The Contribution of Digital Image Correlation for the Knowledge, Control and Emergency Monitoring of Earth Flows
Abstract
:1. Introduction
- Evaluate the monitoring capabilities of the DIC technique at the Pietrafitta earth flow pilot site using low-cost ground-based sensors;
 - Assess the monitoring capabilities of the DIC technique at the Grillo earth flow pilot site using sensors installed on UAV platforms;
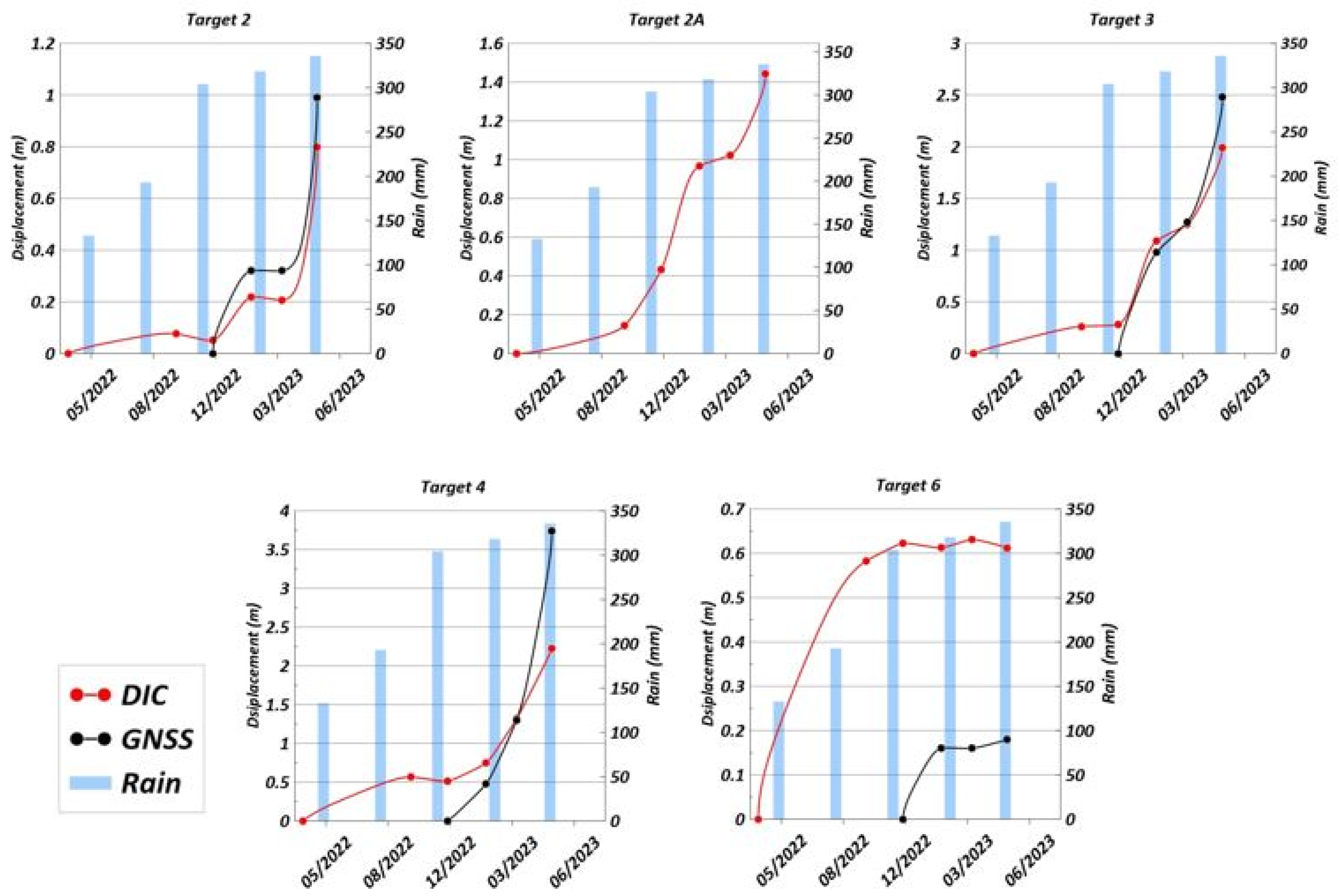
