Cobalt-Rich Fe-Mn Crusts in the Western Pacific Magellan Seamount Trail: Geochemistry and Chronostratigraphy
Abstract
1. Introduction
1.1. Morphology and Mineralogy of Fe-Mn Crusts
1.2. Formation History of Fe-Mn Crusts
1.3. Geochemistry of Minor and Trace Element of Hydrogenetic Fe-Mn Crusts: Main Features
2. Geological Background of Govorov and Kocebu Guyots
3. Materials and Methods
3.1. Sampling
3.2. XRF and ICP-MS Chemistry of Fe-Mn Crusts
4. Results
4.1. Contributions of Layers to the Bulk Composition
4.2. Minor and Trace Element Chemistry
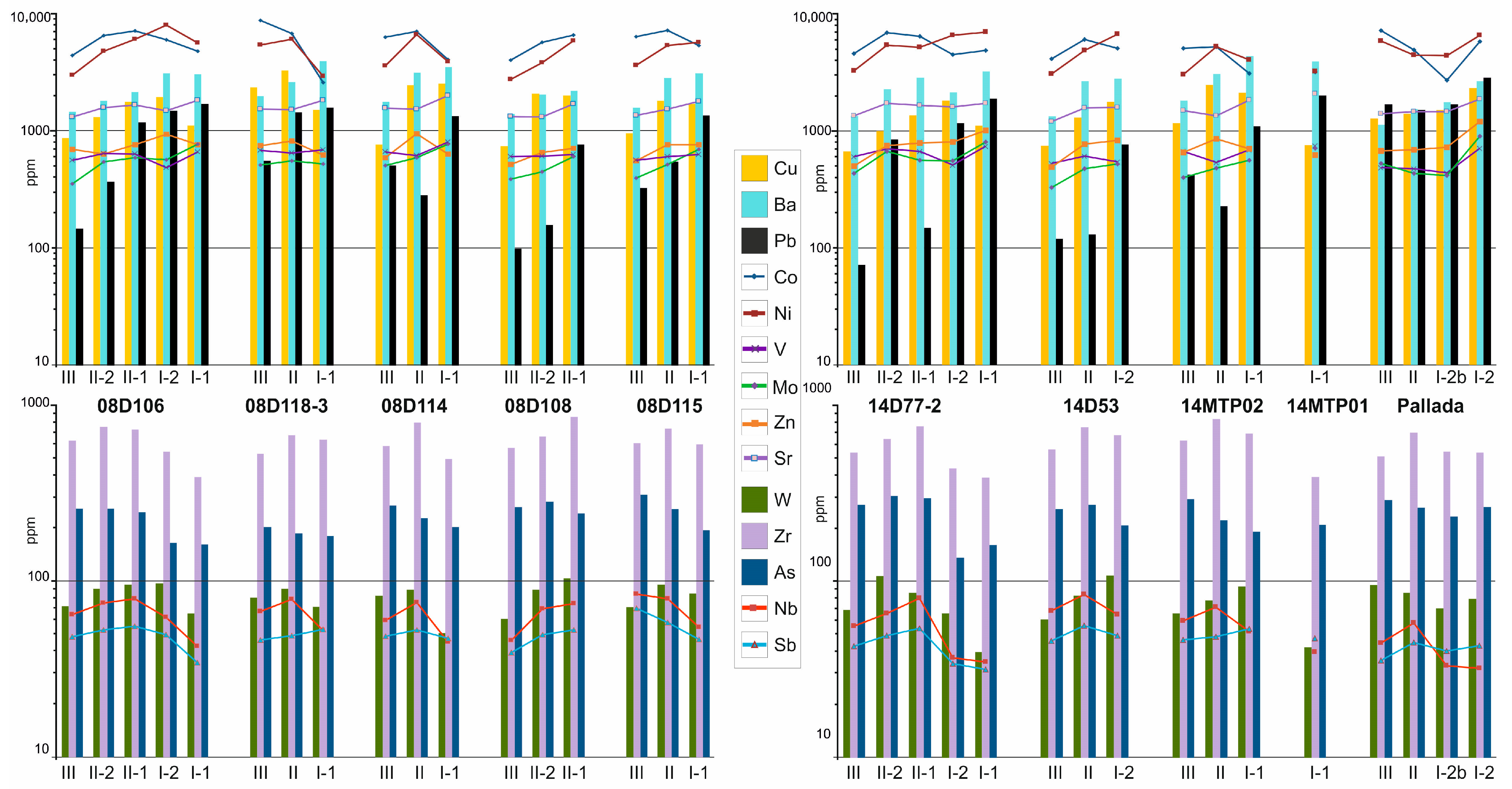
4.2.1. High-Tech Metals (Co, Ni, and Cu), Ba, Sr, Pb, Zn, V, Mo, Zr, Nb, W, Sb, and As
4.2.2. REE and Y
5. Discussion
5.1. Average Chemistry of Bulk Crusts and Individual Layers
5.2. Correlations Among Elements
5.2.1. CaO and P2O5
5.2.2. High Field Strength Elements (Nb, Ta, Zr, Hf), Metalloids (Sb, As), W, and Alkali Metals (Rb, Cs, Li)
5.2.3. REE, Y, Ba, Sr, and Bi
5.3. Co-Chronometry, Growth Rates, and Deposition History of Fe-Mn Crusts
6. Conclusions
Supplementary Materials
Author Contributions
Funding
Data Availability Statement
Acknowledgments
Conflicts of Interest
Appendix A
| 08D106 | 08D108 | 08D114 | 08D115 | 08D118 | |||||||||||||
|---|---|---|---|---|---|---|---|---|---|---|---|---|---|---|---|---|---|
| III | II-2 | II-1 | I-2 | I-1 | III | II-2 | II-1 | III | II | I-1 | III | II | I-1 | III | II | I-1 | |
| SiO2 | 18.67 | 9.88 | 7.84 | 5.14 | 1.87 | 18.81 | 14.05 | 7.39 | 10.33 | 9.35 | 2.78 | 14.03 | 10.88 | 2.94 | 9.19 | 7.57 | 5.55 |
| TiO2 | 1.69 | 2.18 | 2.22 | 1.72 | 1.26 | 1.49 | 1.80 | 2.19 | 2.10 | 2.29 | 1.77 | 2.07 | 2.25 | 1.54 | 2.39 | 2.33 | 1.80 |
| Al2O3 | 4.39 | 2.31 | 2.19 | 1.86 | 0.81 | 4.55 | 3.42 | 2.01 | 1.88 | 2.69 | 0.83 | 3.24 | 3.02 | 0.94 | 2.37 | 2.11 | 1.56 |
| Fe2O3 | 28.51 | 25.95 | 22.49 | 15.34 | 13.22 | 27.97 | 27.24 | 23.40 | 29.33 | 21.37 | 18.68 | 27.25 | 24.10 | 15.36 | 23.95 | 22.58 | 19.97 |
| MgO | 1.76 | 1.84 | 2.08 | 2.10 | 1.65 | 1.71 | 1.77 | 1.98 | 1.72 | 2.22 | 1.40 | 1.79 | 1.93 | 1.55 | 1.90 | 2.02 | 1.23 |
| MnO | 22.34 | 30.50 | 33.32 | 35.01 | 31.42 | 22.25 | 26.57 | 33.44 | 29.40 | 35.47 | 31.07 | 25.98 | 30.54 | 30.86 | 32.36 | 34.20 | 24.19 |
| CaO | 3.49 | 3.94 | 4.70 | 10.01 | 18.78 | 3.79 | 3.53 | 4.34 | 3.80 | 4.68 | 14.42 | 3.87 | 3.98 | 16.24 | 3.98 | 4.12 | 16.96 |
| Na2O | 2.55 | 2.14 | 1.87 | 2.11 | 1.73 | 2.18 | 1.73 | 2.12 | 2.01 | 1.96 | 1.47 | 1.83 | 1.88 | 1.56 | 2.17 | 1.76 | 1.36 |
| K2O | 1.23 | 0.69 | 0.45 | 0.67 | 0.27 | 1.01 | 0.99 | 0.56 | 0.54 | 0.58 | 0.32 | 1.04 | 0.75 | 0.31 | 0.61 | 0.48 | 0.37 |
| P2O5 | 1.06 | 0.96 | 1.22 | 4.23 | 9.42 | 1.05 | 0.98 | 1.03 | 1.03 | 1.07 | 6.70 | 0.97 | 0.98 | 7.92 | 0.82 | 0.79 | 8.70 |
| LOI | 12.38 | 14.77 | 15.30 | 14.51 | 14.62 | 11.70 | 13.67 | 15.02 | 13.81 | 15.18 | 14.15 | 13.73 | 13.85 | 15.12 | 14.95 | 15.57 | 13.59 |
| H2O− | 9.70 | 11.26 | 10.70 | 9.70 | 7.76 | 9.50 | 9.84 | 10.86 | 11.89 | 11.33 | 10.01 | 10.18 | 11.65 | 8.08 | 11.54 | 11.66 | 8.08 |
| Ba | 0.130 | 0.150 | 0.170 | 0.220 | 0.240 | 0.110 | 0.130 | 0.170 | 0.150 | 0.190 | 0.260 | 0.130 | 0.160 | 0.230 | 0.170 | 0.210 | 0.280 |
| Sr | 0.120 | 0.150 | 0.150 | 0.140 | 0.180 | 0.130 | 0.130 | 0.150 | 0.160 | 0.150 | 0.190 | 0.130 | 0.140 | 0.170 | 0.140 | 0.140 | 0.180 |
| Zr | 0.064 | 0.065 | 0.067 | 0.051 | 0.036 | 0.054 | 0.064 | 0.066 | 0.063 | 0.074 | 0.048 | 0.065 | 0.066 | 0.056 | 0.053 | 0.066 | 0.063 |
| V | 0.056 | 0.058 | 0.056 | 0.046 | 0.060 | 0.052 | 0.060 | 0.059 | 0.065 | 0.058 | 0.071 | 0.048 | 0.057 | 0.056 | 0.062 | 0.064 | 0.059 |
| Co | 0.400 | 0.590 | 0.670 | 0.590 | 0.440 | 0.350 | 0.490 | 0.590 | 0.580 | 0.690 | 0.350 | 0.610 | 0.660 | 0.500 | 0.840 | 0.650 | 0.240 |
| Ni | 0.300 | 0.470 | 0.600 | 0.840 | 0.600 | 0.280 | 0.390 | 0.590 | 0.380 | 0.710 | 0.380 | 0.360 | 0.540 | 0.570 | 0.530 | 0.640 | 0.290 |
| Cu | 0.085 | 0.119 | 0.156 | 0.188 | 0.106 | 0.059 | 0.107 | 0.178 | 0.066 | 0.236 | 0.123 | 0.088 | 0.159 | 0.162 | 0.205 | 0.208 | 0.133 |
| Zn | 0.047 | 0.055 | 0.068 | 0.088 | 0.086 | 0.048 | 0.055 | 0.067 | 0.060 | 0.079 | 0.068 | 0.050 | 0.064 | 0.077 | 0.071 | 0.085 | 0.075 |
| Total | 99.27 | 96.82 | 95.62 | 94.86 | 96.80 | 97.59 | 97.18 | 95.35 | 97.47 | 99.05 | 95.08 | 97.28 | 96.01 | 96.16 | 96.76 | 95.59 | 96.60 |
| Fe | 20 | 18 | 16 | 11 | 9 | 20 | 19 | 16 | 21 | 15 | 13 | 19 | 17 | 11 | 17 | 16 | 14 |
| Mn | 17 | 24 | 26 | 27 | 24 | 17 | 21 | 26 | 23 | 27 | 24 | 20 | 24 | 24 | 25 | 26 | 19 |
| Mn/Fe | 0.87 | 1.30 | 1.64 | 2.53 | 2.63 | 0.88 | 1.08 | 1.58 | 1.11 | 1.84 | 1.84 | 1.06 | 1.40 | 2.22 | 1.50 | 1.68 | 1.34 |
| 14D77-2 | 14D53 | 14MTP02 | 14MTP01 | |||||||||
|---|---|---|---|---|---|---|---|---|---|---|---|---|
| III | II-2 | II-1 | I-2 | I-1 | III | II | I-2 | III | II | I-1 | I-1 | |
| SiO2 | 17.67 | 7.70 | 10.44 | 2.14 | 1.82 | 20.49 | 11.36 | 4.75 | 14.96 | 11.26 | 4.89 | 2.76 |
| TiO2 | 1.36 | 1.86 | 2.06 | 1.28 | 1.02 | 1.56 | 2.05 | 1.72 | 1.94 | 2.19 | 1.75 | 1.49 |
| Al2O3 | 3.93 | 1.70 | 2.97 | 0.91 | 0.90 | 5.15 | 3.39 | 1.75 | 2.96 | 3.44 | 1.65 | 1.12 |
| Fe2O3 | 27.36 | 25.36 | 24.64 | 11.71 | 11.86 | 27.94 | 24.31 | 16.92 | 29.53 | 22.10 | 20.60 | 17.77 |
| MgO | 1.74 | 1.91 | 2.05 | 1.68 | 1.76 | 1.78 | 1.98 | 1.82 | 1.62 | 1.97 | 1.37 | 1.28 |
| MnO | 23.53 | 33.75 | 30.51 | 29.32 | 32.72 | 21.29 | 27.87 | 29.54 | 25.23 | 30.71 | 25.79 | 28.58 |
| CaO | 3.42 | 4.12 | 4.24 | 20.26 | 17.90 | 3.73 | 5.43 | 14.20 | 3.51 | 4.14 | 14.04 | 17.70 |
| Na2O | 2.33 | 1.70 | 1.88 | 2.02 | 1.68 | 1.97 | 1.82 | 1.72 | 1.87 | 1.82 | 1.49 | 1.61 |
| K2O | 0.89 | 0.48 | 0.79 | 0.39 | 0.40 | 1.12 | 0.93 | 0.46 | 0.90 | 0.88 | 0.42 | 0.28 |
| P2O5 | 1.07 | 1.02 | 1.20 | 10.02 | 8.84 | 1.04 | 1.94 | 6.86 | 0.98 | 0.97 | 6.86 | 8.81 |
| LOI | 13.15 | 15.31 | 14.18 | 14.21 | 14.09 | 11.81 | 14.46 | 14.33 | 13.02 | 15.10 | 16.89 | 13.81 |
| H2O− | 9.95 | 12.32 | 11.62 | 8.15 | 8.58 | 10.23 | 9.83 | 8.39 | 9.68 | 9.42 | 7.37 | 9.69 |
| Ba | 0.110 | 0.150 | 0.170 | 0.190 | 0.260 | 0.110 | 0.150 | 0.170 | 0.140 | 0.210 | 0.310 | 0.300 |
| Sr | 0.130 | 0.160 | 0.150 | 0.170 | 0.170 | 0.120 | 0.140 | 0.150 | 0.140 | 0.140 | 0.170 | 0.200 |
