Statistical Analysis of Mt. Vesuvius Earthquakes Highlights Pitfalls in Magnitude Estimation
Abstract
1. Introduction
2. Data: The Catalogues of the Mt. Vesuvius Instrumental Seismicity
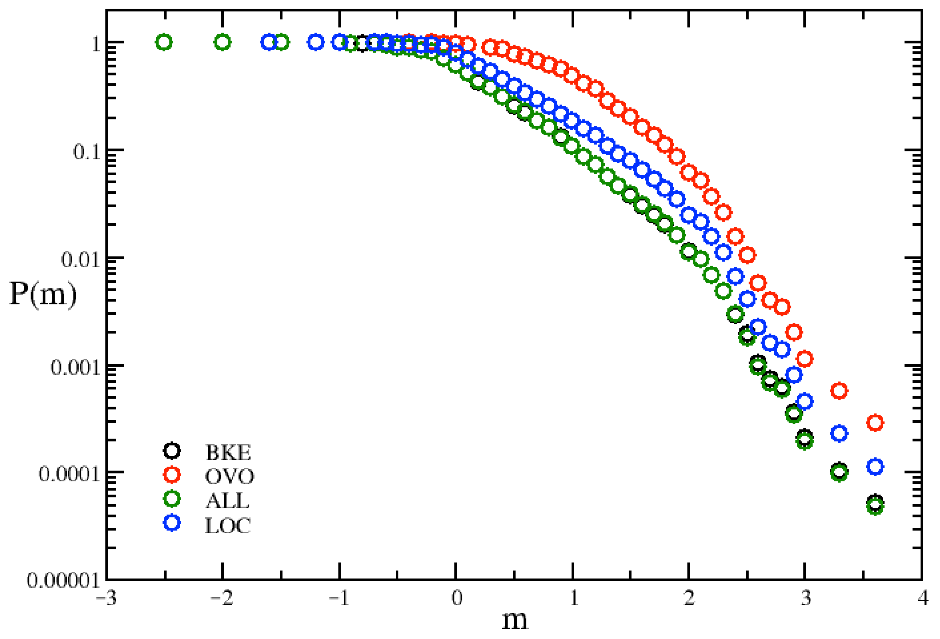
3. The Gutenberg–Richter Distribution and the b-Value: Evidence for a Double Scaling
3.1. The Double Scaling of the b-Value: A Physical Effect?
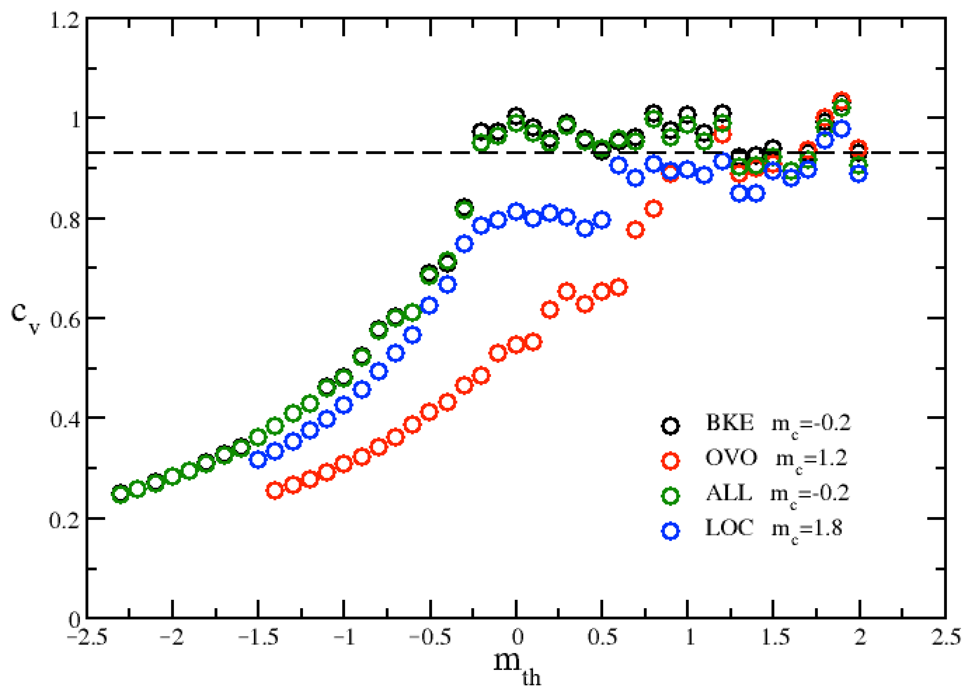
3.2. The Double Scaling of the b-Value: A Magnitude Uncertainty Effect
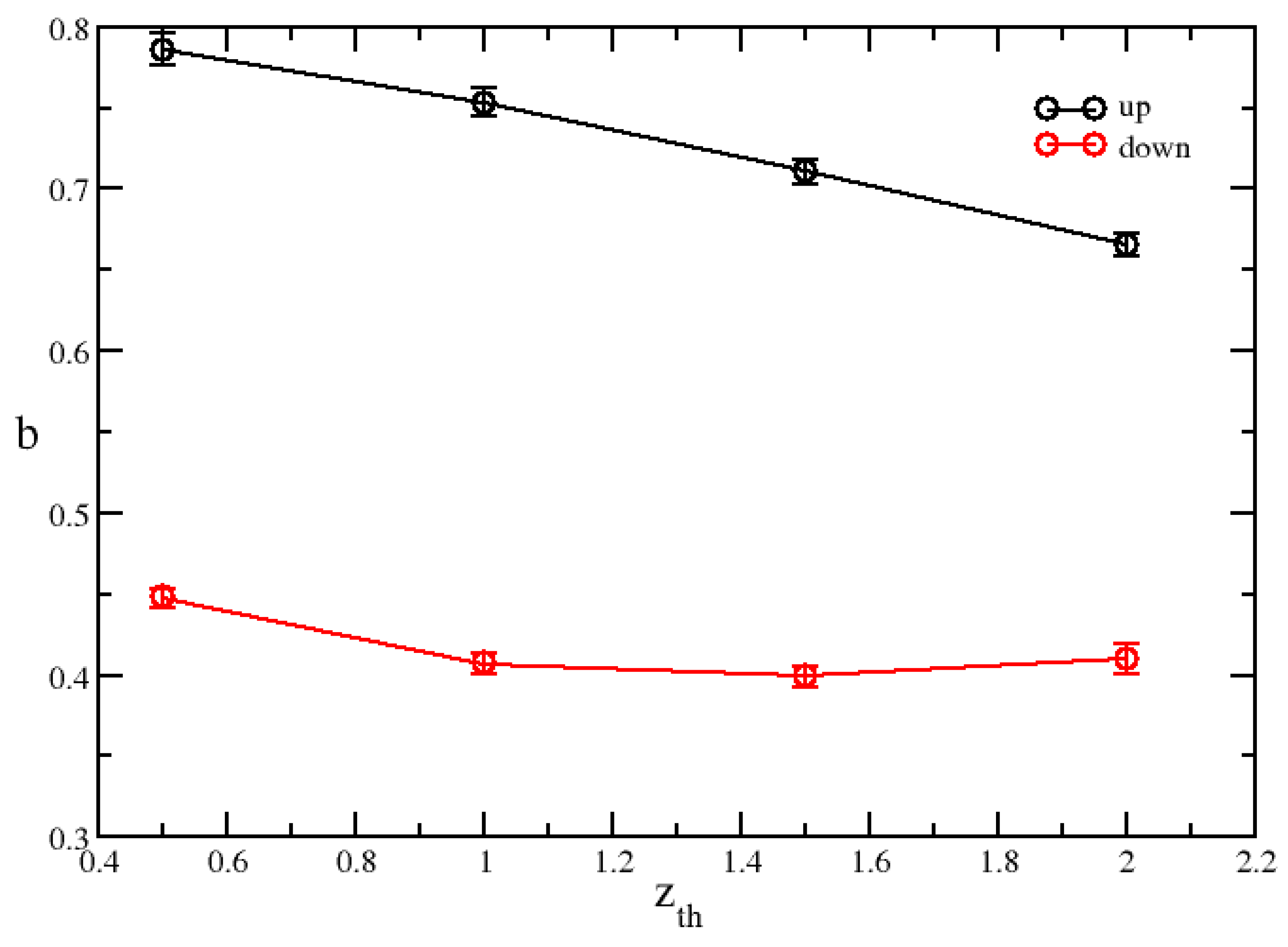
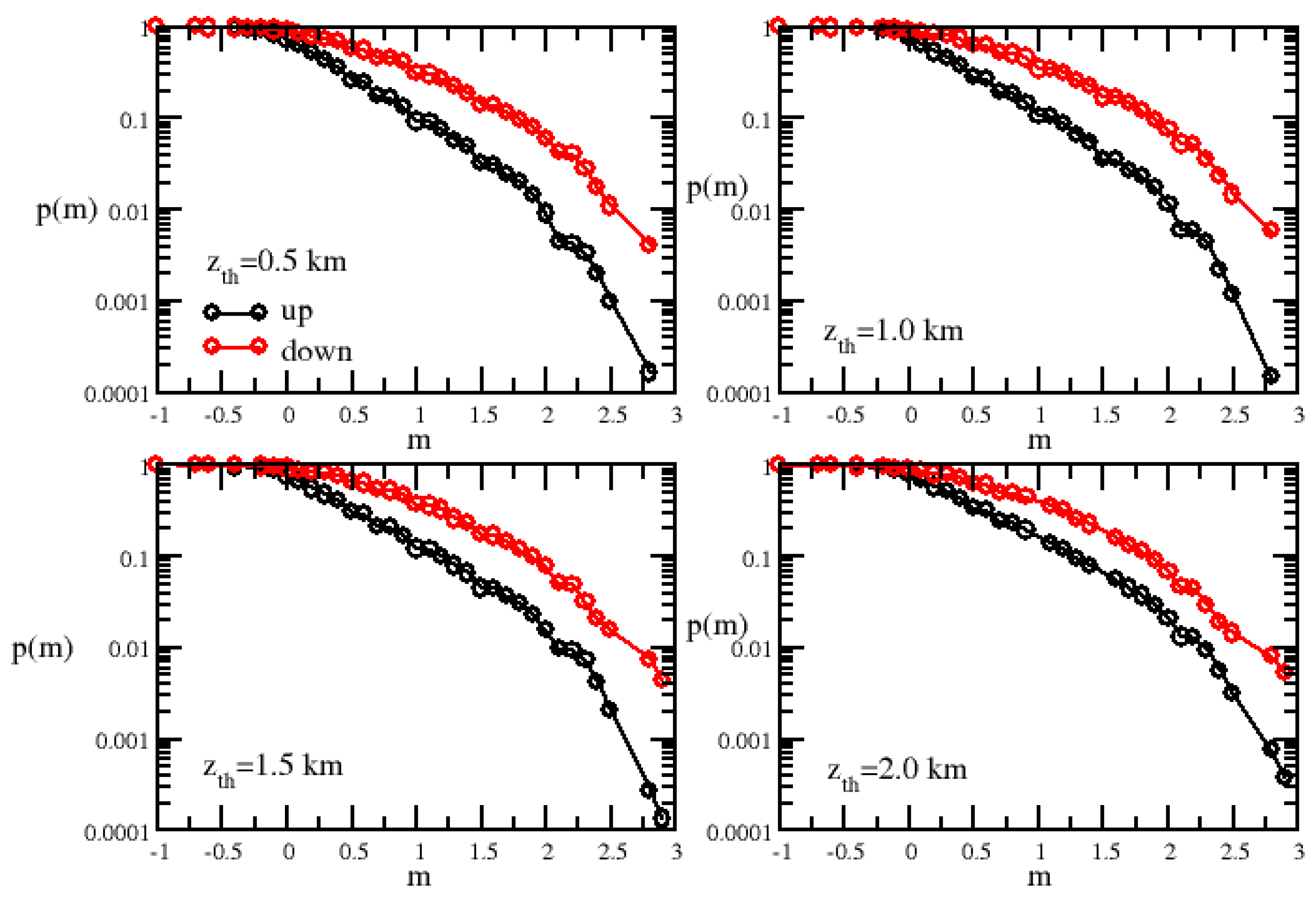
4. Time Variation of the b-Value and Temporal Clustering Properties
5. Conclusions
Author Contributions
Funding
Data Availability Statement
Acknowledgments
Conflicts of Interest
Correction Statement
Appendix A. The Inter-Event Time Distribution and the Identification of the Swarms


References
- Cusano, P.; Ricco, C.; Aquino, I.; Petrosino, S. A First Step towards the Definition of a Link between Ground Tilt and Earthquakes at Mt. Vesuvius (Italy). Appl. Sci. 2022, 12, 12261. [Google Scholar] [CrossRef]
- Zollo, A.; Gasparini, P.; Virieux, J.; Le Meur, H.; De Natale, G.; Biella, G.; Boschi, E.; Capuano, P.; De Franco, R.; Dell’Aversana, P.; et al. Seismic evidence for a low-velocity zone in the upper crust beneath Mount Vesuvius. Science 1996, 274, 592–594. [Google Scholar] [CrossRef]
- Auger, E.; Gasparini, P.; Virieux, J.; Zollo, A. Seismic evidence of an extended magmatic sill under Mt. Vesuvius. Science 2001, 294, 1510–1512. [Google Scholar] [CrossRef] [PubMed]
- Chiodini, G.; Marini, L.; Russo, M. Geochemical evidence for the existence of high-temperature hydrothermal brines at Vesuvio volcano, Italy. Geochim. Cosmochim. Acta 2001, 65, 2129–2147. [Google Scholar] [CrossRef]
- Del Pezzo, E.; Chiodini, G.; Caliro, S.; Bianco, F.; Avino, R. New insights into Mt. Vesuvius hydrothermal system and its dynamic based on a critical review of seismic tomography and geochemical features. Ann. Geophys. 2013, S0444. [Google Scholar] [CrossRef]
- Del Pezzo, E.; Bianco, F.; Saccorotti, G. Duration Magnitude Uncertainty due to Seismic Noise: Inferences on the Temporal Pattern of G-R b-value at Mt. Vesuvius, Italy. Bull. Seismol. Soc. Am. 2003, 93, 1847–1853. [Google Scholar] [CrossRef]
- D’Auria, L.; Massa, B.; Matteo, A.D. The stress field beneath a quiescent stratovolcano: The case of Mount Vesuvius. J. Geophys. Res. Solid Earth 2014, 119, 1181–1199. [Google Scholar] [CrossRef]
- Gutenberg, B.; Richter, C. Frequency of earthquakes in California. Bull. Seismol. Soc. Am. 1944, 34, 185–188. [Google Scholar] [CrossRef]
