Heavy Metal Signature and Environmental Assessment of Nearshore Sediments: Port of Koper (Northern Adriatic Sea)
Abstract
1. Introduction
2. Materials and Methods
2.1. Geographical and Geological Setting of the Study Area
2.2. Sampling
2.3. Laboratory Analysis
2.4. Statistical Analyses
2.5. Assessment of Sediment Contamination
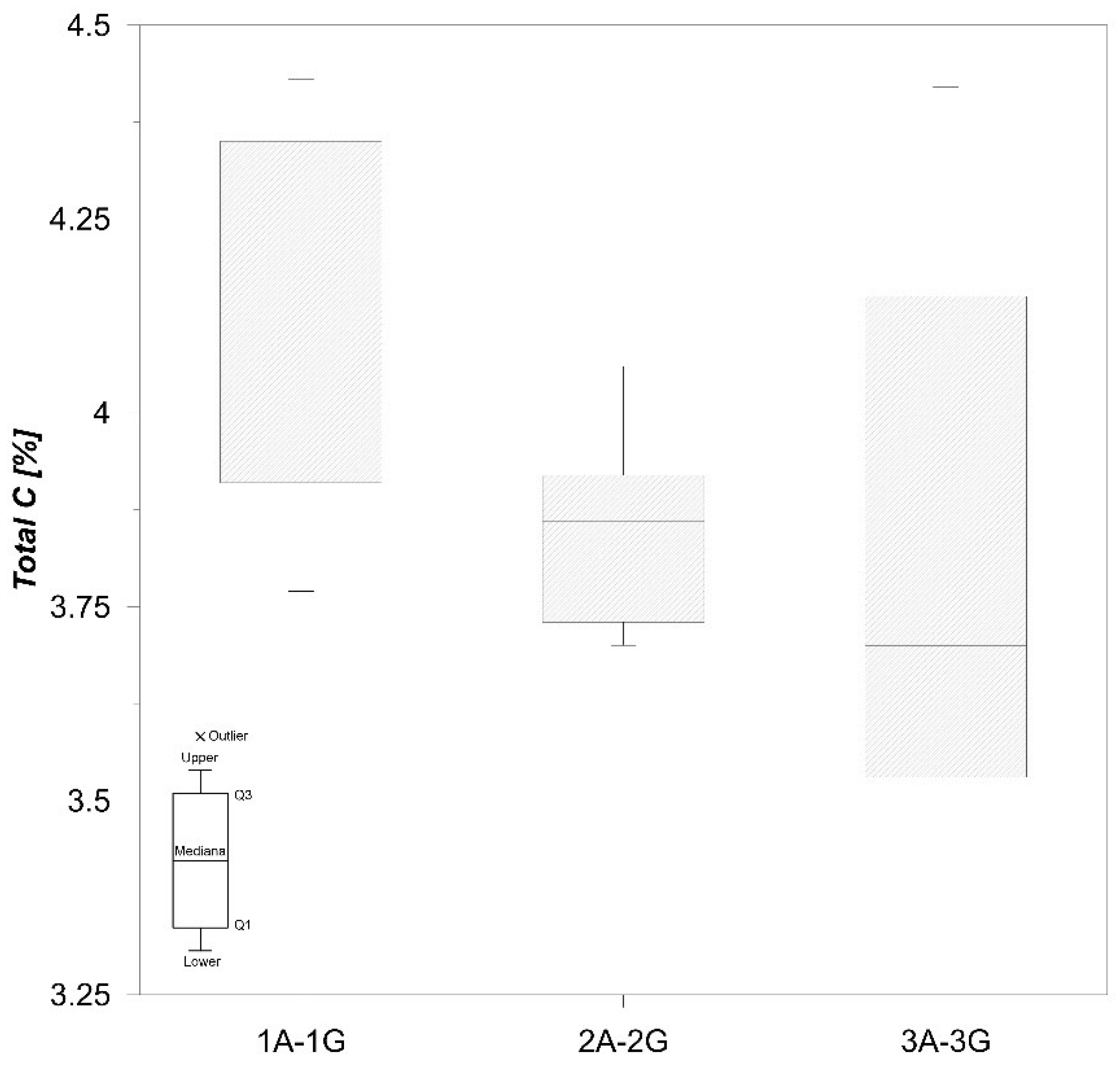
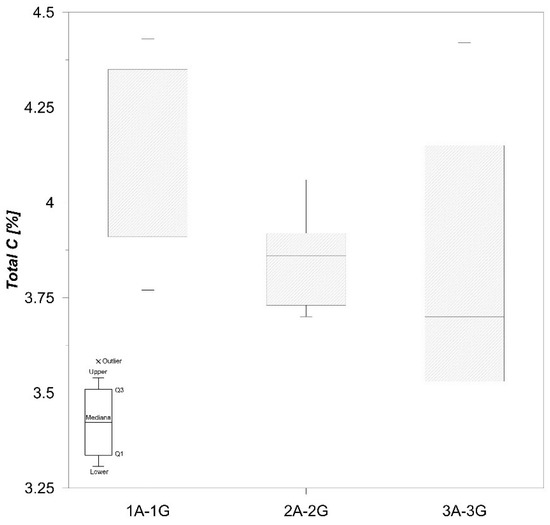
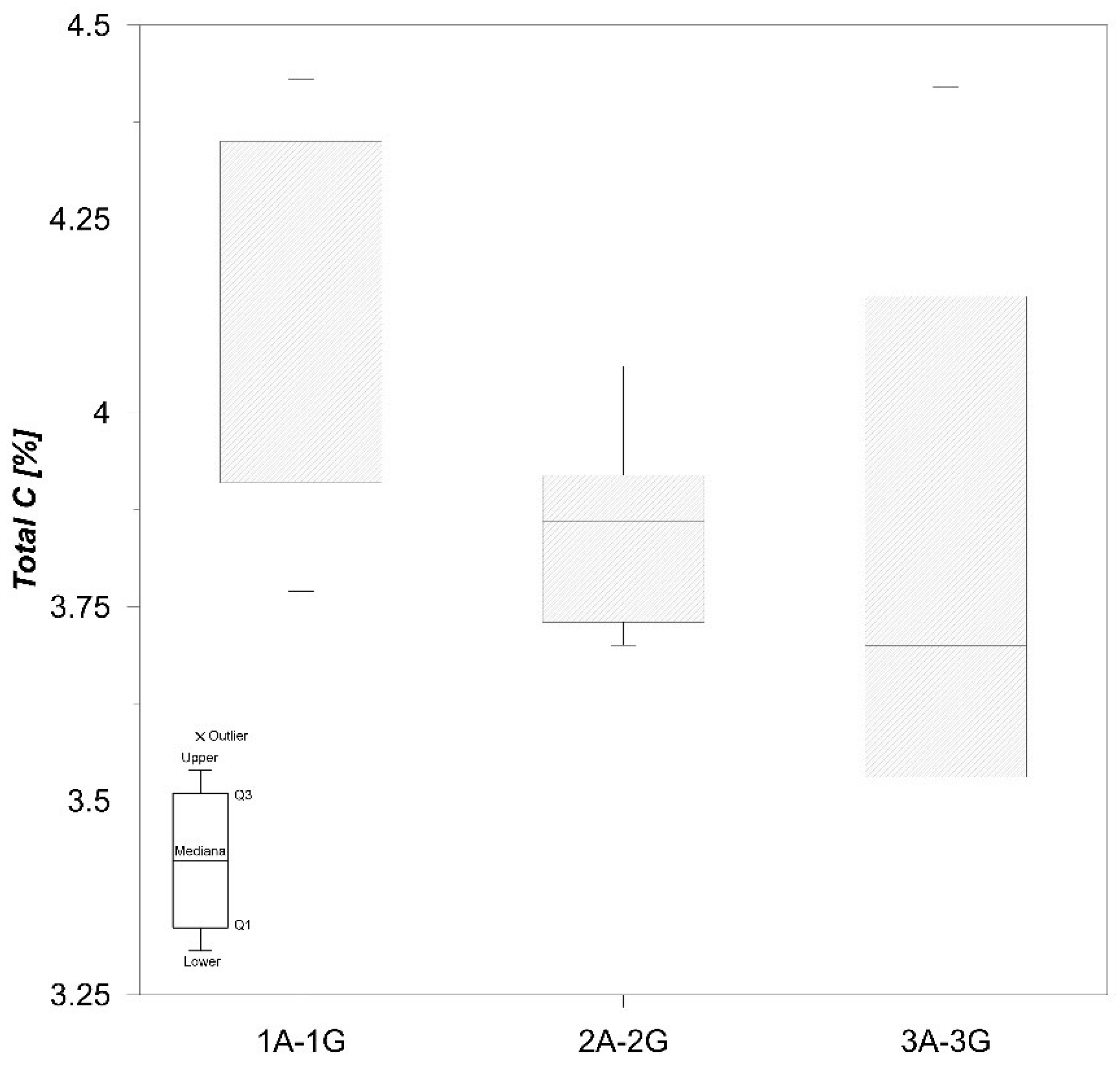
3. Results and Discussion
- EF < 3 minor enrichment (anthropogenic impact)
- EF = 3–5 moderate enrichment
- EF = 5–10 moderately severe enrichment
- EF = 10–25 severe enrichment
- EF = 25–50 very severe enrichment
- EF > 50 extremely severe enrichment
4. Conclusions
Author Contributions
Funding
Acknowledgments
Conflicts of Interest
References
- Adamo, P.; Arienzo, M.; Imperato, M.; Naimo, D.; Nardi, G.; Stanzione, D. Distribution and partition of heavy metals in surface an sub-surface sediments of Naples city port. Chemosphere 2005, 61, 800–809. [Google Scholar] [CrossRef] [PubMed]
- Baptista Neto, J.A.; Smith, B.J.; McAllister, J.J. Heavy metal concentrations in surface sediments in a nearshore environment, Jurujuba Sound, Southeast Brazil. Environ. Pollut. 2000, 109, 1–9. [Google Scholar] [CrossRef]
- Dassenakis, M.; Adrianos, H.; Depiazi, G.; Konstantas, A.; Karabela, M.; Sakellari, A.; Scoullos, M. The use of various methods for the study of metal pollution in marine sediments, the case of Euvoikos Gulf, Greece. Appl. Geochem. 2003, 18, 781–794. [Google Scholar] [CrossRef]
- Ridgway, J.; Shimmield, G. Estuaries as repositories of historical contamination and their impact on shelf areas. Estuar. Coast. Shelf. Sci. 2002, 55, 903–928. [Google Scholar] [CrossRef]
- Xu, B.; Yang, X.; Gu, Z.; Zhang, Y.; Chen, Y.; Lv, Y. The trend and extent of heavy metal accumulation over last one hundred years in the Liaodong Bay, China. Chemosphere 2009, 75, 442–446. [Google Scholar] [CrossRef] [PubMed]
- Arnason, J.G.; Fletcher, B.A. A 40+ year record of Cd, Hg, Pb and U deposition in sediments of Patroon Reservoir, Albany County, NY, USA. Environ. Pollut. 2003, 123, 383–391. [Google Scholar] [CrossRef]
- Horvat, M.; Covelli, S.; Faganeli, J.; Logar, M.; Mandic, V.; Rajar, R.; Sirca, A.; Zagar, D. Mercury in contaminated coastal environments; A case study: The Gulf of Trieste. Sci. Total Environ. 1997, 237, 43–56. [Google Scholar] [CrossRef]
- Point, D.; Monperrus, M.; Tessier, E.; Amouroux, D.; Chavaud, L.; Thouzeau, G.; Jean, F.; Amice, E.; Grall, J.; Leynaert, A.; et al. Biological control of trace metal and organometal benthic fluxes in a eutrophic lagoon (Thau Lagoon, Mediterranean Sea, France). Estuar. Coast. Shelf. Sci. 2007, 72, 457–471. [Google Scholar] [CrossRef]
- Westerlund, S.F.G.; Anderson, L.G.; Hall, P.O.J.; Iverfeldt, Ǻ.; Rutgers van der Loeff, M.M.; Sundby, B. Benthic fluxes of cadmium, copper, nickel, zinc and lead in the coastal environment. Geochim. Cosmochim. Acta 1986, 50, 1289–1296. [Google Scholar] [CrossRef]
- Adriano, D.C. Trace Elements in Terrestrial Environments: Biogeochemistry, Bioavailability and Risks of Metals, 2nd ed.; Springer: New York, NY, USA, 2001; 867p. [Google Scholar]