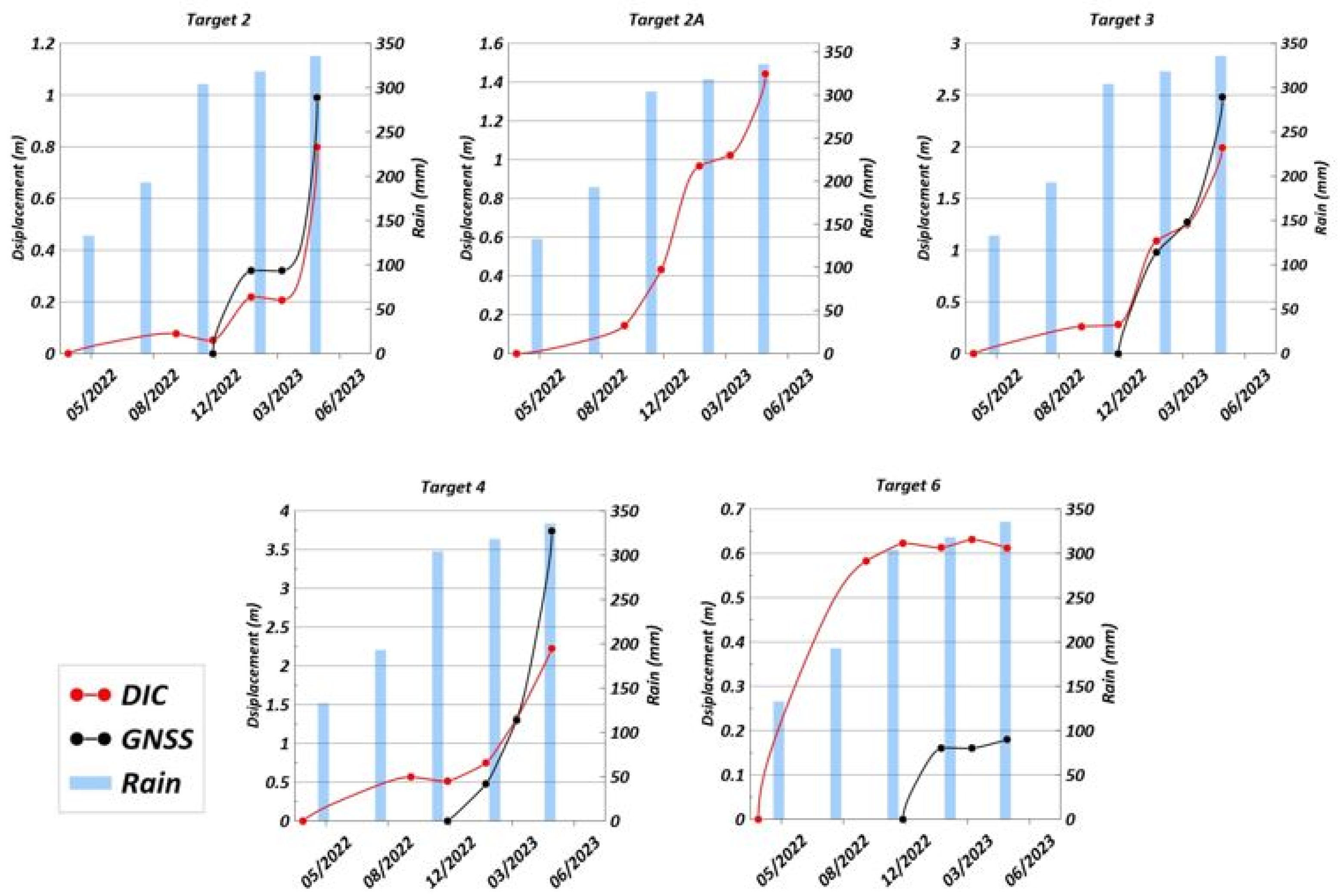
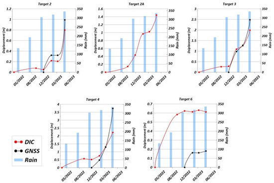
 - Perform a quantitative comparison with two classical monitoring techniques used at the pilot sites: the robotic total station survey (RTS) for Pietrafitta and the global navigation satellite system (GNSS) for Grillo. This comparison will focus particularly on displacement field assessment, identifying the most active sectors, and measuring motion rates during various phases of the earth flow.
