Influence of a Thin Horizontal Weak Layer on the Mechanical Behaviour of Shallow Foundations Resting on Sand
Abstract
1. Introduction
2. The Problem Considered: Scheme and Method of Calculation
3. Results and Discussion
3.1. Effect of the Weak Layer on the Failure Mechanism
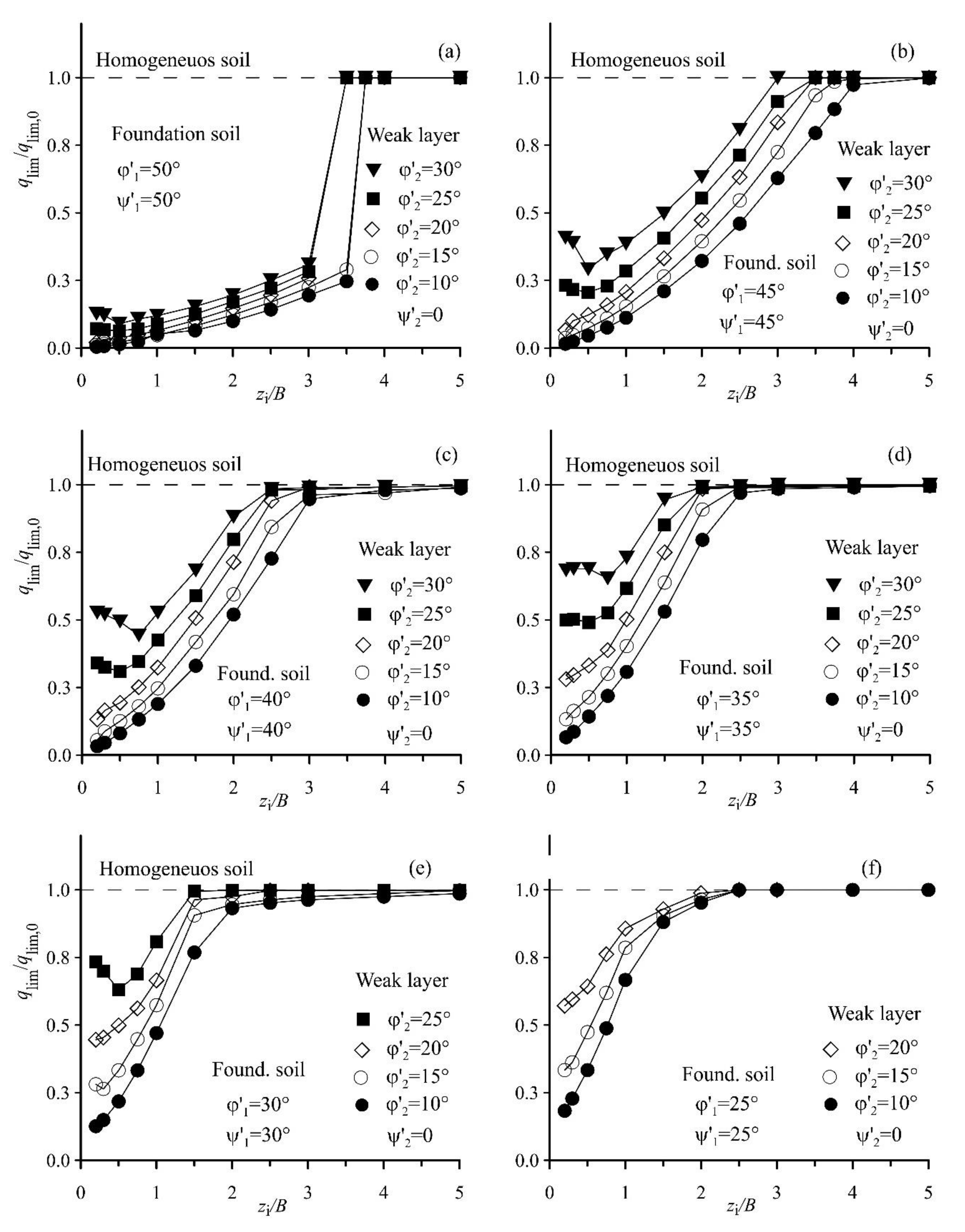
3.2. Effect of the Weak Layer on the Ultimate Bearing Capacity
4. Conclusions
Author Contributions
Funding
Institutional Review Board Statement
Informed Consent Statement
Data Availability Statement
Conflicts of Interest
References
- Terzaghi, K. Effects of minor geologic details on the safety of dams. In Geology and Engineering for Dams and Reservoirs; Technical Publication 215; American Institute of Mining and Metallurgical Engineers: New York, NY, USA, 1929; pp. 31–44. [Google Scholar]
- Rowe, P.W. A reassessment of the causes of the Carsington embankment failure. Géotechnique 1991, 41, 395–421. [Google Scholar] [CrossRef]
- Lewis, K.B. Slumping on a continental slope inclined at 1°–4°. Sedimentology 1971, 16, 97–110. [Google Scholar] [CrossRef]
- Locat, A.; Lee, H.J. Submarine landslides: Advances and challanges. Can. Geotech. J. 2002, 39, 193–212. [Google Scholar] [CrossRef]
- L’Heureux, J.S.; Longva, O.; Steiner, A.; Hansen, L.; Vardy, M.E.; Vanneste, M.; Haflidason, H.; Brendryen, J.; Kvalstad, T.J.; Forsberg, C.F.; et al. Identification of weak layers and their role for the stability of slopes at Finneidfjord, Northern Norway. In Submarine Mass Movements and Their Consequences. Advances in Natural and Technological Hazards Research; Yamada, Y., Kawamura, K., Ikehara, K., Ogawa, Y., Urgeles, R., Mosher, D., Chaytor, J., Strasser, M., Eds.; Springer: Dordrecht, The Netherlands, 2012; Volume 31, pp. 321–330. [Google Scholar] [CrossRef]
- Locat, J.; Leroueil, S.; Locat, A.; Lee, H. Weak layers: Their definition and classification from a geotechnical perspective. In Submarine Mass Movements and Their Consequences. Advances in Natural and Technological Hazards Research; Krastel, S., Behrmann, J.-H., Völker, D., Stipp, M., Berndt, C., Urgeles, R., Chaytor, J., Huhn, K., Strasser, M., Harbitz, C.B., Eds.; Springer: Dordrecht, The Netherlands, 2014; Volume 37, pp. 3–12. [Google Scholar] [CrossRef]
