Effect of a Synbiotic Mix on Intestinal Structural Changes, and Salmonella Typhimurium and Clostridium Perfringens Colonization in Broiler Chickens
Simple Summary
Abstract
1. Introduction
2. Materials and Methods
2.1. Treatment Preparation
2.2. Bioassay for In Vivo Evaluation of the Synbiotic Mix
2.2.1. Housing
2.2.2. Feeding and Vaccination
2.2.3. Oral Administration of the Synbiotic Mix and Pathogens
2.2.4. Slaughter and Collection of Samples
2.3. Duodenal Morphology Evaluation
2.4. Microbiological Isolation and Enumeration
2.5. Growth Performance
2.6. Statistical Analysis
3. Results
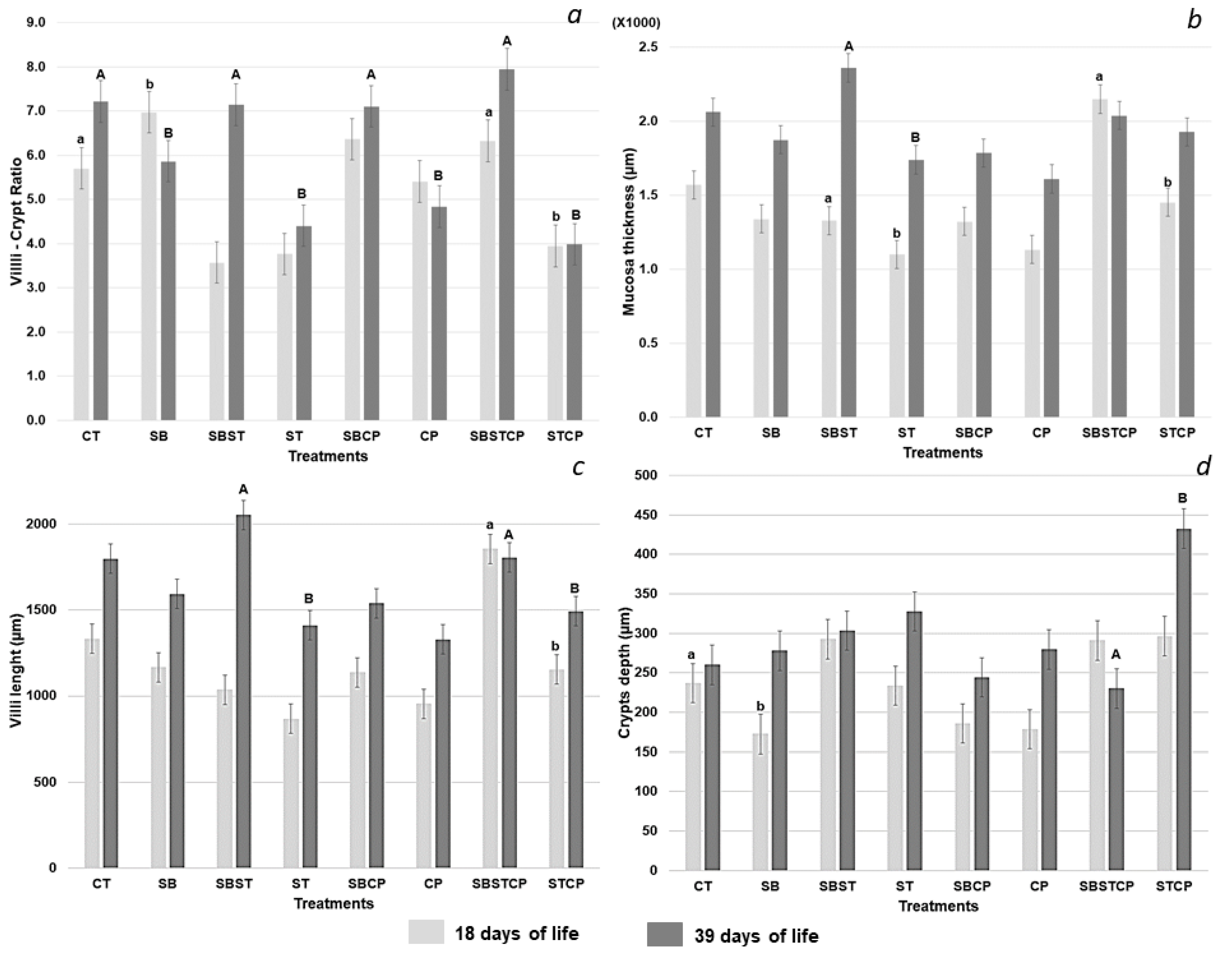
3.1. Duodenal Morphology Differs between Broilers Fed Synbiotic Mix
3.2. Microbiological Isolation and Enumeration from Intestinal Contents of Broilers Challenged with S. Typhimurium and C. Perfringens
3.3. Effect of the Synbiotic on Growth Performance
3.4. Principal Component Analysis
4. Discussion
5. Conclusions
Supplementary Materials
Author Contributions
Funding
Acknowledgments
Conflicts of Interest
References
- Finstad, S.; O’Bryan, C.A.; Marcy, J.A.; Crandall, P.G.; Ricke, S.C. Salmonella and broiler processing in the United States: Relationship to foodborne salmonellosis. Food Res. Int. 2012, 45, 789–794. [Google Scholar] [CrossRef]
- Li, J.; Hao, H.; Cheng, G.; Liu, C.; Ahmed, S.; Shabbir, M.A.B.; Hussain, H.I.; Dai, M.; Yuan, Z. Microbial shifts in the intestinal microbiota of Salmonella infected chickens in response to enrofloxacin. Front. Microbiol. 2017, 8, 1–14. [Google Scholar] [CrossRef] [PubMed]
- Knap, I.; Kehlet, A.B.; Bennedsen, M.; Mathis, G.F.; Hofacre, C.L.; Lumpkins, B.S.; Jensen, M.M.; Raun, M.; Lay, A. Bacillus subtilis ( DSM17299 ) significantly reduces Salmonella in broilers. Poult. Sci. 2011, 90, 1690–1694. [Google Scholar] [CrossRef] [PubMed]
- Van Immerseel, F.; Rood, J.I.; Moore, R.J.; Titball, R.W. Rethinking our understanding of the pathogenesis of necrotic enteritis in chickens. Trends Microbiol. 2009, 17, 32–36. [Google Scholar] [CrossRef] [PubMed]
