New Porphyry Copper–Molybdenum Ore Occurrence in Arganaty Granites of the Eastern Balkhash (Kazakhstan): Geology, Geochemistry, and Mineralogy
Abstract
1. Introduction


2. Physical and Geographical Characteristics of the Region
3. Materials and Methods
4. Geology
4.1. Decoding of Satellite Images
4.2. Arganaty Massif
5. Results
5.1. Petrography of the Arganaty Granites
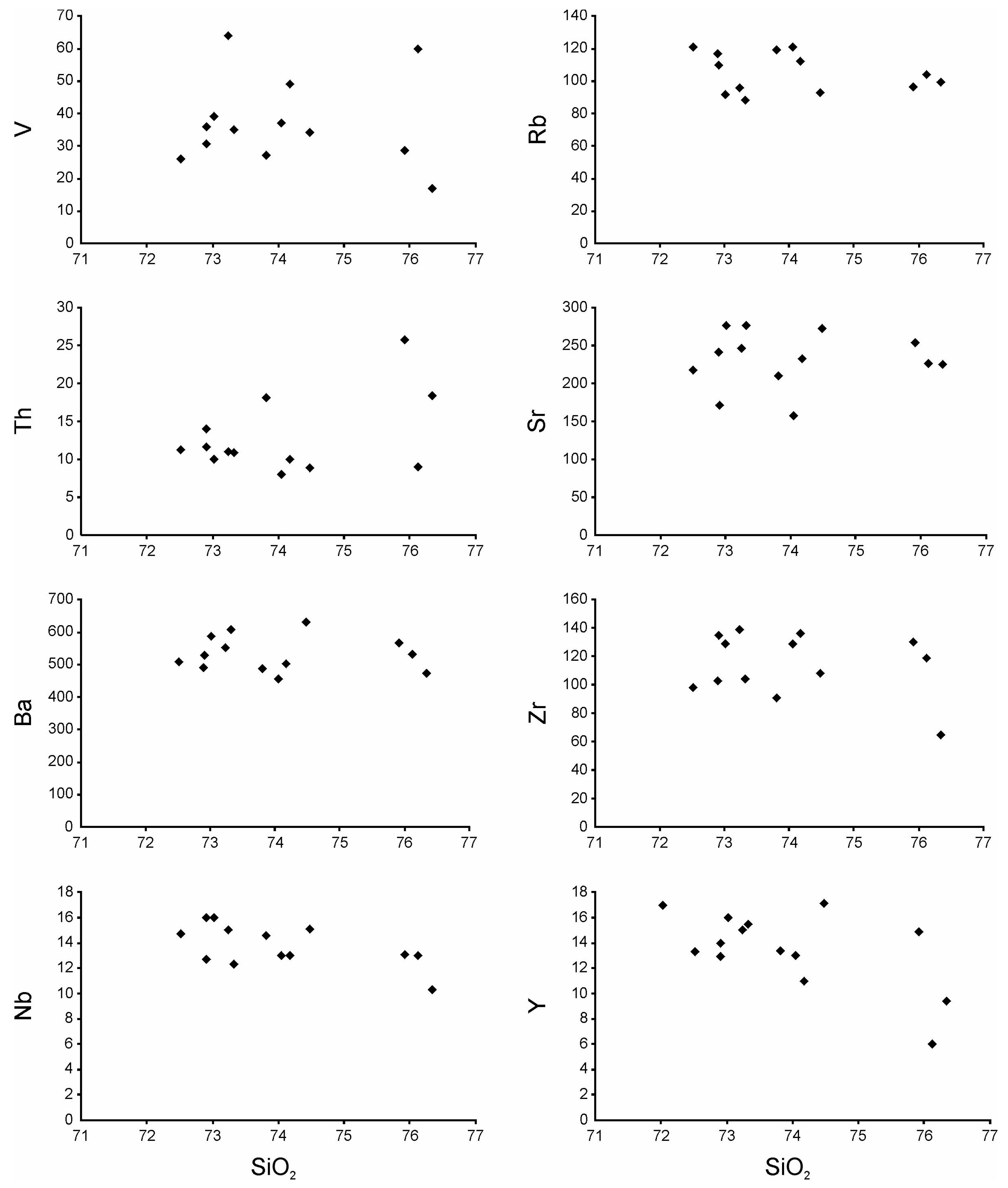
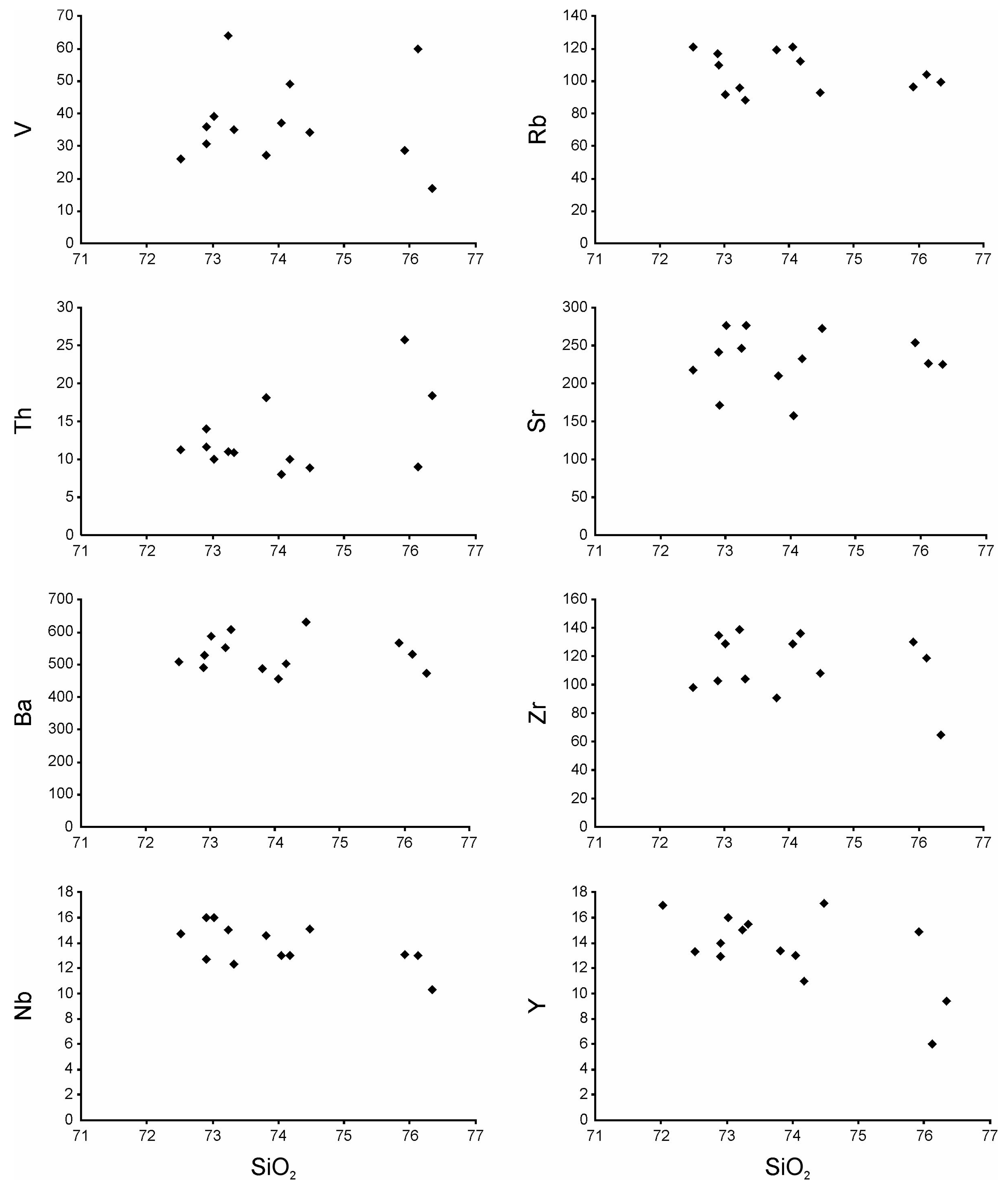
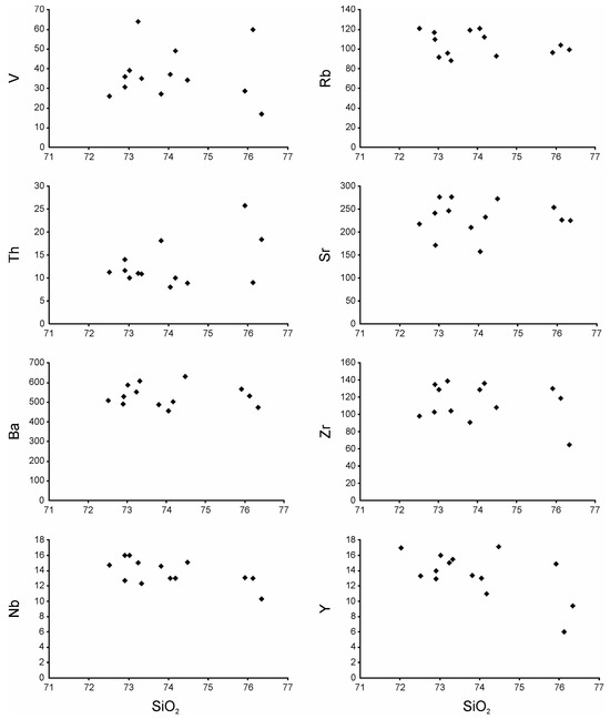
5.2. Geochemistry
5.3. Mineralogy
6. Discussion
7. Conclusions
Author Contributions
Funding
Data Availability Statement
Acknowledgments
Conflicts of Interest
References
- Abdullin, A.A. Geology and Mineral Resources of Kazakhstan; Gylym: Almaty, Kazakhstan, 1994; 400p. (In Russian) [Google Scholar]
- Kolesnikov, V.V. Deposits of Non-Ferrous Metals. In Series: Balkhash Segment; Gylym: Alma-Ata, Kazakhstan, 1991; 192p. (In Russian) [Google Scholar]
- Liu, G.; Chen, X.H.; Dong, S.W.; Chen, Z.L.; Han, S.Q.; Yang, Y.; Ye, B.-Y.; Shi, W. Geochemistry of late Palaeozoic granitoids of the Balkhash metallogenic belt, Kazakhstan: Implications for crustal growth and tectonic evolution of the Central Asian Orogenic Belt. Intern. Geol. Rev. 2016, 59, 1053–1081. [Google Scholar] [CrossRef]
- Bekzhanov, G.R.; Koshkin, V.Y.; Nikitchenko, I.I.; Skrinnik, L.I.; Azizov, T.M.; Timush, A.V. Geological Structure of Kazakhstan; Academy of Mineral Resources of the Republic of Kazakhstan: Almaty, Kazakhstan, 2000; 396p. (In Russian) [Google Scholar]
- Heinhorst, J.; Lehmann, B.; Ermolov, P.; Serykh, V.; Zhurutin, S. Paleozoic crustal growth and metallogeny of Central Asia: Evidence from magmatic-hydrothermal ore systems of Central Kazakhstan. Tectonophysics 2000, 328, 69–87. [Google Scholar] [CrossRef]
- Seitmuratova, E.Y. Late Paleozoic Volcanogenic and Volcanogenic-Sedimentary Formations of the Junggar-Balkhash Folded Area: (Stratigraphy, Geological-Petrological Features). Almaty, Kazakhstan, 2002; 254p. (In Russian) [Google Scholar]
- Seitmuratova, E.Y. Late Paleozoic of the Junggar-Balkhash Folded Area (Kazakhstan) (Stratigraphy, Magmatism, History of the Continental Margin Formation in the Late Paleozoic); LLP Evero: Almaty, Kazakhstan, 2011; 279p. (In Russian) [Google Scholar]
- Yakubchuk, A. Evolution of the Central Asian Orogenic Supercollage since late Neoproterozoic revised again. Gondwana Res. 2017, 47, 372–398. [Google Scholar] [CrossRef]
