Stress-Dependent Permeability of Naturally Micro-Fractured Shale
Abstract
:1. Introduction
2. Materials and Sample Preparation
3. Experimental and Analytical Procedures
3.1. Porosity and Permeability
3.2. Microstructural Observations
4. Results
4.1. Porosity
4.2. Gas and Klinkenberg Permeabilities
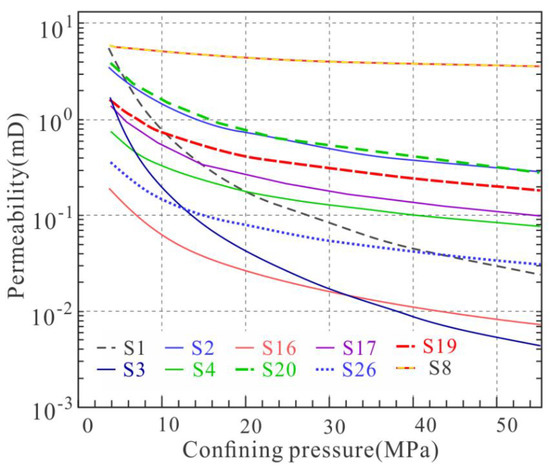
4.3. Stress-Dependent Permeability
4.4. Reversibility of Permeability upon Unloading
5. Discussion
5.1. Stress Sensitivity of the Micro-Fractures
5.2. Implications for Fractured Shale Formations
6. Conclusions
- The porosity of the damage zone is similar to that of shale strata without fractures and in the range from 1.3% to 4.2%. There is no obvious correlation between the porosity and the permeability of the fractured shale;
- The gas permeability, as measured, ranges between 0.064 and 26.9 mD and scales linearly with the inverse mean pore pressure, yielding the corresponding Klinkenberg permeabilities. The Klinkenberg permeabilities differ between samples, both regarding their absolute values and their confining pressure characteristics;
- The permeability of all micro-fractured shale samples is very sensitive to stress (confining pressure) changes in comparison with a porous sandstone sample tested in addition. The measured decrease in permeability was found to be up to 88% in the pressure range between 4 and 10 MPa. The extent of this stress-dependent permeability reduction is closely correlated with the fracture distribution and orientation as evidenced by µCT imaging. Fractures oriented in the direction of the reservoir’s fluid potential gradient display the weakest stress sensitivity, yielding the highest permeability at the in situ pressure;
- The permeability of the regional fault due to the drilling of well HD-1 is approximately 0.96 mD, as estimated from well productivity data. This roughly agrees with the average permeability of the shale samples tested in this study under elevated pressures and indicates that a micro-fractured reservoir exists at depth. Moreover, the permeability of the naturally micro-fractured shale is significantly higher than that of intact shales; and
- The shoulder of anticlines with large fluid potential gradients thus can define favorable drilling targets for the economic exploitation of shale gas, probably even without the need for hydraulic fracture treatments. Here, the production rate and the payback period can certainly be improved by an appropriate choice of drilling technology and a defined exploitation strategy.
Author Contributions
Funding
Data Availability Statement
Acknowledgments
Conflicts of Interest
Appendix A
| Pc | 4 MPa | 5 MPa | 6 MPa | 7 MPa | 8 MPa | 9 MPa | 10 MPa | |||||||||||||||
|---|---|---|---|---|---|---|---|---|---|---|---|---|---|---|---|---|---|---|---|---|---|---|
| S1 | kg | k (mD) | Pav (MPa) | b (MPa) | k (mD) | Pav (MPa) | b (MPa) | k (mD) | Pav (MPa) | b (MPa) | k (mD) | Pav (MPa) | b (MPa) | k (mD) | Pav (MPa) | b (MPa) | k (mD) | Pav (MPa) | b (MPa) | k (mD) | Pav (MPa) | b (MPa) |
| 26.917 | 0.21 | 20.993 | 0.21 | 13.782 | 0.27 | 14.047 | 0.22 | 13.065 | 0.21 | 4.423 | 0.23 | 1.866 | 0.33 | |||||||||
| 18.729 | 0.35 | 13.508 | 0.36 | 10.435 | 0.40 | 9.561 | 0.35 | 8.345 | 0.33 | 3.228 | 0.35 | 1.592 | 0.45 | |||||||||
| 15.738 | 0.46 | 11.435 | 0.48 | 8.531 | 0.52 | 7.446 | 0.49 | 6.371 | 0.47 | 2.480 | 0.49 | 1.393 | 0.62 | |||||||||
| 12.909 | 0.61 | 9.427 | 0.60 | 7.414 | 0.63 | 6.249 | 0.61 | 5.303 | 0.62 | 2.203 | 0.62 | 1.249 | 0.73 | |||||||||
| 11.324 | 0.78 | 8.095 | 0.76 | 6.285 | 0.80 | 5.899 | 0.71 | 4.702 | 0.74 | 2.016 | 0.72 | 1.189 | 0.84 | |||||||||
| 10.779 | 0.88 | 7.300 | 0.91 | 5.846 | 0.91 | 5.076 | 0.85 | 4.167 | 0.88 | 1.798 | 0.85 | 1.132 | 0.94 | |||||||||