- Timbermont, L.; Haesebrouck, F.; Ducatelle, R.; Van Immerseel, F. Necrotic enteritis in broilers: An updated review on the pathogenesis. Avian Pathol. 2011, 40, 341–347. [Google Scholar] [CrossRef] [PubMed]
- Moore, R.J. Necrotic enteritis predisposing factors in broiler chickens. Avian Pathol. 2016, 45, 275–281. [Google Scholar] [CrossRef]
- Antonissen, G.; Eeckhaut, V.; Van Driessche, K.; Onrust, L.; Haesebrouck, F.; Ducatelle, R.; Moore, R.J.; Van Immerseel, F. Microbial shifts associated with necrotic enteritis. Avian Pathol. 2016, 45, 308–312. [Google Scholar] [CrossRef]
- Cooper, K.K.; Songer, J.G.; Uzal, F.A. Diagnosing clostridial enteric disease in poultry. J. Vet. Diagnostic Investig. 2013, 25, 314–327. [Google Scholar] [CrossRef]
- Olkowski, A.A.; Wojnarowicz, C.; Chirino-Trejo, M.; Laarveld, B.; Sawicki, G. Sub-clinical necrotic enteritis in broiler chickens: Novel etiological consideration based on ultra-structural and molecular changes in the intestinal tissue. Res. Vet. Sci. 2008, 85, 543–553. [Google Scholar] [CrossRef]
- Huyghebaert, G.; Ducatelle, R.; Van Immerseel, F. Van An update on alternatives to antimicrobial growth promoters for broilers. Vet. J. 2011, 187, 182–188. [Google Scholar] [CrossRef]
- Gaucher, M.-L.; Quessy, S.; Letellier, A.; Arsenault, J.; Boulianne, M. Impact of a drug-free program on broiler chicken growth performances, gut health, Clostridium perfringens and Campylobacter jejuni occurrences at the farm level. Poult. Sci. 2015, 94, 1791–1801. [Google Scholar] [CrossRef] [PubMed]
- Engster, H.M.; Marvil, D.; Stewart-Brown, B. The effect of withdrawing growth promoting antibiotics from broiler chickens: A long-term commercial industry study. J. Appl. Poult. Res. 2002, 11, 431–436. [Google Scholar] [CrossRef]
- Food and Agriculture Organization, (FAO); World Health Organization, (WHO). Probiotics in Food. Health and Nutritional Properties and Guidelines for Evaluation; 2006; Volume 85, ISBN 9251055130. [Google Scholar]