- Degtyarev, K.E.; Luchitskaya, M.V.; Tretyakov, A.A.; Pilitsyna, A.V.; Yakubchuk, A.S. Early Paleozoic suprasubduction complexes of the North Balkhash ophiolite zone (Central Kazakhstan): Geochronology, geochemistry and implications for tectonic evolution of the Junggar-Balkhash Ocean. Lithos 2021, 380, 105818. [Google Scholar] [CrossRef]
- Baibatsha, A.B. Geotectonics and geodynamics of paleozoic structures from the perspective of plume tectonics: A case of Kazakhstan. GEOMATE J. 2020, 19, 194–202. [Google Scholar] [CrossRef]
- Baibatsha, A.B. Geotectonics and Geodynamics of Kazakhstan Paleozoides from the Plume Tectonics Position (Kazakhstan). In Advances in Geophysics, Tectonics and Petroleum Geosciences, Advances in Science, Technology & Innovation, Proceedings of the Conference of the Arabian Journal of Geosciences 2019, Sousse, Tunisia, 25–28 November 2019; Meghraoui, M., Sundararajan, N., Banerjee, S., Hinzen, K.-G., Eshagh, M., Roure, F., Chaminé, H.I., Maouche, S., Michard, A., Eds.; Springer: Cham, Switzerland, 2022; pp. 573–575. [Google Scholar] [CrossRef]
- Zvezdov, V.S.; Migachev, I.F.; Girfanov, M.M. Porphyry copper deposits of the CIS and the models of their formation. Ore Geol. Rev. 1993, 7, 511–549. [Google Scholar] [CrossRef]
- Miroshnichenko, L.A.; Zhukov, N.M. Geodynamic Settings of Formation and Prospective Assessments of Copper Metallogenic Complexes in Kazakhstan. Izv. NAN RK Ser. Geol. 2006, 6, 10–17. (In Russian) [Google Scholar]
- Zhukov, N.M.; Antonenko, A.A.; Goykolova, T.V. Prospects of Marginal Volcano-Plutonic Belts and Associated Structures of Kazakhstan for Priority Mineral Resources. Izv. NAN RK Ser. Geo. Technol. Sci. 2014, 5, 28–39. (In Russian) [Google Scholar]
- Shatov, V.; Seltmann, R.; Kremenetsky, A.; Lehmann, B.; Popov, V.; Ermolov, P. Granite-Related Ore Deposits of Central Kazakhstan and Adjacent Areas; Glagol Publishing House: St. Petersburg, Russia, 1996; 400p, ISBN 5 853 81122 3. [Google Scholar]
- Mao, J.; Pirajno, F.; Lehmann, B.; Luo, M.; Berzina, A. Distribution of porphyry deposits in the Eurasian continent and their corresponding tectonic settings. J. Asian Earth Sci. 2014, 79, 576–584. [Google Scholar] [CrossRef]
- Seltmann, R.; Porter, T.M. The porphyry Cu-Au/Mo deposits of Central Eurasia: 1. Tectonic, geologic and metallogenic setting and significant deposits. In Super Porphyry Copper and Gold Deposits: A Global Perspective, V.2; PGC Publishing: Adelaide, Australia, 2005; pp. 467–512. [Google Scholar]
- Baibatsha, A.; Omarova, G.; Dyussembayeva, K.; Kassenova, A. Kokkiya—A promising for Kazakhstan gold-metasomatic type of deposit. In Proceedings of the International Multidisciplinary Scientific GeoConference Surveying Geology and Mining Ecology Management, SGEM 2016, Albena, Bulgaria, 28 June–7 July 2016; pp. 289–296. [Google Scholar] [CrossRef]