| 10.375 | 0.97 | 6.999 | 1.00 | 5.405 | 1.03 | 4.680 | 0.99 | 3.836 | 1.02 | 1.669 | 1.00 | 1.047 | 1.08 | |||||||||
| 10.177 | 1.11 | 6.562 | 1.16 | 5.200 | 1.11 | 4.220 | 1.12 | 3.554 | 1.10 | 1.464 | 1.16 | 1.038 | 1.19 | |||||||||
| k | 5.860 | b | 0.76 | 3.366 | b | 1.10 | 2.436 | b | 1.28 | 1.896 | b | 1.43 | 1.363 | b | 1.77 | 0.793 | b | 1.07 | 0.723 | b | 0.53 | |
| S2 | kg | 16.325 | 0.22 | 15.075 | 0.23 | 11.234 | 0.27 | 8.888 | 0.32 | 8.329 | 0.32 | 7.617 | 0.33 | 7.189 | 0.30 | |||||||
| 11.852 | 0.34 | 10.985 | 0.32 | 8.839 | 0.37 | 7.322 | 0.42 | 6.566 | 0.45 | 5.869 | 0.47 | 5.697 | 0.42 | |||||||||
| 9.880 | 0.47 | 8.637 | 0.47 | 7.590 | 0.46 | 5.771 | 0.59 | 5.687 | 0.56 | 5.340 | 0.56 | 5.025 | 0.52 | |||||||||
| 8.701 | 0.59 | 7.497 | 0.59 | 6.567 | 0.57 | 4.957 | 0.73 | 5.125 | 0.64 | 4.817 | 0.66 | 4.254 | 0.63 | |||||||||
| 7.724 | 0.71 | 6.628 | 0.72 | 5.472 | 0.75 | 4.490 | 0.84 | 4.816 | 0.72 | 4.326 | 0.79 | 3.876 | 0.76 | |||||||||
| 7.321 | 0.81 | 6.145 | 0.85 | 5.010 | 0.86 | 4.156 | 0.94 | 4.375 | 0.81 | 3.931 | 0.91 | 3.564 | 0.88 | |||||||||
| 6.677 | 0.93 | 5.610 | 0.98 | 4.562 | 0.98 | 3.915 | 1.03 | 4.044 | 0.94 | 3.670 | 1.05 | 3.304 | 0.99 | |||||||||
| 6.255 | 1.07 | 5.324 | 1.09 | 4.297 | 1.08 | 3.711 | 1.11 | 3.754 | 1.05 | 3.534 | 1.14 | 3.205 | 1.10 | |||||||||
| k | 3.894 | b | 0.70 | 2.800 | b | 0.98 | 2.170 | b | 1.12 | 1.723 | b | 1.34 | 1.837 | b | 1.14 | 1.848 | b | 1.04 | 1.534 | b | 1.17 | |
| S16 | kg | 0.376 | 0.17 | 0.209 | 0.34 | 0.167 | 0.31 | 0.140 | 0.33 | 0.112 | 0.23 | 0.115 | 0.19 | 0.089 | 0.31 | |||||||
| 0.326 | 0.26 | 0.191 | 0.48 | 0.163 | 0.41 | 0.134 | 0.42 | 0.110 | 0.34 | 0.101 | 0.37 | 0.078 | 0.46 | |||||||||
| 0.272 | 0.37 | 0.192 | 0.59 | 0.156 | 0.53 | 0.130 | 0.52 | 0.106 | 0.50 | 0.098 | 0.47 | 0.077 | 0.59 | |||||||||
| 0.254 | 0.45 | 0.189 | 0.59 | 0.148 | 0.68 | 0.126 | 0.63 | 0.100 | 0.62 | 0.095 | 0.60 | 0.075 | 0.73 | |||||||||
| 0.239 | 0.59 | 0.181 | 0.72 | 0.143 | 0.77 | 0.120 | 0.76 | 0.098 | 0.74 | 0.091 | 0.73 | 0.073 | 0.86 | |||||||||
| 0.238 | 0.71 | 0.173 | 0.85 | 0.137 | 0.92 | 0.117 | 0.85 | 0.094 | 0.88 | 0.086 | 0.86 | 0.069 | 0.96 | |||||||||
| 0.229 | 1.06 | 0.170 | 1.00 | 0.133 | 1.06 | 0.113 | 0.97 | 0.090 | 1.03 | 0.084 | 0.99 | 0.065 | 1.09 | |||||||||
| 0.228 | 1.18 | 0.159 | 1.12 | 0.128 | 1.21 | 0.110 | 1.08 | 0.088 | 1.13 | 0.079 | 1.13 | 0.064 | 1.19 | |||||||||
| k | 0.193 | b | 0.16 | 0.147 | b | 0.15 | 0.119 | b | 0.14 | 0.101 | b | 0.14 | 0.087 | b | 0.08 | 0.079 | b | 0.09 | 0.058 | b | 0.17 | |
| S17 | kg | 8.806 | 0.20 | 7.660 | 0.23 | 6.637 | 0.23 | 6.777 | 0.21 | 7.067 | 0.18 | 7.256 | 0.19 | 4.308 | 0.29 | |||||||
| 5.709 | 0.34 | 5.403 | 0.33 | 4.697 | 0.35 | 4.238 | 0.35 | 3.925 | 0.35 | 3.713 | 0.37 | 3.321 | 0.39 | |||||||||
| 4.414 | 0.47 | 4.187 | 0.47 | 3.687 | 0.48 | 3.491 | 0.45 | 3.245 | 0.45 | 3.107 | 0.47 | 2.743 | 0.50 | |||||||||
| 3.849 | 0.60 | 3.452 | 0.59 | 3.156 | 0.59 | 2.834 | 0.61 | 2.597 | 0.60 | 2.586 | 0.60 | 2.347 | 0.61 | |||||||||
| 3.533 | 0.70 | 3.172 | 0.71 | 2.788 | 0.71 | 2.500 | 0.72 | 2.255 | 0.76 | 2.227 | 0.74 | 2.141 | 0.72 | |||||||||
| 3.361 | 0.82 | 2.865 | 0.83 | 2.470 | 0.85 | 2.277 | 0.84 | 2.093 | 0.87 | 1.997 | 0.88 | 1.868 | 0.87 | |||||||||
| 2.995 | 0.98 | 2.648 | 0.96 | 2.295 | 0.96 | 2.071 | 0.97 | 1.882 | 0.99 | 1.834 | 1.03 | 1.746 | 0.98 | |||||||||
| 2.970 | 1.11 | 2.459 | 1.14 | 2.122 | 1.08 | 1.900 | 1.11 | 1.797 | 1.10 | 1.742 | 1.11 | 1.609 | 1.15 | |||||||||
| k | 1.563 | b | 0.90 | 1.088 | b | 1.35 | 0.924 | b | 1.42 | 0.789 | b | 1.56 | 0.734 | b | 1.55 | 0.568 | b | 2.16 | 0.659 | b | 1.60 | |
| S19 | kg | 6.280 | 0.18 | 3.623 | 0.30 | 2.823 | 0.35 | 3.648 | 0.20 | 2.633 | 0.23 | 2.290 | 0.24 | 1.849 | 0.33 | |||||||
| 4.276 | 0.34 | 3.015 | 0.44 | 2.408 | 0.46 | 2.550 | 0.35 | 2.184 | 0.35 | 2.039 | 0.33 | 1.590 | 0.45 | |||||||||
