Fine-Scale Stratigraphic Identification Using Machine Learning Trained on Multi-Site CPTU Data
Abstract
1. Introduction
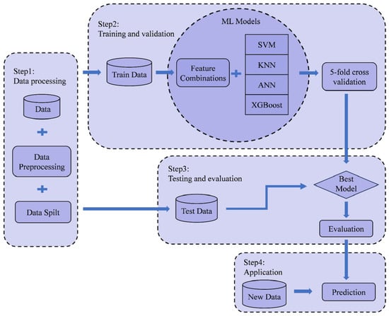
2. Methodologies
2.1. CPTU Dataset
2.2. CPTU Data Processing
2.2.1. Classification Method
2.2.2. Dataset Partitioning
2.2.3. Data Standardization
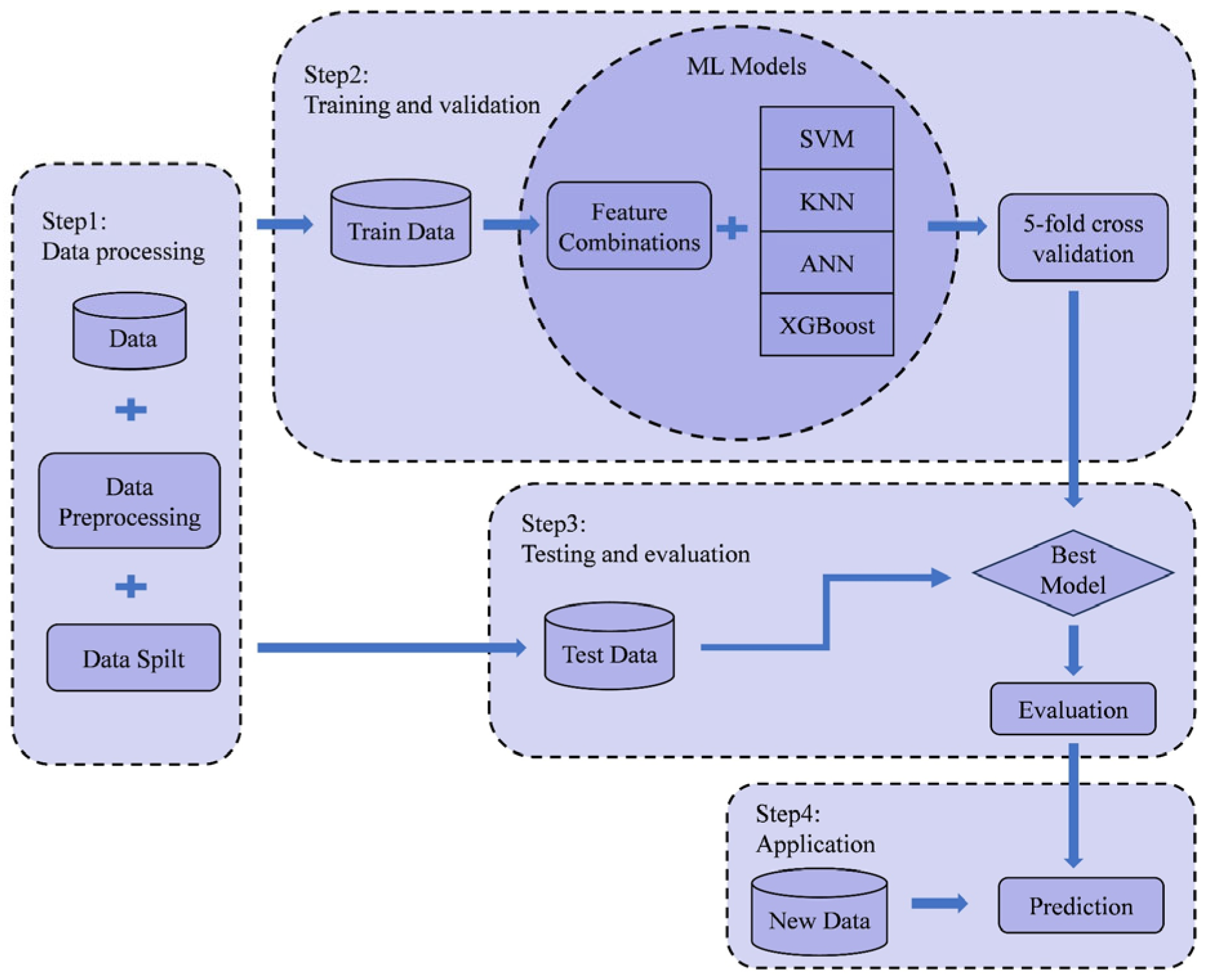
2.3. Machine Learning Model
2.4. Performance Evaluation Metrics
3. Results
3.1. Performance Evaluation on the Test Set
3.1.1. Performance Evaluation on the Richmond Test Set
3.1.2. Performance Evaluation on the Port Nelson Test Set
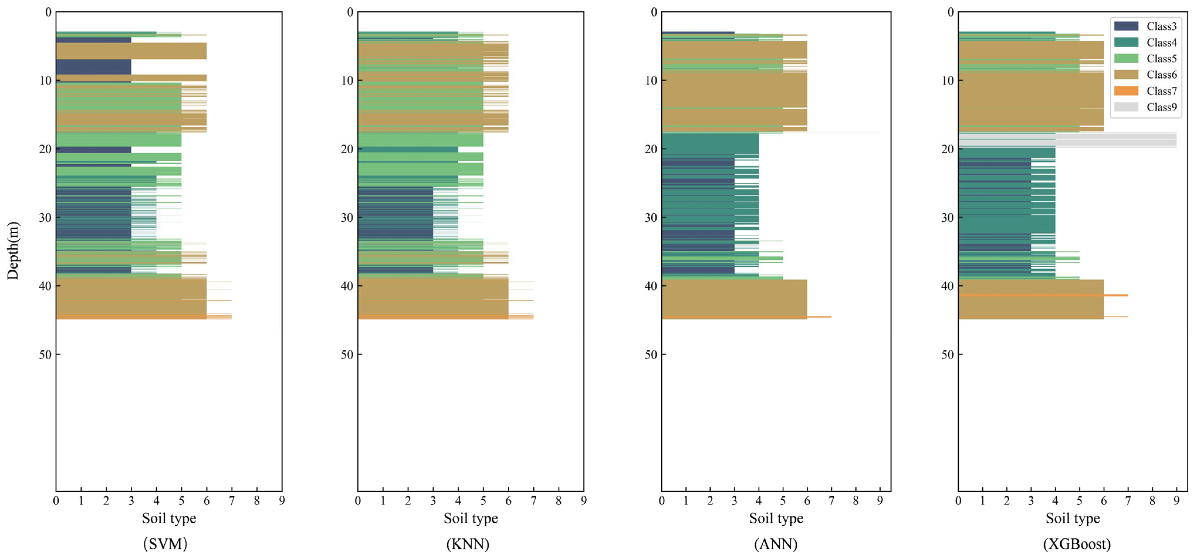
3.1.3. Performance Evaluation on the Hollywood Test Set
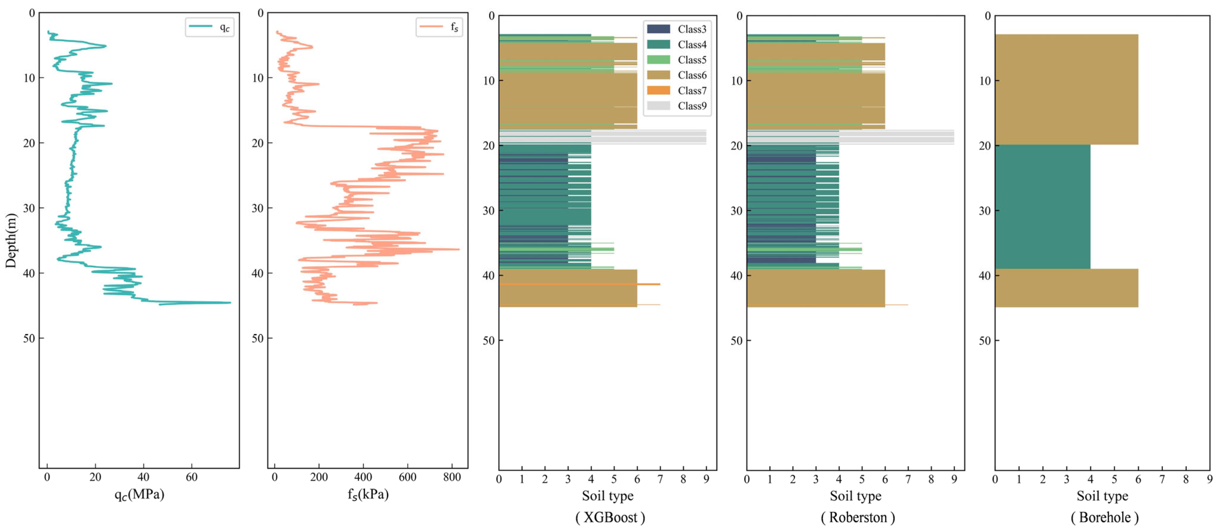
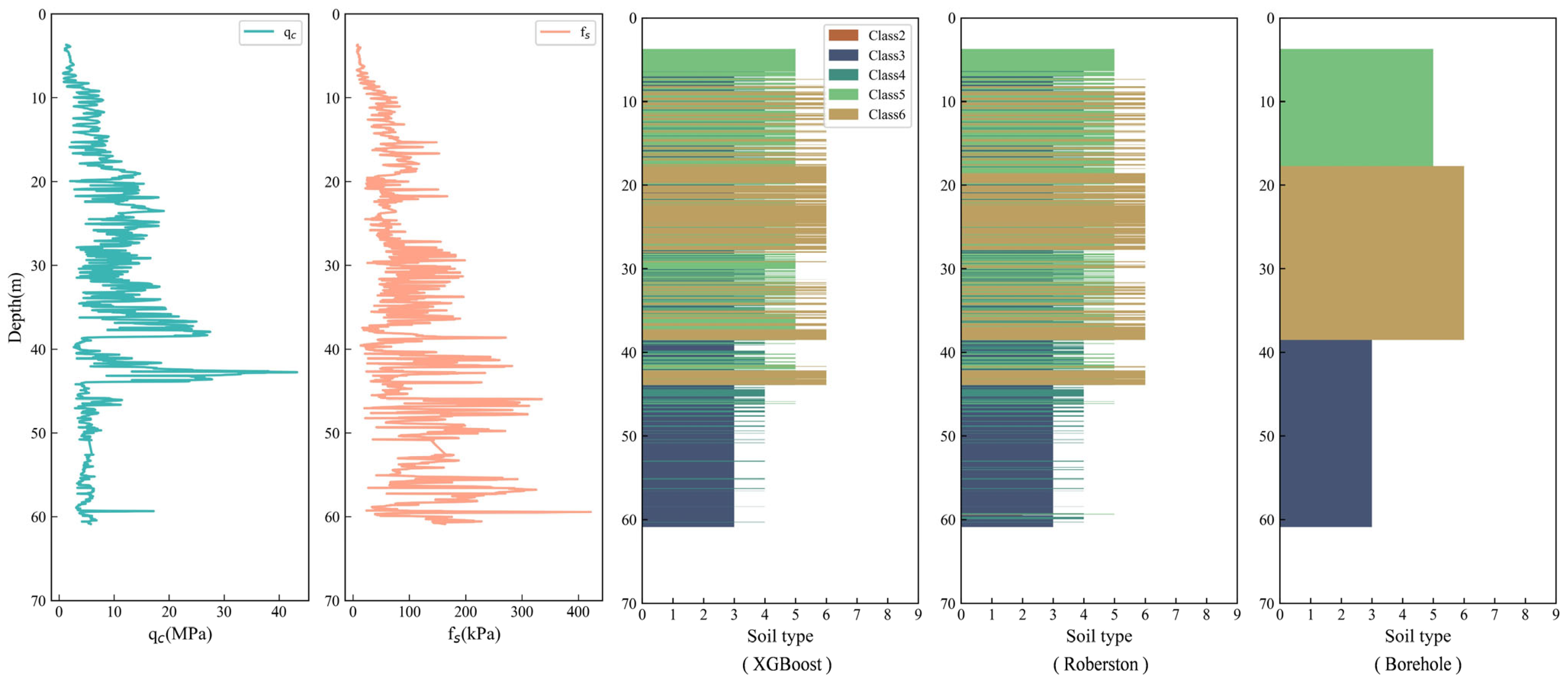
3.2. Stratigraphic Prediction on Unseen CPTU Data
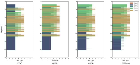
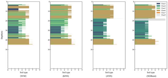
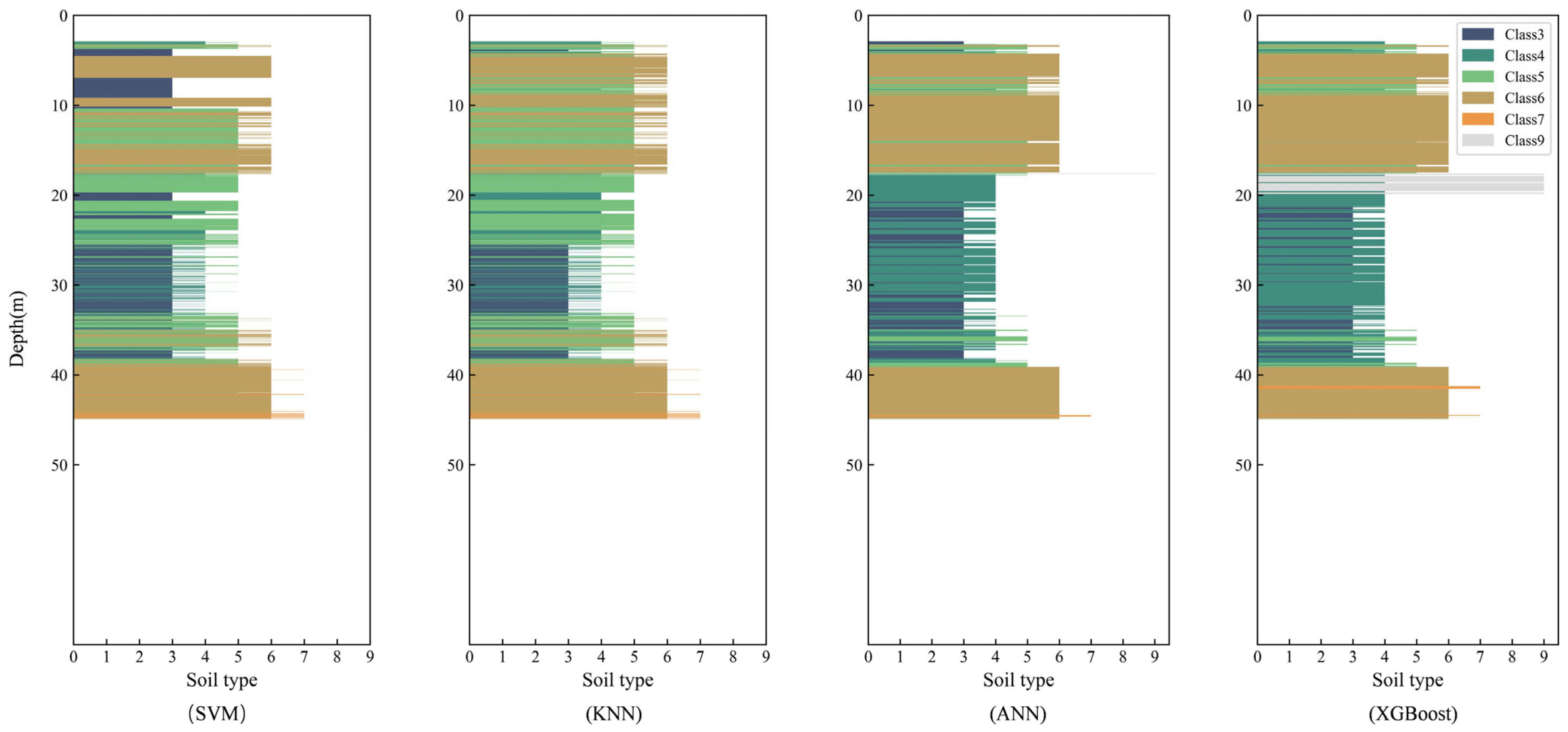
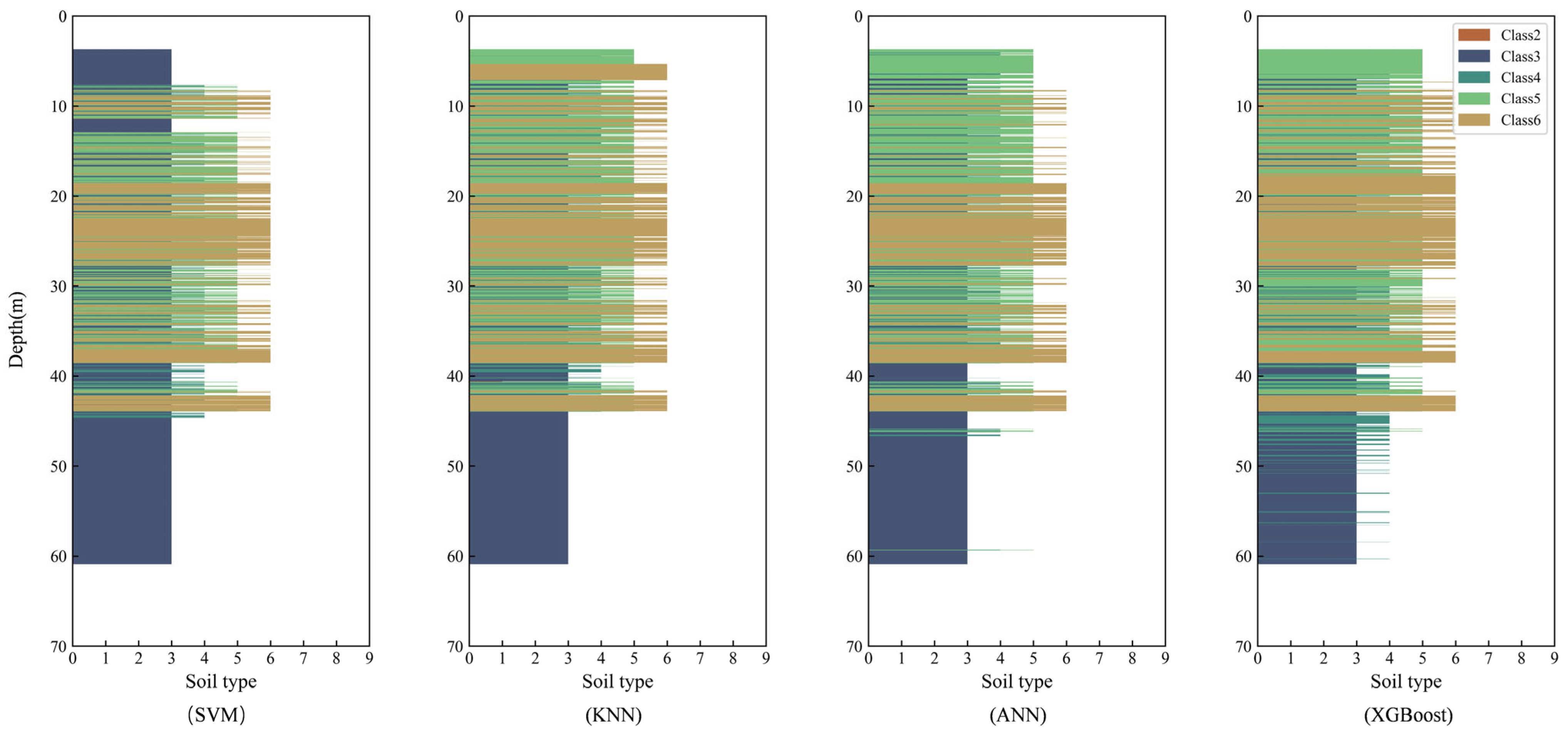
3.2.1. CPTU Data from Guangzhou
3.2.2. CPTU Data from New Lock
3.3. Feature Importance Analysis
4. Discussion
5. Conclusions
- (1)
- The dataset for this study integrates the Premstaller Geotechnik database, the Global-CPT/3/1196 database, and a Chinese engineering project database. It encompasses samples from multiple countries and diverse geological environments (basins, valleys, glaciers, and deltas).
- (2)
- The model using the feature set Depth, qt, Rf, Bq, Fr, u2, and the XGBoost algorithm performed best. Compared with SVM, KNN, and ANN, XGBoost can better capture nonlinear relationships and handle class imbalance in soil classification, while its regularization effectively reduces the risk of overfitting, leading to better predictive reliability.
- (3)
- The model demonstrates strong predictive capability when applied to new sites, showing well adaptability to unseen data. In engineering practice, it can be used as a rapid and cost-effective tool for preliminary stratigraphic interpretation and soil-type identification in tunneling, foundation, and slope projects, supplementing conventional borehole investigations.
Author Contributions
Funding
Data Availability Statement
Acknowledgments
Conflicts of Interest
References
- Begemann, H.K.S. The Friction Jacket Cone as an Aid in Determining the Soil Profile. In Proceedings of the Sixth International Conference on Soil Mechanics and Foundation Engineering, Montreal, QC, Canada, 8–15 September 1965; ISSMGE: Montreal, QC, Canada, 1965; pp. 17–20. [Google Scholar]
- Schmertmann, J.H. Guidelines for Cone Penetration Test: Performance and Design; U.S. Department of Transportation: Washington, DC, USA, 1978. [Google Scholar]