- Scholz, C. The frequency-magnitude relation of microfracturing in rock and its relation to earthquakes. Bull. seism. Soc. Am. 1968, 58, 399–415. [Google Scholar] [CrossRef]
- Wyss, M. Towards a Physical Understanding of the Earthquake Frequency Distribution. Geophys. J. R. Astron. Soc. 1973, 31, 341–359. [Google Scholar] [CrossRef]
- Amitrano, D. Brittle-ductile transition and associated seismicity: Experimental and numerical studies and relationship with the b value. J. Geophys. Res. Solid Earth 2003, 108, 2044. [Google Scholar] [CrossRef]
- Gulia, L.; Wiemer, S. The influence of tectonic regimes on the earthquake size distribution: A case study for Italy. Geophys. Res. Lett. 2010, 37, L10305. [Google Scholar] [CrossRef]
- Schorlemmer, D.; Wiemer, S.; Wyss, M. Variations in earthquake-size distribution across different stress regimes. Nature 2005, 437. [Google Scholar] [CrossRef] [PubMed]
- Wiemer, S.; Wyss, M. Mapping the frequency-magnitude distribution in asperities:An improved technique to calculate recurrence times? J. Geophys. Res. 1997, 102, 15115–15128. [Google Scholar] [CrossRef]
- Wiemer, S.; Wyss, M. Mapping spatial variability of the frequency-magnitude distribution of earthquakes. Adv. Geophys. 2002, 45, 259–302. [Google Scholar]
- Westerhaus, M.; Wyss, M.; Yilmaz, R.; Zschau, J. Correlating variations of b values and crustal deformations during the 1990s may have pinpointed the rupture initiation of the Mw = 7.4 Izmit earthquake of 1999 August 17. Geophys. J. Int. 2002, 148, 139–152. [Google Scholar] [CrossRef]
- Pino, N.A.; Convertito, V.; Godano, C.; Piromallo, C. Subduction age and stress state control on seismicity in the NW Pacific subducting plate. Sci. Rep. 2022, 12, 12440. [Google Scholar] [CrossRef]
- Tormann, T.; Wiemer, S.; Mignan, A. Systematic survey of high-resolution b value imaging along Californian faults: Inference on asperities. J. Geophys. Res. Solid Earth 2014, 119, 2029–2054. [Google Scholar] [CrossRef]
- Cochran, E.S.; Page, M.T.; van der Elst, N.J.; Ross, Z.E.; Trugman, D.T. Fault Roughness at Seismogenic Depths and Links to Earthquake Behavior. Seism. Rec. 2023, 3, 37–47. [Google Scholar] [CrossRef]
- Collettini, C.; Barchi, M.R.; De Paola, N.; Trippetta, F.; Tinti, E. Rock and fault rheology explain differences between on fault and distributed seismicity. Nat. Commun. 2022, 13, 5627. [Google Scholar] [CrossRef]
- Wiemer, S.; McNutt, S.R. Variations in the frequency-magnitude distribution with depth in two volcanic areas: Mount St. Helens, Washington, and Mt. Spurr, Alaska. Geophys. Res. Lett. 1997, 24, 189–192. [Google Scholar] [CrossRef]