| 3.435 | 0.50 | 2.630 | 0.57 | 2.139 | 0.59 | 2.156 | 0.49 | 1.880 | 0.48 | 1.730 | 0.49 | 1.381 | 0.62 | |||||||||
| 3.121 | 0.60 | 2.346 | 0.70 | 1.948 | 0.72 | 1.859 | 0.66 | 1.670 | 0.64 | 1.562 | 0.60 | 1.238 | 0.73 | |||||||||
| 2.844 | 0.74 | 2.251 | 0.83 | 1.854 | 0.83 | 1.695 | 0.83 | 1.509 | 0.81 | 1.421 | 0.76 | 1.169 | 0.84 | |||||||||
| 2.664 | 0.86 | 2.062 | 0.96 | 1.707 | 0.95 | 1.561 | 0.97 | 1.395 | 0.99 | 1.328 | 0.87 | 1.119 | 0.94 | |||||||||
| 2.579 | 0.98 | 1.943 | 1.09 | 1.630 | 1.08 | 1.436 | 1.15 | 1.226 | 1.18 | 1.225 | 1.01 | 1.038 | 1.08 | |||||||||
| 2.383 | 1.11 | 1.888 | 1.23 | 1.569 | 1.19 | 1.388 | 1.27 | 1.218 | 1.28 | 1.147 | 1.15 | 1.016 | 1.19 | |||||||||
| k | 1.686 | b | 0.51 | 1.339 | b | 0.53 | 1.066 | b | 0.58 | 1.018 | b | 0.52 | 0.993 | b | 0.39 | 0.939 | b | 0.37 | 0.707 | b | 0.55 | |
| S3 | kg | 2.462 | 0.25 | 1.683 | 0.20 | 1.237 | 0.21 | 0.885 | 0.20 | 0.624 | 0.22 | 0.479 | 0.25 | 0.335 | 0.26 | |||||||
| 2.295 | 0.32 | 1.518 | 0.30 | 1.105 | 0.37 | 0.805 | 0.33 | 0.581 | 0.32 | 0.442 | 0.34 | 0.309 | 0.34 | |||||||||
| 2.144 | 0.41 | 1.443 | 0.39 | 1.039 | 0.47 | 0.727 | 0.50 | 0.530 | 0.45 | 0.416 | 0.49 | 0.283 | 0.47 | |||||||||
| 2.090 | 0.47 | 1.424 | 0.47 | 0.999 | 0.54 | 0.697 | 0.58 | 0.506 | 0.58 | 0.397 | 0.57 | 0.270 | 0.57 | |||||||||
| 2.020 | 0.54 | 1.362 | 0.54 | 0.951 | 0.63 | 0.664 | 0.68 | 0.469 | 0.69 | 0.362 | 0.71 | 0.257 | 0.73 | |||||||||
| 1.864 | 0.60 | 1.308 | 0.60 | 0.894 | 0.76 | 0.620 | 0.81 | 0.435 | 0.83 | 0.350 | 0.84 | 0.239 | 0.88 | |||||||||
| 1.860 | 0.65 | 1.249 | 0.69 | 0.894 | 0.76 | 0.594 | 0.92 | 0.415 | 0.98 | 0.330 | 0.96 | 0.229 | 1.01 | |||||||||
| 1.771 | 0.75 | 1.192 | 0.81 | 0.808 | 1.00 | 0.573 | 1.01 | 0.393 | 1.08 | 0.313 | 1.09 | 0.219 | 1.10 | |||||||||
| k | 1.488 | b | 0.17 | 1.107 | b | 0.11 | 0.766 | b | 0.14 | 0.540 | b | 0.14 | 0.366 | b | 0.17 | 0.287 | b | 0.18 | 0.195 | b | 0.20 | |
| S4 | kg | 3.023 | 0.22 | 1.487 | 0.22 | 1.247 | 0.23 | 0.985 | 0.25 | 0.896 | 0.21 | 0.794 | 0.23 | 0.628 | 0.29 | |||||||
| 2.047 | 0.34 | 1.281 | 0.34 | 1.079 | 0.36 | 0.922 | 0.33 | 0.800 | 0.34 | 0.726 | 0.34 | 0.572 | 0.38 | |||||||||
| 1.619 | 0.48 | 1.151 | 0.48 | 0.942 | 0.52 | 0.820 | 0.47 | 0.698 | 0.47 | 0.617 | 0.48 | 0.556 | 0.47 | |||||||||
| 1.491 | 0.59 | 1.068 | 0.61 | 0.866 | 0.62 | 0.749 | 0.59 | 0.628 | 0.61 | 0.580 | 0.60 | 0.495 | 0.56 | |||||||||
| 1.366 | 0.73 | 1.004 | 0.70 | 0.815 | 0.73 | 0.691 | 0.71 | 0.603 | 0.69 | 0.540 | 0.71 | 0.463 | 0.68 | |||||||||
| 1.246 | 0.84 | 0.961 | 0.78 | 0.758 | 0.85 | 0.634 | 0.86 | 0.544 | 0.84 | 0.501 | 0.84 | 0.433 | 0.84 | |||||||||
| 1.221 | 0.95 | 0.910 | 0.90 | 0.719 | 0.95 | 0.601 | 0.95 | 0.515 | 0.96 | 0.462 | 0.98 | 0.402 | 1.00 | |||||||||
| 1.158 | 1.06 | 0.818 | 1.02 | 0.690 | 1.04 | 0.579 | 1.04 | 0.485 | 1.05 | 0.433 | 1.10 | 0.379 | 1.08 | |||||||||
| k | 0.635 | b | 0.81 | 0.741 | b | 0.23 | 0.578 | b | 0.28 | 0.485 | b | 0.28 | 0.434 | b | 0.24 | 0.380 | b | 0.27 | 0.314 | b | 0.31 | |
| S20 | kg | 13.283 | 0.23 | 10.456 | 0.25 | 10.004 | 0.22 | 9.381 | 0.20 | 8.450 | 0.21 | 6.327 | 0.27 | 6.002 | 0.25 | |||||||
| 10.256 | 0.35 | 8.698 | 0.33 | 7.619 | 0.34 | 7.155 | 0.31 | 6.391 | 0.33 | 5.575 | 0.36 | 5.034 | 0.34 | |||||||||
| 8.737 | 0.47 | 7.315 | 0.46 | 6.045 | 0.49 | 5.895 | 0.43 | 5.012 | 0.46 | 4.748 | 0.46 | 4.293 | 0.44 | |||||||||
| 7.797 | 0.59 | 6.446 | 0.57 | 5.461 | 0.59 | 5.091 | 0.55 | 4.659 | 0.56 | 4.250 | 0.54 | 3.550 | 0.57 | |||||||||
| 7.075 | 0.71 | 5.864 | 0.71 | 4.893 | 0.71 | 4.342 | 0.71 | 3.832 | 0.72 | 3.964 | 0.64 | 3.193 | 0.70 | |||||||||
| 6.500 | 0.83 | 5.462 | 0.82 | 4.560 | 0.80 | 3.902 | 0.84 | 3.702 | 0.84 | 3.691 | 0.72 | 3.129 | 0.80 | |||||||||
| 6.209 | 0.91 | 5.070 | 0.96 | 4.259 | 0.90 | 3.644 | 0.94 | 3.500 | 0.94 | 3.366 | 0.83 | 2.895 | 0.88 | |||||||||