| Zr | 0.054 | 0.056 | 0.062 | 0.043 | 0.037 | 0.061 | 0.063 | 0.062 | 0.063 | 0.075 | 0.069 | 0.037 |
| V | 0.058 | 0.071 | 0.058 | 0.046 | 0.064 | 0.052 | 0.052 | 0.050 | 0.060 | 0.053 | 0.058 | 0.071 |
| Co | 0.420 | 0.670 | 0.570 | 0.430 | 0.460 | 0.380 | 0.530 | 0.450 | 0.420 | 0.520 | 0.260 | 0.290 |
| Ni | 0.350 | 0.570 | 0.530 | 0.690 | 0.700 | 0.310 | 0.480 | 0.650 | 0.290 | 0.570 | 0.390 | 0.320 |
| Cu | 0.064 | 0.089 | 0.121 | 0.161 | 0.101 | 0.073 | 0.114 | 0.165 | 0.100 | 0.246 | 0.199 | 0.068 |
| Zn | 0.047 | 0.062 | 0.060 | 0.094 | 0.121 | 0.048 | 0.059 | 0.075 | 0.063 | 0.075 | 0.077 | 0.077 |
| Total | 97.68 | 96.74 | 96.68 | 95.76 | 94.90 | 99.03 | 97.13 | 95.84 | 97.80 | 96.47 | 97.28 | 96.57 |
| Fe | 19 | 18 | 17 | 8 | 8 | 20 | 17 | 12 | 21 | 15 | 14 | 12 |
| Mn | 18 | 26 | 24 | 23 | 25 | 17 | 22 | 23 | 20 | 24 | 20 | 22 |
| Mn/Fe | 0.95 | 1.47 | 1.37 | 2.77 | 3.05 | 0.84 | 1.27 | 1.93 | 0.95 | 1.54 | 1.39 | 1.78 |
| 08D106 | 08D108 | 08D114 | 08D115 | 08D118 | |||||||||||||
|---|---|---|---|---|---|---|---|---|---|---|---|---|---|---|---|---|---|
| III | II-2 | II-1 | I-2 | I-1 | III | II-2 | II-1 | III | II | 1-1 | III | II | 1-1 | III | II | I-1 | |
| Co | 4400 | 6506 | 7100 | 5994 | 4779 | 3988 | 5683 | 6514 | 6270 | 7014 | 4041 | 6359 | 7176 | 5337 | 8694 | 6765 | 2568 |
| Ni | 2962 | 4739 | 6010 | 7932 | 5586 | 2746 | 3813 | 5828 | 3563 | 6607 | 3864 | 3621 | 5332 | 5658 | 5400 | 6049 | 2908 |
| Cr | 43 | 14 | 4.3 | 12 | 35 | 27 | 22 | 13 | 12 | 13 | 32 | 5.8 | 32 | 22 | 1.9 | 30 | 25 |
| V | 555 | 636 | 634 | 481 | 658 | 597 | 606 | 626 | 661 | 613 | 799 | 558 | 599 | 626 | 681 | 643 | 688 |
| Cu | 873 | 1315 | 1777 | 1935 | 1110 | 743 | 2089 | 1993 | 766 | 2466 | 2533 | 960 | 1800 | 1690 | 2357 | 3275 | 1517 |
| Sb | 48 | 52 | 55 | 49 | 34 | 39 | 49 | 52 | 48 | 52 | 47 | 70 | 58 | 46 | 46 | 49 | 53 |
| W | 72 | 90 | 95 | 96 | 65 | 61 | 89 | 103 | 83 | 89 | 50 | 71 | 95 | 85 | 80 | 90 | 71 |
| Mo | 352 | 539 | 590 | 564 | 767 | 385 | 443 | 598 | 505 | 588 | 770 | 393 | 516 | 690 | 507 | 549 | 520 |
| Zn | 691 | 629 | 757 | 928 | 756 | 516 | 653 | 706 | 590 | 943 | 629 | 554 | 759 | 762 | 745 | 817 | 621 |
| Be | 6.0 | 4.3 | 6.2 | 4.7 | 5.5 | 3.6 | 22 | 6.8 | 5.6 | 6.5 | 27 | 3.1 | 6.6 | 4.8 | 4.6 | 23 | 15 |
| Rb | 18 | 14 | 9.4 | 26 | 1.3 | 16 | 31 | 31 | 8.9 | 33 | 1.8 | 12 | 33 | 12 | 6.7 | 8.9 | 12 |
| Ba | 1451 | 1797 | 2159 | 3119 | 3039 | 1400 | 2044 | 2186 | 1763 | 3126 | 3529 | 1580 | 2827 | 3097 | 1988 | 2619 | 3934 |
| Th | 14 | 14 | 14 | 6.8 | 8.6 | 17 | 10 | 16 | 17 | 9.0 | 9.6 | 15 | 17 | 10 | 20 | 14 | 9.6 |
| U | 11 | 14 | 13 | 9.1 | 11 | 11 | 13 | 15 | 14 | 11 | 14 | 12 | 13 | 11 | 13 | 11 | 11 |
| Nb | 64 | 75 | 79 | 62 | 42 | 46 | 69 | 74 | 59 | 75 | 45 | 84 | 79 | 54 | 67 | 78 | 52 |
| Ta | 0.33 | 0.31 | 0.44 | – | – | 0.05 | 0.33 | 0.47 | 0.49 | 0.83 | – | 0.66 | 0.05 | – | 0.75 | 0.75 | – |
| Pb | 146 | 367 | 1180 | 1483 | 1702 | 99 | 158 | 763 | 507 | 281 | 1343 | 327 | 547 | 1350 | 555 | 1440 | 1587 |
| Sr | 1309 | 1572 | 1649 | 1483 | 1818 | 1325 | 1310 | 1689 | 1558 | 1529 | 1996 | 1344 | 1520 | 1787 | 1519 | 1504 | 1810 |
| Zr | 627 | 752 | 728 | 544 | 391 | 570 | 664 | 858 | 588 | 794 | 494 | 609 | 738 | 601 | 529 | 675 | 637 |
| Hf | 9.7 | 13 | 12 | 9.2 | 3.8 | 7.3 | 11 | 15 | 8.5 | 15 | 6.3 | 11 | 13 | 8.2 | 8.3 | 12 | 9.1 |
| Ga | 88 | 39 | 17 | 1.0 | 0.03 | 10 | 21 | 5.6 | 11 | 14 | 1.3 | 43 | 0.03 | 8.3 | 29 | 37 | 8.0 |
| As | 258 | 259 | 246 | 165 | 161 | 263 | 282 | 241 | 268 | 228 | 202 | 309 | 257 | 195 | 203 | 186 | 180 |
| La | 233 | 267 | 263 | 289 | 336 | 226 | 209 | 278 | 311 | 254 | 399 | 245 | 277 | 413 | 265 | 265 | 481 |
| Ce | 612 | 967 | 1205 | 1676 | 1726 | 568 | 622 | 1194 | 924 | 1297 | 1997 | 866 | 1130 | 1729 | 1153 | 1613 | 1771 |
| Pr | 50 | 61 | 61 | 59 | 55 | 52 | 46 | 66 | 74 | 61 | 72 | 52 | 58 | 73 | 67 | 65 | 84 |
| Nd | 221 | 259 | 252 | 255 | 230 | 225 | 197 | 274 | 309 | 262 | 297 | 219 | 249 | 320 | 278 | 272 | 351 |
| Sm | 46 | 53 | 54 | 52 | 43 | 48 | 41 | 57 | 63 | 53 | 52 | 47 | 50 | 56 | 56 | 57 | 61 |
| Eu | 11 | 13 | 13 | 12 | 10 | 12 | 9.8 | 13 | 17 | 13 | 12 | 11 | 12 | 14 | 15 | 13 | 15 |
| Gd | 48 | 56 | 54 | 59 | 57 | 49 | 42 | 57 | 66 | 59 | 60 | 50 | 53 | 71 | 59 | 57 | 72 |
| Tb | 6.8 | 7.9 | 7.2 | 7.5 | 7.0 | 7.3 | 6.3 | 7.9 | 9.8 | 7.5 | 7.8 | 6.9 | 7.2 | 9.2 | 8.2 | 7.7 | 9.1 |
| Dy | 41 | 45 | 43 | 47 | 44 | 44 | 38 | 44 | 55 | 43 | 46 | 41 | 44 | 59 | 46 | 43 | 59 |
| Ho | 8.8 | 9.3 | 9.2 | 10 | 10 | 8.7 | 8.0 | 9.2 | 11 | 9.0 | 10 | 8.8 | 9.1 | 14 | 9.2 | 8.7 | 13 |
| Er | 25 | 27 | 26 | 31 | 31 | 24 | 22 | 27 | 31 | 26 | 30 | 25 | 27 | 42 | 25 | 25 | 38 |
| Tm | 3.7 | 4.0 | 3.6 | 4.4 | 4.5 | 3.6 | 3.4 | 3.8 | 4.5 | 3.8 | 4.3 | 3.7 | 4.0 | 5.7 | 3.9 | 3.5 | 5.5 |
| Yb | 25 | 25 | 24 | 29 | 29 | 23 | 22 | 25 | 28 | 24 | 29 | 23 | 27 | 37 | 25 | 23 | 37 |
| Lu | 4.0 | 3.8 | 3.7 | 4.5 | 4.6 | 3.7 | 3.3 | 3.9 | 4.2 | 3.8 | 4.2 | 3.8 | 4.2 | 6.0 | 3.5 | 3.5 | 5.8 |
| Y | 204 | 189 | 199 | 393 | 458 | 201 | 173 | 215 | 224 | 244 | 278 | 197 | 230 | 560 | 174 | 190 | 523 |
| LREE | 1174 | 1620 | 1848 | 2343 | 2400 | 1131 | 1124 | 1882 | 1698 | 1940 | 2829 | 1439 | 1776 | 2605 | 1834 | 2285 | 2763 |
| HREE | 366 | 367 | 371 | 585 | 646 | 364 | 318 | 392 | 433 | 421 | 469 | 360 | 406 | 803 | 354 | 361 | 763 |
| Ce* | 1.3 | 1.8 | 2.2 | 3.0 | 2.9 | 1.2 | 1.5 | 2.0 | 1.4 | 2.4 | 2.7 | 1.8 | 2.1 | 2.3 | 2.0 | 2.8 | 2.0 |
| L/HREE | 3.2 | 4.4 | 5.0 | 4.0 | 3.7 | 3.1 | 3.5 | 4.8 | 3.9 | 4.6 | 6.0 | 4.0 | 4.4 | 3.2 | 5.2 | 6.3 | 3.6 |
| REY | 1540 | 1987 | 2218 | 2928 | 3045 | 1496 | 1442 | 2274 | 2131 | 2361 | 3298 | 1799 | 2181 | 3408 | 2189 | 2646 | 3526 |
| 14D77-2 | 14D53 | 14MTP02 | 14MTP01 | |||||||||
|---|---|---|---|---|---|---|---|---|---|---|---|---|
| III | II-2 | II-1 | I-2 | I-1 | III | II | I-2 | III | II | I-1 | I-1 | |
| Co | 4608 | 6910 | 6419 | 4512 | 4889 | 4127 | 6085 | 5086 | 5062 | 5266 | 3102 | 3203 |
| Ni | 3258 | 5413 | 5200 | 6599 | 6999 | 3072 | 4903 | 6746 | 3036 | 5234 | 4034 | 3222 |
| Cr | 17 | 4.5 | 33 | 13 | 52 | 38 | 46 | 27 | 60 | 15 | 23 | 39 |
| V | 605 | 703 | 664 | 512 | 740 | 528 | 607 | 544 | 667 | 537 | 691 | 745 |
| Cu | 674 | 1003 | 1372 | 1826 | 1110 | 755 | 1316 | 1788 | 1171 | 2479 | 2120 | 760 |