- Alloway, B.J. Heavy Metals in Soils, 1st ed.; Blackie & Son: New York, NY, USA, 1990; 371p. [Google Scholar]
- Förstner, U.; Wittmann, G.T.W. Metal Pollution in the Aquatic Environment, 1st ed.; Springer: Berlin, Germany, 1979; 486p. [Google Scholar]
- Adami, G.; Barbieri, P.; Campisi, B.; Predonzani, S.; Reisenhofer, E. Anthropogenic heavy metal distribution in sediments from an area exposed to industrial pollution (Harbour of Trieste, Northern Adriatic Sea). Bollettino Società Adriatica di Scienze 1996, 77, 5–18. [Google Scholar]
- Brambati, A.; Venzo, G.A. Recent sedimentation in the Northern Adriatic Sea between Venice and Trieste. Studi Trentini Scienze Naturali. Sezione 1967, A44, 202–274. [Google Scholar]
- Barbieri, P.; Adami, G.; Predonzani, S.; Reisenhofer, E. Heavy metals in surface sediments near urban and industrial sewage discharges in the Gulf of Trieste. Toxicol. Environ. Chem. 1999, 71, 105–114. [Google Scholar] [CrossRef]
- Colizza, E.; Fontolan, G.; Brambati, A. Impact of a coastal disposal site for inert wastes on the physical marine environment, Barcola-Bovedo, Trieste, Italy. Environ. Geol. 1996, 27, 270–285. [Google Scholar] [CrossRef]
- Covelli, S.; Fontolan, G. Application of a normalization procedure in determining regional geochemical baselines: Gulf of Trieste, Italy. Environ. Geol. 1997, 30, 34–45. [Google Scholar] [CrossRef]
- Covelli, S.; Fontolan, G.; Faganeli, J.; Ogrinc, N. Anthropogenic markers in the Holocene stratigraphic sequence of the Gulf of Trieste (northern Adriatic Sea). Mar. Geol. 2005, 230, 29–51. [Google Scholar] [CrossRef]
- Cibic, T.; Acquavita, A.; Aleffi, F.; Bettoso, N.; Blasutto, O.; De Vittor, C.; Falconi, C.; Falomo, J.; Faresi, L.; Predonzani, S.; et al. Integrated approach to sediment pollution: A case study in the Gulf of Trieste. Mar. Pollut. Bull. 2008, 56, 1650–1667. [Google Scholar] [CrossRef] [PubMed]
- Donazzolo, R.; Hieke Merlin, O.; Menegazzo Vitturi, I.; Orio, A.A.; Pavoni, B.; Perin, G.; Rabitti, S. Heavy metal contamination in surface sediments from the Gulf of Venice, Italy. Mar. Pollut. Bull. 1981, 12, 417–425. [Google Scholar] [CrossRef]
- Donazzolo, R.; Hieke Merlin, O.; Menegazzo Vitturi, L.; Pavoni, B. Heavy metal content and lithological properties of recent sediments in the Northern Adriatic. Mar. Pollut. Bull. 1984, 15, 93–101. [Google Scholar] [CrossRef]
- Faganeli, J.; Planinc, R.; Pezdic, J.; Smodis, B.; Stegnar, P.; Ogorelec, B. Marine geology of the Gulf of Trieste (North Adriatic): Geochemical aspects. Mar. Geol. 1991, 99, 93–108. [Google Scholar] [CrossRef]
- Ogorelec, B.; Misic, M.; Faganeli, J. Marine geology of the Gulf of Trieste (northern Adriatic): Sedimentological aspects. Mar. Geol. 1991, 99, 79–92. [Google Scholar] [CrossRef]
- Ogorelec, B.; Mišič, M.; Faganeli, J.; Stegnar, P.; Vrišer, B.; Vukovič, A. The recent sediment of the Bay of Koper (Northern Adriatic). Geologija 1987, 30, 87–121. [Google Scholar]
- Bradl, H.B. Heavy Metals in the Environments: Origin, Interaction and Remediation; Elsevier: Amsterdam, The Netherlands, 2005; 282p. [Google Scholar]
