2005. Remote Sens. Environ. 2010, 114, 127–137. [Google Scholar] [CrossRef]
- Andreassen, L.M.; Paul, F.; Kääb, A.; Hausberg, J.E. Landsat-derived glacier inventory for Jotunheimen, Norway, and deduced glacier changes since the 1930s. Cryosphere 2008, 2, 131–145. [Google Scholar] [CrossRef]
- Paul, F.; Frey, H.; Le Bris, R. A new glacier inventory for the European Alps from Landsat TM scenes of 2003: Challenges and results. Ann. Glaciol. 2011, 52, 144–152. [Google Scholar] [CrossRef]
- Earl, L.; Gardner, A.A. satellite-derived glacier inventory for North Asia. Ann. Glaciol. 2016, 57, 50–60. [Google Scholar] [CrossRef]
- Fischer, M.; Huss, M.; Barboux, C.; Hoelzle, M. The new Swiss Glacier Inventory SGI2010: Relevance of using high-resolution source data in areas dominated by very small glaciers. Arct. Antarct. Alp. Res. 2014, 46, 933–945. [Google Scholar] [CrossRef]
- Osipov, E.Y.; Osipova, O.P. Mountain glaciers of southeast Siberia: Current state and changes since the Little Ice Age. Ann. Glaciol. 2014, 55, 167–176. [Google Scholar] [CrossRef]
- Paul, F.; Barrand, N.; Baumann, S.; Berthier, E.; Bolch, T.; Casey, K.; Frey, H.; Joshi, S.; Konovalov, V.; Le Bris, R.; et al. On the accuracy of glacier outlines derived from remote-sensing data. Ann. Glaciol. 2013, 54, 171–182. [Google Scholar] [CrossRef]
- Zemp, M.; Paul, F.; Hoelzle, M.; Haeberli, W. Glacier fluctuations in the European Alps, 1850–2000: An overview and spatio-temporal analysis of available data. In Darkening Peaks: Glacier Retreat, Science, and Society; Orlove, B., Wiegandt, E., Luckman, B., Eds.; University of California Press: Berkeley, CA, USA, 2008; pp. 152–167. ISBN 978-0-520-25305-6. [Google Scholar]
- Osipov, E.Y.; Osipova, O.P. Glaciers of the Levaya Sygykta River watershed, Kodar Ridge, southeastern Siberia, Russia: Modern morphology, climate conditions and changes over the past decades. Environ. Earth Sci. 2015, 74, 1969–1984. [Google Scholar] [CrossRef]
- Osipova, O.P.; Osipov, E.Y. Relationship between recent climate change, ablation conditions of glaciers of the East Sayan Range, Southeastern Siberia, and atmospheric circulation patterns. Environ. Earth Sci. 2015, 74, 1947–1956. [Google Scholar] [CrossRef]
- Osipova, O.P.; Osipov, E.Y. Relationship between glacier melting and atmospheric circulation in the southeast Siberia. In IOP Conference Series: Earth and Environmental Science; IOP Publishing: Bristol, UK, 2018; p. 12039. [Google Scholar]
- Stokes, C.; Shahgedanova, M.; Evans, I.; Popovnin, V. Accelerated loss of alpine glaciers in the Kodar Mountains, south-eastern Siberia. Glob. Planet. Chang. 2013, 101, 82–96. [Google Scholar] [CrossRef]






| Glacier Inventory | Path | Row | Satellite/Sensor | Date of Acquisition | Spatial Resolution (m) |
|---|---|---|---|---|---|
| GI1990 | 137 | 24 | Landsat-5/TM | 23 July 1986 | 30 |
| 138 | 23 | Landsat-5/TM | 28 July 1991 | 30 | |
| GI2000 | 137 | 23 | Landsat-7/ETM+ | 9 August 2001 | 15, 30 |
