Assessment of Environmental Radionuclides and Controlling Factors in Volcanic Soils of Andean Patagonia
Abstract
1. Introduction
2. Materials and Methods
2.1. Study Area and Sampling
2.2. Laboratory Analysis
2.3. Data Analysis
3. Results and Discussion
3.1. Distribution of Soil Radionuclides Across the Edaphoclimatic Gradient
3.2. Vertical Distribution of Radionuclides Along the Edaphoclimatic Gradient
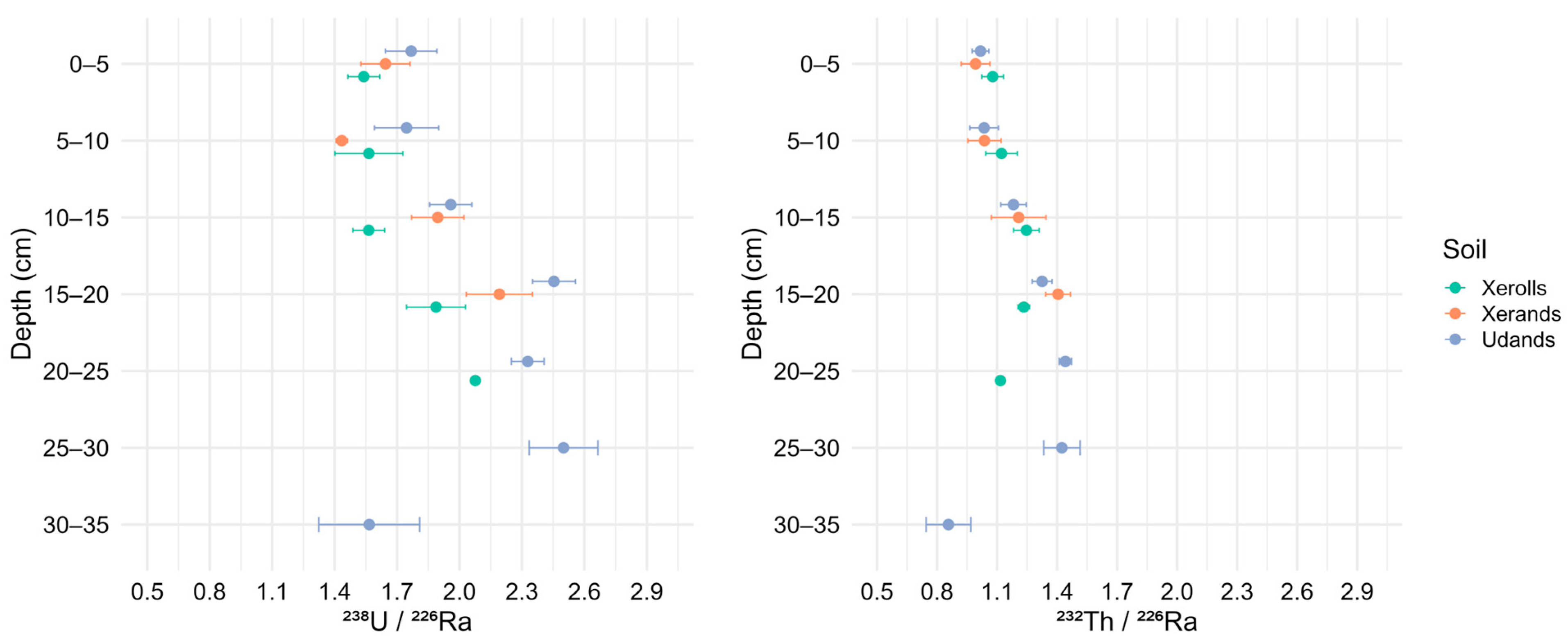
3.3. 238U/226Ra and 232Th/226Ra Activity Ratios
3.4. Distribution of Soil Radionuclides in Xerolls: The Influence of Topography and Land Use
4. Conclusions
Author Contributions
Funding
Data Availability Statement
Conflicts of Interest
References
- UNSCEAR. Sources and Effects of Ionizing Radiation; UNSCEAR 2008 Report to the General Assembly with Scientific Annexes; UN: New York, NY, USA, 2011; Volume I, p. 439. ISBN 978-92-1-142274-0. [Google Scholar]
- Fujiyoshi, R.; Sawamura, S. Mesoscale variability of vertical profiles of environmental radionuclides (40K, 226Ra, 210Pb and 137Cs) in temperate forest soils in Germany. Sci. Total Environ. 2004, 320, 177–188. [Google Scholar] [CrossRef] [PubMed]
- Gaspar, L.; Lizaga, I.; Navas, A. Spatial distribution of fallout and lithogenic radionuclides controlled by soil carbon and water erosion in an agroforestry South-Pyrenean catchment. Geoderma 2021, 391, 114941. [Google Scholar] [CrossRef]
- Guillén, J.; Muñoz-Serrano, A.; Baeza, A.S.; Salas, A. Speciation of naturally occurring radionuclides in Mediterranean soils: Bioavailabilty assessment. Environ. Sci. Pollut. Res. 2018, 25, 6772–6782. [Google Scholar] [CrossRef]
- Kang, T.W.; Park, W.P.; Han, Y.U.; Bong, K.M.; Kim, K. Natural and artificial radioactivity in volcanic ash soils of Jeju Island, Republic of Korea, and assessment of the radiation hazards: Importance of soil properties. J. Radioanal. Nucl. Chem. 2020, 323, 1113–1124. [Google Scholar] [CrossRef]
- Marques, R.; Prudêncio, M.I.; Russo, D.; Cardoso, G.; Dias, M.I.; Rodrigues, A.L.; Reis, M.; Santos, M.; Rocha, F. Evaluation of naturally occurring radionuclides (K, Th and U) in volcanic soils from Fogo Island, Cape Verde. J. Radioanal. Nucl. Chem. 2021, 330, 347–355. [Google Scholar] [CrossRef]
- Quindós, L.S.; Fernández, P.L.; Soto, J.; Ródenas, C.; Gómez, J. Natural radioactivity in Spanish soils. Health Phys. 1994, 66, 194–200. [Google Scholar] [CrossRef]