 
2. Case Study Sites
2.1. Pietrafitta Earth Flow
2.2. Grillo Earth Flow
3. Materials and Methods
3.1. Remote Sensing Instruments and Data
3.2. Imaging Techniques for Data Processing
- (a)
 - Analysis of the Pietrafitta earth flow
 
- (b)
 - Analysis of the Grillo earth flow
 
4. Results
4.1. Analysis of Images Acquired with a Ground-Based Camera (Pietrafitta Earth Flow)
4.2. Analysis of Images Acquired with an UAS Camera (Grillo Earth Flow)
4.3. Analysis of Images Acquired with a Satellite Camera (Grillo Earth Flow)
5. Discussion
6. Conclusions
- The spatially continuous coverage, given by the DIC technique, affords the opportunity to perform monitoring with clear, practical advantages. Indeed, this approach enables us to (i) comprehensively cover large areas, thereby avoiding the risk of underestimating geomorphological processes; (ii) increase the statistical robustness of the acquired data; and (iii) identify the most active sectors and their rates of movement. These aspects are particularly relevant when monitoring complex kinematic phenomena like earth flows;
 - The versatility of DIC, in terms of the facility of the installation of sensors, cost-effectiveness, and compatibility with various platforms, makes this technique a competitive, adaptable, and ready-to-use solution. This versatility holds significant importance in the field of geotechnical asset management (GAM);
 - The proven reliability in terms of both accuracy (e.g., high correlation with RTS; r = 0.91) and sensitivity (ability to measure approximately 5 cm of displacement within 1 h) lays the foundation for extensive use of the DIC techniques presented so far. Furthermore, through future developments, e.g., involving the automation of analyses, the DIC could easily be implemented as a technique underlying early warning systems (EWS).
 
Author Contributions
Funding
Data Availability Statement
Acknowledgments
Conflicts of Interest
References
- Revellino, P.; Grelle, G.; Donnarumma, A.; Guadagno, F.M. Structurally Controlled Earth Flows of the Benevento Province (Southern Italy). Bull. Eng. Geol. Environ. 2010, 69, 487–500. [Google Scholar] [CrossRef]
 - Bertello, L.; Berti, M.; Castellaro, S.; Squarzoni, G. Dynamics of an Active Earthflow Inferred from Surface Wave Monitoring. J. Geophys. Res. Earth Surf. 2018, 123, 1811–1834. [Google Scholar] [CrossRef]
 - Malet, J.-P.; Laigle, D.; Remaître, A.; Maquaire, O. Triggering Conditions and Mobility of Debris Flows Associated to Complex Earthflows. Geomorphology 2005, 66, 215–235. [Google Scholar] [CrossRef]
 - Baum, R.L.; Savage, W.Z.; Wasowski, J. Mechanics of Earth Flows. In Proceedings of the International Workshop on Occurrence and Mechanisms of Flows in Natural Slopes and Earthfills, Sorrento, Italy, 14–16 May 2003; 2003; p. 8. [Google Scholar]
 - Di Crescenzo, G.; Santo, A. Debris Slides–Rapid Earth Flows in the Carbonate Massifs of the Campania Region (Southern Italy): Morphological and Morphometric Data for Evaluating Triggering Susceptibility. Geomorphology 2005, 66, 255–276. [Google Scholar] [CrossRef]
 - Bovis, M.J.; Jones, P. Holocene History of Earthflow Mass Movements in South-Central British Columbia: The Influence of Hydroclimatic Changes. Can. J. Earth Sci. 1992, 29, 1746–1755. [Google Scholar] [CrossRef]
