Parameterization for EROSION-3D Model under Simulated Rainfall Conditions in Lower Shivaliks of India
Abstract
1. Introduction
2. Materials and Methods
2.1. Study Area
2.2. Rainfall/Runoff Simulator
2.3. Experimental Realization
2.4. Parameter Determination from Experimental Results
2.5. Comparative Parameter Estimation for Experimental Conditions
2.6. Parameter Application on Example Watershed
3. Results
3.1. Soil Analysis Results
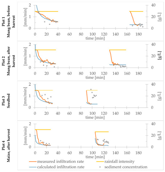
3.2. Rainfall/Runoff Experiment Results
3.3. Determined and Estimated Model Parameters
3.4. First Modeling Results
4. Discussion
4.1. Soil Analysis and Rainfall/Runoff Simulation
- Drop velocity and drop size spectrum produced by used micro sprinkler nozzles are not studied by now. It can be assumed that final drop velocity is lower than highest possible drop velocity, as drops get sprayed mainly horizontally from the nozzles. This may affect processes like particle detachment, surface sealing and sediment transport.
- Rainfall intensity was not monitored during experiments. Intensity could be affected by wind, changing pressure provided by electric pump and by failure of single nozzles. Because of high number of nozzles (20) a failure of a single nozzle may not be noticed.
- Rainfall water quality (temperature, electric conductivity and ionic content) was not measured.
- A pipe was used at lower end of plot for runoff collecting instead of a Gerlach trough. This may lead to increased sediment detachment at plot outlet.
4.2. Comparison of Determined and Estimated Parameters
4.3. First Modeling
5. Conclusions
Supplementary Materials
Author Contributions
Funding
Acknowledgments
Conflicts of Interest
References
- Hamilton, A.P.F. Siwalik Erosion. Available online: https://www.himalayanclub.org/hj/07/9/siwalik-erosion/ (accessed on 30 October 2018).
- Kukal, S.S.; Singh, M.J.; Bawa, S.S. An Appraisal of the Indigenious Technology for Soil and Water Conservation on Lower Shiwaliks—Research Bulletin 2014/3; Department of Soil Science, Punjab Agricultural University: Ludhiana, India, 2014. [Google Scholar]
- Singh, M.J.; Khera, K.L. Nomographic estimation and evaluation of soil erodibility under simulated and natural rainfall conditions. Land Degrad. Dev. 2009, 20, 471–480. [Google Scholar] [CrossRef]
- Jerath, N.; Ladhar, S.S.; Kaur, S.; Sharma, V.; Saile, P.; Tripathi, P.; Bhattacharya, S.; Parwana, H.K. Punjab State Action Plan on Climate Change. Available online: http://www.moef.nic.in/sites/default/files/sapcc/Punjab.pdf (accessed on 25 October 2018).
- Singh, M.J.; Yousuf, A.; Sharma, S.C.; Bawa, S.S.; Khokhar, A.; Sharma, V.; Kumar, V.; Singh, S.; Singh, S. Evaluation of vegetative barriers for runoff, soil loss and crop productivity in Kandi region of Punjab. J. Soil Water Conserv. 2017, 16, 325–332. [Google Scholar] [CrossRef]
- Kukal, S.S.; Sur, H.S. Soil erosion hazards in the foothills of lower Shiwaliks. Indian Soc. of Soil Sci. 1992, 40, 162–167. [Google Scholar]
- Bhardwaj, A.; Rana, D.S. Torrent control measures in Kandi area of Punjab—A case study. J. Water Manag. 2008, 16, 55–63. [Google Scholar]
- Bhatt, V.K.; Tiwari, A.K.; Bhattacharyya, P. Estimation of sediment yield from forest micro-watershed of Shivalik region. Indian J. Soil Conserv. 2012, 40, 207–211. [Google Scholar]