- Locat, A.; Leroueil, S.; Fortin, A.; Demers, D.; Jostad, H.P. The 1994 landslide at Sainte-Monique, Quebec: Geotechnical investigation and application of progressive failure analysis. Can. Geotech. J. 2015, 52, 490–504. [Google Scholar] [CrossRef]
- Zhang, W.; Wang DRandolph, M.F.; Puzrin, A.M. Catastrophic failure in planar landslides with a fully softened weak zone. Géotechnique 2015, 65, 755–769. [Google Scholar] [CrossRef]
- Zhang, W.; Randolph, M.F.; Alexander MPuzrin, A.M.; Wang, D. Criteria for planar shear band propagation in submarine landslides along weak layers. Landslides 2020, 17, 855–876. [Google Scholar] [CrossRef]
- Zhang, W.; Wang, D. Stability analysis of cut slope with shear band propagation along a weak layer. Comput. Geotech. 2020, 125, 103676. [Google Scholar] [CrossRef]
- Ziccarelli, M.; Rosone, M. Stability of embankments resting on foundation soils with a weak layer. Numer. Model. Geotech. Eng. Geosci. 2021, 11, 86. [Google Scholar] [CrossRef]
- Leonards, G.A. Investigation of failures. J. Geotech. Eng. Div. 1982, 108, 222–283. [Google Scholar]
- Silvestri, V. The bearing capacity of dikes and fills founded on soft soils of limited thickness. Can. Geotech. J. 1983, 20, 428–436. [Google Scholar] [CrossRef]
- Scott, R.F. Failure. Géotechnique 1987, 37, 423–466. [Google Scholar] [CrossRef]
- Skempton, A.W.; Vaughan, P.R. The failure of Carsington dam. Géotechnique 1993, 43, 151–173. [Google Scholar] [CrossRef]
- Michalowski, R.L. Limit analysis of weak layers under embankments. Soils Found. 1993, 33, 155–168. [Google Scholar] [CrossRef][Green Version]
- Lee, K.K.; Cassidy, M.J.; Randolph, M.F. Bearing capacity on sand overlying clay soils: Experimental and finite element investigation of potential punch-through failure. Géotechnique 2013, 63, 1271–1284. [Google Scholar] [CrossRef]
- Valore, C.; Ziccarelli, M. The stabilization of a slope-viaduct system without closing traffic. In Geotechnical Engineering for Infrastructure and Development, Proceedings of the XVI ECSMGE, Edinburg, UK, 13–17 September 2015; Winter, M.G., Smith, D.M., Eldred, P.J.L., Toll, D.G., Eds.; pp. 367–372.