- Wiemer, S.; McNutt, S.R.; Wyss, M. Temporal and three-dimensional spatial analyses of the frequency–magnitude distribution near Long Valley Caldera, California. Geophys. J. Int. 1998, 134, 409–421. [Google Scholar] [CrossRef]
- Murru, M.; Console, R.; Falcone, G.; Montuori, C.; Sgroi, T. Spatial mapping of the b value at Mount Etna, Italy, using earthquake data recorded from 1999 to 2005. J. Geophys. Res. Solid Earth 2007, 112, B12303. [Google Scholar] [CrossRef]
- Suyehiro, S.; Sekiya, H. Foreshocks and earthquake prediction. Tectonophysics 1972, 14, 219–225. [Google Scholar] [CrossRef]
- Papazachos, B.C. The time distribution of reservoir-associated foreshocks and its importance to the prediction of the principal shock. Bull. Seismol. Soc. Am. 1973, 63, 1973–1978. [Google Scholar] [CrossRef]
- Papazachos, B. Foreshocks and earthquake prediction. Tectonophysics 1975, 28, 213–226. [Google Scholar] [CrossRef]
- Ogata, Y.; Utsu, T.; Katsura, K. Statistical discrimination of foreshocks from other earthquake clusters. Geophys. J. Int. 1996, 127, 17–30. [Google Scholar] [CrossRef]
- Papadopoulos, G.; Minadakis, G.; Orfanogiannaki, K. Short-Term Foreshocks and Earthquake Prediction. In Pre-Earthquake Processes; American Geophysical Union: Washington, DC, USA, 2018; Chapter 8; pp. 125–147. [Google Scholar] [CrossRef]
- Enescu, B.; Ghita, C.; Moldovan, I.-A.; Radulian, M. Revisiting Vrancea (Romania) Intermediate-Depth Seismicity: Some Statistical Characteristics and Seismic Quiescence Testing. Geosciences 2023, 13, 219. [Google Scholar] [CrossRef]
- Gulia, L.; Wiemer, S. Real-time discrimination of earthquake foreshocks and aftershocks. Nature 2019, 574, 193–199. [Google Scholar] [CrossRef]
- Gulia, L.; Rinaldi, A.P.; Tormann, T.; Vannucci, G.; Enescu, B.; Wiemer, S. The Effect of a Mainshock on the Size Distribution of the Aftershocks. Geophys. Res. Lett. 2018, 45, 13277–13287. [Google Scholar] [CrossRef]
- Hainzl, S.; Fischer, T.; Dahm, T. Seismicity-based estimation of the driving fluid pressure in the case of swarm activity in Western Bohemia. Geophys. J. Int. 2012, 191, 271–281. [Google Scholar] [CrossRef]
- White, R.; McCausland, W. Volcano-Tectonic Earthquakes: A new tool for estimating intrusive volumes and forecasting eruptions. J. Volcanol. Geotherm. Res. 2015, 309, 139–155. [Google Scholar] [CrossRef]
- Hainzl, S.; Fischer, T. Indications for a successively triggered rupture growth underlying the 2000 earthquake swarm in Vogtland/NW Bohemia. J. Geophys. Res. Solid Earth 2002, 107, ESE 5–1–ESE 5–9. [Google Scholar] [CrossRef]
- Tramelli, A.; Godano, C.; Ricciolino, P.; Giudicepietro, F.; Caliro, S.; Orazi, M.; De Martino, P.; Chiodini, G. Statistics of seismicity to investigate the Campi Flegrei caldera unrest. Sci. Rep. 2021, 11, 7211. [Google Scholar] [CrossRef] [PubMed]