- Placer, L. Principles of the tectonic subdivision of Slovenia. Geologija 2008, 51, 205–217. [Google Scholar] [CrossRef]
- Placer, L.; Vrabec, M.; Celarc, B. Osnove razumevanja tektonske zgradbe NW Dinaridov in polotoka Istre. Geologija 2010, 53, 55–86. [Google Scholar] [CrossRef]
- Vrabec, M.; Šmuc, A.; Pleničar, M.; Buser, S. Geological evolution of Slovenia—An overview. In The Geology of Slovenia; Pleničar, M., Ogorelec, B., Novak, M., Eds.; Slovenian Geological Survey: Ljubljana, Slovenia, 2009; pp. 23–40. [Google Scholar]
- Trobec, A.; Šmuc, A.; Poglajen, S.; Vrabec, M. Submerged and buried Pleistocene river channels in the Gulf of Trieste (Northern Adriatic Sea): Geomorphic, stratigraphic and tectonic inferences. Geomorphology 2017, 286, 110–120. [Google Scholar] [CrossRef]
- Trobec, A.; Busetti, M.; Zgur, F.; Baradello, L.; Babich, A.; Cova, A.; Gordini, E.; Romeo, R.; Tomini, I.; Poglajen, S.; et al. Thickness of marine Holocene sediment in the Gulf of Trieste (northern Adriatic Sea). Earth Syst. Sci. Data 2018, 10, 1077–1092. [Google Scholar] [CrossRef]
- Blott, S.J.; Pye, K. GRADISTAT: A grain size distribution and statistics package for the analysis of unconsolidated sediments. Earth Surf. Process. Landf. 2001, 26, 1237–1248. [Google Scholar] [CrossRef]
- Filgueiras, A.V.; Lavilla, I.; Bendicho, C. Chemical sequential extraction for metal partitioning in environmental solid samples. J. Environ. Monit. 2002, 4, 823–857. [Google Scholar] [CrossRef] [PubMed]
- Dean, J.R. Bioavailability, Bioaccessibility and Mobility of Environmental Contaminants; Wiley: London, UK, 2007; 316p. [Google Scholar]
- Rao, C.R.M.; Sahuquillo, A.; Lopez Sanches, J.F. A review of the different methods applied in environmental geochemistry for single and sequential extraction of trace elements in soil and related materials. Water Air Soil Pollut. 2008, 189, 291–333. [Google Scholar] [CrossRef]
- Forghani, G.; Moore, F.; Lee, S.; Qishlaqi, A. Geochemistry and speciation of metals in sediments of the Maharlu Saline Lake. Environ. Earth. Sci. 2009, 59, 173–184. [Google Scholar] [CrossRef]
- Verbovšek, T. A comparison of parameters below the limit of detection in geochemical analyses by substitution methods. RMZ Mater. Geoenviron. 2011, 58, 393–404. [Google Scholar]
- Aitchison, J. Statistical Analysis of Compositional Data; Chapman & Hall: New York, NY, USA, 1986; 416p. [Google Scholar]
- Davis, J.C. Statistical and Data Analysis in Geology, 2nd ed.; John Wiley and Sons: New York, NY, USA, 1986; 646p. [Google Scholar]
- Ilenič, A. Geochemical and Isotopic Study of Surface Sediments and Banded Dye Murex Muscles from Selected Locations in the National Park Kornati, Croatia. Bachelor´s Thesis, University of Ljubljana, Faculty of Natural Sciences and Engineering, Ljubljana, Slovenia, 2017. [Google Scholar]
- Kemp, A.L.W.; Thomas, R.L.; Dell, C.I.; Jaquet, J.M. Cultural impact on the geochemistry of sediments in Lake Erie. Can. J. Fish. Aquat. Sci. 1976, 33, 440–485. [Google Scholar] [CrossRef]