- Awad, W.A.; Ghareeb, K.; Böhm, J. Effect of addition of a probiotic micro-organism to broiler diet on intestinal mucosal architecture and electrophysiological parameters. J. Anim. Physiol. Anim. Nutr. (Berl). 2010, 94, 486–494. [Google Scholar] [CrossRef] [PubMed]
- Teng, P.; Kim, W.K. Review: Roles of Prebiotics in Intestinal Ecosystem of Broilers. Front. Vet. Sci. 2018, 5, 1–18. [Google Scholar] [CrossRef] [PubMed]
- Naghi, A.S.; Ghasemi, H.A.; Taherpour, K. Evaluation of Aloe vera and synbiotic as antibiotic growth promoter substitutions on performance, gut morphology, immune responses and blood constitutes of broiler chickens. Anim. Sci. J. 2017, 88, 306–313. [Google Scholar] [CrossRef] [PubMed]
- Dhama, K.; Verma, V.; Sawant, P.; Tiwari, R.; Vaid, R.; Chauhan, R. Applications of Probiotics in Poultry: Enhancing Immunity and Beneficial Effects on Production Performances and Health - A Review. J. Immunol. Immunopathol. 2011, 13, 1–19. [Google Scholar]
- Adil, S.; Magray, S.N. Impact and manipulation of gut microflora in poultry: A review. J. Anim. Vet. Adv. 2012, 6, 873–877. [Google Scholar] [CrossRef]
- Kauffmann, F. Serological Diagnosis of Salmonella-Species Kauffmann-White-Schema; Williams & Wilkins, Ed.; CABI: Denmark, MI, USA, 1972. [Google Scholar]
- ADSA; ASAS; PSA. Guide for the care and use of agricultural animals in research and teaching; ADSA; ASAS; PSA: Champaing, IL, USA, 2010; ISBN 9781884706110. [Google Scholar]
- Cobb-vantress COBB Broiler Management Guide. Available online: http://www.cobb-vantress.com/docs/default-source/management-guides/broiler-management-guide.pdf (accessed on 25 June 2018).
- Rojo, A. Cálculo del tamaño muestral en procedimientos experimentales con animales. Valoración de las incidencias. Anim. Lab. 2014, 62, 31–33. [Google Scholar]
- Garden, M.; Singleton, R. Manejo del Pollo de Engorde para un Peso Liviano al Mercado (de 1.5 a 1.8 Kg/de 3.3 a 4.0 lb). Available online: http://cn.aviagen.com/assets/Tech_Center/BB_Foreign_Language_Docs/Spanish_TechDocs/A-Acres-Boletin-de-Servicio-Abr-08-Manejo-Pollo-Engorde-Peso-Liviano-Mercado.pdf (accessed on June 25 2018).