- Mogi, K. Some Discusions on Aftershocks, Foreshocks and Earthquake Swarms: The Fracture of a Semi-Infinite Body Caused by Inner Stress Origin and Its Relation to the Earthquake Phenomena (3rd Paper). Bull. Earthq. Res. Inst. 1963, 41, 615–658. [Google Scholar]
- Miller, S.A.; Collettini, C.; Chiaraluce, L.; Cocco, M.; Barchi, M.; Kaus, B.J.P. Aftershocks driven by a high-pressure CO2 source at depth. Nature 2004, 427, 724–727. [Google Scholar] [CrossRef] [PubMed]
- Chouet, B.A. Long-period volcano seismicity: Its source and use in eruption forecasting. Nature 1996, 380, 309–316. [Google Scholar] [CrossRef]
- Toda, S.; Stein, R.; Sagiya, T. Evidence from the AD 2000 Izu islands earthquake swarm that stressing rate governs seismicity. Nature 2002, 419, 58–61. [Google Scholar] [CrossRef]
- Hainzl, S. Self-organization of earthquake swarms. J. Geodyn. 2003, 35, 157–172. [Google Scholar] [CrossRef]
- Glazner, A.F.; McNutt, S.R. Relationship Between Dike Injection and b-Value for Volcanic Earthquake Swarms. J. Geophys. Res. Solid Earth 2021, 126, e2020JB021631. [Google Scholar] [CrossRef]
- Ogata, Y. Statistical Models for Earthquake Occurrences and Residual Analysis for Point Processes. Res. Memo. Tech. Rep. Inst. Stat. Math. Tokyo 1985, 288, 9–27. [Google Scholar] [CrossRef]
- Ogata, Y. Space-time point-process models for earthquake occurrences. Ann. Inst. Stat. Math. 1998, 50, 379–402. [Google Scholar] [CrossRef]
- Marsan, D.; Prono, E.; Helmstetter, A. Monitoring aseismic forcing in fault zones using earthquake time series. Bull. Seismol. Soc. Am. 2013, 103, 169–179. [Google Scholar] [CrossRef]
- Reverso, T.; Marsan, D.; Helmstetter, A. Detection and characterization of transient forcing episodes affecting earthquake activity in the Aleutian Arc system. Earth Planet. Sci. Lett. 2015, 412, 25–34. [Google Scholar] [CrossRef]
- Kattamanchi, S.; Tiwari, T.R.K.; Ramesh, D.S. Non-stationary ETAS to model earthquake occurrences affected by episodic aseismic transients. Earth Planets Space 2017, 69, 157. [Google Scholar] [CrossRef]
- Lombardi, A.M.; Marzocchi, W.; Selva, J. Exploring the evolution of a volcanic seismic swarm: The case of the 2000 Izu Islands swarm. Geophys. Res. Lett. 2006, 33. [Google Scholar] [CrossRef]
- Omori, F. On the after-shocks of earthquakes. J. Coll. Sci. Imp. Univ. Tokyo 1894, 7, 111–200. [Google Scholar]
- Godano, C.; Tramelli, A.; Mora, M.; Taylor, W.; Petrillo, G. An Analytic Expression for the Volcanic Seismic Swarms Occurrence Rate. A Case Study of Some Volcanoes in the World. Earth Space Sci. 2023, 10, e2022EA002534. [Google Scholar] [CrossRef]