| Sb | 42 | 49 | 54 | 34 | 31 | 46 | 56 | 49 | 46 | 48 | 53 | 47 |
| W | 68 | 107 | 86 | 66 | 40 | 60 | 83 | 108 | 65 | 78 | 93 | 42 |
| Mo | 431 | 671 | 563 | 556 | 804 | 326 | 477 | 519 | 399 | 479 | 563 | 707 |
| Zn | 498 | 749 | 784 | 805 | 1005 | 488 | 773 | 826 | 657 | 851 | 701 | 623 |
| Be | 5.4 | 3.4 | 5.6 | 8.3 | 1.9 | 4.5 | 6.0 | 5.3 | 6.2 | 7.1 | 8.8 | 5.1 |
| Rb | 16 | 24 | 44 | 3.7 | 8.9 | 21 | 46 | 21 | 11 | 40 | 7.8 | 1.9 |
| Ba | 1356 | 2285 | 2867 | 2159 | 3240 | 1340 | 2665 | 2818 | 1823 | 3071 | 4396 | 3963 |
| Th | 13 | 13 | 15 | 3.3 | 8.0 | 13 | 14 | 5.4 | 16 | 9.9 | 9.2 | 7.0 |
| U | 11 | 15 | 14 | 10 | 12 | 10 | 13 | 13 | 13 | 10 | 10 | 13 |
| Nb | 55 | 65 | 79 | 37 | 35 | 68 | 83 | 64 | 59 | 71 | 52 | 39 |
| Ta | 0.14 | 0.05 | 0.42 | – | – | 1.1 | 0.52 | – | 0.45 | 0.89 | – | – |
| Pb | 72 | 848 | 149 | 1172 | 1900 | 120 | 130 | 765 | 428 | 228 | 1098 | 2029 |
| Sr | 1346 | 1720 | 1660 | 1603 | 1726 | 1202 | 1578 | 1595 | 1497 | 1346 | 1838 | 2071 |
| Zr | 537 | 643 | 758 | 437 | 388 | 561 | 749 | 674 | 630 | 834 | 691 | 391 |
| Hf | 8.0 | 9.6 | 13 | 5.9 | 4.1 | 9.5 | 13 | 12 | 9.6 | 16 | 9.3 | 4.4 |
| Ga | 11 | 17 | 5.4 | 0.03 | 2.4 | 56 | 17 | 2.6 | 11 | 11 | 15 | 5.7 |
| As | 271 | 305 | 297 | 136 | 160 | 257 | 271 | 207 | 292 | 222 | 191 | 209 |
| La | 213 | 276 | 283 | 338 | 252 | 187 | 239 | 254 | 310 | 228 | 421 | 418 |
| Ce | 535 | 842 | 978 | 1258 | 1355 | 583 | 981 | 1333 | 969 | 1212 | 1625 | 2177 |
| Pr | 43 | 61 | 62 | 58 | 43 | 37 | 50 | 53 | 73 | 55 | 75 | 56 |
| Nd | 195 | 259 | 263 | 263 | 185 | 160 | 215 | 227 | 311 | 230 | 314 | 229 |
| Sm | 37 | 53 | 56 | 49 | 33 | 33 | 42 | 44 | 64 | 48 | 59 | 38 |
| Eu | 9.8 | 13 | 13 | 12 | 8.1 | 8.3 | 11 | 11 | 16 | 11 | 14 | 9.1 |
| Gd | 41 | 52 | 57 | 59 | 43 | 36 | 49 | 52 | 66 | 48 | 66 | 53 |
| Tb | 6.0 | 7.7 | 7.8 | 7.7 | 5.6 | 5.3 | 6.4 | 6.6 | 9.4 | 6.5 | 8.0 | 6.5 |
| Dy | 37 | 47 | 46 | 49 | 35 | 32 | 37 | 39 | 55 | 38 | 51 | 42 |
| Ho | 7.7 | 9.4 | 9.6 | 12 | 8.6 | 7.1 | 8.5 | 8.8 | 11 | 7.7 | 11 | 9.9 |
| Er | 23 | 27 | 28 | 34 | 26 | 21 | 24 | 25 | 30 | 22 | 34 | 31 |
| Tm | 3.4 | 3.9 | 4.1 | 5.0 | 3.9 | 3.1 | 3.7 | 3.7 | 4.5 | 3.2 | 4.8 | 4.3 |
| Yb | 22 | 26 | 26 | 32 | 25 | 20 | 24 | 23 | 28 | 20 | 31 | 28 |
| Lu | 3.4 | 4.0 | 4.0 | 5.0 | 4.3 | 3.4 | 3.9 | 3.9 | 4.4 | 3.3 | 4.7 | 4.5 |
| Y | 189 | 186 | 235 | 536 | 333 | 176 | 247 | 321 | 230 | 195 | 434 | 439 |
| LREE | 1032 | 1504 | 1654 | 1977 | 1876 | 1008 | 1537 | 1922 | 1742 | 1783 | 2507 | 2927 |
| HREE | 332 | 362 | 417 | 740 | 485 | 304 | 403 | 483 | 439 | 344 | 644 | 619 |
| Ce* | 1.3 | 1.5 | 1.7 | 2.1 | 3.0 | 1.6 | 2.1 | 2.7 | 1.5 | 2.5 | 2.1 | 3.2 |
| L/HREE | 3.1 | 4.1 | 4.0 | 2.7 | 3.9 | 3.3 | 3.8 | 4.0 | 4.0 | 5.2 | 3.9 | 4.7 |
| REY | 1364 | 1866 | 2072 | 2717 | 2361 | 1312 | 1941 | 2405 | 2181 | 2127 | 3151 | 3546 |
| Mean | Var, % | n | Mean | Median | Min | Max | Var, % | n | |
|---|---|---|---|---|---|---|---|---|---|
| Mn | 21.13 | 13 | 803 | ||||||
| Fe | 16.28 | 13 | 794 | ||||||
| P2O5 | 2.75 | 71 | 631 | ||||||
| Mn/Fe | 1.31 | 17 | 793 | ||||||
| Co | 5800 | 23 | 803 | 5498 | 5400 | 2700 | 9000 | 19 | 276 |
| Ni | 4400 | 18 | 803 | 4307 | 4300 | 1200 | 6700 | 19 | 276 |
| Cr | 17 | 107 | 309 | 17 | 11 | 2.4 | 720 | 277 | 248 |
| V | 529 | 13 | 247 | 500 | 500 | 260 | 625 | 9.4 | 146 |
| Cu | 1200 | 26 | 803 | 1220 | 1200 | 520 | 2113 | 21 | 276 |
| Sc | 10.4 | 37 | 309 | 10 | 10 | 1.0 | 25 | 31 | 270 |
| Sn | 8.5 | 38 | 309 | 8.3 | 8.3 | 2.9 | 15 | 22 | 274 |
| Sb | 39 | 23 | 309 | 36 | 36 | 9.2 | 60 | 21 | 276 |
| W | 62 | 29 | 309 | 71 | 71 | 14 | 120 | 24 | 276 |
| Mo | 383 | 20 | 309 | 378 | 370 | 140 | 600 | 19 | 276 |
| Tl | 124 | 25 | 309 | 122 | 122 | 44 | 190 | 22 | 274 |
| Zn | 555 | 16 | 309 | 550 | 560 | 320 | 801 | 19 | 276 |
| Li | 4.7 | 56 | 305 | 5.2 | 4.5 | 1.5 | 16.7 | 48 | 274 |
| Be | 5.8 | 38 | 309 | 5.4 | 4.9 | 2.2 | 15 | 42 | 276 |
| Cs | 0.50 | 48 | 309 | 0.54 | 0.50 | 0.09 | 1.5 | 46 | 274 |
| Rb | 9.2 | 44 | 309 | 8.9 | 8.4 | 3 | 34 | 38 | 276 |
| Ba | 1528 | 21 | 309 | 1377 | 1400 | 740 | 4700 | 27 | 276 |
| Th | 13 | 29 | 309 | 14 | 13 | 4.9 | 27 | 33 | 276 |
| U | 11 | 23 | 309 | 12 | 12 | 5.9 | 21 | 19 | 276 |
| Nb | 40 | 53 | 309 | 41 | 42 | 7.3 | 94 | 37 | 276 |
| Ta | 0.60 | 69 | 309 | 0.47 | 0.38 | 0.09 | 1.9 | 61 | 275 |
| Pb | 1166 | 20 | 309 | 1121 | 1100 | 352 | 1700 | 21 | 276 |
| Sr | 1278 | 14 | 309 | 1252 | 1300 | 686 | 1714 | 13 | 276 |
| Zr | 321 | 93 | 309 | 231 | 120 | 14 | 1200 | 106 | 276 |
| Hf | 4.2 | 96 | 309 | 3.0 | 1.8 | 0.40 | 17 | 94 | 276 |
| Bi | 35 | 30 | 309 | 41 | 40 | 16 | 82 | 26 | 274 |
| Ga | 14 | 66 | 309 | 13 | 13 | 0.03 | 25 | 30 | 276 |
| As | 193 | 59 | 309 | 162 | 160 | 92 | 260 | 17 | 276 |
| Cd | 3.9 | 47 | 309 | 4.1 | 4.1 | 1.6 | 6.3 | 17 | 274 |
| Te | 57 | 35 | 309 | 51 | 49 | 14 | 98 | 26 | 274 |
| La | 272 | 19 | 309 | 242 | 240 | 124 | 410 | 22 | 276 |
| Ce | 972 | 25 | 309 | 849 | 820 | 390 | 1700 | 26 | 276 |
| Pr | 52 | 20 | 309 | 46 | 45 | 27 | 75 | 21 | 276 |
| Nd | 212 | 21 | 309 | 203 | 200 | 130 | 280 | 16 | 276 |
| Sm | 43 | 21 | 309 | 43 | 42 | 28 | 64 | 17 | 276 |
| Eu | 11 | 19 | 309 | 11 | 11 | 6.9 | 16 | 16 | 276 |
| Gd | 55 | 21 | 309 | 54 | 54 | 28 | 78 | 16 | 276 |
| Tb | 7.7 | 18 | 309 | 7.8 | 7.7 | 4.3 | 11 | 15 | 276 |
| Dy | 46 | 21 | 309 | 46 | 46 | 21 | 65 | 14 | 276 |
| Ho | 9.6 | 19 | 309 | 9.5 | 9.4 | 4.3 | 13 | 14 | 276 |
| Er | 28 | 20 | 309 | 27 | 27 | 12 | 40 | 14 | 276 |
| Tm | 4.0 | 18 | 309 | 4.0 | 3.9 | 1.8 | 5.6 | 14 | 276 |
| Yb | 26 | 20 | 309 | 25 | 25 | 12 | 36 | 14 | 276 |
| Lu | 4.1 | 20 | 309 | 4.1 | 4.0 | 1.8 | 6.2 | 14 | 276 |
| Y | 230 | 32 | 309 | 216 | 200 | 86 | 450 | 32 | 276 |
| LREE | 1562 | 309 | 1394 | 1365 | 743 | 2525 | 22 | 276 | |
| HREE | 180 | 309 | 178 | 176 | 85 | 254 | 14 | 276 | |
| Ce* | 1.9 | 309 | 1.8 | 1.8 | 1.0 | 2.7 | 15 | 276 | |
| L/HREE | 8.7 | 309 | 7.8 | 7.7 | 5.1 | 12 | 18 | 276 | |
| REY | 1972 | 309 | 1788 | 1760 | 1007 | 3229 | 21 | 276 |
| III | II | |||||||||||
|---|---|---|---|---|---|---|---|---|---|---|---|---|
| Mean | Median | Min | Max | Var, % | n | Mean | Median | Min | Max | Var, % | n | |
| Fe | 17.69 | 10 | 139 | 17.10 | 14 | 131 | ||||||