- Douglas, B.J.; Olsen, R.S. Soil Classification Using Electric Cone Penetrometer. In Proceedings of the Conference on Cone Penetration Testing and Experience, St. Louis, MO, USA, 26–30 October 1981; ASCE: St. Louis, MO, USA, 1981; pp. 209–227. [Google Scholar]
- Robertson, P.K.; Campanella, R.G. Interpretation of Cone Penetration Tests. Part I: Sand. Can. Geotech. J. 1983, 20, 718–733. [Google Scholar] [CrossRef]
- Robertson, P.K. Soil Classification Using the Cone Penetration Test. Can. Geotech. J. 1990, 27, 151–158. [Google Scholar] [CrossRef]
- Jefferies, M.; Davies, M. Use of CPTu to Estimate Equivalent SPT N60. Geotech. Test. J. 1993, 16, 458–468. [Google Scholar] [CrossRef]
- Schneider, J.A.; Randolph, M.F.; Mayne, P.W.; Ramsey, N.R. Analysis of Factors Influencing Soil Classification Using Normalized Piezocone Tip Resistance and Pore Pressure Parameters. J. Geotech. Geoenviron. Eng. 2008, 134, 1569–1586. [Google Scholar] [CrossRef]
- Robertson, P.K. Cone Penetration Test (CPT)-Based Soil Behaviour Type (SBT) Classification System—An Update. Can. Geotech. J. 2016, 53, 1910–1927. [Google Scholar] [CrossRef]
- Eslami, A.; Heidarie Golafzani, S.; Naghibi, M.H. Developed Triangular Charts; Deltaic CPTu-Based Soil Behavior Classification Using AUT: CPTu-Geo-Marine Database. Probabilistic Eng. Mech. 2023, 71, 103380. [Google Scholar] [CrossRef]
- Hegazy, Y.A.; Mayne, P.W. Objective Site Characterization Using Clustering of Piezocone Data. J. Geotech. Geoenviron. Eng. 2002, 128, 986–996. [Google Scholar] [CrossRef]
- Facciorusso, J.; Uzielli, M. Stratigraphic Profiling by Cluster Analysis and Fuzzy Soil Classification from Mechanical Cone Penetration Tests. In Proceedings of the 2nd International Conference on Site Characterization ISC-2, Porto, Portugal, 19–22 September 2004; Millpress: Rotterdam, The Netherlands, 2004; pp. 905–912. [Google Scholar]
- Liao, T.; Mayne, P.W. Stratigraphic Delineation by Three-Dimensional Clustering of Piezocone Data. Georisk Assess. Manag. Risk Eng. Syst. Geohazards 2007, 1, 102–119. [Google Scholar] [CrossRef]
- Das, S.K.; Basudhar, P.K. Utilization of Self-Organizing Map and Fuzzy Clustering for Site Characterization Using Piezocone Data. Comput. Geotech. 2009, 36, 241–248. [Google Scholar] [CrossRef]
- Wang, X.; Wang, H.; Liang, R.Y.; Liu, Y. A Semi-Supervised Clustering-Based Approach for Stratification Identification Using Borehole and Cone Penetration Test Data. Eng. Geol. 2019, 248, 102–116. [Google Scholar] [CrossRef]