- de Arcangelis, L.; Godano, C.; Grasso, J.R.; Lippiello, E. Statistical physics approach to earthquake occurrence and forecasting. Phys. Rep. 2016, 628, 1–91. [Google Scholar] [CrossRef]
- Corral, A. Local distributions and rate fluctuations in a unified scaling law for earthquakes. Phys. Rev. E 2003, 68, 035102. [Google Scholar] [CrossRef]
- Corral, A. Long-Term Clustering, Scaling, and Universality in the Temporal Occurrence of Earthquakes. Phys. Rev. Lett. 2004, 92, 108501. [Google Scholar] [CrossRef] [PubMed]
- Corral, A. Dependence of earthquake recurrence times and independence of magnitudes on seismicity history. Tectonophysics 2006, 424, 177–193. [Google Scholar] [CrossRef]
- Enescu, B.; Struzik, Z.; and Kiyono, K. On the recurrence time of earthquakes: Insight from Vrancea (Romania) intermediate-depth events. Geophys. J. Int. 2008, 172, 395–404. [Google Scholar] [CrossRef][Green Version]
- Corral, A. Statistical tests for scaling in the inter-event times of earthquakes in California. Int. J. Mod. Phys. B 2009, 23, 5570–5582. [Google Scholar] [CrossRef]
- Shcherbakov, R.; Yakovlev, G.; Turcotte, D.L.; Rundle, J.B. Model for the Distribution of Aftershock Interoccurrence Times. Phys. Rev. Lett. 2005, 95, 218501. [Google Scholar] [CrossRef] [PubMed]
- Bottiglieri, M.; Lippiello, E.; Godano, C.; De Arcangelis, L. Comparison of branching models for seismicity and likelihood maximization through simulated annealing. J. Geophys. Res. Space Phys. 2011, 116, B02303. [Google Scholar] [CrossRef]
- Lindman, M.; Jonsdottir, K.; Roberts, R.; Lund, B.; Bödvarsson, R. Earthquakes Descaled: On Waiting Time Distributions and Scaling Laws. Phys. Rev. Lett. 2005, 94, 108501. [Google Scholar] [CrossRef]
- Molchan, G. Interevent Time Distribution in Seismicity: A Theoretical Approach. Pure Appl. Geophys. 2005, 162, 1135–1150. [Google Scholar] [CrossRef]
- Hainzl, S.; Scherbaum, F.; Beauval, C. Estimating Background Activity Based on Interevent-Time Distribution. Bull. Seismol. Soc. Am. 2006, 96, 313–320. [Google Scholar] [CrossRef]
- Saichev, A.; Sornette, D. “Universal” Distribution of Interearthquake Times Explained. Phys. Rev. Lett. 2006, 97, 078501. [Google Scholar] [CrossRef]
- Saichev, A.; Sornette, D. Theory of earthquake recurrence times. J. Geophys. Res. Solid Earth 2007, 112, B04313. [Google Scholar] [CrossRef]
- Sornette, D.; Utkin, S.; Saichev, A. Solution of the nonlinear theory and tests of earthquake recurrence times. Phys. Rev. E 2008, 77, 066109. [Google Scholar] [CrossRef] [PubMed][Green Version]
- Touati, S.; Naylor, M.; Main, I.G. Origin and Nonuniversality of the Earthquake Interevent Time Distribution. Phys. Rev. Lett. 2009, 102, 168501. [Google Scholar] [CrossRef]