| Mn | 23.67 | 13 | 140 | 22.35 | 13 | 140 | ||||||
| P2O5 | 1.21 | 65 | 128 | 1.60 | 74 | 123 | ||||||
| TiO2 | 1.77 | 18 | 64 | 1.82 | 17 | 60 | ||||||
| Mn/Fe | 1.34 | 19 | 139 | 1.35 | 25 | 130 | ||||||
| Co | 5654 | 5600 | 3200 | 9200 | 28 | 31 | 5535 | 5683 | 3200 | 7176 | 22 | 33 |
| 6500 | 24 | 140 | 5200 | 24 | 131 | |||||||
| Ni | 4023 | 4000 | 2559 | 5800 | 25 | 31 | 4838 | 4900 | 3270 | 6607 | 19 | 33 |
| 4700 | 22 | 140 | 5000 | 22 | 131 | |||||||
| Cr | 20 | 20 | 1.9 | 60 | 78 | 18 | 21 | 22 | 4.2 | 46 | 59 | 20 |
| V | 602 | 597 | 510 | 690 | 11 | 17 | 607 | 607 | 508 | 703 | 8 | 20 |
| Cu | 869 | 810 | 340 | 2357 | 46 | 31 | 1547 | 1500 | 700 | 3275 | 34 | 33 |
| 1030 | 45 | 140 | 1680 | 27 | 131 | |||||||
| Sc | 8.0 | 7.3 | 4.3 | 13 | 35 | 20 | 8.4 | 7.8 | 4.3 | 13 | 25 | 22 |
| Sn | 7.8 | 7.9 | 5.5 | 10 | 18 | 23 | 11 | 12 | 6.8 | 15 | 18 | 22 |
| Sb | 41 | 39 | 31 | 70 | 19 | 31 | 44 | 44 | 26 | 61 | 19 | 33 |
| W | 90 | 90 | 53 | 124 | 21 | 31 | 91 | 91 | 57 | 142 | 20 | 33 |
| Mo | 459 | 440 | 320 | 640 | 20 | 31 | 484 | 479 | 270 | 671 | 20 | 33 |
| 500 | 20 | 59 | 460 | 21 | 43 | |||||||
| Tl | 136 | 127 | 80 | 230 | 31 | 23 | 152 | 146 | 65 | 230 | 29 | 22 |
| Zn | 566 | 580 | 370 | 745 | 15 | 31 | 701 | 730 | 460 | 943 | 16 | 33 |
| 630 | 25 | 38 | 710 | 13 | 37 | |||||||
| Li | 2.9 | 2.0 | 0.97 | 8.8 | 69 | 23 | 5.1 | 4.7 | 1.6 | 10 | 53 | 22 |
| Be | 4.8 | 4.3 | 3.1 | 8.2 | 29 | 31 | 6.8 | 6.0 | 3.4 | 23 | 63 | 33 |
| Cs | 0.38 | 0.27 | 0.07 | 1.2 | 84 | 23 | 0.59 | 0.65 | 0.11 | 1.5 | 63 | 22 |
| Rb | 8.5 | 7.4 | 3.1 | 21 | 58 | 31 | 15 | 10 | 3.2 | 46 | 83 | 33 |
| Ba | 1351 | 1300 | 863 | 1988 | 20 | 31 | 1843 | 1797 | 994 | 3126 | 33 | 33 |
| Th | 14 | 14 | 6.6 | 22 | 32 | 31 | 10 | 10 | 2.6 | 17 | 45 | 33 |
| U | 13 | 14 | 10 | 19 | 14 | 31 | 12 | 13 | 9.4 | 16 | 14 | 33 |
| Nb | 55 | 53 | 32 | 88 | 26 | 31 | 59 | 61 | 17 | 91 | 31 | 33 |
| Ta | 0.50 | 0.41 | 0.05 | 1.2 | 62 | 31 | 0.49 | 0.40 | 0.05 | 1.7 | 70 | 33 |
| Pb | 1051 | 1127 | 72 | 1682 | 49 | 31 | 887 | 966 | 130 | 1530 | 44 | 33 |
| 1500 | 16 | 38 | 1220 | 16 | 37 | |||||||
| Sr | 1419 | 1458 | 1100 | 1731 | 12 | 31 | 1463 | 1500 | 1000 | 1769 | 12 | 33 |
| Zr | 329 | 230 | 45 | 877 | 78 | 31 | 430 | 380 | 35 | 1100 | 83 | 33 |
| Hf | 5.0 | 2.9 | 0.7 | 11 | 74 | 31 | 6.9 | 5.3 | 0.77 | 17 | 82 | 33 |
| Bi | 32 | 31 | 20 | 54 | 28 | 23 | 36 | 37 | 20 | 69 | 33 | 22 |
| Ga | 16 | 11 | 5.4 | 88 | 107 | 31 | 13 | 11 | 0.03 | 39 | 61 | 33 |
| As | 232 | 230 | 130 | 343 | 24 | 31 | 207 | 212 | 72 | 305 | 26 | 33 |
| Cd | 4.0 | 4.1 | 2.9 | 5.1 | 16 | 23 | 4.0 | 4.0 | 2.7 | 5.4 | 19 | 22 |
| Te | 43 | 43 | 26 | 68 | 26 | 23 | 55 | 53 | 30 | 95 | 26 | 22 |
| La | 231 | 226 | 146 | 320 | 20 | 31 | 221 | 220 | 130 | 300 | 23 | 33 |
| 290 | 17 | 22 | 257 | 17 | 24 | |||||||
| Ce | 696 | 690 | 400 | 1153 | 27 | 31 | 860 | 770 | 420 | 1613 | 33 | 33 |
| 881 | 29 | 22 | 903 | 22 | 24 | |||||||
| Pr | 50 | 50 | 34 | 74 | 22 | 31 | 49 | 50 | 29 | 66 | 22 | 33 |
| 60 | 22 | 22 | 50 | 16 | 24 | |||||||
| Nd | 218 | 219 | 148 | 311 | 20 | 31 | 212 | 215 | 120 | 274 | 21 | 33 |
| 237 | 21 | 22 | 202 | 16 | 24 | |||||||
| Sm | 45 | 46 | 30 | 64 | 21 | 31 | 44 | 46 | 24 | 57 | 23 | 33 |
| 52 | 23 | 22 | 43 | 16 | 24 | |||||||
| Eu | 12 | 11 | 7.0 | 17 | 21 | 31 | 11 | 11 | 6.4 | 15 | 20 | 33 |
| 12 | 22 | 22 | 10 | 14 | 24 | |||||||
| Gd | 56 | 54 | 35 | 80 | 20 | 31 | 51 | 51 | 31 | 79 | 19 | 33 |
| 65 | 21 | 22 | 57 | 16 | 24 | |||||||
| Tb | 8.0 | 7.7 | 5.3 | 12 | 20 | 31 | 7.2 | 7.3 | 4.6 | 10 | 19 | 33 |
| 9.0 | 21 | 22 | 8.0 | 17 | 24 | |||||||
| Dy | 48 | 46 | 32 | 67 | 18 | 31 | 42 | 43 | 27 | 59 | 17 | 33 |
| 55 | 25 | 22 | 46 | 20 | 24 | |||||||
| Ho | 9.6 | 9.2 | 6.7 | 14 | 16 | 31 | 8.5 | 8.6 | 5.6 | 11 | 15 | 33 |
| 12 | 29 | 22 | 10 | 23 | 24 | |||||||
| Er | 28 | 27 | 19 | 40 | 16 | 31 | 25 | 25 | 16 | 33 | 15 | 33 |
| 33 | 31 | 22 | 30 | 24 | 24 | |||||||
| Tm | 4.1 | 3.9 | 2.9 | 5.9 | 15 | 31 | 3.5 | 3.6 | 2.4 | 4.5 | 15 | 33 |
| 5.0 | 29 | 22 | 4.0 | 23 | 24 | |||||||
| Yb | 26 | 26 | 20 | 36 | 13 | 31 | 23 | 24 | 16 | 28 | 14 | 33 |
| 32 | 39 | 22 | 29 | 26 | 24 | |||||||
| Lu | 4.1 | 4.1 | 3.1 | 5.6 | 13 | 31 | 3.6 | 3.7 | 2.6 | 4.4 | 13 | 33 |
| 5.0 | 40 | 22 | 5.0 | 27 | 24 | |||||||
| Y | 167 | 170 | 94 | 230 | 18 | 31 | 167 | 170 | 92 | 247 | 26 | 33 |
| 189 | 20 | 22 | 231 | 35 | 24 | |||||||
| LREE | 1252 | 1174 | 808 | 1834 | 22 | 31 | 1396 | 1297 | 743 | 2285 | 27 | 33 |
| 1532 | 22 | 1465 | 24 | |||||||||
| HREE | 183 | 177 | 123 | 257 | 17 | 31 | 164 | 167 | 105 | 229 | 16 | 33 |
| 216 | 22 | 189 | 24 | |||||||||
| Ce* | 1.5 | 1.4 | 1.1 | 2.0 | 19 | 31 | 1.9 | 1.8 | 1.4 | 2.8 | 21 | 33 |
| 1.5 | 22 | 1.8 | 24 | |||||||||
| L/HREE | 6.9 | 6.9 | 4.8 | 10 | 20 | 31 | 8.5 | 7.7 | 6.2 | 13 | 23 | 33 |
| 7.1 | 22 | 7.8 | 24 | |||||||||
| REY | 1602 | 1506 | 1111 | 2189 | 19 | 31 | 1727 | 1593 | 958 | 2646 | 24 | 33 |
| 1937 | 22 | 1775 | 24 |
| I-2 | I-1 | |||||||||||
|---|---|---|---|---|---|---|---|---|---|---|---|---|
| Mean | Median | Min | Max | Var, % | n | Mean | Median | Min | Max | Var, % | n | |
| Fe | 11.17 | 26 | 106 | 12.40 | 22 | 89 | ||||||
| Mn | 17.96 | 20 | 107 | 21.95 | 15 | 89 | ||||||
| P2O5 | 9.74 | 47 | 97 | 6.93 | 38 | 84 | ||||||
| TiO2 | 0.72 | 56 | 51 | 0.79 | 66 | 37 | ||||||
| Mn/Fe | 1.68 | 25 | 106 | 1.85 | 26 | 89 | ||||||
| Co | 3066 | 2949 | 1000 | 5994 | 41 | 25 | 3914 | 4000 | 2400 | 5337 | 21 | 29 |
| 3200 | 31 | 107 | 4100 | 23 | 89 | |||||||
| Ni | 4597 | 4092 | 2300 | 7932 | 38 | 25 | 4132 | 3864 | 1800 | 7600 | 35 | 29 |
| 4500 | 31 | 107 | 4200 | 29 | 89 | |||||||
| Cr | 13 | 13 | 3.0 | 27 | 63 | 22 | 18 | 22 | 1.5 | 52 | 80 | 26 |
| V | 445 | 456 | 293 | 549 | 19 | 12 | 673 | 688 | 440 | 880 | 15 | 15 |
| Cu | 1377 | 1300 | 890 | 2400 | 27 | 25 | 1106 | 981 | 400 | 2533 | 45 | 29 |
| 1430 | 27 | 107 | 1170 | 31 | 88 | |||||||
| Sc | 10 | 10 | 6.4 | 17 | 28 | 22 | 7.1 | 5.9 | 3.2 | 23 | 59 | 22 |
| Sn | 9.3 | 9.5 | 4.1 | 15 | 31 | 22 | 7.8 | 8.0 | 3.8 | 13 | 29 | 22 |
| Sb | 23 | 18 | 9.7 | 49 | 55 | 25 | 30 | 29 | 13 | 53 | 39 | 29 |
| W | 61 | 58 | 23 | 108 | 41 | 25 | 44 | 41 | 20 | 93 | 43 | 29 |