- Baibatsha, A.; Arshamov, Y.; Bekbotayeva, A.; Baratov, R. Geology of the main industrial types of copper ore deposits in Kazakhstan. In Proceedings of the International Multidisciplinary Scientific GeoConference Surveying Geology and Mining Ecology Management, SGEM 2017, Vienna, Austria, 27–29 November 2017; Volume 17, pp. 231–238. [Google Scholar] [CrossRef]
- Antonenko, A.A.; Zhukov, N.M.; Gerzen, L.Y.; Goikolova, T.V. Features of mineral and element composition of poor ores of deposits Aktogay and Bozshakol. News Natl. Acad. Sci. Repub. Kazakhstan Ser. Geol. Tech. Sci. 2016, 4, 18–27. (In Russian) [Google Scholar]
- Li, G.; Cao, M.; Qin, K.; Hollings, P.; Evans, N.J.; Seitmuratova, E.Y. Petrogenesis of ore-forming and pre/post-ore granitoids from the Kounrad, Borly and Sayak porphyry/skarn Cu deposits, Central Kazakhstan. Gondwana Res. 2016, 37, 408–425. [Google Scholar] [CrossRef]
- Li, G.; Cao, M.; Qin, K.; Evans, N.J.; Hollings, P.; Seitmuratova, E.Y. Geochronology, petrogenesis and tectonic settings of pre- and syn-ore granites from the W-Mo deposits (East Kounrad, Zhanet and Akshatau), Central Kazakhstan. Lithos 2016, 252, 16–31. [Google Scholar] [CrossRef]
- Zeilik, B.S. The Arganaty cosmogenic crater in southern Kazakhstan and the ring structures associated with it. Dokl. Akad. Nauk SSSR 1987, 297, 925–928. (In Russian) [Google Scholar]
- Baibatsha, A.B.; Muszynski, A. Geological-geophysical prospecting indicators of the Arganaty district predictive blocks (Eastern Balkhash). News Natl. Acad. Sci. Repub. Kazakhstan Ser. Geol. Tech. Sci. 2020, 2, 31–39. [Google Scholar] [CrossRef]
- Baratov, R.T. Ring Structures of Central Kazakhstan and Their Ore Bearing Using Processed Remote Sensing (ERS). Ph.D. Thesis, Kazakh National Research Technical University named after K.I. Satpayev, Almaty, Kazakhstan, 2020. (In Russian). [Google Scholar]
- Mikheeva, A.V. General laws of spatial-temporal distribution of the Earth’s impact structures. Bull. Novosib. Comput. Cent. Ser. Math. Model. Geoph 2010, 13, 127–139. [Google Scholar]
- Barash, M.S. Interaction of the reasons for the mass biota extinctions in the Phanerozoic. Oceanology 2013, 53, 739–749. [Google Scholar] [CrossRef]
- Barash, M.S. Mass extinction of ocean organisms at the Paleozoic-Mesozoic boundary: Effects and causes. Oceanology 2012, 52, 238–248. [Google Scholar] [CrossRef]
