Rock Engineering Knowledge and Radical Uncertainty: From Empirical Methods to Professional Practice
Abstract
1. Introduction
1.1. The Role of Radical Uncertainty in Rock Engineering Knowledge and Practice
1.2. Objectives and Methodology
2. Calibration and Validation Challenges in Rock Engineering Practice
- Verification refers to ensuring that a model correctly implements its intended mathematical formulation (i.e., solving the equations correctly).
- Calibration refers to adjusting model parameters to match observed behaviour within a specific context.
- Validation refers to demonstrating that a model’s predictions reliably correspond to physical reality in conditions beyond those used for calibration (this requires independent field data).
3. Why “Extensively Applied” and “Validated” Are Not Synonyms
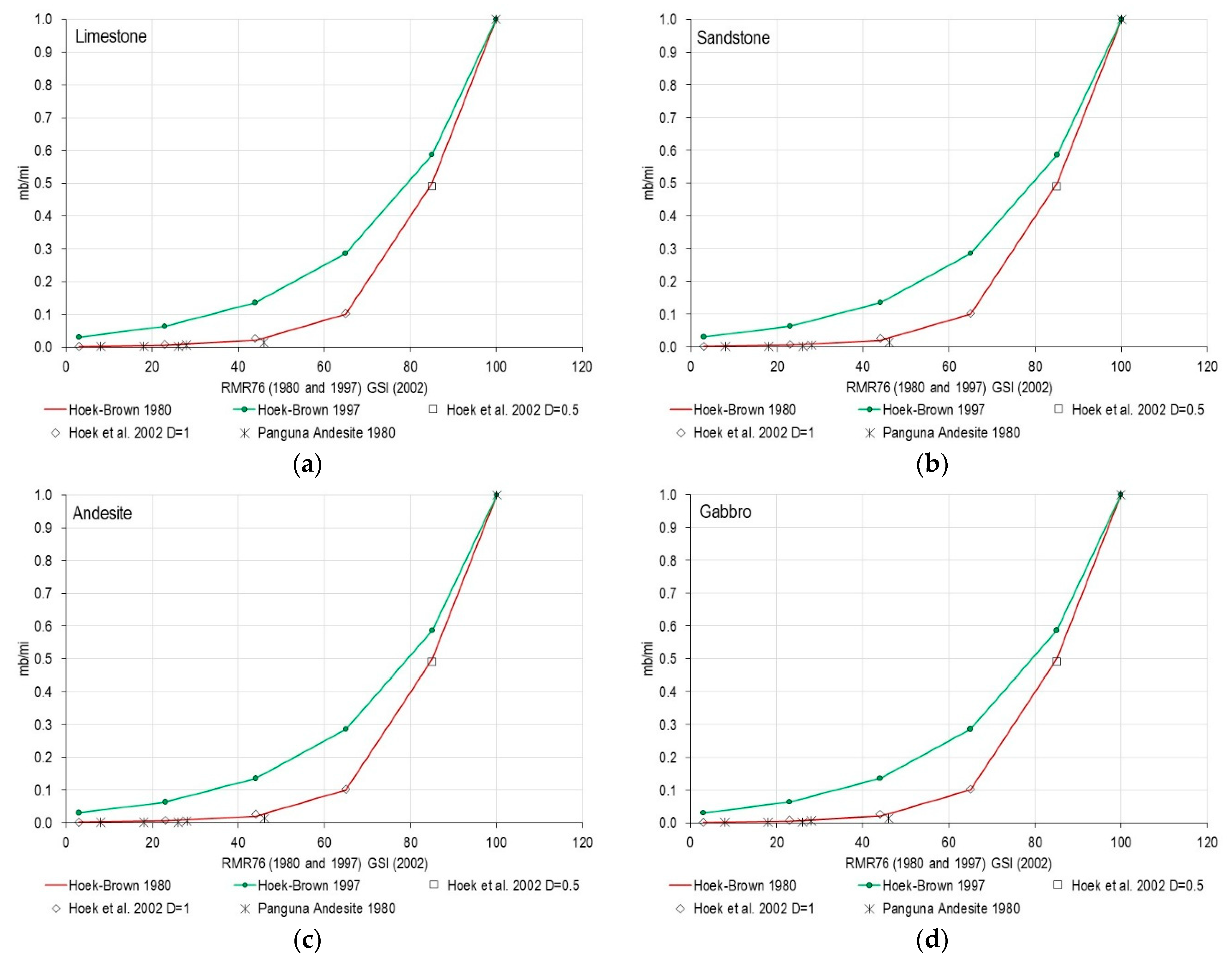
3.1. The Inherent Uncertainty of Extensively Applied Empirical Correlations
3.2. How Limited Data Have Become Established Practice
3.3. The Representative Elementary Volume: Conceptual Limitations and Validation Challenges
4. Rock Engineering and the Challenge of Operational Definitions
- Deliberately inducing failures in prototype slopes (ethically and practically unacceptable).