- Tzortzis, M.; Tsertos, H. Natural radioelement concentration in the Troodos Ophiolite Complex of Cyprus. J. Geochem. Explor. 2005, 85, 47–54. [Google Scholar] [CrossRef][Green Version]
- Pucha, G.; Pérez, M.; Aguay, D.; Chávez, E.; Chávez, N.; Giroletti, E.; Reino, W.; Recalde, C. Soil radioactivity in the highest volcanic region of Northern Andes. J. Environ. Radioact. 2023, 262, 107142. [Google Scholar] [CrossRef]
- Navas, A.; Soto, J.; Machín, J. 238U, 226Ra, 210Pb, 232Th and 40K activities in soil profiles of the Flysch sector (Central Spanish Pyrenees). Appl. Radiat. Isot. 2002, 57, 579–589. [Google Scholar] [CrossRef]
- Salbu, B.; Lind, O.C.; Skipperud, L. Radionuclide speciation and its relevance in environmental impact assessments. J. Environ. Radioact. 2004, 74, 233–242. [Google Scholar] [CrossRef]
- Navas, A.; Soto, J.; Machín, J. Edaphic and physiographic factors affecting the distribution of natural gamma-emitting radionuclides in the soils of the Arnás catchment in the Central Spanish Pyrenees. Eur. J. Soil Sci. 2002, 53, 629–638. [Google Scholar] [CrossRef][Green Version]
- Dahlgren, R.A.; Saigusa, M.; Ugolini, F.C. The nature, properties and management of volcanic soils. In Advances in Agronomy; Sparks, D.L., Ed.; Academic Press: San Diego, CA, USA, 2004; Volume 82, pp. 113–182. [Google Scholar] [CrossRef]
- McDaniel, P.A.; Lowe, D.J.; Arnalds, O.; Ping, C.L. Andisols. In Handbook of Soil Sciences, 2nd ed.; Huang, P.M., Li, Y., Sumner, M.E., Eds.; CRC Press (Taylor & Francis): Boca Raton, FL, USA, 2012; Volume 1, Properties and Processes, pp. 33.29–33.48. [Google Scholar]
- Irsigler, S.Z.; Gerzabek, M.H.; Lüthgens, C.; Zehetner, F. Natural and Artificial Radionuclides in Rocks and Soils of the Galápagos Islands. J. S. Am. Earth Sci. 2025, 165, 105693. [Google Scholar] [CrossRef]
- Laclau, P. Los Ecosistemas Forestales y el Hombre en el Sur de Chile y Argentina (Forest Ecosystems and Man in Southern Chile and Argentina); Boletín Técnico No. 34; Fundación Vida Silvestre Argentina: Buenos Aires, Argentina, 1997; 147p. [Google Scholar]
- Giménez, J.E. Características y clasificación de suelos volcánicos. In Suelos y Vulcanismo; Imbellone, P., Barbosa, O., Eds.; Asociación Argentina de la Ciencia del Suelo: Buenos Aires, Argentina, 2020; pp. 33–69. [Google Scholar]