- Baibatsha, A.; Omarova, G.; Shakirova, G. Innovative technologies of mineral resources predictioin on covered territories. In Proceedings of the International Multidisciplinary Scientific GeoConference, SGEM 2019, Vienna, Austria, 9–11 December 2019; Volume 19, pp. 271–278. [Google Scholar] [CrossRef]
- Muratkhanov, D.; Kembayev, M.; Sayat, R. A new approach to the forecast of porphyry copper deposits on the buried territories of Kazakhstan. In Proceedings of the International Multidisciplinary Scientific GeoConference, SGEM 2023, Albena, Bulgaria, 2–11 July 2023; Volume 23, pp. 3–9. [Google Scholar] [CrossRef]
- Muratkhanov, D.B.; Bulegenov, K.U.; Kembayev, M. About the new porphyry copper mineralization object in the Eastern Balkhash region (Kazakhstan). In Proceedings of the XXIVth International Multidisciplinary Scientific GeoConference Surveying, Geology and Mining, Ecology and Management, SGEM 2024, Albena, Bulgary, 29 June–8 July 2024. [Google Scholar]
- Bekzhanov, G.R.; Abdrakhmanov, K.A.; Afonichev, N.A.; Bespaev, H.A.; Lyapichev, G.F. Geological Map of Kazakhstan. Scale 1: 1,000,000; Saint Petersburg Cartographic Factory of The All-Russian Geological Research Institute of A.P. Karpinsky: Saint Petersburg, Russia, 1996. [Google Scholar]
- Daukeyev, S.Z.; Ushkenov, B.S. Deep Structure and Mineral Resources of Kazakhstan. Deep Structure and Geodynamics; Republican State Enterprise Information and Analytical Center of Geology and Mineral Resources of the Republic of Kazakhstan: Almaty, Kazakhstan, 2002; Volume 1, 224p. (In Russian) [Google Scholar]
- Windley, B.F.; Alexeiev, D.; Xiao, W.; Kröner, A.; Badarch, G. Tectonic models for accretion of the Central Asian Orogenic Belt. J. Geol. Soc. 2007, 164, 31–47. [Google Scholar] [CrossRef]
- Zhukov, N.M.; Antonenko, A.A.; Goikolova, T.V. Structure and Metallogeny of the Marginal Volcanoplutonic Belts of Kazakhstan. Proc. NAS RK. Ser. Geol. Technol. Sci. 2013, 5, 3–12. (In Russian) [Google Scholar]
- Zholtaev, G.Z.; Antonenko, A.A.; Zhukov, N.M. Atlas of the Distribution Patterns of Solid Mineral Resources of Kazakhstan. Institute of Geological Sciences named after K.I. Satpaev: Almaty, Kazakhstan, 2023; 265p. (In Russian) [Google Scholar]
- Korobkin, V.V.; Buslov, M.M. Tectonics and geodynamics of the western Central Asian Fold Belt (Kazakhstan Paleozoides). Russ. Geol. Geophys. 2011, 50, 1585–1603. [Google Scholar] [CrossRef]
- Pertsov, A.V. (Ed.) Aerospace Methods of Geological Research; Karpinsky Russian Geological Institute (VSEGEI): St. Petersburg, Russia, 2000; 316p. (In Russian) [Google Scholar]