| 6.112 | 1.02 | 4.845 | 1.09 | 4.005 | 0.99 | 3.393 | 1.06 | 3.364 | 1.05 | 3.141 | 0.95 | 2.760 | 0.97 | |||||||||
| k | 4.067 | b | 0.52 | 3.295 | b | 0.54 | 2.521 | b | 0.66 | 2.147 | b | 0.70 | 2.040 | b | 0.68 | 1.943 | b | 0.64 | 1.637 | b | 0.69 | |
| S26 | kg | 0.646 | 0.27 | 0.351 | 0.21 | 0.336 | 0.19 | 0.304 | 0.25 | 0.288 | 0.23 | 0.227 | 0.21 | 0.204 | 0.20 | |||||||
| 0.559 | 0.33 | 0.340 | 0.33 | 0.306 | 0.33 | 0.288 | 0.36 | 0.278 | 0.34 | 0.229 | 0.34 | 0.202 | 0.33 | |||||||||
| 0.530 | 0.48 | 0.325 | 0.45 | 0.300 | 0.44 | 0.270 | 0.46 | 0.257 | 0.47 | 0.224 | 0.46 | 0.189 | 0.49 | |||||||||
| 0.507 | 0.60 | 0.309 | 0.58 | 0.281 | 0.59 | 0.255 | 0.60 | 0.250 | 0.59 | 0.209 | 0.59 | 0.182 | 0.60 | |||||||||
| 0.480 | 0.71 | 0.293 | 0.73 | 0.260 | 0.70 | 0.246 | 0.72 | 0.235 | 0.73 | 0.193 | 0.76 | 0.171 | 0.74 | |||||||||
| 0.460 | 0.83 | 0.292 | 0.85 | 0.258 | 0.83 | 0.234 | 0.89 | 0.229 | 0.85 | 0.190 | 0.89 | 0.164 | 0.86 | |||||||||
| 0.464 | 0.96 | 0.281 | 0.96 | 0.250 | 0.96 | 0.225 | 1.04 | 0.216 | 0.97 | 0.187 | 1.02 | 0.158 | 0.98 | |||||||||
| 0.443 | 1.09 | 0.274 | 1.12 | 0.245 | 1.09 | 0.219 | 1.15 | 0.212 | 1.10 | 0.181 | 1.15 | 0.151 | 1.18 | |||||||||
| k | 0.391 | b | 0.17 | 0.268 | b | 0.07 | 0.235 | b | 0.09 | 0.203 | b | 0.14 | 0.201 | b | 0.11 | 0.180 | b | 0.07 | 0.153 | b | 0.08 | |
| S8 | kg | 12.372 | 0.18 | 11.328 | 0.21 | 10.071 | 0.24 | 10.132 | 0.24 | 9.836 | 0.22 | 10.132 | 0.22 | 9.292 | 0.24 | |||||||
| 9.644 | 0.31 | 9.487 | 0.35 | 9.102 | 0.33 | 8.710 | 0.36 | 8.734 | 0.33 | 8.542 | 0.32 | 8.342 | 0.35 | |||||||||
| 8.869 | 0.43 | 8.713 | 0.47 | 8.534 | 0.41 | 7.938 | 0.47 | 7.841 | 0.47 | 7.972 | 0.42 | 7.669 | 0.45 | |||||||||
| 8.452 | 0.51 | 8.207 | 0.57 | 7.848 | 0.52 | 7.368 | 0.58 | 7.399 | 0.55 | 7.176 | 0.58 | 7.166 | 0.58 | |||||||||
| 7.928 | 0.63 | 7.732 | 0.69 | 7.346 | 0.62 | 6.841 | 0.69 | 7.106 | 0.65 | 6.876 | 0.70 | 6.709 | 0.71 | |||||||||
| 7.603 | 0.81 | 7.395 | 0.78 | 6.863 | 0.73 | 6.285 | 0.84 | 6.943 | 0.76 | 6.552 | 0.82 | 6.341 | 0.83 | |||||||||
| 7.154 | 1.11 | 7.320 | 0.88 | 6.451 | 0.83 | 5.921 | 0.96 | 6.688 | 0.87 | 6.219 | 0.92 | 6.247 | 0.95 | |||||||||
| 8.326 | 0.54 | 7.063 | 1.00 | 6.040 | 0.97 | 5.497 | 1.10 | 6.393 | 0.96 | 6.238 | 1.06 | 6.025 | 1.05 | |||||||||
| k | 6.209 | b | 0.18 | 6.098 | b | 0.18 | 5.151 | b | 0.24 | 4.658 | b | 0.30 | 5.637 | b | 0.17 | 5.255 | b | 0.20 | 5.207 | b | 0.20 | |
Appendix B
- S1:
- S2:
- S16:
- S17:
- S19:
- S3:
- S4:
- S20:
- S26:
- S8:
| Confining Pressure (MPa) | Permeability k (mD) | |||||||||
|---|---|---|---|---|---|---|---|---|---|---|
| S1 | S2 | S16 | S17 | S19 | S3 | S4 | S20 | S26 | S8 | |
| 4.0 | 5.639 | 3.482 | 0.196 | 1.438 | 1.622 | 1.712 | 0.761 | 3.951 | 0.357 | 6.002 |
| 5.0 | 3.583 | 2.827 | 0.149 | 1.150 | 1.355 | 1.042 | 0.630 | 3.189 | 0.291 | 5.750 |
| 6.0 | 2.473 | 2.384 | 0.120 | 0.958 | 1.170 | 0.695 | 0.539 | 2.676 | 0.247 | 5.552 |
| 7.0 | 1.808 | 2.064 | 0.099 | 0.821 | 1.033 | 0.493 | 0.473 | 2.308 | 0.214 | 5.390 |
| 8.0 | 1.378 | 1.822 | 0.084 | 0.718 | 0.927 | 0.366 | 0.422 | 2.030 | 0.190 | 5.254 |
| 9.0 | 1.084 | 1.632 | 0.073 | 0.638 | 0.843 | 0.282 | 0.382 | 1.813 | 0.170 | 5.137 |
| 10.0 | 0.875 | 1.479 | 0.064 | 0.574 | 0.774 | 0.223 | 0.349 | 1.638 | 0.155 | 5.034 |
| 11.0 | 0.721 | 1.353 | 0.057 | 0.522 | 0.717 | 0.180 | 0.322 | 1.495 | 0.142 | 4.942 |
| 12.0 | 0.604 | 1.248 | 0.052 | 0.478 | 0.668 | 0.149 | 0.299 | 1.375 | 0.131 | 4.861 |
| 13.3 | 0.490 | 1.134 | 0.046 | 0.431 | 0.615 | 0.118 | 0.274 | 1.273 | 0.122 | 4.786 |
| 14.1 | 0.435 | 1.073 | 0.042 | 0.407 | 0.587 | 0.104 | 0.261 | 1.177 | 0.113 | 4.712 |
| 15.0 | 0.384 | 1.013 | 0.039 | 0.382 | 0.558 | 0.090 | 0.247 | 1.109 | 0.107 | 4.657 |