- Bottiglieri, M.; de Arcangelis, L.; Godano, C.; Lippiello, E. Multiple-Time Scaling and Universal Behavior of the Earthquake Interevent Time Distribution. Phys. Rev. Lett. 2010, 104, 158501. [Google Scholar] [CrossRef]
- Godano, C. A new expression for the earthquake interevent time distribution. Geophys. J. Int. 2015, 202, 219–223. [Google Scholar] [CrossRef]
- Bottiglieri, M.; De Martino, S.; Falanga, M.; Godano, C.; Palo, M. Statistics of inter-time of Strombolian explosion-quakes. EPL (Europhys. Lett.) 2005, 72, 493. [Google Scholar] [CrossRef]
- Palmieri, L. Catalogo delle scosse di terremoto segnate dal sismografo elettro-magnetico all’Osservatorio Vesuviano durante i mesi di Dicembre 1861, e Gennaio 1862, in occasione dell’eruzione del Vesuvio cominciata il dì 8 Dicembre, col riscontro di alcune osservazioni meteorologiche contemporanee. Cron. Del Vesuvio Ann. Del R Oss. Meteorol. Vesuv. Anno 1862, 2, 1–20. [Google Scholar]
- Casertano, L. I sismi vesuviani (9 Aprile 1944–31 Dicembre 1956). Ann. Oss. Vesuviano Ser. 1956, 2, 190–204. [Google Scholar]
- Casertano, L. Su analisi di registrazioni di sismi vesuviani. Ann. Oss. Vesuviano Ser. 1956, 2, 180–189. [Google Scholar]
- Casertano, L. I sismi vesuviani dal 1° Gennaio 1957 al 31 Dicembre 1964. In Atti del XVI Convegno Annuale; Consiglio Nazionale delle Ricerche: Roma, Italy, 1968; pp. 289–300. [Google Scholar]
- Lo Bascio, D.; Ricciolino, P. Cataloghi Sismici dei Vulcani Campani. Stazione BKE Vesuvio dal 1999 al 2021. Available online: https://www.ov.ingv.it/index.php/monitoraggio-sismico-e-vulcanico-2/banche-dati?id=217 (accessed on 28 November 2023).
- Ricciolino, P.; Lo Bascio, D. Cataloghi Sismici dei Vulcani Campani. Stazione OVO Vesuvio dal 1972 al 2021. Available online: https://www.ov.ingv.it/index.php/monitoraggio-sismico-e-vulcanico-2/banche-dati?id=217 (accessed on 28 November 2023).
- Scarpa, R. Il terremoto campano-lucano del 23.11.1980: Elaborazione dei dati sismometrici. Rend. Soc. Geol. It. 1981, 4, 427–450. [Google Scholar]
- Wiemer, S.; Wyss, M. Minimum Magnitude of Completeness in Earthquake Catalogs: Examples from Alaska, the Western United States, and Japan. Bull. Seismol. Soc. Am. 2000, 90, 859–869. [Google Scholar] [CrossRef]
- Cao, A.; Gao, S.S. Temporal variation of seismic b-values beneath northeastern Japan island arc. Geophys. Res. Lett. 2002, 29, 48-1–48-3. [Google Scholar] [CrossRef]
- Ogata, Y.; Katsura, K. Analysis of temporal and spatial heterogeneity of magnitude frequency distribution inferred from earthquake catalogues. Geophys. J. Int. 1993, 113, 727–738. [Google Scholar]