| Mo | 383 | 384 | 180 | 642 | 32 | 25 | 580 | 580 | 320 | 840 | 26 | 29 |
| 460 | 26 | 21 | 650 | 16 | 18 | |||||||
| Tl | 122 | 110 | 46 | 217 | 42 | 22 | 125 | 119 | 77 | 195 | 29 | 22 |
| Zn | 624 | 590 | 350 | 1034 | 32 | 25 | 724 | 701 | 370 | 1435 | 33 | 29 |
| 640 | 23 | 21 | 730 | 22 | 22 | |||||||
| Li | 3.5 | 3.1 | 2.0 | 6.7 | 37 | 22 | 2.1 | 1.6 | 0.84 | 6.8 | 76 | 22 |
| Be | 4.8 | 4.4 | 2.0 | 8.3 | 30 | 25 | 6.3 | 5.1 | 1.9 | 27 | 74 | 29 |
| Cs | 0.39 | 0.41 | 0.10 | 0.84 | 51 | 22 | 0.16 | 0.14 | 0.06 | 0.47 | 63 | 22 |
| Rb | 6.9 | 5.4 | 3.2 | 26 | 76 | 25 | 4.7 | 4.0 | 1.3 | 12 | 55 | 29 |
| Ba | 1535 | 1300 | 950 | 3119 | 37 | 25 | 2528 | 2318 | 1266 | 4396 | 35 | 29 |
| Th | 5.3 | 3.9 | 2.2 | 24 | 87 | 25 | 11 | 11 | 3.1 | 19 | 34 | 29 |
| U | 10 | 10 | 7.4 | 13 | 14 | 25 | 12 | 12 | 8.9 | 17 | 15 | 29 |
| Nb | 27 | 20 | 5.3 | 66 | 68 | 25 | 29 | 22 | 9.3 | 54 | 48 | 29 |
| Ta | 0.50 | 0.44 | 0.13 | 1.2 | 66 | 22 | 0.49 | 0.42 | 0.10 | 1.1 | 60 | 22 |
| Pb | 879 | 810 | 550 | 1483 | 30 | 25 | 1596 | 1638 | 788 | 2300 | 25 | 29 |
| 1050 | 36 | 21 | 1840 | 22 | 22 | |||||||
| Sr | 1525 | 1595 | 1100 | 1800 | 11 | 25 | 1764 | 1779 | 1300 | 2252 | 12 | 29 |
| Zr | 275 | 190 | 55 | 674 | 75 | 25 | 250 | 155 | 10 | 691 | 85 | 29 |
| Hf | 4.7 | 3.2 | 0.88 | 12 | 78 | 25 | 3.5 | 2.5 | 0.44 | 11 | 83 | 29 |
| Bi | 45 | 42 | 25 | 81 | 34 | 22 | 77 | 81 | 45 | 109 | 21 | 22 |
| Ga | 8.9 | 9.3 | 0.03 | 16 | 47 | 25 | 11 | 12 | 0.03 | 21 | 45 | 29 |
| As | 133 | 130 | 72 | 207 | 22 | 25 | 163 | 161 | 110 | 225 | 18 | 29 |
| Cd | 3.3 | 3.2 | 1.4 | 6.3 | 37 | 22 | 3.4 | 3.3 | 1.9 | 5.2 | 28 | 22 |
| Te | 49 | 49 | 26 | 81 | 30 | 22 | 59 | 57 | 37 | 88 | 23 | 22 |
| La | 224 | 200 | 146 | 433 | 30 | 25 | 290 | 272 | 130 | 481 | 31 | 29 |
| 294 | 23 | 27 | 345 | 17 | 17 | |||||||
| Ce | 854 | 758 | 440 | 1676 | 37 | 25 | 1455 | 1483 | 849 | 2177 | 23 | 29 |
| 953 | 24 | 27 | 1634 | 18 | 17 | |||||||
| Pr | 42 | 41 | 26 | 63 | 25 | 25 | 50 | 45 | 29 | 84 | 29 | 29 |
| 51 | 36 | 27 | 56 | 18 | 17 | |||||||
| Nd | 185 | 179 | 110 | 306 | 26 | 25 | 215 | 210 | 117 | 351 | 27 | 29 |
| 209 | 39 | 27 | 219 | 19 | 17 | |||||||
| Sm | 35 | 34 | 21 | 52 | 25 | 25 | 39 | 37 | 22 | 61 | 27 | 29 |
| 43 | 44 | 27 | 42 | 20 | 17 | |||||||
| Eu | 9.2 | 8.9 | 5.8 | 13 | 22 | 25 | 10 | 9.7 | 6.2 | 15 | 24 | 29 |
| 11 | 42 | 27 | 10 | 15 | 17 | |||||||
| Gd | 49 | 47 | 35 | 71 | 21 | 25 | 55 | 53 | 29 | 89 | 25 | 29 |
| 61 | 37 | 27 | 63 | 14 | 17 | |||||||
| Tb | 6.7 | 6.6 | 4.3 | 9.9 | 20 | 25 | 7.1 | 7.0 | 4.5 | 11 | 20 | 29 |
| 8.0 | 49 | 27 | 7.0 | 21 | 17 | |||||||
| Dy | 42 | 42 | 28 | 63 | 20 | 25 | 44 | 42 | 28 | 69 | 21 | 29 |
| 53 | 53 | 27 | 49 | 25 | 17 | |||||||
| Ho | 9.2 | 9.0 | 6.3 | 15 | 19 | 25 | 9.5 | 8.7 | 6.2 | 15 | 21 | 29 |
| 12 | 51 | 27 | 11 | 27 | 17 | |||||||
| Er | 28 | 28 | 19 | 44 | 19 | 25 | 29 | 27 | 18 | 47 | 21 | 29 |
| 38 | 50 | 27 | 34 | 30 | 17 | |||||||
| Tm | 3.9 | 3.9 | 2.8 | 6.2 | 18 | 25 | 4.1 | 3.9 | 2.7 | 6.5 | 20 | 29 |
| 5.0 | 48 | 27 | 5.0 | 26 | 17 | |||||||
| Yb | 26 | 25 | 18 | 41 | 18 | 25 | 27 | 26 | 18 | 41 | 19 | 29 |
| 36 | 53 | 27 | 33 | 30 | 17 | |||||||
| Lu | 4.2 | 4.1 | 3.0 | 6.7 | 18 | 25 | 4.3 | 4.2 | 3.0 | 7.0 | 20 | 29 |
| 6.0 | 51 | 27 | 5.0 | 34 | 17 | |||||||
| Y | 306 | 272 | 170 | 718 | 38 | 25 | 272 | 210 | 130 | 560 | 49 | 29 |
| 393 | 32 | 27 | 308 | 31 | 17 | |||||||
| LREE | 1350 | 1224 | 821 | 2343 | 32 | 25 | 2059 | 2020 | 1316 | 2927 | 22 | 29 |
| 1561 | 27 | 2306 | 17 | |||||||||
| HREE | 168 | 167 | 117 | 256 | 19 | 25 | 179 | 173 | 109 | 268 | 20 | 29 |
| 219 | 27 | 207 | 17 | |||||||||
| Ce* | 2.0 | 1.9 | 1.4 | 3.0 | 17 | 25 | 2.9 | 2.9 | 1.5 | 4.5 | 22 | 29 |
| 1.8 | 27 | 2.7 | 17 | |||||||||
| L/HREE | 7.9 | 7.4 | 5.7 | 12 | 21 | 25 | 12 | 12 | 5.6 | 16 | 20 | 29 |
| 7.1 | 27 | 11 | 17 | |||||||||
| REY | 1825 | 1620 | 1201 | 3183 | 30 | 25 | 2510 | 2403 | 1648 | 3546 | 22 | 29 |
| 2173 | 27 | 2821 | 17 |
References
- Lisitsyn, A.P. (Ed.) Ferromanganese Crusts and Nodules on Seamounts of the Pacific; Nedra: Moscow, Russia, 1990; 227p. (In Russian) [Google Scholar]
- Baturin, G.N. Oceanic Mineral Resources; Nauka: Moscow, Russia, 1993; 303p. (In Russian) [Google Scholar]
- Andreev, S.I. (Ed.) Cobalt-Bearing Ferromanganese Crusts and Nodules of the Pacific Ocean; VNIIOkeangeologiya: St-Petersburg, Russia, 1993; 190p. (In Russian) [Google Scholar]
- Andreev, S.I. (Ed.) Cobalt-Rich Ores of the World Ocean; VNIIOkeangeologiya: St. Petersburg, Russia, 2002; 168p. (In Russian) [Google Scholar]
- Hein, J.R.; Mizell, K.; Koschinsky, A.; Conrad, T.A. Deep-ocean mineral deposits as a source of critical metals for high- and green-technology applications: Comparison with land-based resources. Ore Geol. Rev. 2013, 51, 1–14. [Google Scholar] [CrossRef]
- Halbach, P.E.; Jahn, A.; Cherkashov, G. Marine Co-Rich Ferromanganese Crust Deposits: Description and Formation, Occurrences and Distribution, Estimated World-wide Resources. In Deep-Sea Mining: Resource Potential, Technical and Environmental Considerations; Sharma, R., Ed.; Springer International Publishing: Cham, Switzerland, 2017; pp. 65–141. [Google Scholar] [CrossRef]
- Bogdanov, Y.A.; Sorokhtin, O.G.; Zonenshain, L.P.; Kuptsov, V.M.; Lisitsyna, N.A.; Podrazhansky, A.M. Ferromanganese Crusts and Nodules on Pacific Seamounts; Nauka: Moscow, Russia, 1990; 229p. (In Russian) [Google Scholar]
- Bogdanov, Y.A.; Gurvich, E.G.; Bogdanova, O.Y.; Dubinin, A.V.; Gorshkov, A.I.; Jansa, L.F. Ferromanganese crusts and nodules from guyots of the Northwestern Pacific. Geochem. Int. 1998, 36, 455–466. [Google Scholar]
- Melnikov, M.E. Deposits of Cobalt-Rich Manganese Crusts; FGUGP GNTS; Yuzhmorgeologiya: Gelendzhik, Russia, 2005; 230p. (In Russian) [Google Scholar]
- Melnikov, M.E. Cobalt-rich ferromanganese crusts. In World Ocean. V.III. Solid Minerals and Gas Hydrates in the Ocean; Nauchny Mir: Moscow, Russia, 2018; pp. 285–322. (In Russian) [Google Scholar]
- Volokhin, Y.G.; Melnikov, M.E.; Shkolnik, E.L.; Vasiliev, B.I.; Govorin, I.N.; Khersberg, L.B.; Zadornov, M.V.; Baturin, G.N.; Mechetin, A.V.; Chudaev, O.V.; et al. Guyots of the Western Pacific and Their Mineralization; Nauka: Moscow, Russia, 1995; 368p. (In Russian) [Google Scholar]