- Carvalho, L.O.; Ribeiro, D.B. Application of Kernel K-Means and Kernel x-Means Clustering to Obtain Soil Classes from Cone Penetration Test Data. Soils Rocks 2020, 43, 607–618. [Google Scholar] [CrossRef]
- Hudson, K.S.; Ulmer, K.J.; Zimmaro, P.; Kramer, S.L.; Stewart, J.P.; Brandenberg, S.J. Unsupervised Machine Learning for Detecting Soil Layer Boundaries from Cone Penetration Test Data. Earthq. Eng. Struct. Dyn. 2023, 52, 3201–3215. [Google Scholar] [CrossRef]
- Jung, B.-C.; Gardoni, P.; Biscontin, A. Probabilistic Soil Identification Based on Cone Penetration Tests. Géotechnique 2008, 58, 591–603. [Google Scholar] [CrossRef]
- Cetin, K.O.; Ozan, C. CPT-Based Probabilistic Soil Characterization and Classification. J. Geotech. Geoenviron. Eng. 2009, 135, 84–107. [Google Scholar] [CrossRef]
- Wang, Y.; Huang, K.; Cao, Z. Probabilistic Identification of Underground Soil Stratification Using Cone Penetration Tests. Can. Geotech. J. 2013, 50, 766–776. [Google Scholar] [CrossRef]
- Depina, I.; Le, T.M.H.; Eiksund, G.; Strøm, P. Cone Penetration Data Classification with Bayesian Mixture Analysis. Georisk Assess. Manag. Risk Eng. Syst. Geohazards 2016, 10, 27–41. [Google Scholar] [CrossRef]
- Cao, Z.-J.; Zheng, S.; Li, D.-Q.; Phoon, K.-K. Bayesian Identification of Soil Stratigraphy Based on Soil Behaviour Type Index. Can. Geotech. J. 2019, 56, 570–586. [Google Scholar] [CrossRef]
- Hu, Y.; Wang, Y. Probabilistic Soil Classification and Stratification in a Vertical Cross-Section from Limited Cone Penetration Tests Using Random Field and Monte Carlo Simulation. Comput. Geotech. 2020, 124, 103634. [Google Scholar] [CrossRef]
- Várady, C.; Tenório, J.; Silva, E.; Lima Junior, E.; Santos, J.; Dias, R.; Cutrim, F. Bayesian-Based Approach in Soil Characterization for Tophole Design. SPE J. 2024, 29, 5792–5803. [Google Scholar] [CrossRef]
- Han, X.; Gong, W.; Juang, C.H. Probabilistic Evaluation of Earthquake-Induced Liquefaction Using Bayesian Network Based on a Side-by-Side SPT–CPT Database. Can. Geotech. J. 2024, 61, 2653–2666. [Google Scholar] [CrossRef]
- Kurup, P.U.; Griffin, E.P. Prediction of Soil Composition from CPT Data Using General Regression Neural Network. J. Comput. Civ. Eng. 2006, 20, 281–289. [Google Scholar] [CrossRef]
- Arel, E. Predicting the Spatial Distribution of Soil Profile in Adapazari/Turkey by Artificial Neural Networks Using CPT Data. Comput. Geosci. 2012, 43, 90–100. [Google Scholar] [CrossRef]
- Cai, G.; Liu, S.; Puppala, A.J.; Tong, L. Identification of Soil Strata Based on General Regression Neural Network Model from CPTU Data. Mar. Georesources Geotechnol. 2015, 33, 229–238. [Google Scholar] [CrossRef]