- Ananyev, Y.S.; Potseluev, A.A.; Zhitkov, V.G.; Nazarov, V.N.; Kuznetsov, A.S. Space-Structural Criteria of Sulfide-Polymetallic Mineralization of the Zyryanovsk Ore Field. Geol. Bowels Earth 2010, 2, 32–39. (In Russian) [Google Scholar]
- Baibatsha, A.B.; Potseluev, A.A.; Ananyev, Y.S. Methodology for Geological Interpretation of Satellite Images to Identify Hidden Ore-Controlling Structures. Proc. NAS RK Ser. Geol. Technol. Sci. 2013, 6, 66–73. (In Russian) [Google Scholar]
- Chimbulatov, M.A.; Bespalov, V.F.; Kostenko, N.N. Explanatory Note, Geological Map of the Kazakh SSR, Scale 1:500,000, South Kazakhstan Series; Leningrad Cartographic Factory of the Aerogeology Association: Leningrad, Russia, 1981; 248p. (In Russian) [Google Scholar]
- Bekzhanov, G.R. Deep Structures and Copper-Porphyry Mineralization of the Junggar-Balkhash Fold System; Nauka: Alma-Ata, Kazakhstan, 1984; 232p. (In Russian) [Google Scholar]
- Abdullin, A.A.; Lyapichev, G.F.; Nikitchenko, I.I.; Nurlybayev, A.N. Magmatic Complexes of Kazakhstan. Junggar-Balkhash Fold System; Nauka: Alma-Ata, Kazakhstan, 1983; 216p. (In Russian) [Google Scholar]
- Palme, H.; Lodders, K.; Jones, A. Solar System Abundances of the Elements. In Planets, Asteriods, Comets and The Solar System of Treatise on Geochemistry, 2nd ed.; Andrew, M.D., Ed.; Elsevier: Amsterdam, The Netherlands, 2014; Volume 2, pp. 15–36. [Google Scholar]
- Middlemost, E.A. Naming materials in the magma/igneous rock system. Earth-Sci. Rev. 1994, 37, 215–224. [Google Scholar] [CrossRef]
- Shand, S.J. Eruptive Rocks: Their Genesis Composition, Classification, and Their Relation to Ore-Deposits with a Chapter on Meteorite; John Wiley & Sons: Hoboken, NJ, USA, 1943. [Google Scholar]
- Maniar, P.D.; Piccoli, P.M. Tectonic Discrimination of Granitoids. Geol. Soc. Am. Bull. 1989, 101, 635–643. [Google Scholar] [CrossRef]
- Peccerillo, A.; Taylor, S.R. Geochemistry of Eocene calc-alkaline volcanic rocks from the Kastamonu area, northern Turkey. Contrib. Mineral. Petrol. 1976, 58, 63–81. [Google Scholar] [CrossRef]
- Frost, B.R.; Barnes, C.G.; Collins, W.J.; Arculus, R.J.; Ellis, D.J.; Frost, C.D. A geochemical classification for granitic rocks. J. Petrol. 2001, 42, 2033–2048. [Google Scholar] [CrossRef]
- Frost, C.D.; Frost, B.R.; Beard, J.S. On silica-rich granitoids and their eruptive equivalents. Am. Miner. 2016, 101, 1268–1284. [Google Scholar] [CrossRef]
- Chappell, B.W.; White, A.J.R. Two contrasting granite types: 25 years later. Aust. J. Earth Sci. 2001, 48, 489–499. [Google Scholar] [CrossRef]