- Parfitt, R.L.; Saigusa, M.; Cowie, J.D. Allophane and halloysite formation in a volcanic ash bed under different moisture conditions. Soil Sci. 1984, 138, 360–364. [Google Scholar] [CrossRef]
- Parfitt, R.L.; Wilson, A.D. Estimation of allophane and halloysite in three sequences of volcanic soils, New Zealand. Catena 1985, 7, 1–8. [Google Scholar]
- Colmet Dâage, F.; Marcolin, A.; López, C.; Lanciotti, M.; Ayesa, J.; Bran, D.; Andenmatten, E.; Broquen, P.; Girardin, J.; Cortés, G.; et al. Características de los Suelos Derivados de Cenizas Volcánicas de la Cordillera y Precordillera del Norte de la Patagonia; Convenio INTA–ORSTOM: San Carlos de Bariloche, Río Negro, Argentina, 1988; 167p. [Google Scholar]
- Besoain, E. Los suelos. In Suelos Volcánicos de Chile; Toso, J., Ed.; Instituto de Investigaciones Agropecuarias (INIA), Ministerio de Agricultura: Santiago, Chile, 1985; pp. 25–95. [Google Scholar]
- La Manna, L.; Buduba, C.G.; Irisarri, J. Suelos volcánicos de la provincia del Chubut. In Suelos y Vulcanismo; Imbellone, P., Barbosa, O., Eds.; Asociación Argentina de la Ciencia del Suelo: Buenos Aires, Argentina, 2020; pp. 333–360. [Google Scholar]
- Valenzuela, M.F.; Irisarri, J.A.; Ferro, L.; Buduba, C.G. Caracterización Mineralógica de Suelos Desarrollados sobre Cenizas Volcánicas en el Noroeste de la Provincia del Chubut. In Proceeding of the Actas del XVIII Congreso Argentino de la Ciencia del Suelo, Puerto Madryn, Argentina, 16–19 April 2002. formato digital. [Google Scholar]
- La Manna, L.; Gaspar, L.; Tarabini, M.; Quijano, L.; Navas, A. 137Cs inventories along a climatic gradient in volcanic soils of Patagonia: Potential use for assessing medium term erosion processes. Catena 2019, 181, 104089. [Google Scholar] [CrossRef]
- Vogel, B.; Rostagno, M.; Molina, L.; Antilef, M.; La Manna, L. Cushion Shrubs Encroach Subhumid Rangelands and Form Fertility Islands along a Grazing Gradient in Patagonia. Plant Soil 2022, 475, 623–643. [Google Scholar] [CrossRef]
- Van Cleef, D.J. Determination of 226Ra in soil using 214Pb and 214Bi immediately after sampling. Health Phys. 1994, 67, 288–289. [Google Scholar] [CrossRef]
- IRAM-SAGPyA 29571-1; Calidad Ambiental–Calidad del Suelo. Determinación de Materia Orgánica en Suelos. Parte 1, Método de Pérdida por Calcinación. Instituto Argentino de Normalización y Certificación (IRAM): Buenos Aires, Argentina, 2008.