 - Mulas, M.; Ciccarese, G.; Truffelli, G.; Corsini, A. Integration of Digital Image Correlation of Sentinel-2 Data and Continuous GNSS for Long-Term Slope Movements Monitoring in Moderately Rapid Landslides. Remote Sens. 2020, 12, 2605. [Google Scholar] [CrossRef]
 - Quinn, P.E.; Hutchinson, D.J.; Diederichs, M.S.; Rowe, R.K. Regional-Scale Landslide Susceptibility Mapping Using the Weights of Evidence Method: An Example Applied to Linear Infrastructure. Can. Geotech. J. 2010, 47, 905–927. [Google Scholar] [CrossRef]
 - Picarelli, L.; Russo, C. Remarks on the Mechanics of Slow Active Landslides and the Interaction with Man-Made Works. In Landslides: Evaluation and Stabilization; A. A. Balkema: Leiden, The Netherlands, 2004; pp. 1141–1176. [Google Scholar]
 - Di Maio, C.; Vassallo, R.; Scaringi, G.; Scaringi, G.; Pontolillo, D.M.; Grimaldi, G.M. Monitoring and analysis of an earthflow in tectonized clay shales and study of a remedial intervention by KCl wells. Riv. Ital. Geotec. 2017, 51, 48–63. [Google Scholar] [CrossRef]
 - Hungr, O.; Fell, R.; Couture, R.; Eberhardt, E. Landslide Risk Management; CRC Press: Boca Raton, FL, USA, 2005; ISBN 978-1-4398-3371-1. [Google Scholar]
 - Scaioni, M. (Ed.) Modern Technologies for Landslide Monitoring and Prediction; Springer: Berlin/Heidelberg, Germany, 2015; ISBN 978-3-662-45930-0. [Google Scholar]
 - Giordan, D.; Allasia, P.; Manconi, A.; Baldo, M.; Santangelo, M.; Cardinali, M.; Corazza, A.; Albanese, V.; Lollino, G.; Guzzetti, F. Morphological and Kinematic Evolution of a Large Earthflow: The Montaguto Landslide, Southern Italy. Geomorphology 2013, 187, 61–79. [Google Scholar] [CrossRef]
 - Bardi, F.; Raspini, F.; Frodella, W.; Lombardi, L.; Nocentini, M.; Gigli, G.; Morelli, S.; Corsini, A.; Casagli, N. Monitoring the Rapid-Moving Reactivation of Earth Flows by Means of GB-InSAR: The April 2013 Capriglio Landslide (Northern Appennines, Italy). Remote Sens. 2017, 9, 165. [Google Scholar] [CrossRef]
 - Mazza, D.; Cosentino, A.; Romeo, S.; Mazzanti, P.; Guadagno, F.M.; Revellino, P. Remote Sensing Monitoring of the Pietrafitta Earth Flows in Southern Italy: An Integrated Approach Based on Multi-Sensor Data. Remote Sens. 2023, 15, 1138. [Google Scholar] [CrossRef]
 - Malet, J.-P.; Maquaire, O.; Calais, E. The Use of Global Positioning System Techniques for the Continuous Monitoring of Landslides: Application to the Super-Sauze Earthflow (Alpes-de-Haute-Provence, France). Geomorphology 2002, 43, 33–54. [Google Scholar] [CrossRef]
 - Castagnetti, C.; Bertacchini, E.; Corsini, A.; Capra, A. Multi-Sensors Integrated System for Landslide Monitoring: Critical Issues in System Setup and Data Management. Eur. J. Remote Sens. 2013, 46, 104–124. [Google Scholar] [CrossRef]
 - Hermle, D.; Gaeta, M.; Krautblatter, M.; Mazzanti, P.; Keuschnig, M. Performance Testing of Optical Flow Time Series Analyses Based on a Fast, High-Alpine Landslide. Remote Sens. 2022, 14, 455. [Google Scholar] [CrossRef]
 - Bickel, V.T.; Manconi, A.; Amann, F. Quantitative Assessment of Digital Image Correlation Methods to Detect and Monitor Surface Displacements of Large Slope Instabilities. Remote Sens. 2018, 10, 865. [Google Scholar] [CrossRef]