- Godano, C. A new method for the estimation of the completeness magnitude. Phys. Earth Planet. Inter. 2017, 263, 7–11. [Google Scholar] [CrossRef]
- Godano, C.; Petrillo, G. Estimating the completeness magnitude mc and the b-values in a snap. Earth Space Sci. 1993, 10, e2022EA002540. [Google Scholar] [CrossRef]
- Godano, C.; Petrillo, G.; Lippiello, E. Evaluating the incompleteness magnitude using an unbiased estimate of the b value. Geophys. J. Int. 2024, 236, 994–1001. [Google Scholar] [CrossRef]
- D’Auria, L.; Esposito, A.M.; Lo Bascio, D.; Ricciolino, P.; Giudicepietro, F.; Martini, M.; Caputo, T.; De Cesare, W.; Orazi, M.; Peluso, R.; et al. The recent seismicity of Mt. Vesuvius: Inference on seismogenic processes. Ann. Geophys. 2013, 56, S0442. [Google Scholar]
- Serafino, M.; Cimini, G.; Maritan, A.; Rinaldo, A.; Suweis, S.; Banavar, J.R.; Caldarelli, G. True scale-free networks hidden by finite size effects. Proc. Natl. Acad. Sci. USA 2021, 118, e2013825118. [Google Scholar] [CrossRef]
- Aste, T.; Di Matteo, T. Emergence of Gamma distributions in granular materials and packing models. Phys. Rev. 2008, 77, 021309. [Google Scholar] [CrossRef]
- Del Pezzo, E.; Bianco, F.; Saccorotti, G. Seismic source dynamics at Vesuvius volcano, Italy. J. Volcanol. Geotherm. Res. 2004, 133, 23–39. [Google Scholar] [CrossRef]
- Bachura, M.; Fischer, T.; Doubravová, J.; Horálek, J. From earthquake swarm to a main shock–aftershocks: The 2018 activity in West Bohemia/Vogtland. Geophys. J. Int. 2020, 224, 1835–1848. [Google Scholar] [CrossRef]
- Uchide, T.; Imanishi, K. Underestimation of microearthquake size by the magnitude scale of the Japan Meteorological Agency: Influence on earthquake statistics. J. Geophys. Res. 2018, 123, 606–620. [Google Scholar] [CrossRef]
- Iannaccone, G.; Alessio, G.; Borriello, G.; Cusano, P.; Petrosino, S.; Ricciolino, P.; Talarico, G.; Torello, V. Characteristics of the seismicity of Vesuius and Campi Flegrei during the year 2000. Ann. Geofis. 2001, 44, 1075–1091. [Google Scholar]
- Giuidicepietro, F.; De Cesare, W.; Martini, M.; Meglio, V. Il sistema sismometrico modulare integrato (SISMI). Open File Rep. 2000, 6, 1–25. [Google Scholar]
- Del Pezzo, E.; Petrosino, S. A local-magnitude scale for Mt. Vesuvius from synthetic Wood-Anderson seismograms. J. Seismol. 2001, 5, 207–215. [Google Scholar] [CrossRef]
- Neunhöfer, H.; Hemmann, A. Earthquake swarms in the Vogtland/Western Bohemia region: Spatial distribution and magnitude–frequency distribution as an indication of the genesis of swarms? J. Geodyn. 2005, 39, 361–385. [Google Scholar] [CrossRef]