- Miao, Y.; Bai, G. Soil Layer Interface Identification Using Piezocone Penetration Test Based on Probabilistic Neural Network. J. Univ. Jinan Sci. Technol. 2017, 31, 279–284. [Google Scholar]
- Reale, C.; Gavin, K.; Librić, L.; Jurić-Kaćunić, D. Automatic Classification of Fine-Grained Soils Using CPT Measurements and Artificial Neural Networks. Adv. Eng. Inform. 2018, 36, 207–215. [Google Scholar] [CrossRef]
- Ghaderi, A.; Abbaszadeh Shahri, A.; Larsson, S. An Artificial Neural Network Based Model to Predict Spatial Soil Type Distribution Using Piezocone Penetration Test Data (CPTu). Bull. Eng. Geol. Environ. 2019, 78, 4579–4588. [Google Scholar] [CrossRef]
- Erharter, G.H.; Oberhollenzer, S.; Fankhauser, A.; Marte, R.; Marcher, T. Learning Decision Boundaries for Cone Penetration Test Classification. Comput.-Aided Civ. Infrastruct. Eng. 2021, 36, 489–503. [Google Scholar] [CrossRef]
- Carvalho, L.O.; Ribeiro, D.B. Soil Classification System from Cone Penetration Test Data Applying Distance-Based Machine Learning Algorithms. Soils Rocks 2019, 42, 167–178. [Google Scholar] [CrossRef]
- Godoy, C.; Depina, I.; Thakur, V. Application of Machine Learning to the Identification of Quick and Highly Sensitive Clays from Cone Penetration Tests. J. Zhejiang Univ.-Sci. A 2020, 21, 445–461. [Google Scholar] [CrossRef]
- Rauter, S.; Tschuchnigg, F. CPT Data Interpretation Employing Different Machine Learning Techniques. Geosciences 2021, 11, 265. [Google Scholar] [CrossRef]
- Carvalho, L.O.; Ribeiro, D.B. A Multiple Model Machine Learning Approach for Soil Classification from Cone Penetration Test Data. Soils Rocks 2021, 44, 1–14. [Google Scholar] [CrossRef]
- Chala, A.T.; Ray, R. Assessing the Performance of Machine Learning Algorithms for Soil Classification Using Cone Penetration Test Data. Appl. Sci. 2023, 13, 5758. [Google Scholar] [CrossRef]
- Faraz Athar, M.; Khoshnevisan, S.; Sadik, L. CPT-Based Soil Classification through Machine Learning Techniques. In Proceedings of the Geo-Congress 2023 Geotechnical Systems from Pore-Scale to City-Scale, Los Angeles, CA, USA, 26–29 March 2023; ASCE: Los Angeles, CA, USA, 2023; pp. 277–292. [Google Scholar]
- Xiao, T.; Zou, H.-F.; Yin, K.-S.; Du, Y.; Zhang, L.-M. Machine Learning-Enhanced Soil Classification by Integrating Borehole and CPTU Data with Noise Filtering. Bull. Eng. Geol. Environ. 2021, 80, 9157–9171. [Google Scholar] [CrossRef]
- Wu, S.; Zhang, J.-M.; Wang, R. Machine Learning Method for CPTu Based 3D Stratification of New Zealand Geotechnical Database Sites. Adv. Eng. Inform. 2021, 50, 101397. [Google Scholar] [CrossRef]