- Van Metre, P.C.; Callender, E. Water quality trends in white rock creek basin from 1912–1994 identified using sediment cores from white rock lake reservoir, Dallas, Texas. J. Paleolimnol. 1997, 17, 239–249. [Google Scholar] [CrossRef]
- Chen, C.W.; Kao, C.M.; Chen, C.F.; Dong, C.D. Distribution and accumulation of heavy metals the sediments of Kaohsiung Harbor, Taiwan. Chemosphere 2007, 66, 1431–1440. [Google Scholar] [CrossRef] [PubMed]
- MacDonald, D.D.; Ingersoll, G.; Berger, T.A. Development and evaluation of consensus-based sediment quality guidelines for freshwater ecosystems. Arch. Environ. Contam. Toxicol. 2000, 39, 20–31. [Google Scholar] [CrossRef] [PubMed]
- Dolenec, T.; Faganeli, J.; Pirc, S. Major, minor and trace elements in surface sediments from the open Adriatic Sea: A regional geochemical study. Geol. Croat. 1998, 51, 59–73. [Google Scholar]
- Zhang, J.; Liu, C.L. Riverine composition and estuarine geochemistry of particulate metals in China—Weathering features, anthropogenic impact and chemical fluxes. Estuar. Coast. Shelf. Sci. 2002, 54, 1051–1070. [Google Scholar] [CrossRef]
- Szefer, P.; Glasby, G.P.; Szefer, K.; Pempkowiak, J.; Kaliszan, R. Heavy-metal pollution in superficial sediments from the southern Baltic Sea of Poland. J. Environ. Sci. Health 1996, 31A, 2723–2754. [Google Scholar]
- Chen, C.; Lu, Y.; Hong, J.; Ye, M.; Wang, Y.; Lu, H. Metal and metalloid contaminant availability in Yundang Lagoon sediments, Xiamen Bay, China, after 20 years continuous rehabilitation. J. Hazard. Mater. 2010, 175, 1048–1055. [Google Scholar] [CrossRef] [PubMed]
- Zupančič, N.; Skobe, S. Anthropogenic environmental impact in the Mediterranean coastal area of Koper/Capodistria, Slovenia. J. Soils Sediments 2014, 14, 67–77. [Google Scholar] [CrossRef]
- Taylor, S.R.; McLennan, S.M. The geochemical evaluation of the continental crust. Rev. Geophys. 1995, 33, 241–265. [Google Scholar] [CrossRef]
- Reimann, C.; de Caritat, P. Chemical Elements in the Environment: Factsheets for the Geochemist and Environmental Scientist; Springer: Berlin, Germany, 1998; 398p. [Google Scholar]
- Yu, C.; Xu, S.; Gang, M.; Zhou, L.; Chen, G. Molybdenum pollution and speciation in Nver River sediments impacted with Mo mining activities in western Liaoning, northeast China. Int. J. Environ. Res. 2011, 5, 205–212. [Google Scholar]
- Gao, X.; Chen, C.A.; Wang, G.; Xue, Q.; Tang, C.; Chen, S. Environmental status of Daya Bay surface sediments inferred from a sequential extraction technique. Estuar. Coast. Shelf. Sci. 2010, 86, 369–378. [Google Scholar] [CrossRef]
- Komar, D.; Dolenec, T.; Dolenec, M.; Vrhovnik, P.; Lojen, S.; Lambaša, Ž.; Kniewald, G.; Rogan Šmuc, N. Physico-chemical and geochemical characterization of Makirina Bay peloid mud and its evaluation for potential use in balneotherapy (N Dalmatia, Republic of Croatia). Indian J. Tradit. Knowl. 2015, 14, 5–12. [Google Scholar]
- Marin, B.; Valladon, M.; Polve, M.; Monaco, A. Reproducibility testing of a sequential extraction scheme for the determination of trace metal speciation in a marine reference sediment by inductively coupled plasma-mass spectrometry. Anal. Chim. Acta 1997, 342, 91–112. [Google Scholar] [CrossRef]