- Bhardwaj, A.; Kaushal, M.P. Two-dimensional physically based finite element runoff model for small agricultural watersheds: II. Model testing and field application. Hydrol. Process. 2009, 23, 408–418. [Google Scholar] [CrossRef]
- Yousuf, A.; Bhardwaj, A.; Tiwari, A.K.; Bhatt, V.K. Simulation of runoff and sediment yield from a forest micro watershed in Shivalik foothills using WEPP Model. Indian J. Soil Conserv. 2017, 45, 21–27. [Google Scholar]
- Yousuf, A.; Singh, M.J. Runoff and soil loss estimation using hydrological models, remote sensing and GIS in Shivalik foothills: A review. J. Soil Water Conserv. 2016, 15, 205–210. [Google Scholar] [CrossRef]
- Kumar, S.; Kushwaha, S.P.S. Modelling soil erosion risk based on RUSLE-3D using GIS in a Shivalik sub-watershed. J. Earth Syst. Sci. 2013, 122, 389–398. [Google Scholar] [CrossRef]
- Swarnkar, S.; Malini, A.; Tripathi, S.; Sinha, R. Assessment of uncertainties in soil erosion and sediment yield estimates at ungauged basins: An application to the Garra River basin, India. Hydrol. Earth Syst. Sci. 2018, 22, 2471–2485. [Google Scholar] [CrossRef]
- Thomas, J.; Joseph, S.; Thrivikramji, K.P. Estimation of soil erosion in a rain shadow river basin in the southern Western Ghats, India using RUSLE and transport limited sediment delivery function. Int. Soil Water Conserv. Res. 2018, 6, 111–122. [Google Scholar] [CrossRef]
- Thomas, J.; Joseph, S.; Thrivikramji, K.P. Assessment of soil erosion in a tropical mountain river basin of the southern Western Ghats, India using RUSLE and GIS. Geosci. Front. 2018, 9, 893–906. [Google Scholar] [CrossRef]
- Thomas, J.; Joseph, S.; Thrivikramji, K.P. Assessment of soil erosion in a monsoon-dominated mountain river basin in India using RUSLE-SDR and AHP. Hydrol. Sci. J. 2018, 63, 542–560. [Google Scholar] [CrossRef]
- Chanu, S.; Thomas, A.; Kumar, P. Estimation of curve number and runoff of a micro-watershed using soil conservation service method. J. Soil Water Conserv. 2015, 14, 317–325. [Google Scholar]
- Mishra, S.S. Rainfall analysis and design of water harvesting structure in water scarce Himalayan hilly regions. Int. J. Civ. Struct. Eng. 2014, 5, 29–41. [Google Scholar] [CrossRef]
- Jasrotia, A.S.; Singh, R. Modeling runoff and soil erosion in a catchment area, using the GIS, in the Himalayan region, India. Environ. Geol. 2006, 51, 29–37. [Google Scholar] [CrossRef]
- Kumar, S.; Harjadi, B.; Patel, N.R. Modeling Approach in Soil Erosion Risk Assessment and Conservation Planning in Hilly Watershed Using Remote Sensing and GIS. Available online: http://citeseerx.ist.psu.edu/viewdoc/download?doi=10.1.1.589.3821&rep=rep1&type=pdf (accessed on 25 October 2018).
- Mondal, A.; Khare, D.; Kundu, S. A comparative study of soil erosion modelling by MMF, USLE and RUSLE. Geocarto Int. 2018, 33, 89–103. [Google Scholar] [CrossRef]
- Sharma, S.P.; Bhardwaj, A. Runoff quantification from small non-arable rangeland watershed in Shivalik foothills using WEPP model. J. Indian Water Resour. Soc. 2017, 37, 25–36. [Google Scholar]
- Kumar, S.; Sterk, G.; Dadhwal, V.K. Process Based Modelling for Simulating Surface Runoff and Soil Erosion at Watershed Basis. Available online: http://citeseerx.ist.psu.edu/viewdoc/download?doi=10.1.1.589.543&rep=rep1&type=pdf (accessed on 25 October 2018).