- Waiting for natural failures to occur (temporally impractical for design purposes).
- Relying on historical failures (which introduces temporal and contextual uncertainties).
- If they represent uncertainty (whether epistemic or aleatoric), this means that these conditions are unforeseen due to inadequate data collection and characterization. From a legal perspective, this amounts to acknowledging that we failed to recognize that we had not collected sufficient information.
- If they represent radical uncertainty, this means no one could claim they would have acted differently, since the conditions would not have been known to them either.
5. Uncertainty and Professional Responsibility in Rock Engineering Practice
5.1. The Challenge of Dual Uncertainty
- First, we remain uncertain about our inputs. What are the actual rock mass properties at depth? How do joint properties vary spatially? What is the true in situ stress state? These input uncertainties reflect not only measurement limitations, but also fundamental constraints imposed by observing three-dimensional geological structures with one-dimensional sampling.
- Second, even if we could magically eliminate all input uncertainty and know exact geological conditions, we would still face output uncertainty: What will actually happen when we excavate? Which failure mechanism will dominate? How will the rock mass respond to changing stress conditions over time? Will progressive failure occur, and if so, at what rate? This output uncertainty exists because geological systems exhibit emergent behaviour, scale-dependent mechanisms, and time-dependent processes that cannot be fully predicted even with perfect knowledge of the initial conditions.
5.2. Professional Practice vs. Uncertainty and Radical Uncertainty
5.3. Professional Practice vs. Linguistic Imprecision
5.4. The Algorithmic Amplification of Uncertainty
6. Conclusions
Author Contributions
Funding
Data Availability Statement
Conflicts of Interest
Abbreviations
| GSI | Geological strength index |
| RMR | Rock mass rating |
| DFN | Discrete fracture network |
| SRM | Synthetic rock mass |
| REV | Representative elementary volume |
| AI | Artificial intelligence |
References
- Kay, J.; King, M. Radical Uncertainty: Decision-Making Beyond the Numbers; WW Norton: New York, NY, USA, 2020; p. 384. [Google Scholar]
- Dougherty, E.R. The Evolution of Scientific Knowledge: From Certainty to Uncertainty; SPIE Press: Bellingham, WA, USA, 2016. [Google Scholar]
- Einstein, A. Autobiographical notes. In Albert Einstein: Philosopher Scientist; Schilpp, P.A., Ed.; Harper and Row: New York, NY, USA, 1959. [Google Scholar]
- Elmo, D.; Stead, D. The Role of Behavioural Factors and Cognitive Biases in Rock Engineering. Rock Mech. Rock Eng. 2021, 54, 2109–2128. [Google Scholar] [CrossRef]
- Popper, K. The Logic of Scientific Discovery; Routledge: Abingdon-on-Thames, UK, 1959; p. 545. [Google Scholar]
- Yang, B.; Mitelman, A.; Elmo, D.; Stead, D. Why the future of rock mass classification systems requires revisiting its empirical past. Q. J. Rock Eng. Hydrogeol. 2021, 55, qjegh2021–qjegh2039. [Google Scholar]
- Yang, B. Examining the Reliability of Integrating Machine Learning with Rock Mass Characterization and Classification Data. Doctoral Thesis, University of British Columbia, Vancouver, BC, Canada, 2024. [Google Scholar]
- Sivapalan, M.; Bloschl, G.; Zhang, L.; Vertessy, R. Downward approach to hydrological prediction. Hydrol. Process. 2003, 17, 2101–2111. [Google Scholar] [CrossRef]
- Hoek, E.; Brown, E.T. Underground Excavations in Rock; Institution of Mining and Metallurgy: London, UK, 1980. [Google Scholar]
