Deglaciation Rate of Selected Nunataks in Spitsbergen, Svalbard—Potential for Permafrost Expansion above the Glacial Environment
Abstract
1. Introduction
2. Research Area
3. Climate
4. Materials and Methods
5. Results
5.1. Characteristics of the Nunataks’ Deglaciation Rate
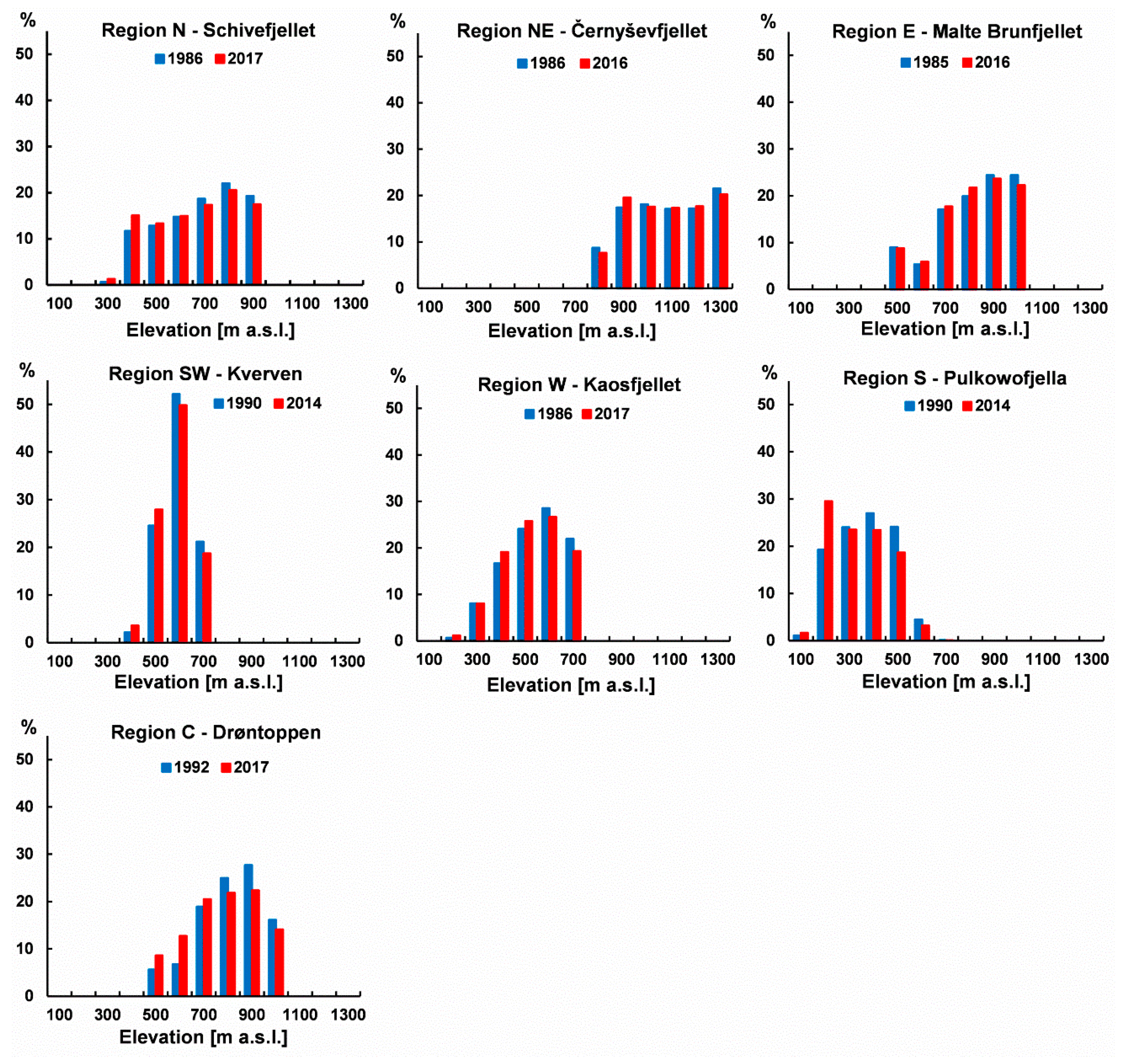
5.2. Spitsbergen Deglaciation Rate in the Vertical Profile Relative to the Slopes’ Exposure
5.3. Expansion of the Periglacial Zone on Spitsbergen in a Vertical Profile
6. Discussion
7. Conclusions
Author Contributions
Funding
Acknowledgments
Conflicts of Interest
References
- Washburn, A.L. Periglacial Processes and Environments; Edward Arnold: London, UK, 1973. [Google Scholar]
- French, H.M. The Periglacial Environment, 3rd ed.; John Wiley and Sons Ltd.: Chichester, UK, 2007. [Google Scholar]
- Black, R.F. Permafrost: A review. Geol. Soc. Am. Bull. 1954, 65, 839–856. [Google Scholar] [CrossRef]
- Dobiński, W. Permafrost. Earth Sci. Rev. 2011, 108, 158–169. [Google Scholar] [CrossRef]
- Dobiński, W. The Cryosphere and Glacial Permafrost as Its Integral Component. Open Geosci. 2012, 4, 623–640. [Google Scholar] [CrossRef]
- Van Everdingen, R.O. Multi-Language Glossary of Permafrost and Related Ground-Ice Terms. Definitions. 1998. Available online: http://globalcryospherewatch.org/reference/glossary_docs/Glossary_of_Permafrost_and_Ground-Ice_IPA_2005.pdf (accessed on 22 February 2020).
- Haeberli, W.; Hallet, B.; Arenson, L.; Elconin, R.; Humlum, O.; Kääb, A.; Kaufmann, V.; Ladanyi, B.; Matsuoka, N.; Springman, S.; et al. Permafrost Creep and Rock Glaciers Dynamics. Permafr. Periglac. Process. 2006, 17, 189–214. [Google Scholar] [CrossRef]
- Benn, D.I.; Evans, D.J.A. Glaciers and Glaciation; Arnold: London, UK, 1998. [Google Scholar]
- Paterson, W.S.B. The Physics of Glaciers, 2nd ed.; Pergamon Press: Oxford, UK, 1981. [Google Scholar]
- Jahn, A. Problems of the Periglacial Zone; PWN: Warszawa, Poland, 1975. [Google Scholar]
- Karte, J.; Liedtke, H. The theoretical and practical definition of the term “periglacial” in its geographical and geological meaning. Biul. Peryglac. 1981, 28, 123–135. [Google Scholar]
- Dobiński, W.; Grabiec, M.; Gądek, B. Spatial relationship in interaction between glacier and permafrost in different mountainous environments of high and mid latitudes, based on GPR research. Geol. Q. 2011, 55, 375–388. [Google Scholar]