 - Mazzanti, P.; Caporossi, P.; Muzi, R. Sliding Time Master Digital Image Correlation Analyses of CubeSat Images for Landslide Monitoring: The Rattlesnake Hills Landslide (USA). Remote Sens. 2020, 12, 592. [Google Scholar] [CrossRef]
 - Hermle, D.; Keuschnig, M.; Krautblatter, M. Potential of Multisensor Assessment Using Digital Image Correlation for Landslide Detection and Monitoring; Copernicus Meetings. 2020. [Google Scholar]
 - Lacroix, P.; Araujo, G.; Hollingsworth, J.; Taipe, E. Self-Entrainment Motion of a Slow-Moving Landslide Inferred from Landsat-8 Time Series. J. Geophys. Res. Earth Surf. 2019, 124, 1201–1216. [Google Scholar] [CrossRef]
 - Daehne, A.; Corsini, A. Kinematics of Active Earthflows Revealed by Digital Image Correlation and DEM Subtraction Techniques Applied to Multi-Temporal LiDAR Data: Kinematics of Active Earthflows. Earth Surf. Processes Landf. 2013, 38, 640–654. [Google Scholar] [CrossRef]
 - Travelletti, J.; Oppikofer, T.; Delacourt, C. Monitoring Landslide Displacements during a Controlled Rain Experiment Using a Long-Range Terrestrial Laser Scanning (TLS); Chen, J., Jiang, J., Eds.; Hans-Gerd MAAS: Beijing, China, 2008; Volume XXXVII, p. 6. [Google Scholar]
 - Tondo, M.; Mulas, M.; Ciccarese, G.; Marcato, G.; Bossi, G.; Tonidandel, D.; Mair, V.; Corsini, A. Detecting Recent Dynamics in Large-Scale Landslides via the Digital Image Correlation of Airborne Optic and LiDAR Datasets: Test Sites in South Tyrol (Italy). Remote Sens. 2023, 15, 2971. [Google Scholar] [CrossRef]
 - Travelletti, J.; Delacourt, C.; Allemand, P.; Malet, J.-P.; Schmittbuhl, J.; Toussaint, R.; Bastard, M. Correlation of Multi-Temporal Ground-Based Optical Images for Landslide Monitoring: Application, Potential and Limitations. ISPRS J. Photogramm. Remote Sens. 2012, 70, 39–55. [Google Scholar] [CrossRef]
 - Travelletti, J.; Malet, J.-P.; Delacourt, C. Image-Based Correlation of Laser Scanning Point Cloud Time Series for Landslide Monitoring. Int. J. Appl. Earth Obs. Geoinf. 2014, 32, 1–18. [Google Scholar] [CrossRef]
 - Stumpf, A.; Malet, J.-P.; Delacourt, C. Correlation of Satellite Image Time-Series for the Detection and Monitoring of Slow-Moving Landslides. Remote Sens. Environ. 2017, 189, 40–55. [Google Scholar] [CrossRef]
 - Motta, M.; Gabrieli, F.; Corsini, A.; Manzi, V.; Ronchetti, F.; Cola, S. Landslide Displacement Monitoring from Multi-Temporal Terrestrial Digital Images: Case of the Valoria Landslide Site. In Landslide Science and Practice: Volume 2: Early Warning, Instrumentation and Monitoring; Margottini, C., Canuti, P., Sassa, K., Eds.; Springer: Berlin/Heidelberg, Germany, 2013; pp. 73–78. ISBN 978-3-642-31445-2. [Google Scholar]
 - Travelletti, J.; Delacourt, C.; Malet, J.-P.; Allemand, P.; Schmittbuhl, J.; Toussaint, R. Performance of Image Correlation Techniques for Landslide Displacement Monitoring. In Landslide Science and Practice: Volume 2: Early Warning, Instrumentation and Monitoring; Margottini, C., Canuti, P., Sassa, K., Eds.; Springer: Berlin/Heidelberg, Germany, 2013; pp. 217–226. ISBN 978-3-642-31445-2. [Google Scholar]