| 16.0 | 0.337 | 0.954 | 0.036 | 0.358 | 0.530 | 0.078 | 0.234 | 1.043 | 0.101 | 4.599 |
| 17.0 | 0.298 | 0.901 | 0.034 | 0.337 | 0.505 | 0.068 | 0.222 | 0.984 | 0.096 | 4.546 |
| 18.0 | 0.265 | 0.854 | 0.032 | 0.319 | 0.482 | 0.060 | 0.212 | 0.931 | 0.091 | 4.496 |
| 19.0 | 0.237 | 0.812 | 0.030 | 0.302 | 0.461 | 0.053 | 0.202 | 0.884 | 0.086 | 4.450 |
| 20.0 | 0.214 | 0.774 | 0.028 | 0.287 | 0.443 | 0.048 | 0.193 | 0.841 | 0.082 | 4.406 |
| 21.0 | 0.194 | 0.740 | 0.026 | 0.273 | 0.426 | 0.043 | 0.186 | 0.803 | 0.079 | 4.365 |
| 22.0 | 0.176 | 0.708 | 0.025 | 0.261 | 0.410 | 0.039 | 0.178 | 0.768 | 0.076 | 4.327 |
| 23.0 | 0.161 | 0.680 | 0.023 | 0.249 | 0.395 | 0.035 | 0.172 | 0.736 | 0.073 | 4.290 |
| 24.0 | 0.148 | 0.653 | 0.022 | 0.239 | 0.382 | 0.032 | 0.166 | 0.706 | 0.070 | 4.255 |
| 25.0 | 0.136 | 0.629 | 0.021 | 0.229 | 0.370 | 0.029 | 0.160 | 0.679 | 0.067 | 4.222 |
| 26.0 | 0.125 | 0.606 | 0.020 | 0.220 | 0.358 | 0.027 | 0.155 | 0.654 | 0.065 | 4.190 |
| 27.0 | 0.116 | 0.585 | 0.019 | 0.212 | 0.347 | 0.024 | 0.150 | 0.631 | 0.063 | 4.160 |
| 28.0 | 0.108 | 0.566 | 0.018 | 0.205 | 0.337 | 0.023 | 0.145 | 0.609 | 0.061 | 4.131 |
| 29.0 | 0.100 | 0.547 | 0.018 | 0.198 | 0.328 | 0.021 | 0.141 | 0.589 | 0.059 | 4.103 |
| 30.0 | 0.094 | 0.530 | 0.017 | 0.191 | 0.319 | 0.019 | 0.137 | 0.570 | 0.057 | 4.076 |
| 31.0 | 0.088 | 0.514 | 0.016 | 0.185 | 0.311 | 0.018 | 0.133 | 0.552 | 0.055 | 4.051 |
| 32.0 | 0.082 | 0.499 | 0.016 | 0.179 | 0.303 | 0.017 | 0.130 | 0.536 | 0.054 | 4.026 |
| 33.0 | 0.077 | 0.485 | 0.015 | 0.174 | 0.295 | 0.016 | 0.126 | 0.520 | 0.052 | 4.002 |
| 34.0 | 0.073 | 0.472 | 0.015 | 0.168 | 0.288 | 0.015 | 0.123 | 0.505 | 0.051 | 3.980 |
| 35.0 | 0.069 | 0.459 | 0.014 | 0.164 | 0.282 | 0.014 | 0.120 | 0.491 | 0.050 | 3.958 |
| 36.0 | 0.065 | 0.447 | 0.014 | 0.159 | 0.275 | 0.013 | 0.117 | 0.478 | 0.048 | 3.936 |
| 37.0 | 0.061 | 0.436 | 0.013 | 0.155 | 0.269 | 0.012 | 0.115 | 0.466 | 0.047 | 3.916 |
| 38.0 | 0.058 | 0.425 | 0.013 | 0.151 | 0.264 | 0.011 | 0.112 | 0.454 | 0.046 | 3.896 |
| 39.0 | 0.055 | 0.415 | 0.012 | 0.147 | 0.258 | 0.011 | 0.110 | 0.443 | 0.045 | 3.876 |
| 40.0 | 0.052 | 0.405 | 0.012 | 0.143 | 0.253 | 0.010 | 0.107 | 0.432 | 0.044 | 3.857 |
| 41.0 | 0.050 | 0.396 | 0.012 | 0.140 | 0.248 | 0.010 | 0.105 | 0.422 | 0.043 | 3.839 |
| 42.0 | 0.047 | 0.387 | 0.011 | 0.136 | 0.243 | 0.009 | 0.103 | 0.412 | 0.042 | 3.821 |
| 43.0 | 0.045 | 0.379 | 0.011 | 0.133 | 0.239 | 0.009 | 0.101 | 0.403 | 0.041 | 3.804 |
| 44.0 | 0.043 | 0.371 | 0.011 | 0.130 | 0.234 | 0.008 | 0.099 | 0.394 | 0.040 | 3.787 |
| 45.0 | 0.041 | 0.363 | 0.010 | 0.127 | 0.230 | 0.008 | 0.097 | 0.386 | 0.039 | 3.771 |
| 46.0 | 0.039 | 0.356 | 0.010 | 0.124 | 0.226 | 0.007 | 0.095 | 0.378 | 0.039 | 3.755 |
| 47.0 | 0.038 | 0.349 | 0.010 | 0.122 | 0.222 | 0.007 | 0.094 | 0.370 | 0.038 | 3.740 |
| 48.0 | 0.036 | 0.342 | 0.010 | 0.119 | 0.218 | 0.007 | 0.092 | 0.363 | 0.037 | 3.725 |
| 49.0 | 0.035 | 0.335 | 0.009 | 0.117 | 0.215 | 0.006 | 0.090 | 0.356 | 0.036 | 3.710 |
| 50.0 | 0.033 | 0.329 | 0.009 | 0.114 | 0.211 | 0.006 | 0.089 | 0.349 | 0.036 | 3.696 |
| 51.0 | 0.032 | 0.323 | 0.009 | 0.112 | 0.208 | 0.006 | 0.087 | 0.342 | 0.035 | 3.682 |
| 52.0 | 0.031 | 0.317 | 0.009 | 0.110 | 0.205 | 0.006 | 0.086 | 0.336 | 0.035 | 3.668 |
| 53.0 | 0.029 | 0.312 | 0.008 | 0.108 | 0.202 | 0.005 | 0.084 | 0.330 | 0.034 | 3.654 |
| 54.0 | 0.028 | 0.306 | 0.008 | 0.106 | 0.199 | 0.005 | 0.083 | 0.324 | 0.033 | 3.641 |
| 55.0 | 0.027 | 0.301 | 0.008 | 0.104 | 0.196 | 0.005 | 0.082 | 0.318 | 0.033 | 3.629 |
| 56.0 | 0.026 | 0.296 | 0.008 | 0.102 | 0.193 | 0.005 | 0.081 | 0.313 | 0.032 | 3.616 |
| 57.0 | 0.025 | 0.291 | 0.008 | 0.100 | 0.190 | 0.005 | 0.079 | 0.308 | 0.032 | 3.604 |
| 58.0 | 0.025 | 0.286 | 0.008 | 0.099 | 0.187 | 0.004 | 0.078 | 0.302 | 0.031 | 3.592 |