- Pletnev, S.P.; Melnikov, M.E.; S’edin, V.T.; Sedysheva, T.E.; Avdonin, V.V.; Anokhin, V.M.; Zakharov, Y.D.; Punina, T.A.; Smirnova, O.L. Geology of Guyots in the Magellan Seamounts (Pacific Ocean); Dalnauka: Vladivostok, Russia, 2020; 200p. (In Russian) [Google Scholar]
- Melnikov, M.Y.; Pletnev, S.P.; Anokhin, V.M.; Sedysheva, T.E.; Ivanov, V.V. Volcanic edifice on guyots of the Magellan Seamounts (Pacific Ocean). Russ. J. Pac. Geol. 2016, 10, 435–4452. [Google Scholar] [CrossRef]
- Melnikov, M.Y.; Podschuveit, V.B.; Pulyaeva, I.A.; Nevretdinov, E.B. Middle Miocene volcanic structures on the Dalmorgeologiya Guyot (Magellan Seamounts, Pacific Ocean). Russ. J. Pac. Geol. 2000, 19, 38–46. (In Russian) [Google Scholar]
- Koppers, A.A.P.; Staudigel, H.; Wijbrans, J.R.; Pringle, M.S. The Magellan seamount trail: Implications for Cretaceous hotspotvolcanism and absolute Pacific Plate motion. Earth Planet. Sci. Lett. (EPSL) 1998, 163, 53–68. [Google Scholar] [CrossRef]
- Koppers, A.A.P.; Staudigel, H.; Wijbrans, J.R. Dating crystalline groundmass separates of altered Cretaceous seamount basalts by the 40Ar/39Ar incremental heating technique. Chem. Geol. 2000, 166, 139–158. [Google Scholar] [CrossRef]
- Wei, H.; Zhang, G.-L.; Zhang, J.; Shi, X.-F.; Castillo, P.R.; Zhang, Y.; Zhang, W.-F.; Xu, Y.-G.; Li, H.-Y.; Zhang, H. Overlapping hotspot tracks and melts from diffuse plume materials in the upper mantle generated intraplate seamount groups in the WestPacific. Earth Planet. Sci. Lett. (EPSL) 2024, 643, 118901. [Google Scholar] [CrossRef]
- Peretyazhko, I.S.; Savina, E.A. Chemistry and crystallization conditions of minerals in metasomatized oceanic lithosphere and basaltic rocks of Govorov Guyot, Magellan Seamounts, Pacific Ocean. Minerals 2022, 12, 1305. [Google Scholar] [CrossRef]
- Peretyazhko, I.S.; Savina, E.A. Cretaceous intraplate volcanism of Govorov Guyot and formation models of the Magellan seamounts, Pacific Ocean. Int. Geol. Rev. 2023, 65, 2479–2505. [Google Scholar] [CrossRef]
- Peretyazhko, I.S.; Savina, E.A.; Pulyaeva, I.A.; Yudin, D.S. Intraplate volcanism of the Alba Guyot. Geodynamic formation models of the Magellan Seamounts in the Pacific Ocean for 100 million years. Russ. Geol. Geophys. 2023, 64, 1–27. [Google Scholar] [CrossRef]
- Peretyazhko, I.S.; Savina, E.A.; Pulyaeva, I.A. Miocene petit-spot basanitic volcanoes on Cretaceous Alba Guyot (Magellan Seamount Trail, Pacific Ocean). Geosciences 2024, 14, 252. [Google Scholar] [CrossRef]
- Avdonin, V.V.; Kruglyakov, V.V.; Lygina, T.I.; Melnikov, M.E.; Sergeeva, N.E. Oceanic Ferromanganese Ores: Genetic Interpretation of Structures and Textures; GEO: Moscow, Russia, 2014; p. 164. (In Russian) [Google Scholar]
- Melnikov, M.E.; Pulyaeva, I.A. Ferromanganese crusts deposits of Marcus-Wake and Magellan seamount, Western Pafic: Structure, composition and age. Russ. J. Pac. Geol. 1995, 11, 525. [Google Scholar]
- Melnikov, M.E.; Pletnev, S.P. Age and formation conditions of the Co-rich manganese crust on guyots of the Magellan Seamounts. Lithol. Miner. Resour. 2013, 48, 1–13. [Google Scholar] [CrossRef]
- Pletnev, S.P.; Smirnova, O.L.; Melnikov, M.E.; Punina, T.A.; Kopaevich, L.F. New paleontological data on Govorov, Vulkanolog, and Kocebu guyots (Magellan seamounts, Pacific). Russ. J. Pac. Geol. 2017, 11, 148–153. [Google Scholar] [CrossRef]
- Pulyaeva, I.A. Stratification of ferromanganese crusts on the Magellan seamounts. In Proceedings of the 30th International Geological Congress, Beijing, China, 4–14 August 1996; Volume 13, pp. 111–128. [Google Scholar]
- Pulyaeva, I.A.; Hein, J.R. Paleoceanographic conditions during the formation of Fe-Mn crusts from the Pacific Ocean: Biostratigraphic and compositional evidence. In Proceedings of the 39th Annual Conference of the Underwater Mining Institute, Gelendzhik, Russia, 4–9 October 2010; pp. 1–12. (In Russian). [Google Scholar]
- Pulyaeva, I.A.; Hein, J.R. Chronostratigraphy of Fe-Mn crusts from the Pacific Ocean. In Proceedings of the Joint International Conference on Minerals of the Ocean-5 and Deep-Sea Minerals and Mining-3, St. Petersburg, Russia, 28 June–1 July 2010; pp. 38–40. (In Russian). [Google Scholar]
- Pulyaeva, I.A.; Hein, J.R. Hydrogenetic Fe-Mn crusts from the Atlantic and Pacific oceans: Geological evolution and conditions of formation. In Marine Minerals: Recent Innovations in Technology; UMI: Anaheim, CA, USA, 2011. [Google Scholar]
- Avdonin, V.V.; Sergeeva, N.E. Formation patterns of ferromanganese crusts and nodules. Bull. Moscow State Univ. Ser. 4 Geol. 2003, 5, 31–39. (In Russian) [Google Scholar]
- Bogdanova, O.Y.; Novikov, G.V.; Bogdanov, Y.A.; Gorshkov, A.I. Mineralogy and morphogenetic types of ferromanganese deposits in the World ocean. Geol. Ore Depos. 2008, 50, 462–469. [Google Scholar] [CrossRef]
- Baturin, G.N.; Dubinchuk, V.T.; Azarnova, L.A.; Mel’nikov, M.E. Minerals of rare earth elements in the phosphate fraction of ferromanganese crusts on seamounts. Dokl. Earth Sci. 2006, 411, 1362–1365. [Google Scholar] [CrossRef]
- Hein, J.R.; Koschinsky, A.; Bau, M.; Manheim, F.T.; Kang, J.-K.; Roberts, L. Cobalt-rich ferromanganese crusts in the Pacific. In Handbook of Marine Mineral Deposits; Routledge: Abingdon, UK, 2000; Volume 18, pp. 239–273. [Google Scholar]
- Hein, J.R.; Yeh, H.-W.; Gunn, S.H.; Sliter, W.V.; Benninger, L.M.; Wang, C.-H. Two major Cenozoic episodes of phosphogenesis recorded in equatorial Pacific seamount deposits. Paleoceanography 1993, 8, 293–311. [Google Scholar] [CrossRef]
- Koschinsky, A.; Stascheit, A.; Bau, M.; Halbach, P. Effects of phosphatization on the geochemical and mineralogical composition of marine ferromanganese crusts. Geochim. Cosmochim. Acta 1997, 61, 4079–4094. [Google Scholar] [CrossRef]
- Baturin, G.N.; Yushina, I.G. Rare earth elements in phosphate-ferromanganese crusts on Pacific seamounts. Lithol. Miner. Resour. 2007, 42, 101–117. [Google Scholar] [CrossRef]
- Cui, Y.; Shi, X.; Liu, J.; Ren, X. Effects of phosphatization on the elemental association of cobalt-rich crusts. Bull. Geol. Sci. Tech. 2008, 27, 61–67. [Google Scholar] [CrossRef]