 - Dematteis, N.; Giordan, D. Comparison of Digital Image Correlation Methods and the Impact of Noise in Geoscience Applications. Remote Sens. 2021, 13, 327. [Google Scholar] [CrossRef]
 - Corominas, J.; Van Westen, C.; Frattini, P.; Cascini, L.; Malet, J.-P.; Fotopoulou, S.; Catani, F.; Van Den Eeckhaut, M.; Mavrouli, O.; Agliardi, F.; et al. Recommendations for the Quantitative Analysis of Landslide Risk. Bull. Eng. Geol. Environ. 2013, 73, 209–263. [Google Scholar] [CrossRef]
 - Chowdhury, R.; Flentje, P. Role of Slope Reliability Analysis in Landslide Risk Management. Bull. Eng. Geol. Environ. 2003, 62, 41–46. [Google Scholar] [CrossRef]
 - Mazzanti, P. Toward Transportation Asset Management: What Is the Role of Geotechnical Monitoring? J. Civ. Struct. Health Monit. 2017, 7, 645–656. [Google Scholar] [CrossRef]
 - Whiteley, J.S.; Watlet, A.; Kendall, J.M.; Chambers, J.E. Brief Communication: The Role of Geophysical Imaging in Local Landslide Early Warning Systems. Nat. Hazards Earth Syst. Sci. 2021, 21, 3863–3871. [Google Scholar] [CrossRef]
 - Hungr, O.; Leroueil, S.; Picarelli, L. The Varnes Classification of Landslide Types, an Update. Landslides 2014, 11, 167–194. [Google Scholar] [CrossRef]
 - Pinto, F.; Guerriero, L.; Revellino, P.; Grelle, G.; Senatore, M.R.; Guadagno, F.M. Structural and Lithostratigraphic Controls of Earth-Flow Evolution, Montaguto Earth Flow, Southern Italy. J. Geol. Soc. 2016, 173, 649–665. [Google Scholar] [CrossRef]
 - Guerriero, L.; Revellino, P.; Grelle, G.; Fiorillo, F.; Guadagno, F. Landslides and Infrastructures: The Case of the Montaguto Earth Flow in Southern Italy. Ital. J. Eng. Geol. Environ. 2013, 2013, 459–466. [Google Scholar] [CrossRef]
 - Ferrigno, F.; Gigli, G.; Fanti, R.; Intrieri, E.; Casagli, N. GB-InSAR Monitoring and Observational Method for Landslide Emergency Management: The Montaguto Earthflow (AV, Italy). Nat. Hazards Earth Syst. Sci. 2017, 17, 845–860. [Google Scholar] [CrossRef]
 - Casagli, N.; Intrieri, E.; Tofani, V.; Gigli, G.; Raspini, F. Landslide Detection, Monitoring and Prediction with Remote-Sensing Techniques. Nat. Rev. Earth Environ. 2023, 4, 51–64. [Google Scholar] [CrossRef]
 - Pearson’s Correlation Coefficient. In Encyclopedia of Public Health; Kirch, W. (Ed.) Springer: Dordrecht, The Netherlands, 2008; pp. 1090–1091. ISBN 978-1-4020-5613-0. [Google Scholar]
 - Caporossi, P.; Mazzanti, P.; Bozzano, F. Digital Image Correlation (DIC) Analysis of the 3 December 2013 Montescaglioso Landslide (Basilicata, Southern Italy): Results from a Multi-Dataset Investigation. ISPRS Int. J. Geo-Inf. 2018, 7, 372. [Google Scholar] [CrossRef]
 - Pan, B.; Xie, H.; Wang, Z.; Qian, K.; Wang, Z. Study on Subset Size Selection in Digital Image Correlation for Speckle Patterns. Opt. Express 2008, 16, 7037. [Google Scholar] [CrossRef]
 - Tong, X.; Ye, Z.; Xu, Y.; Gao, S.; Xie, H.; Du, Q.; Liu, S.; Xu, X.; Liu, S.; Luan, K.; et al. Image Registration with Fourier-Based Image Correlation: A Comprehensive Review of Developments and Applications. IEEE J. Sel. Top. Appl. Earth Obs. Remote Sens. 2019, 12, 4062–4081. [Google Scholar] [CrossRef]