- Eshkevari, S.S.; Abbo, A.J.; Kouretzis, G. Bearing Capacity of Strip Footings on Layered Sands. Comput. Geotech. 2019, 114, 103101. [Google Scholar] [CrossRef]
- Hanna, A.; Abou Farah, C.; Abdel-Rahman, M. Shallow foundations resting on strong sand overlaying weak sand. J. Eng. Appl. Sci. 2020, 67, 1399–1414. [Google Scholar]
- Haghsheno, H.; Chenari, R.J.; Javankhoshdel, S.; Banirostam, T. Seismic Bearing Capacity of Shallow Strip Footings on Sand Deposits with Weak Inter-layer. Geotech. Geol. Eng. 2020, 38, 6741–6754. [Google Scholar] [CrossRef]
- Das, P.P.; Khatri, V.K.; Dutta, R.K. Bearing capacity of ring footing on weak sand layer overlying a dense sand deposit. Geomech. Geoeng. 2021, 16, 249–262. [Google Scholar] [CrossRef]
- Pham, Q.N.; Ohtsuka, S. Ultimate Bearing Capacity of Rigid Footing on Two-Layered Soils of Sand–Clay. Int. J. Geomech. 2021, 21, 7. [Google Scholar] [CrossRef]
- Valore, C.; Ziccarelli, M.; Muscolino, S.R. The bearing capacity of footings on sand with a weak layer. Geotech. Res. 2017, 4, 12–29. [Google Scholar] [CrossRef]
- Ziccarelli, M.; Valore, C.; Muscolino, S.R.; Fioravante, V. Centrifuge tests on strip footings on sand with a weak layer. Geotech. Res. 2017, 4, 47–64. [Google Scholar] [CrossRef][Green Version]
- Plaxis. Plaxis 2D, Version 8.6. 2008. Available online: http://www.plaxis.nl/ (accessed on 14 June 2021).