- Ren, J.; He, G.; Yao, H.; Deng, X.; Zhu, K.; Yang, S. The effects of phosphatization on the REY of Co-rich Fe-Mn crusts. Mar. Geol. Quat. Geol. 2017, 37, 33–43. [Google Scholar] [CrossRef]
- Martini, E.; Worsley, T. Standard Neogene calcareous nannoplankton zonation. Nature 1970, 225, 289–290. [Google Scholar] [CrossRef]
- Martini, E. Standard Tertiary and Quaternary calcareous nannoplankton zonation. In Proceedings of the 2nd Planktonic Conference; Farinacci, A., Ed.; Edizioni Tecnoscienza: Bologna, Italy, 1971; Volume 2, pp. 1225–1230. [Google Scholar]
- Bukry, D. Biostratigraphy of Cenozoic marine sediment by calcareous nannofossils. Micropaleontology 1978, 24, 44–60. [Google Scholar] [CrossRef]
- Okada, H.; Bukry, D. Supplementary modification and introduction of code numbers to the low latitude coccolith biostratigraphic zonation. Mar. Micropaleontol. 1980, 5, 321–325. [Google Scholar] [CrossRef]
- Koschinsky, A.; Hein, J.R. Marine Ferromanganese Encrustations: Archives of Changing Oceans. Elements 2017, 13, 177–182. [Google Scholar] [CrossRef]
- Hein, J.R.; Koschinsky, A. Deep-ocean ferromanganese crusts and nodules. Treatise Geochem. 2014, 13, 273–291. [Google Scholar] [CrossRef]
- Glasby, G.P.; Ren, X.; Shi, X.; Pulyaeva, I.A. Co-rich Mn crusts from the Magellan seamounts cluster: The long journey through time. Geo-Mar. Lett. 2007, 27, 315–323. [Google Scholar] [CrossRef]
- Koschinsky, A.; Hein, J. Acquisition of elements from seawater by ferromanganese crusts: Solid phase associations and seawater speciation. Mar. Geol. 2003, 19, 331–351. [Google Scholar] [CrossRef]
- Melnikov, M.E.; Pletnev, S.P. Distribution of cerium in accumulations of manganese crusts of different ranks on the Magellan seamount (Pacific Ocean). Geol. Miner. World Ocean 2009, 1, 23–26. (In Russian) [Google Scholar]
- Asavin, A.M.; Kubrakova, I.V.; Melnikov, M.E.; Tyutyunnik, O.A.; Chesalova, E.I. Geochemical zoning in ferromanganese crusts of Ita-Mai-Tai guyot. Geochem. Int. 2010, 48, 423–445. [Google Scholar] [CrossRef]
- Yang, K.; Ma, W.; Zhang, W.; Li, Z.; He, G.; Li, X.; Qiu, Z.; Wang, H.; Zhao, B.; Yang, Y.; et al. Geological and geochemical characteristics of shallow-buried ferromanganese crusts from Weijia Guyot and their resource potential. Mar. Geol. 2023, 464, 107119. [Google Scholar] [CrossRef]
- Novikov, G.V.; Melnikov, M.E.; Bogdanova, O.Y.; Drozdova, A.N.; Lobus, N.V. Mineralogy and geochemistry of Co-bearing manganese crusts from the Govorov and Volcanologist guyots of the Magellan Seamounts (Pacific Ocean). Oceanology 2017, 57, 716–722. [Google Scholar] [CrossRef]
- Novikov, G.V.; Lobkovsky, L.I.; Lobusa, N.V.; Bogdanova, O.Y.; Sedysheva, T.E. Ore content of Co-rich ferromanganese crust of the Govorov guyot of the Magellanic mountains of the Pacific Ocean. Dokl. Earth Sci. 2021, 499, 675–682. [Google Scholar] [CrossRef]
- Novikov, G.V.; Sedysheva, T.E.; Bogdanova, O.Y.; Lobus, N.V. Cobalt-rich ferromanganese crusts of the Kotzebue guyot of the Magellan seamount of the Pacific Ocean: Conditions of occurrence, mineralogy, and geochemistry. Oceanology 2022, 62, 879–889. [Google Scholar] [CrossRef]
- Yang, K.; Park, H.; Son, S.K.; Baik, H.; Park, K.; Kim, J.; Yoon, J.; Park, C.H.; Kim, J. Electron microscopy study on the formation of ferromanganese crusts, western Pacific Magellan Seamounts. Mar. Geol. 2019, 410, 32–41. [Google Scholar] [CrossRef]
- Wang, L.; Zeng, Z. The geochemical features and genesis of ferromanganese deposits from Caiwei Guyot, Northwestern Pacific Ocean. J. Mar. Sci. Eng. 2022, 10, 1275. [Google Scholar] [CrossRef]
- Yang, Y.; Xiao, B.; Shi, X.; Zhang, S. Unusual cobalt behaviors and enrichment in cobalt-rich crust from the Magellan seamounts in the Western Pacific. Ore Geol. Rev. 2024, 173, 106234. [Google Scholar] [CrossRef]
- Park, J.; Hwang, H.; An, Y.; Yang, K. High-resolution reconstruction of oxidation–reduction conditions: Raman spectroscopy and µ-XRF analysis of manganese nodule and crust on tabletop of Western Pacific Magellan Seamounts. Minerals 2024, 14, 1135. [Google Scholar] [CrossRef]
- Dubinin, A.V. Geochemistry of Rare-Earth Elements in the Ocean; Nauka: Moscow, Russia, 2006; 360p. (In Russian) [Google Scholar]
- McLennan, S.M. Rare earth elements in sedimentary rocks; influence of provenance and sedimentary processes. In Geochemistry and Mineralogy of Rare Earth Elements; Lipin, B.R., McKay, G.A., Eds.; De Gruyter: Berlin, Germany, 1989; pp. 169–200. [Google Scholar] [CrossRef]
- Bonatti, E.; Kraemer, T.; Rydell, H. Classification and genesis of submarine iron-manganese deposits. In Ferromanganese Deposits on the Sea Floor; Horn, D.R., Ed.; Arden House: Harriman, NY, USA, 1972; 149p. [Google Scholar]
- Halbach, P.; Scherhag, C.; Hebisch, U.; Marchig, V. Geochemical and mineralogical control of different genetic types of deep-sea nodules from the Pacifc Ocean. Mineral. Depos. 1981, 16, 59–84. [Google Scholar] [CrossRef]
- Josso, P.; Pelleter, E.; Pourret, O.; Fouquet, Y.; Etoubleau, J.; Cheron, S.; Bollinger, C. A new discrimination scheme for oceanic ferromanganese deposits using high field strength and rare earth elements. Ore Geol. Rev. 2017, 87, 3–15. [Google Scholar] [CrossRef]
- Bau, M.; Schmidt, K.; Koschinsky, A.; Hein, J.; Kuhn, T.; Usui, A. Discriminating between different genetic types of marineferro-manganese crusts and nodules based on rare earth elements and yttrium. Chem. Geol. 2014, 381, 1–9. [Google Scholar] [CrossRef]
- Deng, X.; Liu, Y.; Luo, J.; Hu, G.; Wang, W.; Deng, X.; Wang, H.; Wei, Z.; Ren, J.; Zhou, J. Effects of phosphatization on the mineralogical and geochemical composition of marine ferromanganese crusts from the JiaXie Guyot in the Western Pacific: Constraints from high resolution analysis. Ore Geol. Rev. 2024, 172, 106209. [Google Scholar] [CrossRef]
- Jiang, X.D.; Sun, X.M.; Chou, Y.M.; Hein, J.R.; He, G.W.; Fu, Y.; Li, D.F.; Liao, J.L.; Ren, J.B. Geochemistry and origins of carbonate fluorapatite in seamount Fe-Mn crusts from the Pacific Ocean. Mar. Geol. 2020, 423, 106135. [Google Scholar] [CrossRef]
- Bau, M.; Koshcinsky, A. Oxidative scavenging of cerium on hydrous Fe oxide: Evidence from the distribution of rare earth elements and yttrium between Fe oxides and Mn oxides in hydrogenetic ferromanganese crusts. Geochem. J. 2009, 43, 37–47. [Google Scholar] [CrossRef]