- Pardo, R.; Barrado, E.; Castrillejo, Y.; Velasco, M.A.; Vega, M. Study of the contents and speciation of heavy metals in river sediments by factor analysis. Anal. Lett. 1993, 26, 1719–1739. [Google Scholar] [CrossRef]
- Pempkowiak, J.; Sikora, A.; Biernacka, E. Speciation of heavy metals in marine sediments vs. their bioaccumulation by mussels. Chemosphere 1999, 39, 313–321. [Google Scholar] [CrossRef]
- Fernandes, H.M. Heavy metal distribution in sediments and ecological risk assessment: The role of diagenetic processes in reducing metal toxicity in bottom sediment. Environ. Pollut. 1997, 97, 317–325. [Google Scholar] [CrossRef]
- Ip, C.C.M.; Li, X.D.; Zhang, G.; Wai, O.W.H.; Li, Y.S. Trace metal distribution in sediments of the Pearl River Estuary and the surrounding coastal area, South China. Environ. Pollut. 2007, 147, 311–323. [Google Scholar] [CrossRef] [PubMed]
- Li, X.D.; Shen, Z.G.; Wai, O.W.H.; Li, Y.S. Chemical forms of Pb, Zn and Cu in the sediment profiles of the Pearl River Estuary. Mar. Pollut. Bull. 2001, 42, 215–223. [Google Scholar] [CrossRef]
- Petersen, W.; Wallmann, K.; Li, P.L.; Schroeder, F.; Knauth, H.D. Exchange of trace elements of the sediment-water interface during early diagenesis processes. Mar. Freshw. Res. 1995, 46, 19–26. [Google Scholar]
- Xiao, R.; Bai, J.H.; Lu, Q.Q.; Zhao, Q.Q.; Gao, Z.Q.; Wen, X.J.; Liu, X.H. Fractionation, transfer, and ecological risks of heavy metals in riparian and ditch wetlands across a 100-year chronosequence of reclamation in an estuary of China. Sci. Total Environ. 2015, 517c, 66–75. [Google Scholar] [CrossRef] [PubMed]
- Ghrefat, H.; Yusuf, N. Assessing Mn, Fe, Cu, Zn and Cd pollution in bottom sediments of Wadi Al-Arab Dam, Jordan. Chemosphere 2006, 65, 2114–2121. [Google Scholar] [CrossRef] [PubMed]
- Nemati, K.; Abu Bakar, N.K.; Abas, M.R.; Sobhanzadeh, E. Speciation of heavy metals by modified BCR sequential extraction procedure in different depths of sediments from Sunghai Buloh, Malaysia. J. Hazard. Mater. 2001, 192, 402–410. [Google Scholar]
- Jain, C.K. Metal fractionation study on bed sediments of River Yamuna, India. Water Res. 2004, 38, 569–578. [Google Scholar] [CrossRef] [PubMed]










| Step | Fraction | Chemical Reagents | Components Extracted and Description |
|---|---|---|---|
| 1. | Water-soluble | Deionised water | The water-soluble leach attacks any water-soluble component or most labile bound components. Thus, the heavy metals extracted are relatively labile, and may be potentially bioavailable to the surrounding ecosystem [32,33,34]. |
| 2. | Exchangeable | Sodium acetate (pH 5) at 30 °C for one hour | Fraction (2) includes exchangeable cations adsorbed by clay and elements co-precipitated with carbonates present in many types of sediments. Changes caused by ion-exchange processes, which influence adsorption–desorption reactions or lower the pH values, could provoke remobilisation of heavy metals from this fraction [32,33,34]. |