- Lupini, J.F.; Skinner, A.E.; Vaughan, P.R. The drained residual strength of cohesive soils. Géotechnique 1981, 31, 181–213. [Google Scholar] [CrossRef]
- Stark, T.D.; Hussain, M. Empirical correlations: Drained shear strength for slope stability analyses. J. Geotech. Geoenviron. Eng. 2013, 139, 853–862. [Google Scholar] [CrossRef]
- Ferrari, A.; Rosone, M.; Ziccarelli, M.; Giger, S.B. The shear strength of Opalinus Clay shale in the remoulded state. Geomech. Energy Environ. 2020, 21, 100142. [Google Scholar] [CrossRef]
- Skempton, A.W. Long-term stability of clay slopes. Géotechnique 1964, 14, 77–102. [Google Scholar] [CrossRef]
- Eid, H.T.; Rabie, K.H. Fully softened shear strength for soil slope stability analyses. Int. J. Geomech. 2017, 17, 1–10. [Google Scholar] [CrossRef]
- Hettler, A.; Gudheus, G. Influence of the foundation width on the bearing capacity factor. Soils Found. 1988, 28, 81–92. [Google Scholar] [CrossRef]
- Prandtl, L. Über die härte plastischer körper. Nachrichten Von der Königlichen Gesellschaft der Wissenschaften zu Göttingen. In Mathematisch–Physikalische Klasse; Berlin Weidmannsche Buchhandlung: Berlin, Germany, 1920; pp. 74–85. (In German) [Google Scholar]
- Terzaghi, K. Theoretical Soil Mechanics; John Wiley and Sons: New York, NY, USA, 1943. [Google Scholar]
- Meyerhof, G.G. The ultimate bearing capacity of foundations. Géotechnique 1951, 2, 301–332. [Google Scholar] [CrossRef]
- Brinch Hansen, J. A Revised and Extended Formula for Bearing Capacity; Bull. N. 28; Danish Geotechnical Institute: Lyngby, Denmark, 1970; pp. 5–11. [Google Scholar]
- Vesić, A.S. Analysis of ultimate loads of shallow foundations. J. Geotech. Eng. Div. 1973, 99, 45–73. [Google Scholar]
- Bolton, M.D.; Lau, C.K. Scale effects in the bearing capacity of granular soils. In Proceedings of the 12th ICSMFE, Rio de Janeiro, Brazil, 13–18 August 1989; Volume 2, pp. 895–898. [Google Scholar]
- Bolton, M.D.; Lau, C.K. Vertical bearing capacity factors for circular and strip footings on Mohr-Coulomb soil. Can. Geotech. J. 1993, 30, 1024–1033. [Google Scholar] [CrossRef]
- Kumar, J.; Kouzer, K.M. Effect of footing roughness on bearing capacity factor Nγ. J. Geotech. Geoenviron. Eng. 2007, 133, 502–511. [Google Scholar] [CrossRef]













| L (m) | H (m) | B (m) | zi (m) | s0 (m) |
|---|---|---|---|---|
| 60 | 20 | 1, 2 | 0 ÷ 5 | 0.2 |
| Material | γd (kN/m3) | c′(kPa) | φ′ (°) | ψ′ (°) | E′ (kPa) | ν′ |
|---|---|---|---|---|---|---|
| Sand | 16 | 0.1 | 25 ÷ 50 | 10 ÷ φ′ | 20,000 | 0.3 |
| Weak layer | 16 | 0.1 | 10 ÷ 30 | 0 ÷ φ′ | 2000 | 0.3 |
Publisher’s Note: MDPI stays neutral with regard to jurisdictional claims in published maps and institutional affiliations. |
© 2021 by the authors. Licensee MDPI, Basel, Switzerland. This article is an open access article distributed under the terms and conditions of the Creative Commons Attribution (CC BY) license (https://creativecommons.org/licenses/by/4.0/).
Share and Cite
Ziccarelli, M.; Rosone, M. Influence of a Thin Horizontal Weak Layer on the Mechanical Behaviour of Shallow Foundations Resting on Sand. Geosciences 2021, 11, 392. https://doi.org/10.3390/geosciences11090392
Ziccarelli M, Rosone M. Influence of a Thin Horizontal Weak Layer on the Mechanical Behaviour of Shallow Foundations Resting on Sand. Geosciences. 2021; 11(9):392. https://doi.org/10.3390/geosciences11090392
Chicago/Turabian StyleZiccarelli, Maurizio, and Marco Rosone. 2021. "Influence of a Thin Horizontal Weak Layer on the Mechanical Behaviour of Shallow Foundations Resting on Sand" Geosciences 11, no. 9: 392. https://doi.org/10.3390/geosciences11090392
APA StyleZiccarelli, M., & Rosone, M. (2021). Influence of a Thin Horizontal Weak Layer on the Mechanical Behaviour of Shallow Foundations Resting on Sand. Geosciences, 11(9), 392. https://doi.org/10.3390/geosciences11090392