| 137 | 24 | Landsat-7/ETM+ | 9 August 2001 | 15, 30 | |
| GI2010 | 43 | 130 | WorldView-1 | 17 July 2008 | 0.5 |
| 44 | 136 | WorldView-1 | 7 August 2008 | 0.5 | |
| 137 | 23 | Landsat-5/TM | 11 September 2010 | 30 |
| Glacier | Morphology 1 | Mean Aspect 2 | Mean Slope 2 | 1850 | 1953 1 | 1986 | 1991 | 2001 | 2010 |
|---|---|---|---|---|---|---|---|---|---|
| 1 | cirque-valley | 5 (N) | 23 | 0.932 | 0.6 | 0.592 | 0.576 | 0.306 | 0.285 |
| 2 | cirque | 342 (NNW) | 23 | 0.424 | 0.3 | 0.242 | 0.240 | 0.195 | 0.185 |
| 3 (Avgevich Glacier) | cirque-valley | 342 (NNW) | 13 | 1.966 | 1.4 | 1.498 | 1.467 | 1.372 | 1.238 |
| 17 | cirque-valley | 20 (NNE) | 22 | 0.950 | 0.6 | 0.442 | 0.397 | 0.322 | 0.334 |
| 18 | valley | 12 (NNE) | 18 | 1.621 | 1.2 | 1.145 | 1.139 | 0.973 | 0.983 |
| 19 | cirque | 22 (NNE) | 24 | 0.556 | 0.3 | 0.235 | 0.244 | 0.181 | 0.204 |
| 20 | valley | 70 (ENE) | 19 | 1.654 | 1.3 | 0.785 | 0.761 | 0.660 | 0.543 |
| Sum | 8.103 | 5.7 | 4.939 | 4.824 | 4.009 | 3.772 | |||
| Mean | 1.158 | 0.8 | 0.706 | 0.689 | 0.573 | 0.539 | |||
| Median | 0.950 | 0.6 | 0.592 | 0.576 | 0.322 | 0.334 | |||
| No. of Glacier 1 | Manual on TM | Auto on TM | Auto on TM + Manual Correction | Manual on WorldView-1 | Difference (1)–(4) | Difference (2)–(4) | Difference (3)–(4) | Std. Dev. |
|---|---|---|---|---|---|---|---|---|
| (1) | (2) | (3) | (4) | |||||
| km2 | km2 | km2 | km2 | % | % | % | % | |
| 1 | 0.293 | 0.353 | 0.285 | 0.262 | 12 | 35 | 9 | 4 |
| 2 | 0.202 | 0.185 | 0.185 | 0.180 | 12 | 3 | 3 | 7 |
| 3 (Avgevich Glacier) | 1.324 | 1.304 | 1.238 | 1.319 | 0 | −1 | −6 | 1 |
| 17 | 0.352 | 0.087 | 0.334 | 0.332 | 6 | −74 | 1 | 2 |
| 18 | 1.015 | 0.985 | 0.983 | 0.944 | 8 | 4 | 4 | 2 |
| 19 | 0.214 | 0.204 | 0.204 | 0.187 | 14 | 9 | 9 | 3 |
| 20 | 0.663 | 0.543 | 0.543 | 0.636 | 4 | −15 | −15 | 3 |
| All | 4.063 | 3.661 | 3.772 | 3.860 | 5 | −5 | −2 |
© 2018 by the authors. Licensee MDPI, Basel, Switzerland. This article is an open access article distributed under the terms and conditions of the Creative Commons Attribution (CC BY) license (http://creativecommons.org/licenses/by/4.0/).
Share and Cite
Osipov, E.Y.; Osipova, O.P. Glacier Changes on the Pik Topografov Massif, East Sayan Range, Southeast Siberia, from Remote Sensing Data. Geosciences 2018, 8, 148. https://doi.org/10.3390/geosciences8050148
Osipov EY, Osipova OP. Glacier Changes on the Pik Topografov Massif, East Sayan Range, Southeast Siberia, from Remote Sensing Data. Geosciences. 2018; 8(5):148. https://doi.org/10.3390/geosciences8050148
Chicago/Turabian StyleOsipov, Eduard Y., and Olga P. Osipova. 2018. "Glacier Changes on the Pik Topografov Massif, East Sayan Range, Southeast Siberia, from Remote Sensing Data" Geosciences 8, no. 5: 148. https://doi.org/10.3390/geosciences8050148
APA StyleOsipov, E. Y., & Osipova, O. P. (2018). Glacier Changes on the Pik Topografov Massif, East Sayan Range, Southeast Siberia, from Remote Sensing Data. Geosciences, 8(5), 148. https://doi.org/10.3390/geosciences8050148