| 3. | Oxidisable | Sodium pyrophosphate | Oxidisable fraction (3) corresponds to heavy metals adsorbed by organic material (humic and fulvic components). Heavy metals associated with organic material are assumed to remain in sediments for longer periods, but may be mobilised by decomposition processes. Degradation of organic matter under oxidising conditions can lead to a release of soluble heavy metals bound to this component [34,35]. |
| 4. | Reducible | (hot) Hydroxylamine at 60 °C for two hours | Fraction (4) is linked to amorphous Fe oxides, which are thermodynamically unstable under anoxic circumstances, and to naturally occurring crystalline Fe and Mn oxide minerals. Heavy metals incorporated in Fe and Mn oxides crystal lattices are regarded as stable, and are not susceptible to remobilisation under normal environmental conditions [32,33,34,35]. |
| 5. | Residual | Four acid digestion | Residual (5) contains heavy metals included within lithogenic (primary and secondary minerals) mineral crystal lattices, which are not expected to release from sediments under normal environmental conditions. These elements (heavy metals) have a very low bioavailability potential [32,33,34,35]. |
| Sample | Quartz | Calcite | Pyrite | Albite | Chlorites | Muscovite/Illite | Kaolinite | Halite | Dolomite |
|---|---|---|---|---|---|---|---|---|---|
| 1A | 33.3 | 41.8 | 0.2 | 9.7 | 5.6 | 8.5 | 0.8 | - | - |
| 1B | 31.3 | 43.9 | 0.2 | 6.4 | 4.2 | 13.3 | 0.6 | - | - |
| 1C | 30.7 | 44.6 | 0.4 | 7.3 | 6.3 | 10.4 | 0.3 | - | - |
| 1D | 34.3 | 40.3 | 0.5 | 8.2 | 5.7 | 10.3 | 0.7 | - | - |
| 1E | 32.1 | 40.1 | 0.3 | 10.1 | 8.1 | 8.9 | 0.4 | - | - |
| 1F | 32.3 | 39.2 | 0.2 | 7.8 | 8.3 | 12.1 | 0.1 | - | - |
| 1G | 32.8 | 41.7 | 0.3 | 7.0 | 7.7 | 10.5 | 0.1 | - | - |
| 2A | 34.3 | 23.3 | 0.9 | 5.5 | 8.3 | 16.0 | 0.2 | 2.0 | 9.4 |
| 2B | 35.9 | 21.7 | 0.9 | 7.0 | 6.7 | 15.0 | 0.1 | 2.2 | 10.7 |
| 2C | 35.3 | 24.3 | 0.9 | 4.5 | 6.7 | 14.7 | 0.4 | 2.8 | 10.5 |
| 2D | 35.4 | 23.4 | 0.9 | 4.7 | 7.3 | 15.5 | 0.1 | 0.8 | 11.0 |
| 2E | 31.7 | 24.3 | 1.0 | 5.8 | 8.5 | 15.8 | 0.1 | 1.9 | 11.0 |
| 2F | 38.3 | 22.5 | 1.1 | 6.1 | 7.2 | 12.3 | 0.1 | 2.3 | 10.0 |
| 2G | 38.2 | 22.2 | 1.0 | 6.7 | 6.3 | 12.8 | 0.1 | 2.8 | 9.9 |
| 3A | 46.9 | 18.9 | 0.7 | 9.9 | 5.9 | 5.7 | 0.1 | 4.4 | 7.6 |
| 3B | 44.9 | 21.0 | 1.4 | 10.4 | 2.9 | 7.2 | 0.1 | 5.0 | 7.2 |
| 3C | 43.8 | 20.0 | 0.8 | 11.1 | 3.9 | 9.9 | 0.1 | 5.0 | 5.5 |
| 3D | 39.5 | 21.2 | 1.2 | 12.4 | 6.2 | 9.6 | 0.1 | 3.4 | 6.5 |
| 3E | 32.0 | 21.7 | 0.8 | 5.2 | 7.2 | 16.7 | 0.3 | 5.4 | 10.8 |
| 3F | 33.6 | 22.2 | 0.8 | 7.5 | 6.4 | 14.6 | 0.1 | 5.1 | 9.8 |
| 3G | 31.5 | 22.3 | 0.9 | 3.8 | 8.9 | 15.9 | 0.4 | 5.4 | 11.8 |
| Major Oxides Samples | SiO2 | Al2O3 | Fe2O3 | MgO | CaO | Na2O | K2O | TiO2 | P2O5 | MnO | Cr2O3 |
|---|---|---|---|---|---|---|---|---|---|---|---|
| 1A | 43.06 | 10.85 | 5.02 | 1.87 | 17.06 | 1.16 | 2.08 | 0.59 | 0.10 | 0.10 | 0.026 |
| 1B | 40.49 | 10.87 | 4.93 | 1.96 | 18.68 | 0.94 | 2.13 | 0.58 | 0.10 | 0.09 | 0.022 |
| 1C | 40.08 | 10.79 | 4.92 | 2.14 | 19.02 | 1.02 | 2.12 | 0.57 | 0.09 | 0.09 | 0.023 |
| 1D | 41.36 | 10.91 | 4.91 | 2.04 | 17.97 | 1.12 | 2.13 | 0.59 | 0.10 | 0.09 | 0.024 |
| 1E | 42.31 | 11.43 | 5.34 | 2.15 | 16.76 | 1.04 | 2.23 | 0.60 | 0.10 | 0.09 | 0.027 |
| 1F | 42.73 | 11.40 | 5.41 | 2.09 | 16.13 | 1.12 | 2.25 | 0.59 | 0.10 | 0.10 | 0.027 |