- Bai, R.; Shen, F.; Zhang, Z. An Integrated Machine-Learning Model for Soil Category Classification Based on CPT. Multiscale Multidiscip. Model. Exp. Des. 2024, 7, 2121–2146. [Google Scholar] [CrossRef]
- Sottile, M.; Crocker, J.; Roldan, L. Interpretation of CPTu Data Using Machine Learning Techniques to Develop the Ground Model of a Dam. In Proceedings of the 7th International Conference on Geotechnical and Geophysical Site Characterization, Barcelona, Spain, 18–21 June 2024; CIMNE: Barcelona, Spain, 2024; pp. 1–8. [Google Scholar]
- Xie, J.; Zeng, C.; Huang, J.; Zhang, Y.; Lu, J. A Back Analysis Scheme for Refined Soil Stratification Based on Integrating Borehole and CPT Data. Geosci. Front. 2024, 15, 101688. [Google Scholar] [CrossRef]
- Oberhollenzer, S.; Premstaller, M.; Marte, R.; Tschuchnigg, F.; Erharter, G.H.; Marcher, T. Cone Penetration Test Dataset Premstaller Geotechnik. Data Brief 2021, 34, 106618. [Google Scholar] [CrossRef]
- Ching, J.; Uzielli, M.; Phoon, K.-K.; Xu, X. Characterization of Autocovariance Parameters of Detrended Cone Tip Resistance from a Global CPT Database. J. Geotech. Geoenviron. Eng. 2023, 149, 04023090. [Google Scholar] [CrossRef]
- Wang, Y.; Wang, Y.; Kong, L.; Chen, C.; Guo, A. Identification of Shallow Gas-Bearing Strata Based on in Situ Multi-Function Piezocone Penetration Test and Its Application. Rock Soil Mech. 2022, 43, 3474–3483. [Google Scholar]
- Robertson, P.K.; Campanella, R.G.; Gillespie, D.; Greig, J. Use of Piezometer Cone Data. In Proceedings of the ASCE Specialty Conference Situ 86 Use of In Situ Tests in Geotechnical Engineering, Blacksburg, VA, USA, 23–25 June 1986; ASCE: Blacksburg, VA, USA, 1986; pp. 1263–1280. [Google Scholar]
- Robertson, P.K.; Wride, C.E. Evaluating Cyclic Liquefaction Potential Using the Cone Penetration Test. Can. Geotech. J. 1998, 35, 442–459. [Google Scholar] [CrossRef]
- Robertson, P.K. Interpretation of Cone Penetration Tests - A Unified Approach. Can. Geotech. J. 2009, 46, 1337–1355. [Google Scholar] [CrossRef]
- Entezari, I.; Sharp, J.; Mayne, P. A Data-Driven Approach to Predict Shear Wave Velocity from CPTu Measurements: An Update. In Proceedings of the 7th International Conference on Geotechnical and Geophysical Site Characterization, Barcelona, Spain, 18–21 June 2024; CIMNE: Barcelona, Spain, 2024; pp. 374–380. [Google Scholar]
- Zhou, X.; Shi, P. UNet-like Transformer for 1D Soil Stratification Using Cone Penetration Test and Borehole Data. Eng. Geol. 2024, 343, 107795. [Google Scholar] [CrossRef]









| Database | Country | Site | Soundings | Samples | Depth Range (m) | Mean qc (MPa) | Mean fs (kPa) | Mean u2 (kPa) |
|---|---|---|---|---|---|---|---|---|