 - Carrivick, J.; Smith, M.; Quincey, D. Structure from Motion in the Geosciences; Wiley, Blackwell: Chichester, UK; Ames, IA, USA, 2016; ISBN 978-1-118-89584-9. [Google Scholar]
 - Mugnai, F.; Masiero, A.; Angelini, R.; Cortesi, I. High-Resolution Monitoring of Landslides with UAS Photogrammetry and Digital Image Correlation. Eur. J. Remote Sens. 2023, 56, 2216361. [Google Scholar] [CrossRef]
 - Angeli, M.-G.; Pasuto, A.; Silvano, S. A Critical Review of Landslide Monitoring Experiences. Eng. Geol. 2000, 55, 133–147. [Google Scholar] [CrossRef]
 - Mucchi, L.; Jayousi, S.; Martinelli, A.; Caputo, S.; Intrieri, E.; Gigli, G.; Gracchi, T.; Mugnai, F.; Favalli, M.; Fornaciai, A.; et al. A Flexible Wireless Sensor Network Based on Ultra-Wide Band Technology for Ground Instability Monitoring. Sensors 2018, 18, 2948. [Google Scholar] [CrossRef]
 - Lindner, G.; Schraml, K.; Mansberger, R.; Hübl, J. UAV Monitoring and Documentation of a Large Landslide. Appl. Geomat. 2016, 8, 1–11. [Google Scholar] [CrossRef]
 - Sestras, P.; Bilașco, Ș.; Roșca, S.; Dudic, B.; Hysa, A.; Spalević, V. Geodetic and UAV Monitoring in the Sustainable Management of Shallow Landslides and Erosion of a Susceptible Urban Environment. Remote Sens. 2021, 13, 385. [Google Scholar] [CrossRef]
 - Lewis, J.P. Fast Template Matching. In Proceedings of the Vision Interface 95, Canadian Image Processing and Pattern Recognition Society, Quebec City, QC, Canada, 15–19 May 1995; pp. 120–123. [Google Scholar]
 - Cruden, D.M.; Varnes, D.J. Landslide Types and Processes; Special Report National Research Council Transportation Research; Board Transportation Research Board, National Academy of Sciences: Washington, DC, USA, 1996; Volume 247, pp. 36–75. [Google Scholar]
 - Gariano, S.L.; Sarkar, R.; Dikshit, A.; Dorji, K.; Brunetti, M.T.; Peruccacci, S.; Melillo, M. Automatic Calculation of Rainfall Thresholds for Landslide Occurrence in Chukha Dzongkhag, Bhutan. Bull. Eng. Geol. Environ. 2019, 78, 4325–4332. [Google Scholar] [CrossRef]
 - Messerli, A.; Grinsted, A. Image Georectification and Feature Tracking Toolbox: ImGRAFT. Geosci. Instrum. Methods Data Syst. 2015, 4, 23–34. [Google Scholar] [CrossRef]
 - How, P.; Hulton, N.R.J.; Buie, L.; Benn, D.I. PyTrx: A Python-Based Monoscopic Terrestrial Photogrammetry Toolset for Glaciology. Front. Earth Sci. 2020, 8, 21. [Google Scholar] [CrossRef]
 - Romeo, S.; Cosentino, A.; Giani, F.; Mastrantoni, G.; Mazzanti, P. Combining Ground Based Remote Sensing Tools for Rockfalls Assessment and Monitoring: The Poggio Baldi Landslide Natural Laboratory. Sensors 2021, 21, 2632. [Google Scholar] [CrossRef]
 - Guerriero, L.; Di Martire, D.; Calcaterra, D.; Francioni, M. Digital Image Correlation of Google Earth Images for Earth’s Surface Displacement Estimation. Remote Sens. 2020, 12, 3518. [Google Scholar] [CrossRef]
 - Stumpf, A.; Malet, J.-P.; Allemand, P.; Ulrich, P. Surface Reconstruction and Landslide Displacement Measurements with Pléiades Satellite Images. ISPRS J. Photogramm. Remote Sens. 2014, 95, 1–12. [Google Scholar] [CrossRef]
 - Keefer, D.K.; Johnson, A.M. Earth Flows: Morphology, Mobilization, and Movement; Professional Paper; U.S. Geological Survey: Washington, DC, USA, 1983; Volume 1264.