- Hoek, E.; Brown, E. Practical estimates of rock mass strength. Int. J. Rock Mech. Min. 1997, 34, 1165–1186. [Google Scholar] [CrossRef]
- Hoek, E. Strength of rock and rock masses. ISRM News J. 1994, 2, 4–16. [Google Scholar]
- Marinos, V.; Carter, T. Integrating GSI and mi for Reliable Rockmass Strength Estimation: Integrating GSI and mi. Rock Mech. Rock Eng. 2025, 58, 11217–11260. [Google Scholar] [CrossRef]
- Cai, M. Practical Estimates of Tensile Strength and Hoek–Brown Strength Parameter mi of Brittle Rocks. Rock Mech. Rock Eng. 2010, 43, 167–184. [Google Scholar] [CrossRef]
- Elmo, D. Evaluation of a Hybrid FEM/DEM Approach for Determination of Rock Mass Strength Using a Combination of Discontinuity Mapping and Fracture Mechanics Modelling, with Particular Emphasis on Modelling of Jointed Pillars. Doctoral Dissertation, University of Exeter, Exeter, UK, 2006. [Google Scholar]
- Elmo, D.; Yang, B.; Stead, D.; Rogers, S. A discrete fracture network approach to rock mass classification. In Challenges and Innovations in Geomechanics, Proceedings of the 16th International Conference of IACMAG-Volume 1, Turin, Italy, 5–8 May 2021; Springer International Publishing: Berlin/Heidelberg, Germany, 2021; pp. 854–861. [Google Scholar]
- Barton, N. Reflections on Unrealistic Continuum Modelling; NB&A: Oslo, Norway, 2025; 30p. [Google Scholar]
- Pine, R.; Harrison, J.P. Rock mass properties for engineering design. Q. J. Eng. Geol. Hydrogeol. 2003, 36, 5–16. [Google Scholar] [CrossRef]
- Yang, B.; Elmo, D. Why engineers should not attempt to quantify GSI. Geosciences 2022, 12, 417. [Google Scholar] [CrossRef]
- Bieniawski, Z.T. Rock mass classification in rock engineering. In Exploration for Rock Engineering; Bieniawski, Z.T., Ed.; Balkema: Cape Town, South Africa, 1976; pp. 97–106. [Google Scholar]
- Barton, N.; Lien, R.; Lunde, J. Engineering classification of rock masses for the design of tunnel support. Rock Mech. 1974, 6, 189–236. [Google Scholar] [CrossRef]
- Elmo, D.; Zoorabadi, M. Examining the case for accuracy and precision when determining the Hoek-Brown parameters. Rock Mech. Rock Eng. 2025; under review. [Google Scholar]
- Hadjigeorgiou, J.; Harrison, J.P. Uncertainty and sources of error in rock engineering. In Proceedings of the 12th ISRM International Congress on Rock Mechanics, Beijing, China, 16–21 October 2012; pp. 2063–2067. [Google Scholar] [CrossRef]
- Bewick, R.P.; Elmo, D. Size effect and rock mass strength. Can. Geotech. J. 2025, 62, 1–18. [Google Scholar] [CrossRef]
- Esmaieli, K.; Hadjigeorgiou, J.; Grenon, M. Estimating geometrical and mechanical REV, based on synthetic rock mass models at Brunswick Mine. Int. J. Rock Mech. Min. Sci. 2010, 47, 915–926. [Google Scholar] [CrossRef]
- Stavrou, A.; Vazaios, I.; Murphy, W.; Vlachopoulos, N. Refined approaches for estimating the strength of rock blocks. Geotech. Geol. Eng. 2019, 37, 5409–5439. [Google Scholar] [CrossRef]
- Li, Y.; Wang, R.; Chen, J.; Zhang, Z.; Li, K.; Han, K. Scale dependency and anisotropy of mechanical properties of jointed rock masses: Insights from a numerical study. Bull. Eng. Geol. Environ. 2023, 82, 114. [Google Scholar] [CrossRef]
- Yiouta-Mitra, P.; Dimitriadis, G.; Nomikos, P. Size effect on triaxial strength of randomly fractured rockmass with discrete fracture network. Bull. Eng. Geol. Environ. 2023, 82, 8. [Google Scholar] [CrossRef]
- Bear, J. Dynamics of Fluids in Porous Media; Courier Corporation: North Chelmsford, MA, USA, 2013. [Google Scholar]
- Pinto da Cunha, A. Scale Effects in Rock Masses; CRC Press: London, UK, 1993; p. 366. [Google Scholar]
- Erharter, G.; Elmo, D. Is Complexity the Answer to the Continuum vs. Discontinuum Question in Rock Engineering? Rock Mech. Rock Eng. 2025, 58, 12695–12713. [Google Scholar] [CrossRef]