- Pearce, J.A.; Harris, N.B.; Tindle, A.G. Trace element discrimination diagrams for the tectonic interpretation of granitic rocks. J. Petrol. 1984, 25, 956–983. [Google Scholar] [CrossRef]
- Shen, P.; Pan, H.; Xiao, W.; Chen, X.; Eleonorad, S.; Shen, Y. Two geodynamic-metallogenic events in the Balkhash (Kazakhstan) and the West Junggar (China): Carboniferous porphyry Cu and Permian greisen W-Mo mineralization. Int. Geol. Rev. 2013, 55, 1660–1687. [Google Scholar] [CrossRef]
- Shen, P.; Pan, H.; Seitmuratova, E. Petrogenesis of the mineralized granitoids from the Kounrad and Borly porphyry Cu deposits and the East Kounrad porphyry Mo deposit in Kazakhstan: Implication for tectonic evolution and mineralization of the western part of the Central Asian Orogenic Belt. Lithos 2017, 286, 53–74. [Google Scholar] [CrossRef]
- Shen, P.; Pan, H.; Hattori, K.; Cooke, D.R.; Seitmuratova, E. Large Paleozoic and Mesozoic porphyry deposits in the Central Asian Orogenic Belt: Geodynamic settings, magmatic sources, and genetic models. Gondwana Res. 2018, 58, 161–194. [Google Scholar] [CrossRef]
- Li, C.; Shen, P.; Pan, H.; Seitmuratova, E. Control on the size of porphyry copper reserves in the North Balkhash–West Junggar Metallogenic Belt. Lithos 2019, 328, 244–261. [Google Scholar] [CrossRef]
- Cao, M.J.; Li, G.M.; Qin, K.Z.; Evans, N.J.; Seitmuratova, E.Y. Assessing the magmatic affinity and petrogenesis of granitoids at the giant Aktogai porphyry Cu deposit, Central Kazakhstan. Am. J. Sci. 2016, 316, 614–668. [Google Scholar] [CrossRef]
- Defant, M.J.; Drummond, M.S. Derivation of some modern arc magmas by melting of young subducted lithosphere. Nature 1990, 347, 662–665. [Google Scholar] [CrossRef]
- Berger, B.R.; Mars, J.C.; Denning, P.D.; Phillips, J.D.; Hammarstrom, J.M.; Zientek, M.L.; Dicken, C.L.; Drew, L.J.; Alexeiev, D.; Seltmann, R.; et al. Porphyry Copper Assessment of Western Central Asia: U.S. Geological Survey Scientific Investigations Report 2010–5090–N; U.S. Geological Survey: Reston, VA, USA, 2014; 219p. [Google Scholar] [CrossRef]
- Akylbekov, S.A.; Votsalevskyi, E.S.; Gulyayev, A.P.; Zhukov, N.M.; Miroshnichenko, L.A.; Petrov, N.N.; Rakishev, B.M.; Uzhkenov, B.S. Mineragenic Map of Kazakhstan at a Scale of 1:1,000,000, Explanatory Note; The Computer Publishing Center of the Public Organization “Voluntary Society of War Invalids in Afghanistan of the Medeu District of Almaty”: Alma-Ata, Kazakhstan, 2007; 180p. (In Russian) [Google Scholar]
















| Sample | AR5-7 | AR5-9 * | AR5-10 * | AR5-12 | AR5-39 | AR5-40 * | AR5-66 * | AR8-27 | AR8-28 | AR8-36 * | AR8-73 * | AR8-119 * | AR9-111 |