| 1G | 42.66 | 11.37 | 5.15 | 2.04 | 16.98 | 10.3 | 2.23 | 0.60 | 0.10 | 0.09 | 0.026 |
| 2A | 44.34 | 12.21 | 5.32 | 3.03 | 11.01 | 1.85 | 2.41 | 0.64 | 0.10 | 0.07 | 0.025 |
| 2B | 44.13 | 12.16 | 5.44 | 3.05 | 11.13 | 1.80 | 2.41 | 0.65 | 0.10 | 0.07 | 0.024 |
| 2C | 43.68 | 12.35 | 5.42 | 3.10 | 11.18 | 1.77 | 2.45 | 0.65 | 0.10 | 0.07 | 0.024 |
| 2D | 43.58 | 12.27 | 5.41 | 3.13 | 10.98 | 1.94 | 2.43 | 0.64 | 0.10 | 0.07 | 0.023 |
| 2E | 43.63 | 12.51 | 5.45 | 3.16 | 11.14 | 1.92 | 2.50 | 0.66 | 0.10 | 0.07 | 0.024 |
| 2F | 45.37 | 11.65 | 5.28 | 2.93 | 11.16 | 1.92 | 2.27 | 0.62 | 0.10 | 0.07 | 0.025 |
| 2G | 44.31 | 12.12 | 5.37 | 3.01 | 11.26 | 1.91 | 2.39 | 0.64 | 0.10 | 0.07 | 0.024 |
| 3A | 51.33 | 8.47 | 3.86 | 2.20 | 11.57 | 2.65 | 1.53 | 0.53 | 0.08 | 0.05 | 0.030 |
| 3B | 49.97 | 7.60 | 4.14 | 2.24 | 12.01 | 2.97 | 1.34 | 0.94 | 0.15 | 0.05 | 0.052 |
| 3C | 45.11 | 9.76 | 4.64 | 2.62 | 12.51 | 2.64 | 1.64 | 0.72 | 0.50 | 0.06 | 0.282 |
| 3D | 44.72 | 11.76 | 5.16 | 2.94 | 10.18 | 2.63 | 2.30 | 0.65 | 0.12 | 0.06 | 0.030 |
| 3E | 42.45 | 12.46 | 5.37 | 3.29 | 10.39 | 2.88 | 2.50 | 0.65 | 0.10 | 0.07 | 0.023 |
| 3F | 41.75 | 11.95 | 5.16 | 3.02 | 9.81 | 2.78 | 2.38 | 0.63 | 0.10 | 0.06 | 0.023 |
| 3G | 41.24 | 12.17 | 5.27 | 3.42 | 10.18 | 3.39 | 2.43 | 0.63 | 0.09 | 0.07 | 0.022 |
| Mean | 43.73 | 11.29 | 5.09 | 2.64 | 13.20 | 1.93 | 2.20 | 0.64 | 0.12 | 0.07 | 0.04 |
| Median | 43.58 | 11.65 | 5.27 | 2.93 | 11.26 | 1.91 | 2.27 | 0.63 | 0.10 | 0.07 | 0.02 |
| Std. Dev. | 2.73 | 1.29 | 0.43 | 0.52 | 3.24 | 0.77 | 0.32 | 0.08 | 0.09 | 0.01 | 0.06 |
| Elements Samples | Au | As | Cd | Cu | Mo | Ni | Pb | Sb | Zn |
|---|---|---|---|---|---|---|---|---|---|
| 1A | 5.0 | 6.8 | 0.1 | 31.0 | 0.7 | 96.5 | 13.3 | 0.3 | 69.0 |
| 1B | 4.3 | 6.7 | 0.2 | 32.3 | 0.8 | 98.7 | 20.5 | 0.2 | 69.0 |
| 1C | 3.5 | 7.3 | 0.3 | 31.9 | 0.9 | 104.1 | 16.8 | 0.2 | 72.0 |
| 1D | 3.9 | 7.5 | 0.2 | 31.4 | 1.1 | 98.1 | 30.2 | 0.2 | 70.0 |
| 1E | 3.2 | 8.4 | 0.2 | 35.5 | 0.7 | 109.4 | 17.6 | 0.2 | 84.0 |
| 1F | 2.5 | 8.4 | 0.2 | 37.8 | 0.7 | 106.9 | 21.2 | 0.2 | 76.0 |
| 1G | 3.4 | 8.1 | 0.2 | 34.4 | 0.8 | 97.4 | 18.2 | 0.1 | 78.0 |
| 2A | 4.7 | 15.3 | 0.1 | 28.6 | 1.1 | 88.2 | 16.4 | 0.1 | 82.0 |
| 2B | 5.0 | 16.0 | 0.1 | 29.2 | 1.0 | 89.3 | 15.6 | 0.1 | 81.0 |
| 2C | 2.4 | 15.1 | 0.1 | 30.1 | 1.2 | 91.4 | 16.2 | 0.2 | 86.0 |
| 2D | 2.4 | 14.4 | 0.2 | 28.9 | 1.2 | 90.2 | 15.8 | 0.1 | 80.0 |
| 2E | 1.6 | 15.2 | 0.2 | 29.8 | 1.1 | 91.8 | 16.4 | 0.1 | 88.0 |
| 2F | 4.1 | 15.6 | 0.1 | 28.7 | 1.5 | 88.2 | 14.7 | 0.1 | 81.0 |
| 2G | 2.5 | 16.4 | 0.1 | 30.4 | 1.3 | 93.0 | 18.0 | 0.2 | 86.0 |
| 3A | 2.0 | 19.9 | 0.1 | 17.6 | 1.0 | 61.3 | 11.3 | 0.1 | 54.0 |
| 3B | 2.2 | 16.0 | 0.1 | 35.0 | 1.5 | 62.3 | 10.7 | 0.1 | 73.0 |
| 3C | 2.8 | 15.4 | 0.4 | 24.9 | 1.8 | 83.3 | 28.2 | 0.1 | 99.0 |
| 3D | 1.7 | 14.6 | 0.1 | 28.6 | 1.2 | 87.1 | 14.9 | 0.2 | 78.0 |
| 3E | 1.2 | 13.9 | 0.2 | 29.1 | 0.9 | 86.2 | 15.1 | 0.1 | 78.0 |
| 3F | 3.1 | 14.3 | 0.1 | 30.5 | 1.1 | 89.3 | 16.3 | 0.2 | 83.0 |
| 3G | 2.4 | 14.4 | 0.2 | 31.4 | 0.9 | 95.2 | 16.7 | 0.2 | 82.0 |
| Mean | 3.1 | 12.8 | 0.17 | 30.3 | 1.1 | 96.2 | 17.3 | 0.16 | 78.5 |