- Cooper, K.K.; Songer, J.G. Necrotic enteritis in chickens: A paradigm of enteric infection by Clostridium perfringens type A. Anaerobe 2009, 15, 55–60. [Google Scholar] [CrossRef]
- La Ragione, R.M.; Narbad, A.; Gasson, M.J.; Woodward, M.J. In vivo characterization of Lactobacillus johnsonii FI9785 for use as a defined competitive exclusion agent against bacterial pathogens in poultry. Lett. Appl. Microbiol. 2004, 38, 197–205. [Google Scholar] [CrossRef]
- Ganapathy, K.; Bufton, A.; Pearson, A.; Lemiere, S.; Jones, R.C. Vaccination of commercial broiler chicks against avian metapneumovirus infection: a comparison of drinking-water, spray and oculo-oral delivery methods. Vaccine 2010, 28, 3944–3948. [Google Scholar] [CrossRef] [PubMed]
- Pelicano, E.; Souza, P.; Souza, H.; Figueiredo, D.; Boiago, M.; Carvalho, S.; Bordon, V. Intestinal mucosa development in broiler chickens fed natural growth promoters. Rev. Bras. Ciência Avícola 2005, 7, 221–229. [Google Scholar] [CrossRef]
- Tian, X.; Shao, Y.; Wang, Z.; Guo, Y. Effects of dietary yeast B-glucans supplementation on growth performance, gut morphology, intestinal Clostridium perfringens population and immune response of broiler chickens challenged with necrotic enteritis. Anim. Feed Sci. Technol. 2016, 215, 144–155. [Google Scholar] [CrossRef]
- Mookiah, S.; Sieo, C.C.; Ramasamy, K.; Abdullah, N.; Ho, Y.W. Effects of dietary prebiotics, probiotic and synbiotics on performance, caecal bacterial populations and caecal fermentation concentrations of broiler chickens. J. Sci. Food Agric. 2014, 94, 341–348. [Google Scholar] [CrossRef] [PubMed]
- Mikoleit, M.L. WHO Global Foodborne Infections Network “A WHO Network Building Capacity to Detect, Control and Prevent Foodborne and Other Enteric Infections from Farm to Table” Laboratory Protocol: “Isolation of Salmonella and Shigella from Faecal Specimens.”. Available online: http://antimicrobialresistance.dk/CustomerData/Files/Folders/6-pdf-protocols/63_18-05-isolation-of-salm-220610.pdf (accessed on 25 June 2018).
- Heikinheimo, A.; Lindström, M.; Granum, P.E.; Korkeala, H. Humans as Reservoir for Enterotoxin Gene – carrying Clostridium perfringens Type A. Emergin Infect. Dis. 2006, 12, 1724–1729. [Google Scholar] [CrossRef]
- Stanley, D.; Denman, S.E.; Hughes, R.J.; Geier, M.S.; Crowley, T.M.; Chen, H.; Haring, V.R.; Moore, R.J. Intestinal microbiota associated with differential feed conversion efficiency in chickens. Appl. Microbiol. Biotechnol. 2012, 96, 1361–1369. [Google Scholar] [CrossRef]
- Eeckhaut, V.; Wang, J.; Van Parys, A.; Haesebrouck, F.; Joossens, M.; Falony, G.; Raes, J.; Ducatelle, R.; Van Immerseel, F. The probiotic butyricicoccus pullicaecorum reduces feed conversion and protects from potentially harmful intestinal microorganisms and necrotic enteritis in broilers. Front. Microbiol. 2016, 7, 1–9. [Google Scholar] [CrossRef]
- Segers, M.E.; Lebeer, S. Towards a better understanding of Lactobacillus rhamnosus GG - host interactions. Microb. Cell Fact. 2014, 13, S7. [Google Scholar] [CrossRef]