- Dobiński, W.; Grabiec, M.; Glazer, M. Cold–temperate transition surface and permafrost base (CTS-PB) as an environmental axis in glacier–permafrost relationship, based on research carried out on the Storglaciären and its forefield, northern Sweden. Quat. Res. 2017, 88, 551–569. [Google Scholar] [CrossRef]
- Harris, C.; Murton, J.B. (Eds.) Cryospheric Systems: Glaciers and Permafrost; Special Publications; Geological Society: London, UK, 2005; p. 242. [Google Scholar]
- Humlum, O. Holocene permafrost aggradation in Svalbard. In Cryospheric Systems: Glaciers and Permafrost; Harris, C., Murton, J.B., Eds.; Special Publications; Geological Society: London, UK, 2005; Volume 242, pp. 119–130. [Google Scholar]
- Waller, R.I. The influence of basal processes on the dynamic behaviour of cold-based glaciers. Quartern. Int. 2001, 86, 117–128. [Google Scholar] [CrossRef]
- Waller, R.I.; Tuckwell, G.W. Glacier–permafrost interactions and glaciotectonic landform generation at the margin of the Leverett Glacier, West Greenland. In Cryospheric Systems: Glaciers and Permafrost; Harris, C., Murton, J.B., Eds.; Special Publications; Geological Society: London, UK, 2005; Volume 242, pp. 39–51. [Google Scholar]
- Dąbski, M. Should Glaciers Be Considered Permafrost? Geoscience 2019, 9, 517. [Google Scholar] [CrossRef]
- Hagen, J.O.; Liestøl, O.; Roland, E.; Jørgensen, T. Glacier Atlas of Svalbard and Jan Mayen; Meddelelser 129: Oslo, Norway, 1993. [Google Scholar]
- Humlum, O.; Instanes, A.; Sollid, J.L. Permafrost in Svalbard: A review of research history, climatic background and engineering challenges. Polar Res. 2003, 22, 191–215. [Google Scholar] [CrossRef]
- Harada, K.; Yoshikawa, K. Permafrost thickness at Moskuslagoon, Spitsbergen. In Proceedings of the Seventh International Conference on Permafrost, Yellowknife, NT, Canada, 23–27 June 1998; Volume 55, pp. 427–431. [Google Scholar]
- Landvik, J.Y.; Mangerud, J.; Salvigsen, O. Glacial history and permafrost in the Svalbard area. In Proceedings of the 5th International Conference on Permafrost, Trondheim, Norway, 2–5 August 1988; Senneset, K., Ed.; Tapir publishers: Trondheim, Norway, 1988; Volume 1, pp. 194–198. [Google Scholar]
- Weertman, J. Effect of a basal water layer on the dimensions of ice sheets. J. Glaciol. 1966, 6, 191–207. [Google Scholar] [CrossRef]