- Claude, C.; Suhr, G.; Hofmann, A.W.; Koschinsky, A. U-Th chronology and paleoceanographic record in a Fe-Mn crust from the NE Atlantic over the last 700 ka. Geochim. Cosmochim. Acta 2005, 69, 4845–4854. [Google Scholar] [CrossRef]
- Josso, P.; Parkinson, I.; Horstwood, M.; Lusty, P.; Chenery, S.; Murton, B. Improving confidence in ferromanganese crust age models: A composite geochemical approach. Chem. Geol. 2019, 513, 108–119. [Google Scholar] [CrossRef]
- Klemm, V.; Levasseur, S.; Frank, M.; Hein, J.R.; Halliday, A.N. Osmium isotope stratigraphy of a marine ferromanganese crust. Earth Planet. Sci. Lett. 2005, 238, 42–48. [Google Scholar] [CrossRef]
- Goto, K.T.; Anbar, A.D.; Gordon, G.W.; Romaniello, S.J.; Shimoda, G.; Takaya, Y.; Tokumaru, A.; Nozaki, T.; Suzuki, K.; Machida, M.; et al. Uranium isotope systematics of ferromanganese crusts in the Pacific Ocean: Implications for the marine 238U/235U isotope system. Geochim. Cosmochim. Acta 2014, 146, 43–58. [Google Scholar] [CrossRef]
- Zeng, X.; Zhang, J.; Yao, H.; Ren, J.; Li, J. A high-resolution Os-Nd-Pb isotopic record of a hydrogenous Fe–Mn crust from the Northwestern Pacific and its response to plate motion. Mar. Geol. 2023, 459, 107028. [Google Scholar] [CrossRef]
- Peng, J.; Li, D.; Poulton, S.W.; O’Sullivan, G.J.; Chew, D.; Yu Fu, Y.; Sun, X. Episodic intensification of marine phosphorus burial over the last 80 million years. Nat. Commun. 2024, 15, 7446. [Google Scholar] [CrossRef]
- Puteanus, D.; Halbach, P. Correlation of Co concentration and growth rate—A method for age determination of ferromanganese crusts. Chem. Geol. 1988, 69, 73–85. [Google Scholar] [CrossRef]
- Halbach, P.; Segl, M.; Puteanus, D.; Mangini, A. Co-fluxes and growth rates in ferromanganese deposits from central Pacific seamount areas. Nature 1983, 304, 716–719. [Google Scholar] [CrossRef]
- Manheim, F.T.; Lane-Bostwick, C.M. Cobalt in ferromanganese crusts as a monitor of hydrothermal discharge on the Pacific sea floor. Nature 1988, 335, 59–62. [Google Scholar] [CrossRef]


















| Sampling Sites | Deposit Type (Crust Layer Samples) | Latitude (N) | Longitude (E) | Sea Depth, m |
|---|---|---|---|---|
| Govorov | ||||
| 08D106 | Crust (I-1, I-2, II-1, II-2, III) | 17°55.416′ | 151°14.111′ | 1780 |
| 08D108 | Crust (II-1, II-2, III) | 17°53.903′ | 151°14.488′ | 2037 |
| 08D115 | Crust (I-1, II, III) | 17°37.201′ | 151°29.888′ | 1900 |
| 08D114 | Crust (I-1, II, III) | 17°39.611′ | 151°28.809′ | 2249 |
| 08D118-3 | Crust (I-1, II, III) | 17°33.101′ | 151°27.571′ | 2832 |
| Kocebu | ||||
| 14D53 | Crust (I-2, II, III) | 17°22.431′ | 152°33.218′ | 1794 |
| 14MTP01 | Crust (I-1) | 17°22.346′ | 152°33.056′ | 1958 |
| 14MTP02 | Crust (I-1, II, III) | 17°27.555′ | 152°51.043′ | 2695 |
| 14D77-2 | Crust (I-1, I-2, II-1, II-2, III) | 17°29.877′ | 153°13.693′ | 1538 |
| 08D106 | ∆Χ | Layer | wt% | 08D115 | ∆Χ | Layer | wt% | ||
|---|---|---|---|---|---|---|---|---|---|
| SiO2 | 13.10 | 0.082 | III | 47.02 | SiO2 | 9.95 | 0.176 | III | 53.13 |
| TiO2 | 1.99 | 0.098 | II-2 | 21.93 | TiO2 | 1.85 | −0.001 | II | 13.45 |
| Al2O3 | 3.08 | −0.122 | II-1 | 18.41 | Al2O3 | 2.13 | −0.272 | I-1 | 29.16 |
| Fe2O3 | 25.00 | −0.118 | I-2 | 12.25 | Fe2O3 | 22.20 | 0.003 | Total | 95.73 |
| MgO | 2.05 | 0.178 | I-1 | 0.04 | MgO | 1.87 | 0.208 | ||
| MnO | 27.42 | −0.205 | Total | 99.64 | MnO | 26.94 | 0.033 | ||
| CaO | 4.49 | −0.114 | CaO | 7.03 | −0.296 | ||||
| Na2O | 2.48 | 0.209 | Na2O | 2.36 | |||||
| K2O | 0.82 | −0.075 | K2O | 0.71 | −0.034 | ||||
| P2O5 | 1.52 | 0.065 | P2O5 | 3.14 | 0.184 | ||||
| LOI | 15.40 | LOI | 15.84 | ||||||
| Total | 97.35 | Total | 94.03 | ||||||
| ∑∆Χ2 | 0.185 | ∑∆Χ2 | 0.271 | ||||||
| 14D77-2 | ∆Χ | Layer | wt% | 14D53 | ∆Χ | Layer | wt% | ||
| SiO2 | 10.13 | 0.197 | III | 27.98 | SiO2 | 11.38 | 0.229 | III | 2.35 |
| TiO2 | 1.73 | 0.101 | II-2 | 28.99 | TiO2 | 1.82 | −0.146 | II | 94.10 |
| Al2O3 | 2.21 | −0.237 | II-1 | 22.32 | Al2O3 | 2.94 | −0.371 | I-2 | 0.00 |
| Fe2O3 | 22.80 | −0.192 | I-2 | 13.24 | Fe2O3 | 23.33 | −0.231 | Total | 96.45 |
| MgO | 2.06 | I-1 | 7.89 | MgO | 2.02 | 0.115 | |||
| MnO | 29.73 | 0.090 | Total | 100.42 | MnO | 27.00 | 0.272 | ||
| CaO | 6.96 | −0.233 | CaO | 4.74 | −0.457 | ||||
| Na2O | 2.46 | Na2O | 2.39 | ||||||
| K2O | 0.76 | 0.112 | K2O | 0.80 | |||||
| P2O5 | 3.05 | 0.163 | P2O5 | 1.43 | −0.420 | ||||
| LOI | 16.35 | LOI | 16.57 | ||||||
| Total | 98.23 | Total | 94.40 | ||||||
| ∑∆Χ2 | 0.243 | ∑∆Χ2 | 0.739 |
Disclaimer/Publisher’s Note: The statements, opinions and data contained in all publications are solely those of the individual author(s) and contributor(s) and not of MDPI and/or the editor(s). MDPI and/or the editor(s) disclaim responsibility for any injury to people or property resulting from any ideas, methods, instructions or products referred to in the content. |
© 2025 by the authors. Licensee MDPI, Basel, Switzerland. This article is an open access article distributed under the terms and conditions of the Creative Commons Attribution (CC BY) license (https://creativecommons.org/licenses/by/4.0/).
Share and Cite
Peretyazhko, I.S.; Savina, E.A.; Pulyaeva, I.A. Cobalt-Rich Fe-Mn Crusts in the Western Pacific Magellan Seamount Trail: Geochemistry and Chronostratigraphy. Geosciences 2025, 15, 411. https://doi.org/10.3390/geosciences15110411
Peretyazhko IS, Savina EA, Pulyaeva IA. Cobalt-Rich Fe-Mn Crusts in the Western Pacific Magellan Seamount Trail: Geochemistry and Chronostratigraphy. Geosciences. 2025; 15(11):411. https://doi.org/10.3390/geosciences15110411
Chicago/Turabian StylePeretyazhko, Igor S., Elena A. Savina, and Irina A. Pulyaeva. 2025. "Cobalt-Rich Fe-Mn Crusts in the Western Pacific Magellan Seamount Trail: Geochemistry and Chronostratigraphy" Geosciences 15, no. 11: 411. https://doi.org/10.3390/geosciences15110411
APA StylePeretyazhko, I. S., Savina, E. A., & Pulyaeva, I. A. (2025). Cobalt-Rich Fe-Mn Crusts in the Western Pacific Magellan Seamount Trail: Geochemistry and Chronostratigraphy. Geosciences, 15(11), 411. https://doi.org/10.3390/geosciences15110411