- Yousuf, A.; Bhardwaj, A.; Tiwari, A.K.; Bhatt, V. Modelling Runoff and Sediment Yield from a Small Forest Watershed in Shivalik Foot-Hills using WEPP Model. Int. J. Agric. Sci. Res. 2015, 5, 67–78. [Google Scholar]
- Bhatt, V.; Tiwari, A.K.; Sena, D. Application of SWAT model for simulation of runoff in micro watersheds of lower Himalayan region of India. Indian J. Soil Conserv. 2016, 44, 133–140. [Google Scholar]
- Ramsankaran, R.; Kothyari, U.C.; Ghosh, S.K.; Malcherek, A.; Murugesan, K. Physically-based distributed soil erosion and sediment yield model (DREAM) for simulating individual storm events. Hydrol. Sci. J. 2013, 58, 872–891. [Google Scholar] [CrossRef]
- Schmidt, J. Entwicklung und Anwendung eines Physikalisch Begründeten Simulationsmodells für die Erosion Geneigter Landwirtschaftlicher Nutzflächen; Selbstverlag des Instituts für Geographische Wissenschaften: Berlin, Germany, 1996; p. 148. ISBN 978-3-88009-062-0. [Google Scholar]
- Werner, M.V. EROSION-3D Benutzerhandbuch, Ver. 3.15; GeoGnostics Software: Berlin, Germany, 2007; p. 69. [Google Scholar]
- Stumpf, F.; Goebes, P.; Schmidt, K.; Schindewolf, M.; Schönbrodt-Stitt, S.; Wadoux, A.; Xiang, W.; Scholten, T. Sediment Reallocations due to Erosive Rainfall Events in the Three Gorges Reservoir Area, Central China. Land Degrad. Dev. 2016, 28, 1212–1227. [Google Scholar] [CrossRef]
- Starkloff, T.; Stolte, J. Applied comparison of the erosion risk models EROSION 3D and LISEM for a small catchment in Norway. Catena 2014, 118, 154–167. [Google Scholar] [CrossRef]
- Defersha, M.B.; Melesse, A.M.; McClain, M.E. Watershed scale application of WEPP and EROSION 3D models for assessment of potential sediment source areas and runoff flux in the Mara River Basin, Kenya. Catena 2012, 95, 63–72. [Google Scholar] [CrossRef]
- Singh, M.J.; Khera, K.L. Physical Indicators of Soil Quality in Relation to Soil Erodibility Under Different Land Uses. Arid Land Res. Manag. 2009, 23, 152–167. [Google Scholar] [CrossRef]
- Schindewolf, M.; Schmidt, J. Parameterization of the EROSION 2D/3D soil erosion model using a small-scale rainfall simulator and upstream runoff simulation. Catena 2012, 91, 47–55. [Google Scholar] [CrossRef]
- Schmidt, J. Wasserhaushalt und Feststofftransport an Geneigten, Landwirtschaftlich Bearbeiteten Nutzflächen. Ph.D. Thesis, Freie Universität Berlin, Berlin, Germany, 1988. [Google Scholar]
- Green, W.H.; Ampt, G.A. Studies on Soil Phyics. J. Agric. Sci. 1911, 4, 1–24. [Google Scholar] [CrossRef]
- Weigert, A.; Schmidt, J. Water transport under winter conditions. Catena 2005, 64, 193–208. [Google Scholar] [CrossRef]
- Schmidt, J. Modelling long-term soil loss and landform change. In Overland Flow: Hydraulics and Erosion Mechanics; Parsons, A.J., Abrahams, A.D., Eds.; UCL Press: London, UK, 1992; pp. 409–433. ISBN 1-85728-006-7. [Google Scholar]
- Michael, A.; Schmidt, J.; Schmidt, W. Band II: Parameterkatalog Sachsen Anwendung. In EROSION 2D/3D Ein Computermodell zur Simulation der Bodenerosion durch Wasser; Sächsische Landesanstalt für Landwirtschaft, Sächsisches Landesamt für Umwelt und Geologie: Dresden, Freiberg, Germany, 1996; p. 121. [Google Scholar]
- Werner, M.V. EROSION-2D Benutzerhandbuch, Ver. 5.2; GeoGnostics Software: Berlin, Germany, 2007; p. 53. Available online: http://www.bodenerosion.com/demos/e2d520/manual_d_52.pdf (accessed on 25 October 2018).
- Sponagel, H. Ad-Hoc-Arbeitsgruppe Boden der Staatlichen Geologischen Dienste und der Bundesanstalt für Geowissenschaften und Rohstoffe. In Bodenkundliche Kartieranleitung: Mit 103 Tabellen und 31 Listen, 5th ed.; Bundesanstalt für Geowissenschaften und Rohstoffe, Ed.; Schweizerbart: Stuttgart, Germany, 2005; p. 438. ISBN 978-3-510-95920-4. [Google Scholar]
- Michael, A. Anwendung des Physikalisch Begründeten Erosionsprognosemodells EROSION 2D/3D—Mpirische Ansätze zur Ableitung der Modellparameter. Ph.D. Thesis, Technische Universität Bergakademie Freiberg, Freiberg, Germany, 2000. [Google Scholar]
- Hartsch, K.; Singh, M.J. Decentralised erosion prevention for selected rain water retention measures in Punjab, India. Unpublished work. 2018. [Google Scholar]
- World Imagery. World Imagery Provides One-Meter or Better Satellite and Aerial Imagery in Many Parts of the World and Lower-Resolution Satellite Imagery Worldwide; ESRI: Redlands, CA, USA, 2018. [Google Scholar]
- Soil Science Division Staff. Soil Survey Manual; United States Department of Agriculture: Washington, DC, USA, 2017; p. 639.