- Isaksen, K.; Nordli, Ø.; Førland, E.J.; Łupikasza, E.; Eastwood, S.; Niedźwiedź, T. Recent warming on Spitsbergen—Influence of atmospheric circulation and sea ice cover. J. Geophys. Res. Atmos. 2016, 121, 11913–11931. [Google Scholar] [CrossRef]
- Kasprzak, M. High-resolution electrical resistivity tomography applied to patterned ground, Wedel Jarlsberg Land, south-west Spitsbergen. Polar Res. 2015, 34, 25678. [Google Scholar] [CrossRef]
- Kasprzak, M.; Strzelecki, M.C.; Traczyk, A.; Kondracka, M.; Lim, M.; Migała, K. On the potential for a bottom active layer below coastal permafrost: The impact of seawater on permafrost degradation imaged by electrical resistivity tomography (Hornsund, SW Spitsbergen). Geomorphology 2017, 293, 347–359. [Google Scholar] [CrossRef]
- Glazer, M.; Dobiński, W.; Marciniak, A.; Majdański, M.; Błaszczyk, M. Spatial distribution and controls of permafrost development in non-glacial Arctic catchment over the Holocene, Fuglebekken, SW Spitsbergen. Geomorphology 2020, 358, 107128. [Google Scholar] [CrossRef]
- Nordli, Ø.; Przybylak, R.; Ogilvie, A.E.J.; Isaksen, K. Long-term temperature trends and variability on Spitsbergen: The extended Svalbard Airport temperature series, 1898–2012. Polar Res. 2014, 33, 21349. [Google Scholar] [CrossRef]
- Isaksen, K.; Holmlund, P.; Sollid, J.L. Three deep Alpine-permafrost boreholes in Svalbard and Scandinavia. Permafr. Periglac. Process. 2001, 12, 13–25. [Google Scholar] [CrossRef]
- Nilsen, N.I. Atmosfærisk Ising og Temperaturgradienter på Svalbard, Relatert Til Storstilt Værsituasjon. Master’s Thesis, University of Bergen and University Courses, Svalbard, Norway, 1997. [Google Scholar]
- Hauber, E.; Reiss, D.; Ulrich, M.; Preusker, F.; Trauthan, F.; Zanetti, M.; Hiesinger, H.; Jaumann, R.; Johansson, L.; Johnsson, A.; et al. Periglacial landscapes on Svalbard: Terrestrial analogs for cold-climate landforms on Mars. Geol. Soc. Am. Bull. 2011, 483, 177–201. [Google Scholar] [CrossRef]
- Osuch, M.; Wawrzyniak, T. Climate projections in the Hornsund area, Southern Spitsbergen. Pol. Polar Res. 2016, 37, 379–402. [Google Scholar] [CrossRef]
- Norwegian Meteorological Institute. Air Temperature in Svalbard, Annual Mean. Environmental Monitoring of Svalbard and Jan Mayen (MOSJ). Available online: http://www.mosj.no/en/climate/atmosphere/temperature-precipitation.html (accessed on 12 May 2020).