- Gill, H.S.; Rutherfurd, K.J.; Prasad, J.; Gopal, P.K. Enhancement of natural and acquired immunity by Lactobacillus rhamnosus (HN001), Lactobacillus acidophilus (HN017) and Bifidobacterium lactis (HN019). Br. J. Nutr. 2000, 83, 167–176. [Google Scholar] [CrossRef]
- Peña, J.A.; Versalovic, J. Lactobacillus rhamnosus GG decreases TNF-α production in lipopolysaccharide-activated murine macrophages by a contact-independent mechanism. Cell. Microbiol. 2003, 5, 277–285. [Google Scholar] [CrossRef]
- Shu, Q.; Gill, H.S. Immune protection mediated by the probiotic Lactobacillus rhamnosus HN001 (DR20TM) against Escherichia coli O157:H7 infection in mice. FEMS Immunol. Med. Microbiol. 2002, 34, 59–64. [Google Scholar] [PubMed]
- De Keersmaecker, S.C.J.; Verhoeven, T.L.A.; Desair, J.; Marchal, K.; Vanderleyden, J.; Nagy, I. Strong antimicrobial activity of Lactobacillus rhamnosus GG against Salmonella typhimurium is due to accumulation of lactic acid. FEMS Microbiol. Lett. 2006, 259, 89–96. [Google Scholar] [CrossRef] [PubMed]
- Papagianni, M.; Anastasiadou, S. Pediocins: The bacteriocins of Pediococci. Sources, production, properties and applications. Microb. Cell Fact. 2009, 8, 3. [Google Scholar] [CrossRef] [PubMed]
- Sakaridis, I.; Soultos, N.; Dovas, C.I.; Papavergou, E.; Ambrosiadis, I.; Koidis, P. Lactic acid bacteria from chicken carcasses with inhibitory activity against Salmonella spp. and Listeria monocytogenes. Anaerobe 2012, 18, 62–66. [Google Scholar] [CrossRef]
- Lee, S.; Lillehoj, H.S.; Park, D.W.; Hong, Y.H.; Lin, J.J. Effects of Pediococcus- and Saccharomyces-based probiotic (MitoMax®) on coccidiosis in broiler chickens. Comp. Immunol. Microbiol. Infect. Dis. 2007, 30, 261–268. [Google Scholar] [CrossRef] [PubMed]
- Ayala Monter, M.A.; Sánchez, D.H.; Ruiz, R.P.; González Muñoz, S.S.; Bárcena Gama, J.R.; Mendo, O.H.; Salado, N.T. Prebiotic effect of two sources of inulin on in vitro growth of Lactobacillus salivarius and Enterococcus faecium. Rev. Mex. Ciencias Pecu. 2018, 9, 346–361. [Google Scholar] [CrossRef]
- Yitbarek, A.; Rodriguez-Lecompte, J.C.; Echeverry, H.M.; Munyaka, P.; Barjesteh, N.; Sharif, S.; Camelo-Jaimes, G. Performance, histomorphology, and toll-like receptor, chemokine, and cytokine profile locally and systemically in broiler chickens fed diets supplemented with yeast-derived macromolecules. Poult. Sci. 2013, 92, 2299–2310. [Google Scholar] [CrossRef] [PubMed]
- M’Sadeq, S.A.; Wu, S.; Swick, R.A.; Choct, M. Towards the control of necrotic enteritis in broiler chickens with in-feed antibiotics phasing-out worldwide. Anim. Nutr. 2015, 1, 1–11. [Google Scholar] [CrossRef] [PubMed]
- Qing, X.; Zeng, D.; Wang, H.; Ni, X.; Liu, L.; Lai, J.; Khalique, A.; Pan, K.; Jing, B. Preventing subclinical necrotic enteritis through Lactobacillus johnsonii BS15 by ameliorating lipid metabolism and intestinal microflora in broiler chickens. AMB Express 2017, 7, 139. [Google Scholar] [CrossRef]
- Awad, W.A.; Ghareeb, K.; Abdel-Raheem, S.; Bohm, J. Effects of dietary inclusion of probiotic and synbiotic on growth performance, organ weights, and intestinal histomorphology of broiler chickens. Poult. Sci. 2009, 88, 49–56. [Google Scholar] [CrossRef]