- Saha, D.; Kukal, S.S.; Sharma, S. Landuse impacts on SOC fractions and aggregate stability in typic ustochrepts of Northwest India. Plant Soil 2011, 339, 457–470. [Google Scholar] [CrossRef]
- Ries, J.B.; Iserloh, T.; Seeger, M.; Gabriels, D. Rainfall simulations—Constraints, needs and challenges for a future use in soil erosion research. J. Geomorphol. Suppl. Issues 2013, 57, 1–10. [Google Scholar] [CrossRef]
- Kunth, F.; Schmidt, J. Infiltration and Soil Erosion Modelling on Lausatian Post Mine Sites. Unpublished research report. 2013. [Google Scholar]
- Schindewolf, M. Prozessbasierte Modellierung von Erosion, Deposition und Partikelgebundenem Nähr- und Schadstofftransport in der Einzugsgebiets-und Regionalskala. Ph.D. Thesis, Technische Universität Bergakademie Freiberg, Freiberg, Germany, 2012. Available online: http://tubaf.qucosa.de/landing-page/?tx_dlf[id]=http%3A%2F%2Ftubaf.qucosa.de%2Fapi%2Fqucosa%253A22806%2Fmets (accessed on 25 October 2018).
- Bhardwaj, A.; Kaushal, M.P. Two-dimensional physically based finite element runoff model for small agricultural watersheds: I. Model development. Hydrol. Process. 2009, 23, 397–407. [Google Scholar] [CrossRef]
- Mondal, A.; Khare, D.; Kundu, S. Uncertainty analysis of soil erosion modelling using different resolution of open-source DEMs. Geocarto Int. 2017, 32, 334–349. [Google Scholar] [CrossRef]





| Plot | KA5-Texture Class 1 | Crop | Month |
|---|---|---|---|
| 1 | Slu | Peas | August |
| 2 | Slu | Peas | September |
| 3 | Sl3 | Seedbed | August |
| 4 | Sl3 | Maize | June |
| Cluster | Bulk-Density [kg/m3] | TOC [%] | Skin Factor [-] | Initial Soil Moisture [%] | Surface Roughness [sm−1/3] | Resistance to Erosion [N/m2] | Cover [%] | Clay [%] | Silt [%] | Sand [%] | ||||
|---|---|---|---|---|---|---|---|---|---|---|---|---|---|---|
| Fine | Middle | Coarse | Fine | Middle | Coarse | |||||||||
| Grass | 1720 | 1.00 | 11 | 25 | 0.3 | 0.04 | 90 | 8 | 6 | 11 | 22 | 26 | 26 | 1 |
| Maize | 1752 | 0.75 | 1.49 | 25 | 0.02 | 0.00103 | 17 | 10 | 6 | 13 | 24 | 23 | 22 | 2 |
| Castor | 1720 | 1.00 | 18 | 25 | 0.16 | 0.08 | 90 | 8 | 6 | 11 | 22 | 26 | 26 | 1 |
| Beans | 1720 | 0.45 | 4.91 | 25 | 0.0455 | 0.0027 | 25 | 8 | 6 | 11 | 22 | 26 | 26 | 1 |
| Cluster | Skin Factor | Surface Roughness | Resistance to Erosion |
|---|---|---|---|
| - | sm−1/3 | N/m2 | |
| Maize | 0.0061 | 0.019 | 0.0009 |
| Beans | 0.124 | 0.01 | 0.00045 |
| Plot | Bulk Density [g/cm3] | Cover [%] | TOC [M-%] | Soil Texture 1 | Inclination [°]/[%] | ||
|---|---|---|---|---|---|---|---|
| USDA | KA5 | ||||||
| 1 | Mung bean, before harvest | 1.70 ± 0.13 | 85 | 0.45 | sandy loam | Su3/Sl3 | 2/3.5 |
| 2 | Mung bean, after harvest | 1.72 ± 0.03 | 25 | 2/3.5 | |||
| 3 | Seedbed | 1.64 ± 0.14 | 0 | 0.68 | Loam | Slu | 2/3.5 |
| 4 | Maize, after harvest | 1.75 ± 0.04 | 17 | 0.75 | Loam | Slu | 1/1.8 |
| Plot | Soil Moisture [%] | End-Infiltration Rate [mm/min] | Mean Runoff Velocity [m/s] | Mean Sediment Concentration [g/L] | Virtual Slope Length [m] | |
|---|---|---|---|---|---|---|
| 1 | dry | 13 ± 2 | 0.58 ± 0.02 | 0.05 ± 0.01 | 6.22 ± 1.15 | 7.3 ± 0.2 |
| wet | 36 | 0.32 ± 0.04 | ||||