- EarthExplorer. Available online: https://earthexplorer.usgs.gov/ (accessed on 23 February 2020).
- Porter, C.; Morin, P.; Howat, I.; Noh, M.-J.; Bates, B.; Peterman, K.; Keesey, S.; Schlenk, M.; Gardiner, J.; Tomko, K.; et al. ArcticDEM, Harvard Dataverse, V1. 2018. Available online: https://www.pgc.umn.edu/data/arcticdem/ (accessed on 23 February 2020). [CrossRef]
- ArcticDEM Data Description. Available online: https://www.pgc.umn.edu/guides/arcticdem/data-description/ (accessed on 23 February 2020).
- Morin, P.; Porter, C.; Cloutier, M.; Howat, I.; Noh, M.-J.; Willis, M.; Bates, B.; Willamson, C.; Peterman, K. ArcticDEM; A Publically Available, High Resolution Elevation Model of the Arctic. Geophys. Res. Abstracts 2016, 18, EGU2016-8396. [Google Scholar]
- Glennie, C. Arctic High-Resolution Elevation Models: Accuracy in Sloped and Vegetated Terrain. J. Surv. Eng. 2018, 144. [Google Scholar] [CrossRef]
- Murffit, J.; Duguay, C.R. Assessing the Performance of Methods for Monitoring Ice Phenology of the World’s Largest High Arctic Lake Using High-Density Time Series Analysis of Sentinel-1 Data. Remote Sens. 2020, 12, 382. [Google Scholar] [CrossRef]
- Szafraniec, J.E. Deglaciation rate on southern and western Spitsbergen in the conditions of Arctic amplification. Pol. Polar Res. 2018, 39, 77–98. [Google Scholar] [CrossRef]
- Aas, K.S.; Dunse, T.; Collier, E.; Schuler, T.V.; Berntsen, T.K.; Kohler, J.; Luks, B. The climatic mass balance of Svalbard glaciers: A 10-year simulation with a coupled atmosphere–glacier mass balance model. Cryosphere 2016, 10, 1089–1104. [Google Scholar] [CrossRef]
- Uszczyk, A.; Grabiec, M.; Laska, M.; Kuhn, M.; Igntiuk, D. Importance of snow as component of surface mass balance of Arctic glacier (Hansbreen, southern Spitsbergen). Pol. Polar Res. 2019, 40, 311–338. [Google Scholar] [CrossRef]
- Małecki, J. Accelerating retreat and high-elevation thinning of glaciers in central Spitsbergen. Cryosphere 2016, 10, 1317–1329. [Google Scholar] [CrossRef]
- Łupikasza, E.; Niedźwiedź, T. Circulation conditions favouring fog and low visibility occurrence in Hornsund (Spitsbergen). Problemy Klimatologii Polarnej 2016, 26, 5–12. [Google Scholar]
- Ignatiuk, D.; Piechota, A.; Ciepły, M.; Luks, B. Changes of Altitudinal Zones of Werenskiodbreen and Hansbreen in Period 1990–2008, Svalbard. In Proceedings of the International Conference of Computational Methods in Sciences and Engineering 2014 (ICCMSE 2014), Athens, Greece, 4–7 April 2014; pp. 275–280. [Google Scholar] [CrossRef]
- Kohler, J.; James, T.D.; Murray, T.; Nuth, C.; Brandt, O.; Barrand, N.E.; Aas, H.F.; Luckman, A. Acceleration in thinning rate on western Svalbard glaciers. Geophys. Res. Lett. 2007, 34. [Google Scholar] [CrossRef]
- Schäfer, M.; Möller, M.; Zwinger, T.; Moore, J.C. Dynamic modelling of future glacier changes: Mass-balance/ elevation feedback in projections for the Vestfonna ice cap, Nordaustlandet, Svalbard. J. Glaciol. 2015, 61, 1121–1136. [Google Scholar] [CrossRef]
- Ziaja, W. Glacial Recession in Sørkappland and Central Nordenskiöldland, Spitsbergen, Svalbard, during the 20th Century. Arct. Antarct. Alp. Res. 2001, 33, 36–41. [Google Scholar] [CrossRef]