- Fieldes, M.P.; Perrot, K.W. The nature of allophane in soils. Part 3. Rapid field and laboratory test for allophane. N. Z. J. Sci. 1966, 9, 623–629. [Google Scholar]
- IRAM-SAGyP 29574; Calidad del Suelo. Determinación de pH en Suelo para Uso Agropecuario. Instituto Argentino de Normalización y Certificación (IRAM): Buenos Aires, Argentina, 2021.
- De Albuquerque Medeiros Lima, E.; Leal, A.; Da Costa Lauria, D.; Viglio, E.; Ribeiro, F.; Franzen, M. Spatial distributions of natural radionuclides in soils of the state of Pernambuco, Brazil: Influence of bedrocks, soils types and climates. J. Environ. Radioact. 2019, 211, 106046. [Google Scholar] [CrossRef]
- Guagliardi, I.; Rovella, N.; Apollaro, C.; Bloise, A.; De Rosa, R.; Scarciglia, F.; Buttafuoco, G. Effects of source rocks, soil features and climate on natural gamma radioactivity in the Crati Valley (Calabria, Southern Italy). Chemosphere 2016, 150, 97–108. [Google Scholar] [CrossRef]
- Tchorz-Trzeciakiewicz, D.E.; Kozłowska, B.; Walencik-Łata, A. Seasonal variations of terrestrial gamma dose, natural radionuclides and human health. Chemosphere 2023, 310, 136908. [Google Scholar] [CrossRef] [PubMed]
- Vukašinović, I.; Todorović, D.; Životić, L.; Kaluđerović, L.; Đorđević, A. An analysis of naturally occurring radionuclides and 137Cs in the soils of urban areas using gamma-ray spectrometry. Int. J. Environ. Sci. Technol. 2017, 15, 1049–1060. [Google Scholar] [CrossRef]
- Lanzo, G.; Basile, S.; Brai, M.; Rizzo, S. Volcanic products of Lipari (Aeolian Islands, Italy): Multivariate analysis of petrographic and radiometric data. Radiat. Meas. 2010, 45, 816–822. [Google Scholar] [CrossRef]
- Faure, G. Principles of Isotope Geology, 2nd ed.; Wiley: New York, NY, USA, 1986; p. 589. [Google Scholar]
- De Mello, D.C.; Demattê, J.A.M.; De Oliveira Mello, F.A.; Poppiel, R.R.; Silvero, N.E.; Safanelli, J.L.; Schaefer, C.E.G.R. Applied gamma-ray spectrometry for evaluating tropical soil processes and attributes. Geoderma 2021, 381, 114736. [Google Scholar] [CrossRef]
- Schaefer, C.; Moquedace, C.; Gomes, L.; Veloso, G.; Francelino, M.; De Souza, J.; Demattê, J.; Fernandes-Filho, E.; De Angeli Oliveira, I.; De Mello, D.; et al. Radiometric and magnetic susceptibility characterization of soil profiles: Geophysical data and their relationship with Antarctic periglacial processes, pedogenesis, and lithology. Catena 2023, 226, 107427. [Google Scholar] [CrossRef]
- Rabassa, J. Late Cenozoic Glaciations in Patagonia and Tierra del Fuego. In The Late Cenozoic of Patagonia and Tierra del Fuego; Rabassa, J., Ed.; Elsevier: Amsterdam, The Netherland, 2008; pp. 1–513. [Google Scholar]
- Buduba, C.G.; La Manna, L.; Irisarri, J. El suelo y el bosque en la Región Andino Patagónica. In Suelos y Vulcanismo; Imbelloni, P., Barbosa, O., Eds.; Asociación Argentina de la Ciencia del Suelo: Buenos Aires, Argentina, 2020; pp. 361–390. [Google Scholar]