 - Guerriero, L.; Coe, J.A.; Revellino, P.; Grelle, G.; Pinto, F.; Guadagno, F.M. Influence of Slip-Surface Geometry on Earth-Flow Deformation, Montaguto Earth Flow, Southern Italy. Geomorphology 2014, 219, 285–305. [Google Scholar] [CrossRef]
 













| Date | GNSS | UAS | 
|---|---|---|
| 12 April 2022 | ✔ | |
| 3 October 2022 | ✔ | |
| 1 December 2022 | ✔ | ✔ | 
| 1 February 2023 | ✔ | ✔ | 
| 22 March 2023 | ✔ | ✔ | 
| 18 May 2023 | ✔ | ✔ | 
| Date | Satellite | GSD (m) | 
|---|---|---|
| 13 May 2009 | GeoEye-1 | 0.41 | 
| 15 April 2013 | WorldView-1 | 0.47 | 
| 1 November 2017 | TripeSat-1 | 0.80 | 
| 14 June 2019 | WorldView-2 | 0.46 | 
| Platform | Pole (Ground-Based) | UAS | Satellite | 
|---|---|---|---|
| Sensor | 1/2.9″ CMOS (2MP) | 1″ CMOS (20MP) | various (depending on constellation) | 
| Scenario | Pietrafitta earth flow | Grillo earth flow | Grillo earth flow | 
| Geometric resolution | 10–63 cm | 3 cm | 30–100 cm | 
| Radiometric resolution | 10-bit | 12-bit | various | 
| Spectral resolution | low (RGB) | low (RGB) | low (RGB) | 
| Temporal resolution | days–hours | months | years | 
| Analysis | |||
|---|---|---|---|
| A | B | C | |
| Time span covered | 7 March 2018–31 March 2018 | 08:47–17:18 | 13:02–14:06 | 
| Images processed | 25 | 8 | 2 | 
| Temporal resolution | 1 day | 1 h | 1 h | 
| Approach | MM | MM | SA | 
| Window size | 64 pixel | 8 pixel | 8 pixel | 
Disclaimer/Publisher’s Note: The statements, opinions and data contained in all publications are solely those of the individual author(s) and contributor(s) and not of MDPI and/or the editor(s). MDPI and/or the editor(s) disclaim responsibility for any injury to people or property resulting from any ideas, methods, instructions or products referred to in the content.  | 
© 2023 by the authors. Licensee MDPI, Basel, Switzerland. This article is an open access article distributed under the terms and conditions of the Creative Commons Attribution (CC BY) license (https://creativecommons.org/licenses/by/4.0/).
Share and Cite
Mazza, D.; Romeo, S.; Cosentino, A.; Mazzanti, P.; Guadagno, F.M.; Revellino, P. The Contribution of Digital Image Correlation for the Knowledge, Control and Emergency Monitoring of Earth Flows. Geosciences 2023, 13, 364. https://doi.org/10.3390/geosciences13120364
Mazza D, Romeo S, Cosentino A, Mazzanti P, Guadagno FM, Revellino P. The Contribution of Digital Image Correlation for the Knowledge, Control and Emergency Monitoring of Earth Flows. Geosciences. 2023; 13(12):364. https://doi.org/10.3390/geosciences13120364
Chicago/Turabian StyleMazza, Davide, Saverio Romeo, Antonio Cosentino, Paolo Mazzanti, Francesco Maria Guadagno, and Paola Revellino. 2023. "The Contribution of Digital Image Correlation for the Knowledge, Control and Emergency Monitoring of Earth Flows" Geosciences 13, no. 12: 364. https://doi.org/10.3390/geosciences13120364
APA StyleMazza, D., Romeo, S., Cosentino, A., Mazzanti, P., Guadagno, F. M., & Revellino, P. (2023). The Contribution of Digital Image Correlation for the Knowledge, Control and Emergency Monitoring of Earth Flows. Geosciences, 13(12), 364. https://doi.org/10.3390/geosciences13120364
        