- Ziaja, W. Response of the Nordenskiöld Land (Spitsbergen) glaciers Grumantbreen, Håbergbreen and Dryadbreen to the climate warming after the Little Ice Age. Ann. Glaciol. 2005, 42, 189–194. [Google Scholar] [CrossRef]
- Ziaja, W.; Ostafin, K. Landscape-seascape dynamics in the isthmus between Sørkapp Land and the rest of the Spitsbergen: Will a new big Arctic island form? Ambio 2015, 44, 332–342. [Google Scholar] [CrossRef] [PubMed]
- Ziaja, W.; Dudek, J.; Ostafin, K. Landscape transformation under the Gåsbreen glacier recession since 1899, southwestern Spitsbergen. Pol. Polar Res. 2016, 37, 155–172. [Google Scholar] [CrossRef][Green Version]
- Sevestre, H.; Benn, D.I. Climatic and geometric controls on the global distribution of surge-type glaciers: Implications for a unifying model of surging. J. Glaciol. 2015, 61, 646–662. [Google Scholar] [CrossRef]
- Aschwanden, A.; Bueler, E.; Khroulev, C.; Blatter, H. An enthalpy formulation for glaciers and ice sheets. J. Glaciol. 2012, 58, 441–457. [Google Scholar] [CrossRef]
- Sevestre, H.; Benn, D.I.; Luckman, A.; Nuth, C.; Kohler, J.; Lindbäck, K.; Pettersson, R. Tidewater Glacier Surges Initiated at the Terminus. J. Geophys. Res. Earth Surf. 2017, 123, 1035–1051. [Google Scholar] [CrossRef]
- Hagen, J.O.; Eiken, T.; Kohler, J.; Melvold, K. Geometry changes on Svalbard glaciers: Mass-balance or dynamic response? Ann. Glaciol. 2005, 42, 255–261. [Google Scholar] [CrossRef]
- Sund, M.; Eiken, T.; Hagen, J.O.; Kääb, A. Svalbard surge dynamics derived from geometric changes. Ann. Glaciol. 2009, 50, 50–60. [Google Scholar] [CrossRef]
- Murray, T.; Strozzi, T.; Luckman, A.; Jiskoot, H.; Christakos, P. Is there a single surge mechanism? Contrasts in dynamics between glacier surges in Svalbard and other regions. J. Geophys. Res. 2003, 108. [Google Scholar] [CrossRef]
- Mansell, D.; Luckman, A.; Murray, T. Dynamics of tidewater surge-type glaciers in northwest Svalbard. J. Glaciol. 2012, 58, 110–118. [Google Scholar] [CrossRef]
- Błaszczyk, M.; Jania, J.A.; Hagen, J.O. Tidewater glaciers of Svalbard: Recent changes and estimates of calving fluxes. Pol. Polar Res. 2009, 30, 85–142. [Google Scholar]
- Łoziński, W.V. Über die mechaniche Verwitterung der Sandsteine im gemässigten Klima. Acad. Sci. Crac. Bull. Int. Cl. Sci. Math Nat. 1909, 1, 1–25. [Google Scholar]
- Łoziński, W. Die periglaziale Fazies der mechanichen Verwitterung. Compte Rendus. In Proceedings of the XI Congrès Internationale Gèologie, Stockholm, Sweden, 17–25 August 1910; pp. 1039–1053. [Google Scholar]
- French, H.M. The development of periglacial geomorphology: 1-up to 1965. Permafr. Periglac. Process. 2003, 14, 29–60. [Google Scholar] [CrossRef]
- French, H.M. The Periglacial Environment, 2nd ed.; Longman: Harlow, UK, 1996. [Google Scholar]
- Dąbski, M.; Angiel, P. Geomorphic implications of the retreat of Breiðamerkurjökull in the southern part of the Skálabjörg ridge, Esjufjöll, Iceland. Jökull 2010, 60, 185–197. [Google Scholar]