|---|---|---|---|---|---|---|---|---|---|---|---|---|---|
| SiO2 | 72.90 | 74.18 | 76.12 | 73.81 | 72.51 | 74.05 | 72.91 | 75.92 | 73.32 | 73.02 | 74.48 | 73.24 | 76.34 |
| TiO2 | 0.28 | 0.27 | 0.24 | 0.27 | 0.30 | 0.27 | 0.33 | 0.30 | 0.37 | 0.36 | 0.36 | 0.35 | 0.22 |
| Al2O3 | 13.23 | 13.31 | 11.30 | 13.18 | 12.91 | 12.42 | 12.23 | 11.75 | 12.59 | 12.69 | 11.98 | 12.82 | 12.04 |
| ∑Fe2O3 | 2.76 | 1.71 | 3.16 | 2.05 | 3.54 | 2.84 | 2.75 | 2.39 | 3.48 | 2.75 | 2.66 | 3.04 | 1.60 |
| MnO | 0.052 | 0.045 | 0.166 | 0.047 | 0.066 | 0.047 | 0.051 | 0.046 | 0.067 | 0.044 | 0.057 | 0.069 | 0.030 |
| MgO | 0.50 | 0.43 | 0.44 | 0.42 | 0.51 | 0.52 | 0.57 | 0.54 | 0.70 | 0.58 | 0.63 | 0.59 | 0.40 |
| CaO | 1.56 | 1.36 | 1.31 | 1.50 | 1.63 | 1.31 | 1.75 | 1.66 | 2.06 | 2.06 | 2.07 | 1.89 | 1.56 |
| Na2O | 3.82 | 3.54 | 2.95 | 3.64 | 3.71 | 3.23 | 3.60 | 3.14 | 3.46 | 3.75 | 3.36 | 3.46 | 3.48 |
| K2O | 4.11 | 4.24 | 3.50 | 4.16 | 4.27 | 4.18 | 4.16 | 3.42 | 3.31 | 3.46 | 3.67 | 3.76 | 3.46 |
| P2O5 | 0.08 | 0.03 | 0.06 | 0.08 | 0.10 | 0.07 | 0.10 | 0.10 | 0.11 | 0.11 | 0.12 | 0.12 | 0.07 |
| LOI | 0.49 | 0.61 | 0.52 | 0.63 | 0.27 | 0.81 | 1.17 | 0.43 | 0.29 | 0.74 | 0.37 | 0.30 | 0.47 |
| V | 30.6 | 49 | 60 | 27.3 | 26.1 | 37 | 36 | 28.7 | 35.1 | 39 | 34.1 | 64 | 17.1 |
| Cr | 16.1 | 19 | 23 | 9.0 | 15.2 | 100 | 29 | 10.4 | 18.8 | 31 | 37.2 | 20 | 25.6 |
| Co | 4.8 | <10 | <10 | 4.6 | 2.7 | <10 | <10 | 4.0 | 5.5 | <10 | 4.1 | <10 | 4.8 |
| Ni | 14.5 | <10 | 10 | 5.7 | 15.1 | 10 | <10 | 8.6 | 13.4 | <10 | 10.1 | 12 | 5.2 |
| Ga | 15.8 | 16.0 | 15.5 | 13.9 | 15.2 | 14.2 | 13.4 | ||||||
| Rb | 117 | 112 | 104 | 119 | 121 | 121 | 110 | 96.6 | 88.2 | 92 | 92.7 | 96 | 99.1 |
| Sr | 242 | 233 | 226 | 210 | 218 | 158 | 172 | 254 | 277 | 276 | 273 | 246 | 225 |
| Y | 12.9 | 11 | 6 | 13.4 | 13.3 | 13 | 14 | 14.9 | 15.5 | 16 | 17.1 | 15 | 9.4 |
| Ba | 492 | 501 | 533 | 489 | 507 | 455 | 530 | 566 | 608 | 586 | 631 | 551 | 473 |
| La | 34.8 | 485. | 35.4 | 35.2 | 30.4 | 32.4 | 47.6 | ||||||
| Ce | 57.0 | 69.2 | 60.0 | 61.4 | 57.7 | 62.6 | 62.2 | ||||||
| Pr | 5.2 | 5.8 | 5.6 | 5.8 | 5.9 | 6.4 | 5.0 | ||||||
| Nd | 17.5 | 17.8 | 18.6 | 20.2 | 21.1 | 23.4 | 15.4 | ||||||
| Sm | 2.9 | 2.7 | 3.2 | 3.6 | 3.7 | 4.2 | 2.4 | ||||||
| Eu | 0.65 | 0.59 | 0.67 | 0.71 | 0.78 | 0.84 | 0.52 | ||||||
| Gd | 2.2 | 2.0 | 2.4 | 2.7 | 2.8 | 3.1 | 1.7 | ||||||
| Tb | 0.32 | 0.28 | 0.35 | 0.39 | 0.41 | 0.46 | 0.25 | ||||||
| Dy | 1.9 | 1.7 | 2.1 | 2.3 | 2.4 | 2.7 | 1.5 | ||||||
| Ho | 0.39 | 0.36 | 0.42 | 0.46 | 0.49 | 0.55 | 0.30 | ||||||