| 59.0 | 0.024 | 0.282 | 0.007 | 0.097 | 0.185 | 0.004 | 0.077 | 0.298 | 0.031 | 3.580 |
| 60.0 | 0.023 | 0.278 | 0.007 | 0.095 | 0.182 | 0.004 | 0.076 | 0.293 | 0.030 | 3.568 |

References
- Vazquez, O.; Mehta, R.; Mackay, E.; Linares-Samaniego, S.; Jordan, M.; Fidoe, J. Post-frac Flowback Water Chemistry Matching in a Shale Development. In SPE International Oilfield Scale Conference and Exhibition; Society of Petroleum Engineers: Aberdeen, UK, 2014; pp. 658–668. [Google Scholar]
- Zhang, X.M.; Shi, W.Z.; Hu, Q.H.; Zhai, G.Y.; Wang, R.; Xu, X.; Xu, Z.; Meng, F.; Liuet, Y. Pressure-dependent fracture permeability of marine shales in the Northeast Yunnan area, Southern China. Int. J. Coal Geol. 2019, 214, 103237. [Google Scholar] [CrossRef]
- Heller, R.; Vermylen, J.; Zoback, M. Experimental investigation of matrix permeability of gas shales. AAPG Bull. 2014, 98, 975–995. [Google Scholar] [CrossRef]
- Padin, A.; Tutuncu, A.N.; Sonnenberg, S. On the mechanisms of shale microfracture propagation. In Proceedings of the SPE Hydraulic Fracturing Technology Conference, The Woodlands, TX, USA, 4–6 February 2014; OnePetro: New York, NY, USA, 2014. [Google Scholar]
- Crandall, D.; Moore, J.; Gill, M.; Stadelman, M. CT scanning and flow measurements of shale fractures after multiple shearing events. Int. J. Rock Mech. Min. Sci. 2017, 100, 177–187. [Google Scholar] [CrossRef]
- Carey, J.W.; Lei, Z.; Rougier, E.; Mori, H.; Viswanathan, H. Fracture-permeability behavior of shale. J. Unconv. Oil Gas Resour. 2015, 11, 27–43. [Google Scholar] [CrossRef]
- Rutter, E.H.; Mecklenburgh, J. Influence of Normal and Shear Stress on the Hydraulic Transmissivity of Thin Cracks in a Tight Quartz Sandstone, a Granite, and a Shale. J. Geophys. Res. Solid Earth 2018, 123, 1262–1285. [Google Scholar] [CrossRef] [Green Version]
- Cheng, C.; Milsch, H. Hydromechanical Investigations on the Self-propping Potential of Fractures in Tight Sandstones. Rock Mech. Rock Eng. 2021, 54, 5407–5432. [Google Scholar] [CrossRef]
- Rutter, E.; Mecklenburgh, J. Hydraulic conductivity of bedding-parallel cracks in shale as a function of shear and normal stress. Geol. Soc. London Spéc. Publ. 2017, 454, 67–84. [Google Scholar] [CrossRef]
- Frash, L.P.; Carey, J.W.; Lei, Z.; Rougier, E.; Ickes, T.; Viswanathan, H.S. High-stress triaxial direct-shear fracturing of Utica shale and in situ X-ray microtomography with permeability measurement. J. Geophys. Res. Solid Earth 2016, 121, 5493–5508. [Google Scholar] [CrossRef]
- Li, W.F.; Frash, L.P.; Welch, N.J.; Carey, J.W.; Meng, M.; Wigand, M. Stress-dependent fracture permeability measurements and implications for shale gas production. Fuel 2021, 290, 119984. [Google Scholar] [CrossRef]
- Gale, J.F.; Laubach, S.E.; Olson, J.E.; Eichhuble, P.; Fall, A. Natural Fractures in shale: A review and new observations. AAPG Bull. 2014, 98, 2165–2216. [Google Scholar] [CrossRef]
- Ougier-Simonin, A.; Renard, F.; Boehm, C.; Vidal-Gilbert, S. Microfracturing and microporosity in shales. Earth-Sci. Rev. 2016, 162, 198–226. [Google Scholar] [CrossRef] [Green Version]
- Sakhaee-Pour, A.; Bryant, S.L. Gas permeability of shale. SPE Reserv. Eval. Eng. 2012, 15, 401–409. [Google Scholar] [CrossRef]
- Luo, Y.; Xia, B.; Li, H.; Hu, H.; Wu, M.; Ji, K. Fractal permeability model for dual-porosity media embedded with natural tortuous fractures. Fuel 2021, 295, 120610. [Google Scholar] [CrossRef]
- Ma, L.; Slater, T.; Dowey, P.J.; Yue, S.; Rutter, E.; Taylor, K.G.; Lee, P.D. Hierarchical integration of porosity in shales. Sci. Rep. 2018, 8, 11683. [Google Scholar] [CrossRef] [PubMed]
- Bredehoeft, J.D.; Neuzil, C.E.; Milly, P.C.D. Regional Flow in the Dakota Aquifer: A Study of the Role of Confining Layers; Water Supply Paper 2237; US Government Printing Office: Alexandria, VA, USA, 1983.