| Median | 2.8 | 14.4 | 0.25 | 30.4 | 1.1 | 97.0 | 16.4 | 0.20 | 80.0 |
| Std. Dev. | 1.1 | 4.0 | 0.03 | 4.1 | 0.3 | 11.4 | 4.7 | 0.10 | 9.1 |
| 1 | / | 7.24 | 0.68 | 18.7 | / | 15.6 | 30.2 | / | 124.0 |
| 2 | / | 41.6 | 4.21 | 107.0 | / | 42.8 | 112.0 | / | 271.0 |
| Clay | Silt | SAKFMP | As | Co | Cu | Mo | Ni | Pb | Sb | Zn | TOT/C | |
|---|---|---|---|---|---|---|---|---|---|---|---|---|
| Clay | 1.00 | −0.50 | −0.16 | −0.02 | 0.01 | 0.01 | −0.18 | 0.00 | 0.04 | −0.01 | −0.09 | 0.03 |
| Silt | −0.50 | 1.00 | 0.16 | −0.04 | 0.20 | 0.01 | −0.29 | 0.12 | −0.15 | 0.15 | −0.06 | −0.47 |
| SAKFMP | −0.16 | 0.16 | 1.00 | 0.86 | −0.50 | −0.45 | 0.41 | −0.52 | −0.47 | 0.81 | 0.26 | −0.50 |
| As | −0.02 | −0.04 | 0.86 | 1.00 | −0.80 | −0.65 | 0.52 | −0.75 | −0.40 | 0.76 | 0.21 | −0.41 |
| Co | 0.01 | 0.20 | −0.50 | −0.80 | 1.00 | 0.70 | −0.64 | 0.92 | 0.36 | −0.44 | 0.06 | 0.08 |
| Cu | 0.01 | 0.01 | −0.45 | −0.65 | 0.70 | 1.00 | 0.38 | 0.62 | 0.14 | −0.51 | 0.17 | 0.25 |
| Mo | −0.18 | −0.29 | 0.41 | 0.62 | −0.64 | −0.38 | 1.00 | −0.55 | 0.14 | 0.22 | 0.46 | 0.20 |
| Ni | 0.00 | 0.12 | −0.52 | −0.75 | 0.92 | 0.62 | −0.55 | 1.00 | 0.43 | −0.33 | 0.25 | 0.02 |
| Pb | 0.04 | −0.15 | −0.47 | −0.40 | 0.36 | 0.14 | 0.14 | 0.43 | 1.00 | −0.44 | 0.32 | 0.23 |
| Sb | −0.01 | 0.15 | 0.81 | 0.76 | −0.44 | −0.51 | 0.22 | −0.33 | −0.44 | 1.00 | 0.18 | −0.67 |
| Zn | −0.09 | −0.06 | 0.26 | 0.21 | 0.06 | 0.17 | 0.46 | 0.25 | 0.32 | 0.18 | 1.00 | 0.17 |
| TOT/C | 0.03 | −0.47 | −0.50 | −0.41 | 0.08 | 0.25 | 0.20 | 0.02 | 0.23 | −0.67 | −0.17 | 1.00 |
| Samples | As | Cd | Cu | Mo | Ni | Pb | Sb | Zn |
|---|---|---|---|---|---|---|---|---|
| RAC | RAC | RAC | RAC | RAC | RAC | RAC | RAC | |
| 1G | 0.8 | 5.1 | 0.8 | 11 | 4.8 | 0.21 | 7 | 2.8 |
| 2D | 1.3 | 5.2 | 2 | 24.8 | 3.5 | 0.21 | 3 | 2.6 |
| 3G | 1.8 | 5.3 | 2.7 | 29.5 | 3.5 | 0.21 | 4.1 | 2.7 |
© 2018 by the authors. Licensee MDPI, Basel, Switzerland. This article is an open access article distributed under the terms and conditions of the Creative Commons Attribution (CC BY) license (http://creativecommons.org/licenses/by/4.0/).
Share and Cite
Rogan Šmuc, N.; Dolenec, M.; Kramar, S.; Mladenović, A. Heavy Metal Signature and Environmental Assessment of Nearshore Sediments: Port of Koper (Northern Adriatic Sea). Geosciences 2018, 8, 398. https://doi.org/10.3390/geosciences8110398
Rogan Šmuc N, Dolenec M, Kramar S, Mladenović A. Heavy Metal Signature and Environmental Assessment of Nearshore Sediments: Port of Koper (Northern Adriatic Sea). Geosciences. 2018; 8(11):398. https://doi.org/10.3390/geosciences8110398
Chicago/Turabian StyleRogan Šmuc, Nastja, Matej Dolenec, Sabina Kramar, and Ana Mladenović. 2018. "Heavy Metal Signature and Environmental Assessment of Nearshore Sediments: Port of Koper (Northern Adriatic Sea)" Geosciences 8, no. 11: 398. https://doi.org/10.3390/geosciences8110398
APA StyleRogan Šmuc, N., Dolenec, M., Kramar, S., & Mladenović, A. (2018). Heavy Metal Signature and Environmental Assessment of Nearshore Sediments: Port of Koper (Northern Adriatic Sea). Geosciences, 8(11), 398. https://doi.org/10.3390/geosciences8110398