| Er | 1.2 | 1.1 | 1.3 | 1.4 | 1.4 | 1.6 | 0.86 | ||||||
| Tm | 0.21 | 0.20 | 0.21 | 0.22 | 0.22 | 0.26 | 0.15 | ||||||
| Yb | 1.5 | 1.5 | 1.6 | 1.6 | 1.6 | 1.8 | 0.99 | ||||||
| Lu | 0.26 | 0.25 | 0.27 | 0.28 | 0.26 | 0.30 | 0.16 | ||||||
| Pb | 20.1 | 33 | 13 | 19.1 | 21.6 | 23 | 21 | 15.1 | 13.4 | 18 | 15.8 | 20 | 14.3 |
| Th | 11.6 | 10 | 9 | 18.2 | 11.3 | 8 | 14 | 25.8 | 10.9 | 10 | 8.9 | 11 | 18.4 |
| U | 1.8 | <5 | <5 | 3.1 | 2.4 | 7 | 69 | 5.5 | 2.8 | <5 | 6.0 | <5 | 6.5 |
| Nb | 12.7 | 13 | 13 | 14.6 | 14.7 | 13 | 16 | 13.1 | 12.3 | 16 | 15.1 | 15 | 10.3 |
| Ta | 1.0 | 1.1 | 1.1 | 1.3 | 0.94 | 1.2 | 0.60 | ||||||
| Zr | 103 | 136 | 119 | 91.1 | 98.1 | 129 | 135 | 130 | 104 | 129 | 108 | 139 | 64.7 |
| Hf | 3.2 | 2.7 | 3.2 | 3.8 | 2.7 | 3.3 | 2.0 |
Disclaimer/Publisher’s Note: The statements, opinions and data contained in all publications are solely those of the individual author(s) and contributor(s) and not of MDPI and/or the editor(s). MDPI and/or the editor(s) disclaim responsibility for any injury to people or property resulting from any ideas, methods, instructions or products referred to in the content. |
© 2024 by the authors. Licensee MDPI, Basel, Switzerland. This article is an open access article distributed under the terms and conditions of the Creative Commons Attribution (CC BY) license (https://creativecommons.org/licenses/by/4.0/).
Share and Cite
Baibatsha, A.; Vikentyev, I.; Muratkhanov, D.; Bulegenov, K. New Porphyry Copper–Molybdenum Ore Occurrence in Arganaty Granites of the Eastern Balkhash (Kazakhstan): Geology, Geochemistry, and Mineralogy. Geosciences 2024, 14, 237. https://doi.org/10.3390/geosciences14090237
Baibatsha A, Vikentyev I, Muratkhanov D, Bulegenov K. New Porphyry Copper–Molybdenum Ore Occurrence in Arganaty Granites of the Eastern Balkhash (Kazakhstan): Geology, Geochemistry, and Mineralogy. Geosciences. 2024; 14(9):237. https://doi.org/10.3390/geosciences14090237
Chicago/Turabian StyleBaibatsha, Adilkhan, Ilya Vikentyev, Daulet Muratkhanov, and Kanat Bulegenov. 2024. "New Porphyry Copper–Molybdenum Ore Occurrence in Arganaty Granites of the Eastern Balkhash (Kazakhstan): Geology, Geochemistry, and Mineralogy" Geosciences 14, no. 9: 237. https://doi.org/10.3390/geosciences14090237
APA StyleBaibatsha, A., Vikentyev, I., Muratkhanov, D., & Bulegenov, K. (2024). New Porphyry Copper–Molybdenum Ore Occurrence in Arganaty Granites of the Eastern Balkhash (Kazakhstan): Geology, Geochemistry, and Mineralogy. Geosciences, 14(9), 237. https://doi.org/10.3390/geosciences14090237