- He, J.L.; Wang, J.; Yu, Q.; Liu, W.; Ge, X.Y.; Yang, P.; Wang, Z.; Lu, J. Pore structure of shale and its effects on gas storage and transmission capacity in well HD-1 eastern Sichuan Basin, China. Fuel 2018, 226, 709–720. [Google Scholar] [CrossRef]
- He, J.; Wang, J.; Yu, Q.; Liu, W.; Ge, X.; Gou, Q.; Qiu, Z. The discovery of exogenous type shale gas and its application to the hydrocarbon exploration. Acta Pet. Sin. 2018, 39, 12–22. [Google Scholar]
- Zeng, G.; Chen, M.; Zeng, Z. Shale gas: Surface water also at risk. Nature 2013, 499, 154. [Google Scholar] [CrossRef]
- Yu, W.; Sepehrnoori, K. Optimization of Multiple Hydraulically Fractured Horizontal Wells in Unconventional Gas Reservoirs. J. Pet. Eng. 2013, 2013, 151898. [Google Scholar]
- Schultz, R.; Atkinson, G.; Eaton, D.W.; Gu, Y.J.; Kao, H. Hydraulic fracturing volume is associated with induced earthquake productivity in the Duvernay play. Science 2018, 359, 304–308. [Google Scholar] [CrossRef] [Green Version]
- Guo, T.; Zhang, H. Formation and enrichment mode of Jiaoshiba shale gas field, Sichuan Basin. Pet. Explor. Dev. 2014, 41, 31–40. [Google Scholar] [CrossRef]
- Zeng, W.; Zhang, J.; Ding, W.; Zhao, S.; Zhang, Y.; Liu, Z.; Jiu, K. Fracture development in Paleozoic shale of Chongqing area (South China). Part one: Fracture characteristics and comparative analysis of main controlling factors. J. Southeast Asian Earth Sci. 2013, 75, 251–266. [Google Scholar] [CrossRef]
- Reinicke, A. Mechanical and Hydraulic Aspects of Rock-Proppant Systems: Laboratory Experiments and Modelling Approaches. Ph.D. Thesis, GFZ, Potsdam, Germany, October 2011. [Google Scholar]
- Cheng, C.; Milsch, H. Permeability variations in illite-bearing sandstone: Effects of temperature and NaCl fluid salinity. J. Geophys. Res. Solid Earth 2020, 125, e2020JB020122. [Google Scholar] [CrossRef]
- Firouzi, M.; Alnoaimi, K.; Kovscek, A.; Wilcox, J. Klinkenberg effect on predicting and measuring helium permeability in gas shales. Int. J. Coal Geol. 2014, 123, 62–68. [Google Scholar] [CrossRef]
- Letham, E.; Bustin, R. Klinkenberg gas slippage measurements as a means for shale pore structure characterization. Geofluids 2016, 16, 264–278. [Google Scholar] [CrossRef]
- Li, J.; Sultan, A.S. Klinkenberg slippage effect in the permeability computations of shale gas by the pore-scale simulations. J. Nat. Gas Sci. Eng. 2017, 48, 197–202. [Google Scholar] [CrossRef] [Green Version]
- Li, Z.; Ripepi, N.; Chen, C. Using pressure pulse decay experiments and a novel multi-physics shale transport model to study the role of Klinkenberg effect and effective stress on the apparent permeability of shales. J. Pet. Sci. Eng. 2020, 189, 107010. [Google Scholar] [CrossRef]
- Tanikawa, W.; Shimamoto, T. Comparison of Klinkenberg-corrected gas permeability and water permeability in sedimentary rocks. Int. J. Rock Mech. Min. Sci. 2009, 46, 229–238. [Google Scholar] [CrossRef] [Green Version]
- Klinkenberg, L. The Permeability of Porous Media to Liquids and Gases. In Drilling and Production Practice; OnePetro: New York, NY, USA, 1941. [Google Scholar]
- Orlander, T.; Milsch, H.; Fabricius, I.L. Comparison of gas, Klinkenberg, and liquid permeability of sandstone: Flow regime and pore size. AAPG Bull. 2021, 105, 1383–1403. [Google Scholar] [CrossRef]
- Rist, U.; Günes, H. Qualitative and quantitative characterization of a jet and vortex actuator. In Proceedings of the 7th Ercoftac SIG33 Workshop, Genova, Italy, 16–18 October 2008; pp. 16–18. [Google Scholar]
- Dou, C.; Tang, X.; Xiang, K.; Sun, B.; Yan, L. Elastic and electrical properties of shales from Qiongzhusi and Longmaxi Formation. Lithol. Reserv. 2016, 28, 111–116. [Google Scholar]
- Yang, H.; Shen, R.; Fu, L. Composition and mechanical properties of gas shale. Pet. Drill. Technol. 2013, 41, 31–35. [Google Scholar]
- David, C.; Wong, T.-F.; Zhu, W.; Zhang, J. Laboratory measurement of compaction-induced permeability change in porous rocks: Implications for the generation and maintenance of pore pressure excess in the crust. Pure Appl. Geophys. 1994, 143, 425–456. [Google Scholar] [CrossRef]
- David, C.; Wassermann, J.; Amann, F.; Lockner, D.A.; Rutter, E.H.; Vanorio, T.; Amann Hildenbrand, A.; Billiotte, J.; Reuschlé, T.; Lasseux, D.; et al. KG²B, a collaborative benchmarking exercise for estimating the permeability of the Grimsel granodiorite–Part 1: Measurements, pressure dependence and pore-fluid effects. Geophys. J. Int. 2018, 215, 799–824. [Google Scholar] [CrossRef]