| 2 | dry | 17 ± 1 | 0.33 ± 0.05 | 0.09 ± 0.04 | 2.08 ± 0.51 | 10.4 ± 2.1 |
| wet | 35 | 0.25 ± 0.04 | ||||
| 3 | dry | 20 ± 1 | 0.38 ± 0.04 | 0.08 ± 0.01 | 20.41 ± 2.76 | 10.1 ± 1.0 |
| wet | 35 | 0.31 ± 0.05 | ||||
| 4 | dry | 13 ± 4 | 0.14 ± 0.00 | 0.11 ± 0.01 | 9.04 ± 1.75 | 11.9 ± 1.6 |
| wet | 30 | 0.16 ± 0.06 | ||||
| Plot | Determined from Experiment | Estimated from EROSION-2D | Parameter Catalogue |
|---|---|---|---|
| 1 | 0.0844 | 0.1 | 0.09 |
| 2 | 0.0455 | 0.01 | - |
| 3 | 0.0458 | 0.013 | 0.012 |
| 4 | 0.02 | 0.019 | 0.019 |
| Plot | Determined from Experiment | Estimated from EROSION-2D | Parameter Catalogue | Transfer Function | |
|---|---|---|---|---|---|
| 1 | Dry | 0.149 | 0.6 | 0.13 | −1.8 |
| Wet | 4.91 | 0.6 | 0.16 | 1.6 | |
| 2 | Dry | 0.124 | 0.6 | - | −1.1 |
| Wet | 4.19 | 0.6 | - | 1.6 | |
| 3 | Dry | 0.199 | 0.3 | 0.2 | −1.2 |
| Wet | 6.15 | 0.3 | 0.3 | 1.1 | |
| 4 | Dry | 0.0061 | 0.4 | - | −1.2 |
| Wet | 1.49 | 0.4 | - | 1.3 | |
| Plot | Determined from Experiment | Estimated from EROSION-2D | Parameter Catalogue | Transfer Function |
|---|---|---|---|---|
| 1 | 0.00045 | 0.004 | 0.002–0.009 | −0.0071 |
| 2 | 0.0027 | 0.004 | 0.002–0.009 | −0.0045 |
| 3 | 0.00031 | 0.0006 | 0.00025 | −0.0048 |
| 4 | 0.001 | 0.0009 | 0.001–0.006 | −0.0019 |
| Scenario | Runoff from Catchment [m3] | Runoff Coefficient [%] | Sediment Loss from Catchment [t/ha] | Mean Sediment Budget [kg/m2] for Land Use Clusters | |||
|---|---|---|---|---|---|---|---|
| Maize | Beans | Grass | Castor | ||||
| reference | 278 | 10 | 5.8 | −3.32 | −0.44 | 0.21 | 0.04 |
| LowP | 836 | 33 | 41.7 | −7.60 | −12.40 | 0.97 | 0.05 |
| M20 | 58 | 2 | 1.6 | −1.22 | 0.00 | 0.10 | 0.05 |
| M30 | 890 | 35 | 14.6 | −7.32 | −1.61 | 0.46 | 0.01 |
© 2018 by the authors. Licensee MDPI, Basel, Switzerland. This article is an open access article distributed under the terms and conditions of the Creative Commons Attribution (CC BY) license (http://creativecommons.org/licenses/by/4.0/).
Share and Cite
Lenz, J.; Yousuf, A.; Schindewolf, M.; Von Werner, M.; Hartsch, K.; Singh, M.J.; Schmidt, J. Parameterization for EROSION-3D Model under Simulated Rainfall Conditions in Lower Shivaliks of India. Geosciences 2018, 8, 396. https://doi.org/10.3390/geosciences8110396
Lenz J, Yousuf A, Schindewolf M, Von Werner M, Hartsch K, Singh MJ, Schmidt J. Parameterization for EROSION-3D Model under Simulated Rainfall Conditions in Lower Shivaliks of India. Geosciences. 2018; 8(11):396. https://doi.org/10.3390/geosciences8110396
Chicago/Turabian StyleLenz, Jonas, Abrar Yousuf, Marcus Schindewolf, Michael Von Werner, Kerstin Hartsch, Manmohan J. Singh, and Jürgen Schmidt. 2018. "Parameterization for EROSION-3D Model under Simulated Rainfall Conditions in Lower Shivaliks of India" Geosciences 8, no. 11: 396. https://doi.org/10.3390/geosciences8110396
APA StyleLenz, J., Yousuf, A., Schindewolf, M., Von Werner, M., Hartsch, K., Singh, M. J., & Schmidt, J. (2018). Parameterization for EROSION-3D Model under Simulated Rainfall Conditions in Lower Shivaliks of India. Geosciences, 8(11), 396. https://doi.org/10.3390/geosciences8110396