- Lovell, H.; Fleming, E.J.; Benn, D.I.; Hubbard, B.; Lukas, S.; Naegeli, K. Former dynamic behaviour of a cold-based valley glacier on Svalbard revealed by basal ice and structural glaciology investigations. J. Glaciol. 2015, 61, 309–328. [Google Scholar] [CrossRef]
- Pettersson, R.; Jansson, P.; Holmlund, P. Cold surface layer thinning on Storglaciären, Sweden, observed by repeated ground penetrating radar surveys. J. Geophys. Res. Earth Surf. 2003, 108, 6004. [Google Scholar] [CrossRef]
- Pettersson, R.; Jansson, P.; Huwald, H.; Blatter, H. Spatial pattern and stability of the cold surface layer of Storglaciären, Sweden. J. Glaciol. 2007, 53, 99–109. [Google Scholar] [CrossRef]
- Dobiński, W.; Glazer, M. Probable two-layered permafrost formation, as a result of climatic evolution in mountainous environment of Storglaciären forefield, Tarfala, Northern Scandinavia. Pol. Polar Res. 2018, 39, 177–209. [Google Scholar] [CrossRef]
- Etzelmüller, B.; Hagen, J.O. Glacier-permafrost interaction in Arctic and alpine mountain environments with examples from southern Norway and Svalbard. In Cryospheric Systems: Glaciers and Permafrost; Harris, C., Murton, J.B., Eds.; Special Publications; Geological Society: London, UK, 2005; Volume 242, pp. 11–27. [Google Scholar] [CrossRef]
- Kneisel, C. Permafrost in recently deglaciated glacier forefields—Measurements and observations in the eastern Swiss Alps and northern Sweden. Z. Geomorphol. 2003, 47, 289–305. [Google Scholar]
- Kneisel, C. Permafrost in Gletschervorfeldern: Eine vergleichende Untersuchung in den Ostschweizer Alpen und Nordschweden; Trierer Geographische Studien 22; Universität Trier: Trier, Germany, 1999. [Google Scholar]
- Kneisel, C. The nature and dynamics of frozen ground in alpine and subarctic periglacial environments. Holocene 2010, 20, 423–445. [Google Scholar] [CrossRef]
- Baranowski, S. Naled type of ice in front of some Spitsbergen glaciers. In Results of investigations of the Polish Scientific Spitsbergen Expeditions 1970–1974; Baranowski, S., Jahn, A., Eds.; Acta Univ. Wratislav.: Wrocław, Poland, 1977; Volume 387, pp. 85–89. [Google Scholar]
- Bukowska-Jania, E.; Szafraniec, J. Distribution and morphometric characteristics of icing fields in Svalbard. Polar Res. 2005, 24, 41–53. [Google Scholar] [CrossRef]
- Kneisel, C.; Kääb, A. Mountain permafrost dynamics within a recently exposed glacier forefield inferred by a combined geomorphological, geophysical and photogrammetrical approach. Earth Surf. Process. Landf. 2007, 32, 1797–1810. [Google Scholar] [CrossRef]
- Ruiz-Fernández, J.; Oliva, M. Relative Paleoenvironmental Adjustments Following Deglaciation of the Byers Peninsula (Livingston Island, Antarctica). Arct. Antarct. Alp. Res. 2016, 48, 345–359. [Google Scholar] [CrossRef]
- Chang, M.; Jamieson, S.S.R.; Bentley, M.J.; Stokes, C.R. The surficial and subglacial geomorphology of western Dronning Maud Land, Antarctica. J. Maps 2016, 12, 892–903. [Google Scholar] [CrossRef]











| Landsat 5 Thematic Mapper (TM) | ||
|---|---|---|
| No. | ID | Acquisition date |
| 1 | LT52170031986220KIS00 | 08.08.1986 |