| Premstaller Geotechnik | Austria | Salzburg Basin | 30 | 67,787 | 0.01–40.01 | 7.45 | 51.97 | 300.15 |
| Salzach Valley | 1 | 1319 | 0.01–13.90 | 15.68 | 121.62 | 41.70 | ||
| Zell Basin | 27 | 67,892 | 0.01–49.94 | 3.49 | 36.56 | 129.12 | ||
| Grossarl Valley | 3 | 3218 | 0.01–16.84 | 10.26 | 355.11 | 6.45 | ||
| Flachgau | 11 | 11,382 | 0.01–20.68 | 4.54 | 85.91 | 54.99 | ||
| Enns Valley | 8 | 10,844 | 0.01–44.94 | 7.91 | 53.84 | 133.44 | ||
| Mondsee Basin | 3 | 1531 | 0.12–7.33 | 3.53 | 67.42 | 11.98 | ||
| Global- CPT/3/1196 | New Zealand | Marshland | 24 | 22,562 | 0.01–15.00 | 7.51 | 47.86 | −17.87 |
| Tauranga | 28 | 66,945 | 0.01–32.89 | 6.43 | 92.79 | 97.62 | ||
| Hastings | 13 | 32,500 | 0.50–30.80 | 6.87 | 62.73 | 145.45 | ||
| Richmond | 13 | 10,513 | 0.01–9.69 | 5.34 | 208.91 | −33.09 | ||
| Port Nelson | 27 | 10,659 | 0.01–14.00 | 4.88 | 53.18 | 5.58 | ||
| Whangārei | 30 | 21,047 | 0.01–14.96 | 3.26 | 88.99 | 135.04 | ||
| Lower Hutt | 29 | 28,153 | 0.01–9.90 | 14.91 | 106.85 | −39.73 | ||
| The Netherlands | Leiden | 29 | 33,773 | 0.31–12.29 | 0.41 | 14.02 | 75.59 | |
| USA | Baytown | 9 | 3862 | 0.02–15.34 | 2.23 | 90.43 | −2.38 | |
| Hollywood | 25 | 16,425 | 0.02–13.62 | 5.23 | 45.86 | 85.68 | ||
| Missouri | 7 | 2526 | 0.05–24.05 | 7.77 | 329.20 | 23.68 | ||
| Italy | Bologna | 34 | 38,844 | 0.04–35.30 | 2.18 | 81.31 | 304.09 | |
| Japan | Oda River | 25 | 1780 | 0.05–10.90 | 4.35 | 34.79 | 18.09 | |
| China | Suqian | 10 | 4016 | 0.05–22.15 | 5.27 | 65.15 | 52.28 | |
| Chinese engineering project | China | Shanghai | 5 | 34,203 | 4.45–69.88 | 9.72 | 38.57 | 534.18 |
| Total | 391 | 491,781 | ||||||
| Dataset | Country | Class 1 | Class 2 | Class 3 | Class 4 | Class 5 | Class 6 | Class 7 | Class 8 | Class 9 | Total |
|---|---|---|---|---|---|---|---|---|---|---|---|
| Train set | Austria | 1769 | 5246 | 51,763 | 23,679 | 42,646 | 31,396 | 3868 | 1545 | 2061 | 163,973 |
| New Zealand | 512 | 688 | 22,899 | 27,969 | 40,688 | 58,919 | 9383 | 2839 | 7310 | 171,207 | |
| The Netherlands | 29 | 18,732 | 9470 | 3184 | 2318 | 34 | 0 | 0 | 6 | 33,773 | |
| USA | 0 | 21 | 2190 | 2022 | 528 | 89 | 40 | 134 | 1364 | 6388 | |
| Italy | 1 | 1648 | 30,074 | 3704 | 1561 | 1222 | 23 | 23 | 588 | 38,844 | |
| Japan | 30 | 25 | 519 | 187 | 231 | 702 | 8 | 41 | 37 | 1780 | |
| China | 1074 | 10 | 3148 | 4989 | 16,952 | 11,989 | 44 | 13 | 0 | 38,219 | |
| Test set | New Zealand (Richmond) | 15 | 32 | 1150 | 1311 | 1722 | 1035 | 17 | 1350 | 3881 | 10,513 |
| New Zealand (Port Nelson) | 226 | 502 | 1940 | 1694 | 1896 | 3982 | 194 | 143 | 82 | 10,659 | |