- Ramos-Lerate, I.; Lozano-Bermejo, R.; Burneo, J.I.; Armijos, C.; Pinero, M.; Bolívar, J.P.; Gázquez, M.J. Radiological assessment of both unperturbed and agricultural soils from southern Ecuador. J. Agric. Food Res. 2024, 17, 101236. [Google Scholar] [CrossRef]
- Wada, K. The distinctive properties of Andosols. In Advances in Soil Science; Stewart, B.A., Ed.; Springer: New York, NY, USA, 1985; Volume 2, pp. 173–229. [Google Scholar]
- Cumberland, S.; Douglas, G.; Grice, K.; Moreau, J. Uranium Mobility in Organic Matter-Rich Sediments: A Review of Geological and Geochemical Processes. Earth-Sci. Rev. 2016, 159, 160–185. [Google Scholar] [CrossRef]
- Daga, R.; Guevara, S.R.; Arribére, M. New records of late Holocene tephras from Lake Futalaufquen (42.8° S), northern Patagonia. J. S. Am. Earth Sci. 2016, 66, 232–247. [Google Scholar] [CrossRef]
- Navas, A.; Machín, J.; Soto, J. Mobility of natural radionuclides and selected major and trace elements along a soil toposequence in the Central Spanish Pyrenees. Soil Sci. 2005, 170, 859–870. [Google Scholar] [CrossRef]
- Evans, C.V.; Morton, S.L.; Harbottle, G. Pedologic assessment of radionuclide distributions: Use of a radio-pedogenic index. Soil Sci. Soc. Am. J. 1997, 61, 1440–1449. [Google Scholar] [CrossRef]
- Ivanovich, M. Uranium Series Disequilibrium: Concepts and Applications. Radiochim. Acta 1994, 64, 81–94. [Google Scholar] [CrossRef]
- Hiraoka, M.; Imamori, N.; Shimizu, T.; Ishida, K.; Yamashita, K.; Kakihara, H. Effect of fine particle content in volcanic ash on slope surface runoff: Laboratory rainfall simulation assuming a slope with thin deposits of ashfall. Int. J. Eros. Control Eng. 2023, 16, 36–48. [Google Scholar] [CrossRef]
- Navas, A.; Quine, T.A.; Walling, D.E.; Gaspar, L.; Quijano, L.; Lizaga, I. Relating intensity of soil redistribution to land use changes in abandoned Pyrenean fields using fallout caesium-137. Land Degrad. Dev. 2017, 28, 2017–2029. [Google Scholar] [CrossRef]
- Poulenard, J.; Podwojewski, P.; Janeau, J.L.; Collinet, J. Runoff and soil erosion under rainfall simulation of Andisols from the Ecuadorian Páramo: Effect of tillage and burning. Catena 2001, 45, 185–207. [Google Scholar] [CrossRef]
- Rodríguez Rodríguez, A.; Arbelo, C.; Guerra, J.; Mora, J. Erosión hídrica en Andosoles de las Islas Canarias. Edafología 2002, 9, 23–30. [Google Scholar]
- La Manna, L.; Tarabini, M.; Gomez, F.; Rostagno, C.M. Changes in soil organic matter associated with afforestation affect erosion processes: The case of erodible volcanic soils from Patagonia. Geoderma 2021, 403, 115265. [Google Scholar] [CrossRef]
- Hernández, Z.; Almendros, G.; Carral, P.; Álvarez, A.; Knicker, H.; Pérez-Trujillo, J.P. Influence of non-crystalline minerals in the total amount, resilience and molecular composition of the organic matter in volcanic ash soils (Tenerife Island, Spain). Eur. J. Soil Sci. 2012, 63, 603–615. [Google Scholar] [CrossRef]
- La Manna, L.; Gaspar, L.; Rostagno, C.M.; Quijano, L.; Navas, A. Soil changes associated with land use in volcanic soils of Patagonia developed on dynamic landscapes. Catena 2018, 166, 229–239. [Google Scholar] [CrossRef]