- Dorbath, L.; Cuenot, N.; Genter, A.; Frogneux, M. Seismic response of the fractured and faulted granite of Soultz-sous-Forêts (France) to 5 km deep massive water injections. Geophys. J. Int. 2009, 177, 653–675. [Google Scholar] [CrossRef]
- Farrell, J.; Husen, S.; Smith, R.B. Earthquake swarm and b-value characterization of the Yellowstone volcano-tectonic system. J. Volcanol. Geotherm. Res. 2009, 188, 260–276. [Google Scholar] [CrossRef]



















| Catalogue | Starting Time | Ending Time | No. of Earthquakes |
|---|---|---|---|
| OVO | 23 February 1972 | 27 December 2021 | 11,679 |
| BKE | 1 January 1999 | 31 December 2021 | 19,096 |
| ALL | 1 January 1999 | 8 September 2023 | 20,615 |
| LOC | 1 January 1999 | 8 September 2023 | 8766 |
| Catalogue | b | N | ||
|---|---|---|---|---|
| BKE | 2.3 | 1.80 | 131 | |
| OVO | 2.3 | 1.87 | 548 | |
| ALL | 2.3 | 1.86 | 548 | |
| LOC | 2.3 | 1.79 | 136 | |
| BKE | −0.2 | 0.75 | 15,631 | |
| OVO | 0.9 | 0.79 | 7565 | |
| LOC | 0.0 | 0.68 | 6895 | |
| ALL | −0.2 | 0.76 | 24,498 |
| Up | Down | |||||
|---|---|---|---|---|---|---|
| 0.5 | 6086 | 0.79 | 2711 | 0.45 | ||
| 1.0 | 6901 | 0.75 | 1896 | 0.41 | ||
| 1.5 | 7434 | 0.71 | 1363 | 0.40 | ||
| 2.0 | 8038 | 0.67 | 759 | 0.41 | ||
Disclaimer/Publisher’s Note: The statements, opinions and data contained in all publications are solely those of the individual author(s) and contributor(s) and not of MDPI and/or the editor(s). MDPI and/or the editor(s) disclaim responsibility for any injury to people or property resulting from any ideas, methods, instructions or products referred to in the content. |
© 2024 by the authors. Licensee MDPI, Basel, Switzerland. This article is an open access article distributed under the terms and conditions of the Creative Commons Attribution (CC BY) license (https://creativecommons.org/licenses/by/4.0/).
Share and Cite
Godano, C.; Pino, N.A. Statistical Analysis of Mt. Vesuvius Earthquakes Highlights Pitfalls in Magnitude Estimation. Geosciences 2024, 14, 15. https://doi.org/10.3390/geosciences14010015
Godano C, Pino NA. Statistical Analysis of Mt. Vesuvius Earthquakes Highlights Pitfalls in Magnitude Estimation. Geosciences. 2024; 14(1):15. https://doi.org/10.3390/geosciences14010015
Chicago/Turabian StyleGodano, Cataldo, and Nicola Alessandro Pino. 2024. "Statistical Analysis of Mt. Vesuvius Earthquakes Highlights Pitfalls in Magnitude Estimation" Geosciences 14, no. 1: 15. https://doi.org/10.3390/geosciences14010015
APA StyleGodano, C., & Pino, N. A. (2024). Statistical Analysis of Mt. Vesuvius Earthquakes Highlights Pitfalls in Magnitude Estimation. Geosciences, 14(1), 15. https://doi.org/10.3390/geosciences14010015