| USA (Hollywood) | 24 | 80 | 1545 | 2055 | 4064 | 8049 | 280 | 205 | 123 | 16,425 |
| Predicted | |||
|---|---|---|---|
| Positive | Negative | ||
| Actual | Positive | True Positive (TP) | False Negative (FN) |
| Negative | False Positive (FP) | True Negative (TN) | |
| Feature Combinations | Algorithms | Balanced Accuracy | F1-Weighted | Kappa |
|---|---|---|---|---|
| Depth, qc, fs, u2 | SVM | 0.531 | 0.625 | 0.576 |
| KNN | 0.632 | 0.657 | 0.642 | |
| ANN | 0.641 | 0.667 | 0.652 | |
| XGBoost | 0.814 | 0.944 | 0.923 | |
| Depth, qt, Rf, Bq | SVM | 0.628 | 0.689 | 0.653 |
| KNN | 0.735 | 0.766 | 0.758 | |
| ANN | 0.752 | 0.782 | 0.763 | |
| XGBoost | 0.846 | 0.948 | 0.928 | |
| Depth, qt, Rf, Bq, Fr, u2 | SVM | 0.762 | 0.792 | 0.774 |
| KNN | 0.832 | 0.851 | 0.848 | |
| ANN | 0.829 | 0.871 | 0.843 | |
| XGBoost | 0.929 | 0.966 | 0.956 |
| Richmond | Confusion Matrix | |||||||||
|---|---|---|---|---|---|---|---|---|---|---|
| Predicted | ||||||||||
| 1 | 2 | 3 | 4 | 5 | 6 | 7 | 8 | 9 | ||
| Actual | 1 | 13 | 0 | 0 | 0 | 1 | 1 | 0 | 0 | 0 |
| 2 | 0 | 25 | 7 | 0 | 0 | 0 | 0 | 0 | 0 | |
| 3 | 0 | 0 | 1127 | 13 | 0 | 0 | 0 | 0 | 10 | |
| 4 | 0 | 0 | 16 | 1256 | 11 | 0 | 0 | 0 | 28 | |
| 5 | 0 | 0 | 0 | 19 | 1656 | 27 | 0 | 20 | 0 | |
| 6 | 3 | 0 | 0 | 0 | 27 | 1004 | 0 | 1 | 0 | |
| 7 | 1 | 0 | 0 | 0 | 0 | 0 | 16 | 0 | 0 | |
| 8 | 0 | 0 | 0 | 4 | 38 | 25 | 0 | 1246 | 37 | |
| 9 | 0 | 0 | 25 | 30 | 0 | 0 | 0 | 16 | 3810 | |
| Feature Combinations | Algorithms | Balanced Accuracy | F1-Weighted | Kappa |
|---|---|---|---|---|
| Depth, qc, fs, u2 | SVM | 0.573 | 0.618 | 0.603 |
| KNN | 0.665 | 0.692 | 0.675 | |
| ANN | 0.702 | 0.783 | 0.751 | |
| XGBoost | 0.827 | 0.883 | 0.848 | |
| Depth, qt, Rf, Bq | SVM | 0.632 | 0.674 | 0.658 |
| KNN | 0.725 | 0.753 | 0.748 | |
| ANN | 0.718 | 0.743 | 0.724 | |
| XGBoost | 0.923 | 0.961 | 0.947 | |
| Depth, qt, Rf, Bq, Fr, u2 | SVM | 0.743 | 0.782 | 0.765 |
| KNN | 0.835 | 0.882 | 0.867 | |
| ANN | 0.848 | 0.872 | 0.865 | |
| XGBoost | 0.937 | 0.969 | 0.959 |
| Port Nelson | Confusion Matrix | |||||||||
|---|---|---|---|---|---|---|---|---|---|---|
| Predicted | ||||||||||
| 1 | 2 | 3 | 4 | 5 | 6 | 7 | 8 | 9 | ||
| Actual | 1 | 198 | 0 | 0 | 6 | 22 | 0 | 0 | 0 | 0 |
| 2 | 0 | 497 | 5 | 0 | 0 | 0 | 0 | 0 | 0 | |
| 3 | 0 | 12 | 1888 | 39 | 0 | 0 | 0 | 0 | 1 | |
| 4 | 33 | 0 | 36 | 1563 | 62 | 0 | 0 | 0 | 0 | |
| 5 | 7 | 0 | 0 | 14 | 1861 | 13 | 0 | 1 | 0 | |
| 6 | 2 | 0 | 0 | 0 | 24 | 3940 | 8 | 8 | 0 | |
| 7 | 0 | 0 | 0 | 0 | 0 | 20 | 174 | 0 | 0 | |
| 8 | 0 | 0 | 0 | 2 | 4 | 3 | 0 | 134 | 0 | |
| 9 | 0 | 0 | 8 | 2 | 0 | 0 | 0 | 1 | 71 | |