- Le, C.; Huynh, N.; Nguyen, V. Accumulation rates of natural radionuclides (40K, 210Pb, 226Ra, 238U, and 232Th) in topsoils due to long-term cultivations of water spinach (Ipomoea aquatica Forssk.) and rice (Oryza sativa L.) based on model assessments: A case study in Dong Nai province, Vietnam. J. Environ. Manag. 2020, 271, 111001. [Google Scholar] [CrossRef]
- Stimac, I.; Rubiano, J.; Arriola-Velásquez, A.; Alonso, H.; Geibert, W.; Tejera, A.; Guerra, J.; Cámara, F.; Martel, P. 226Ra, 228Ra and 40K as tracers of erosion and accumulation processes: A 3-year study on a beach with different sediment dynamics. Catena 2021, 204, 105705. [Google Scholar] [CrossRef]
- Maloș, C.; Kovács, T.; Savin, C.; Veres, D.; Muntean, O.; Kelemen, S.; Begy, R. Investigation of the effect of anthropogenic land use on the Pănăzii Lake (Romania) catchment area using Cs-137 and Pb-210 radionuclides. PLoS ONE 2021, 16, e0251603. [Google Scholar] [CrossRef]
- Navas, A.; Gaspar, L.; López-Vicente, M.; Machín, J. Spatial distribution of natural and artificial radionuclides at the catchment scale (South Central Pyrenees). Radiat. Meas. 2011, 46, 261–269. [Google Scholar] [CrossRef]





| Soils Clasification * | Xerolls | Xerands | Udands | |
|---|---|---|---|---|
| Site | Esquel | Trevelin | Los Alerces National Park | |
| Precipitation (mm year−1) | 750 | 950 | 1400 | |
| Radionuclides mass-specific activity (Bq Kg−1) | p value | |||
| 40K | 402.7 ± 21.6 b (276–545) | 368.2 ± 14.3 ab (323–413) | 299.7 ± 8.5 a (270–320) | 0.028 |
| 210Pb | 10.3 ± 0.9 b (3–17) | 4.9 ± 0.6 a (2–6) | 6.7 ± 1.9 ab (3–14) | 0.011 |
| 226Ra | 16.5 ± 1.0 (11–22) | 19.0 ± 1.5 (17–25) | 17.3 ± 2.2 (12–25) | 0.455 |
| 232Th | 19.6 ± 0.6 (17–25) | 19.9 ± 1.1 (17–24) | 17.0 ± 0.2 (16–17) | 0.062 |
| 238U | 27.1 ± 2.0 (14–38) | 32.5 ± 1.0 (30–35) | 29.1 ± 1.3 (25–33) | 0.250 |
| Soil properties | p value | |||
| Organic matter (%) | 10.8 ± 0.8 (4–22) | 12.5 ± 1.3 (6–19) | 13.3 ± 0.6 (10–22) | 0.076 |
| pH H2O | 6.6 ± 0.1 b (5.6–7.6) | 5.9 ± 0.1 a (5.7–6.2) | 5.9 ± 0.1 a (5.5–6.1) | <0.001 |
| pH NaF (2 min) | 8.2 ± 0.1 a (7.3–9.1) | 8.9 ± 0.1 b (8.0–9.9) | 10.3 ± 0.1 c (9.1–10.9) | <0.001 |
| pH NaF (60min) | 8.8 ± 0.1 a (7.7–9.7) | 9.8 ± 0.2 b (9.0–10.7) | 11.2 ± 0.1 c (10.4–11.4) | <0.001 |
| Clay (%) | 4.8 ± 0.3 a (2–9) | 9.7 ± 0.7 b (7–16) | 4.8 ± 0.2 a (4–7) | <0.001 |
| Silt (%) | 36.8 ± 2.1 a (13–64) | 51.7 ± 1.7 b (41–64) | 47.5 ± 0.9 b (39–55) | <0.001 |
| Sand (%) | 58.5 ± 2.3 c (31–84) | 38.7 ± 1.6 a (28–49) | 47.7 ± 1.0 b (40–57) | <0.001 |
| (A) | 40K | 210Pb | 226Ra | 232Th | 238U |
| Sand | 0.608 | 0.472 | 0.300 | 0.341 | 0.267 |
| Silt | −0.671 | −0.452 | −0.369 | −0.412 | −0.344 |
| Clay | −0.006 | −0.426 | 0.071 | −0.179 | 0.043 |
| pH H2O | 0.084 | 0.437 | −0.295 | 0.415 | −0.332 |
| pH NaF 2′ | −0.730 | −0.393 | −0.259 | −0.521 | −0.146 |
| pH NaF 60′ | −0.511 | −0.502 | 0.043 | −0.314 | 0.184 |
| Organic matter | −0.744 | −0.016 | −0.338 | −0.531 | −0.53 |
| (B) | 40K | 210Pb | 226Ra | 232Th | 238U |