- Meng, M.; Frash, L.P.; Li, W.; Welch, N.J.; Carey, J.W.; Morris, J.; Neupane, G.; Ulrich, C.; Kneafsey, T. Hydro-mechanical measurements of sheared crystalline rock fractures with applications for EGS Collab Experiments 1 and 2. J. Geophys. Res. Solid Earth 2022, 127, e2021JB023000. [Google Scholar] [CrossRef]
- Zuo, X.; He, S.M.; Huang, Z.; Fan, X.l.; Xiao, R. Research on Productivity Prediction for Vertical Well Completion Method in East Sichuan Gas Reservoir. J. Drill. Prod. Techenol. 2006, 29, 64. [Google Scholar]
- Zou, C.; Yang, Z.; Guosheng, Z.; Hou, L.; Zhu, R.; Tao, S.; Yuan, X.; Dong, D.; Wang, Y.; Guo, Q.; et al. Conventional and unconventional petroleum “orderly accumulation”: Concept and practical significance. Pet. Explor. Dev. 2014, 41, 14–30. [Google Scholar] [CrossRef]










| Sample Number | Diameter (mm) | Length 1 (mm) | Length 2 (mm) | Apparent Volume (cm3) | Jacket Weight (g) | Jacket Density (g/cm3) | Jacket Volume (cm3) | He-Tested Volume (cm3) | Porosity (%) |
|---|---|---|---|---|---|---|---|---|---|
| d | l1 | l2 | Va | Wj | ρj | Vj | Vt | Φ | |
| Sample 1 | 30.72 | 40.95 | 41.08 | 30.40 | 1.83 | 2.15 | 0.85 | 29.31 | 3.70 |
| Sample 2 | 30.74 | 39.57 | 39.63 | 29.39 | 1.68 | 2.15 | 0.78 | 29.01 | 1.32 |
| Sample 16 | 30.79 | 40.73 | 40.77 | 30.34 | 1.73 | 2.15 | 0.81 | 29.93 | 1.41 |
| Sample 17 | 30.78 | 40.78 | 40.78 | 30.34 | 1.73 | 2.15 | 0.81 | 29.11 | 4.18 |
| Sample 19 | 30.78 | 40.72 | 40.64 | 30.27 | 1.73 | 2.15 | 0.80 | 29.27 | 3.38 |
| Sample 3 | 30.73 | 40.57 | 40.58 | 30.09 | 1.72 | 2.15 | 0.80 | 29.32 | 2.65 |
| Sample 4 | 30.64 | 41.38 | 41.49 | 30.55 | 1.76 | 2.15 | 0.82 | 29.64 | 3.07 |
| Sample 20 | 30.70 | 40.63 | 40.55 | 30.05 | 1.72 | 2.15 | 0.80 | 28.91 | 3.88 |
| Sample 26 | 30.78 | 41.51 | 41.45 | 30.86 | 1.76 | 2.15 | 0.82 | 30.17 | 2.33 |
| Sample 8 | 30.02 | 40.06 | 40.06 | 28.35 | 0.00 | - | 0.00 | 24.53 | 13.47 |
| Sample | S1 | S2 | S16 | S17 | S19 | S3 | S4 | S20 | S26 | S8 |
|---|---|---|---|---|---|---|---|---|---|---|
| k (4 MPa) (mD) (Tested) | 5.860 | 3.895 | 0.194 | 1.563 | 1.686 | 1.488 | 0.635 | 4.067 | 0.390 | 6.209 |
| k (10 MPa) (mD) (Tested) | 0.723 | 1.534 | 0.059 | 0.659 | 0.707 | 0.195 | 0.314 | 1.637 | 0.153 | 5.207 |
| k (14.1 MPa) (mD) (Predicted) | 0.435 | 1.073 | 0.042 | 0.407 | 0.587 | 0.104 | 0.261 | 1.177 | 0.113 | 4.712 |
| k (35 MPa) (mD) (Predicted) | 0.069 | 0.459 | 0.014 | 0.164 | 0.282 | 0.014 | 0.120 | 0.491 | 0.050 | 3.958 |
| k (60 MPa) (mD) (Predicted) | 0.023 | 0.278 | 0.007 | 0.095 | 0.182 | 0.004 | 0.076 | 0.293 | 0.030 | 3.568 |
| Tested damping ratio (4–10 MPa) | 87.66% | 60.62% | 69.59% | 57.84% | 58.09% | 86.88% | 50.57% | 59.75% | 60.90% | 16.14% |
| Predicted damping ratio (4–35 MPa) | 98.82% | 88.21% | 92.75% | 89.53% | 83.29% | 99.08% | 81.08% | 87.92% | 87.30% | 36.26% |
| Predicted damping ratio (4–60 MPa) | 99.61% | 92.87% | 96.23% | 93.90% | 89.18% | 99.72% | 88.04% | 92.80% | 92.22% | 42.53% |
Publisher’s Note: MDPI stays neutral with regard to jurisdictional claims in published maps and institutional affiliations. |
© 2022 by the authors. Licensee MDPI, Basel, Switzerland. This article is an open access article distributed under the terms and conditions of the Creative Commons Attribution (CC BY) license (https://creativecommons.org/licenses/by/4.0/).
Share and Cite
He, J.; Wang, J.; Yu, Q.; Cheng, C.; Milsch, H. Stress-Dependent Permeability of Naturally Micro-Fractured Shale. Geosciences 2022, 12, 150. https://doi.org/10.3390/geosciences12040150
He J, Wang J, Yu Q, Cheng C, Milsch H. Stress-Dependent Permeability of Naturally Micro-Fractured Shale. Geosciences. 2022; 12(4):150. https://doi.org/10.3390/geosciences12040150
Chicago/Turabian StyleHe, Jianglin, Jian Wang, Qian Yu, Chaojie Cheng, and Harald Milsch. 2022. "Stress-Dependent Permeability of Naturally Micro-Fractured Shale" Geosciences 12, no. 4: 150. https://doi.org/10.3390/geosciences12040150
APA StyleHe, J., Wang, J., Yu, Q., Cheng, C., & Milsch, H. (2022). Stress-Dependent Permeability of Naturally Micro-Fractured Shale. Geosciences, 12(4), 150. https://doi.org/10.3390/geosciences12040150