| Feature Combinations | Algorithms | Balanced Accuracy | F1-Weighted | Kappa |
|---|---|---|---|---|
| Depth, qc, fs, u2 | SVM | 0.728 | 0.752 | 0.736 |
| KNN | 0.783 | 0.831 | 0.792 | |
| ANN | 0.803 | 0.825 | 0.816 | |
| XGBoost | 0.868 | 0.953 | 0.930 | |
| Depth, qt, Rf, Bq | SVM | 0.776 | 0.793 | 0.782 |
| KNN | 0.891 | 0.923 | 0.905 | |
| ANN | 0.918 | 0.952 | 0.947 | |
| XGBoost | 0.967 | 0.980 | 0.969 | |
| Depth, qt, Rf, Bq, Fr, u2 | SVM | 0.863 | 0.906 | 0.885 |
| KNN | 0.901 | 0.942 | 0.927 | |
| ANN | 0.914 | 0.961 | 0.938 | |
| XGBoost | 0.972 | 0.982 | 0.973 |
| Hollywood | Confusion Matrix | |||||||||
|---|---|---|---|---|---|---|---|---|---|---|
| Predicted | ||||||||||
| 1 | 2 | 3 | 4 | 5 | 6 | 7 | 8 | 9 | ||
| Actual | 1 | 23 | 0 | 0 | 1 | 0 | 0 | 0 | 0 | 0 |
| 2 | 0 | 78 | 2 | 0 | 0 | 0 | 0 | 0 | 0 | |
| 3 | 0 | 0 | 1522 | 23 | 0 | 0 | 0 | 0 | 0 | |
| 4 | 3 | 0 | 17 | 2008 | 27 | 0 | 0 | 0 | 0 | |
| 5 | 9 | 0 | 0 | 41 | 3956 | 57 | 0 | 1 | 0 | |
| 6 | 0 | 0 | 0 | 0 | 61 | 7963 | 20 | 5 | 0 | |
| 7 | 0 | 0 | 0 | 0 | 0 | 16 | 264 | 0 | 0 | |
| 8 | 0 | 0 | 0 | 0 | 5 | 3 | 0 | 195 | 2 | |
| 9 | 0 | 0 | 1 | 0 | 0 | 0 | 0 | 0 | 122 | |
Disclaimer/Publisher’s Note: The statements, opinions and data contained in all publications are solely those of the individual author(s) and contributor(s) and not of MDPI and/or the editor(s). MDPI and/or the editor(s) disclaim responsibility for any injury to people or property resulting from any ideas, methods, instructions or products referred to in the content. |
© 2025 by the authors. Licensee MDPI, Basel, Switzerland. This article is an open access article distributed under the terms and conditions of the Creative Commons Attribution (CC BY) license (https://creativecommons.org/licenses/by/4.0/).
Share and Cite
Li, K.; Jia, P.; Chen, Z.; Wang, Y. Fine-Scale Stratigraphic Identification Using Machine Learning Trained on Multi-Site CPTU Data. Geosciences 2025, 15, 437. https://doi.org/10.3390/geosciences15110437
Li K, Jia P, Chen Z, Wang Y. Fine-Scale Stratigraphic Identification Using Machine Learning Trained on Multi-Site CPTU Data. Geosciences. 2025; 15(11):437. https://doi.org/10.3390/geosciences15110437
Chicago/Turabian StyleLi, Kai, Pengfei Jia, Zihao Chen, and Yong Wang. 2025. "Fine-Scale Stratigraphic Identification Using Machine Learning Trained on Multi-Site CPTU Data" Geosciences 15, no. 11: 437. https://doi.org/10.3390/geosciences15110437
APA StyleLi, K., Jia, P., Chen, Z., & Wang, Y. (2025). Fine-Scale Stratigraphic Identification Using Machine Learning Trained on Multi-Site CPTU Data. Geosciences, 15(11), 437. https://doi.org/10.3390/geosciences15110437