- Bridgman, P.W. The Logic of Modern Physics; Macmillan: New York, NY, USA, 1927. [Google Scholar]
- Chang, H. Operationalism. In The Stanford Encyclopedia of Philosophy; The Metaphysics Research Lab, Stanford University: Stanford, CA, USA, 2019. [Google Scholar]
- Read, J.; Stacey, P. Guidelines for Open Pit Slope Design; CSIRO Publishing: Melbourne, VIC, Australia, 2009. [Google Scholar]














| Discipline | Calibration | Validation | Additional Layer |
|---|---|---|---|
| Measurement & Instrumentation | Adjusting an instrument against known standards (e.g., calibrating a scale with certified weights) | Confirming the instrument performs correctly across its operating range. The focus is more on equipment accuracy than predictive models | n/a |
| Computational Modelling | Adjusting parameters to match known behaviour | Comparing predictions to independent experimental/field data | Verification. It addresses whether equations are solved correctly |
| Machine Learning & Data Science | Fitting model parameters to training data (training, analogous to calibration). | Testing on a validation set during model development to tune hyperparameters | Testing. Final evaluation on completely independent test data (closest to validation in other fields) |
| Property | Rock Mass A | Rock Mass B | Rock Mass C |
|---|---|---|---|
| Density (ton/m3) | 2.7 | 2.6 | 2.6 |
| Uniaxial compressive strength, UCS (MPa) | 67.2 | 69.9 | 96.50 |
| Indirect tension, σt (MPa) | 2.4 | 3.1 | 3.9 |
| Hoek & Brown mi (laboratory data) | 17.3 | 16.1 | 20.7 |
| Young’s Modulus, E (GPa) | 20.0 | 29.5 | 37.1 |
| Poisson ratio | 0.21 | 0.21 | 0.21 |
| Cohesion (MPa) * | 9.5 | 10.1 | 12.5 |
| Friction angle * | 57 | 57 | 60 |
| Fracture energy Gf (J/m2) | 6.0 | 6.7 | 8.4 |
| Pre-Existing Fractures (DFN Traces) | Rock Mass A | Rock Mass B | Rock Mass C |
| Cohesion (MPa) | 0.5 | 0.5 | 0.5 |
| Friction angle (degrees) | 41 | 41 | 41 |
| Normal stiffness (GPa/m) | 100 | 50 | 50 |
| Shear stiffness (GPa/m) | 10 | 5 | 5 |
| New fracture properties | Rock Mass A | Rock Mass B | Rock Mass C |
| Cohesion (MPa) | 0.0 | 0.0 | 0.0 |
| Friction angle (degrees) | 31 | 031 | 31 |
| Normal stiffness (GPa/m) | 35 | 25 | 50 |
Disclaimer/Publisher’s Note: The statements, opinions and data contained in all publications are solely those of the individual author(s) and contributor(s) and not of MDPI and/or the editor(s). MDPI and/or the editor(s) disclaim responsibility for any injury to people or property resulting from any ideas, methods, instructions or products referred to in the content. |
© 2026 by the authors. Licensee MDPI, Basel, Switzerland. This article is an open access article distributed under the terms and conditions of the Creative Commons Attribution (CC BY) license.
Share and Cite
Elmo, D.; Adams, S.K. Rock Engineering Knowledge and Radical Uncertainty: From Empirical Methods to Professional Practice. Geosciences 2026, 16, 73. https://doi.org/10.3390/geosciences16020073
Elmo D, Adams SK. Rock Engineering Knowledge and Radical Uncertainty: From Empirical Methods to Professional Practice. Geosciences. 2026; 16(2):73. https://doi.org/10.3390/geosciences16020073
Chicago/Turabian StyleElmo, Davide, and Samantha Kenzie Adams. 2026. "Rock Engineering Knowledge and Radical Uncertainty: From Empirical Methods to Professional Practice" Geosciences 16, no. 2: 73. https://doi.org/10.3390/geosciences16020073
APA StyleElmo, D., & Adams, S. K. (2026). Rock Engineering Knowledge and Radical Uncertainty: From Empirical Methods to Professional Practice. Geosciences, 16(2), 73. https://doi.org/10.3390/geosciences16020073