| 2 | LT52080051990232KIS00 | 20.08.1990 |
| 3 | LT52170031985217KIS00 | 05.08.1985 |
| 4 | LT52130041992241KIS00 | 28.08.1992 |
| Landsat 8 Operational Land Imager/Thermal InfraRed Sensor (OLI/TIRS) | ||
| 5 | LC82200032017214LGN00 | 02.08.2017 |
| 6 | LC82080052014218LGN01 | 06.08.2014 |
| 7 | LC82150042017243LGN00 | 31.08.2017 |
| 8 | LC82160032016216LGN01 | 03.08.2016 |
| ArcticDEM 5 m and 10 m of resolution | ||
| No. | File name | Creation date (and source dates) |
| 9 | 34_50_2_2_5m_v2.0_reg_dem | 07.12.2016 (2012–2015) |
| 10 | 34_52_10m_v3.0_reg_dem | 23.07.2018 (2010–2017) |
| 11 | 34_51_2_2_5m_v2.0_reg_dem | 08.12.2016 (2012–2015) |
| 12 | 34_53_2_1_5m_v2.0_reg_dem | 07.12.2016 (2012–2015) |
| 13 | 34_53_1_1_5m_v2.0_reg_dem | 07.12.2016 (2012–2015) |
| 14 | 35_51_2_2_5m_v2.0_reg_dem | 10.12.2016 (2012–2015) |
| 15 | 35_52_1_1_5m_v2.0_reg_dem | 08.12.2016 (2012–2015) |
| Region | Nunatak (Course of Main Axis) | Z min.* [m a.s.l.] | Z max. [m a.s.l.] | Z mean (median) [m a.s.l.] | Area [km2] | Compactness Coefficient |
|---|---|---|---|---|---|---|
| N | Schivefjellet (N–S) | 228 | 991 | 655 ± 178 (676) | 11.26 | 4.74 |
| 228 | 635 ± 185 (654) | 12.11 | 4.54 | |||
| NE | S Černyševfjellet (W–E) | 743 | 1352 | 1040 ± 167 (1043) | 3.61 | 2.43 |
| 743 | 1036 ± 164 (1038) | 3.55 | 2.35 | |||
| E | Malte Brunfjellet (SW–NE) | 435 | 996 | 778 ± 156 (802) | 3.14 | 3.98 |
| 435 | 773 ± 154 (790) | 3.19 | 4.24 | |||
| S | Pulkowofjella (N–S) | 66 | 552 | 319 ± 116 (323) | 7.08 | 3.62 |
| 63 | 287 ± 121 (278) | 8.90 | 3.10 | |||
| SW | Kverven (NW–SE) | 381 | 692 | 545 ± 69 (553) | 2.37 | 3.71 |
| 372 | 536 ± 71 (544) | 2.75 | 3.29 | |||
| W | Kaosfjellet (NW–SE) | 180 | 750 | 492 ± 126 (505) | 6.87 | 5.81 |
| 180 | 481 ± 127 (488) | 8.85 | 5.36 | |||
| C | Drøntoppen (SW–NE) | 450 | 1021 | 769 ± 136 (784) | 1.89 | 2.29 |
| 445 | 737 ± 150 (746) | 2.16 | 2.16 |
© 2020 by the authors. Licensee MDPI, Basel, Switzerland. This article is an open access article distributed under the terms and conditions of the Creative Commons Attribution (CC BY) license (http://creativecommons.org/licenses/by/4.0/).
Share and Cite
Szafraniec, J.E.; Dobiński, W. Deglaciation Rate of Selected Nunataks in Spitsbergen, Svalbard—Potential for Permafrost Expansion above the Glacial Environment. Geosciences 2020, 10, 202. https://doi.org/10.3390/geosciences10050202
Szafraniec JE, Dobiński W. Deglaciation Rate of Selected Nunataks in Spitsbergen, Svalbard—Potential for Permafrost Expansion above the Glacial Environment. Geosciences. 2020; 10(5):202. https://doi.org/10.3390/geosciences10050202
Chicago/Turabian StyleSzafraniec, Joanna Ewa, and Wojciech Dobiński. 2020. "Deglaciation Rate of Selected Nunataks in Spitsbergen, Svalbard—Potential for Permafrost Expansion above the Glacial Environment" Geosciences 10, no. 5: 202. https://doi.org/10.3390/geosciences10050202
APA StyleSzafraniec, J. E., & Dobiński, W. (2020). Deglaciation Rate of Selected Nunataks in Spitsbergen, Svalbard—Potential for Permafrost Expansion above the Glacial Environment. Geosciences, 10(5), 202. https://doi.org/10.3390/geosciences10050202