| Sand | 0.573 | −0.150 | 0.157 | 0.198 | 0.150 |
| Silt | −0.590 | 0.183 | −0.191 | −0.236 | −0.177 |
| Clay | −0.299 | 0.042 | −0.076 | −0.098 | −0.102 |
| pH NaF 2′ | −0.351 | −0.158 | −0.014 | 0.023 | 0.304 |
| pH NaF 60′ | −0.237 | −0.189 | 0.150 | 0.163 | 0.427 |
| Organic matter | −0.633 | 0.426 | −0.114 | −0.475 | −0.107 |
| (A) Afforestation | |||||
| Properties | 40K | 210Pb | 226Ra | 232Th | 238U |
| Sand | 0.857 | 0.399 | 0.410 | 0.231 | 0.299 |
| Silt | −0.887 | −0.406 | −0.359 | −0.204 | −0.294 |
| Clay | −0.793 | −0.424 | −0.433 | −0.256 | −0.274 |
| pH NaF 2′ | −0.353 | −0.004 | 0.499 | 0.601 | −0.007 |
| pH NaF 60′ | −0.404 | −0.072 | 0.557 | 0.464 | 0.061 |
| Organic matter | −0.495 | −0.003 | −0.193 | 0.001 | −0.358 |
| Slope position | 0.445 | −0.042 | −0.413 | −0.190 | 0.108 |
| Slope gradient | −0.441 | −0.412 | −0.278 | −0.328 | −0.072 |
| (B) Rangeland | |||||
| Properties | 40K | 210Pb | 226Ra | 232Th | 238U |
| Sand | −0.019 | −0.203 | 0.360 | −0.343 | 0.094 |
| Silt | 0.009 | 0.277 | −0.419 | 0.303 | −0.131 |
| Clay | 0.286 | 0.120 | −0.350 | 0.417 | −0.164 |
| pH NaF 2′ | 0.119 | −0.156 | 0.179 | −0.268 | −0.099 |
| pH NaF 60′ | 0.066 | −0.426 | 0.185 | −0.306 | 0.218 |
| Organic matter | −0.658 | 0.528 | −0.503 | 0.065 | −0.087 |
| Slope position | 0.499 | 0.593 | −0.319 | 0.012 | −0.808 |
| Slope gradient | −0.337 | 0.164 | −0.061 | −0.374 | 0.008 |
Disclaimer/Publisher’s Note: The statements, opinions and data contained in all publications are solely those of the individual author(s) and contributor(s) and not of MDPI and/or the editor(s). MDPI and/or the editor(s) disclaim responsibility for any injury to people or property resulting from any ideas, methods, instructions or products referred to in the content. |
© 2025 by the authors. Licensee MDPI, Basel, Switzerland. This article is an open access article distributed under the terms and conditions of the Creative Commons Attribution (CC BY) license (https://creativecommons.org/licenses/by/4.0/).
Share and Cite
La Manna, L.; Gaspar, L.; González Comunian, D.; Navas, A. Assessment of Environmental Radionuclides and Controlling Factors in Volcanic Soils of Andean Patagonia. Geosciences 2025, 15, 348. https://doi.org/10.3390/geosciences15090348
La Manna L, Gaspar L, González Comunian D, Navas A. Assessment of Environmental Radionuclides and Controlling Factors in Volcanic Soils of Andean Patagonia. Geosciences. 2025; 15(9):348. https://doi.org/10.3390/geosciences15090348
Chicago/Turabian StyleLa Manna, Ludmila, Leticia Gaspar, Dubraska González Comunian, and Ana Navas. 2025. "Assessment of Environmental Radionuclides and Controlling Factors in Volcanic Soils of Andean Patagonia" Geosciences 15, no. 9: 348. https://doi.org/10.3390/geosciences15090348
APA StyleLa Manna, L., Gaspar, L., González Comunian, D., & Navas, A. (2025). Assessment of Environmental Radionuclides and Controlling Factors in Volcanic Soils of Andean Patagonia. Geosciences, 15(9), 348. https://doi.org/10.3390/geosciences15090348