- Min, Y.N.; Yang, H.L.; Xu, Y.X.; Gao, Y.P. Effects of dietary supplementation of synbiotics on growth performance, intestinal morphology, sIgA content and antioxidant capacities of broilers. J. Anim. Physiol. Anim. Nutr. (Berl). 2016, 100, 1073–1080. [Google Scholar] [CrossRef] [PubMed]
- Laudadio, V.; Passantino, L.; Perillo, a.; Lopresti, G.; Passantino, A.; Khan, R.U.; Tufarelli, V. Productive performance and histological features of intestinal mucosa of broiler chickens fed different dietary protein levels. Poult. Sci. 2012, 91, 265–270. [Google Scholar] [CrossRef]
- Stanley, D.; Keyburn, A.L.; Denman, S.E.; Moore, R.J. Changes in the caecal microflora of chickens following Clostridium perfringens challenge to induce necrotic enteritis. Vet. Microbiol. 2012, 159, 155–162. [Google Scholar] [CrossRef] [PubMed]
- Kogut, M.H.; Swaggerty, C.L.; Byrd, J.A.; Selvaraj, R.; Arsenault, R.J. Chicken-Specific Kinome Array Reveals that Salmonella enterica Serovar Enteritidis Modulates Host Immune Signaling Pathways in the Cecum to Establish a Persistence Infection. Int. J. Mol. Sci. 2016, 17, 1207. [Google Scholar] [CrossRef] [PubMed]
- Wu, R.Y.; Määttänen, P.; Napper, S.; Scruten, E.; Li, B.; Koike, Y.; Johnson-Henry, K.C.; Pierro, A.; Rossi, L.; Botts, S.R.; et al. Non-digestible oligosaccharides directly regulate host kinome to modulate host inflammatory responses without alterations in the gut microbiota. Microbiome 2017, 5, 135. [Google Scholar] [CrossRef]
- Wu, R.Y.; Abdullah, M.; Määttänen, P.; Pilar, A.V.C.; Scruten, E.; Johnson-Henry, K.C.; Napper, S.; O’Brien, C.; Jones, N.L.; Sherman, P.M. Protein kinase Cσ signaling is required for dietary prebiotic-induced strengthening of intestinal epithelial barrier function. Sci. Rep. 2017, 7, 1–10. [Google Scholar]
- Alloui, M.N.; Szczurek, W.; Świątkiewicz, S. The usefulness of prebiotics and probiotics in modern poultry nutrition: a review. Ann. Anim. Sci. 2013, 13, 17–32. [Google Scholar] [CrossRef]
- Salehimanesh, A.; Mohammadi, M.; Roostaei-Ali Mehr, M. Effect of dietary probiotic, prebiotic and synbiotic supplementation on performance, immune responses, intestinal morphology and bacterial populations in broilers. J. Anim. Physiol. Anim. Nutr. (Berl). 2016, 100, 694–700. [Google Scholar] [CrossRef]
- Stanley, D.; Hughes, R.J.; Moore, R.J. Microbiota of the chicken gastrointestinal tract: Influence on health, productivity and disease. Appl. Microbiol. Biotechnol. 2014, 98, 4301–4310. [Google Scholar] [CrossRef]
- Nakphaichit, M.; Thanomwongwattana, S.; Phraephaisarn, C.; Sakamoto, N.; Keawsompong, S.; Nakayama, J.; Nitisinprasert, S. The effect of including Lactobacillus reuteri KUB-AC5 during post-hatch feeding on the growth and ileum microbiota of broiler chickens. Poult. Sci. 2011, 90, 2753–2765. [Google Scholar] [CrossRef]
- Patterson, J.A.; Burkholder, K.M. Application of prebiotics and probiotics in poultry production. Poult. Sci. 2003, 82, 627–631. [Google Scholar] [CrossRef]
- Mao, X.; Gu, C.; Hu, H.; Tang, J.; Chen, D.; Yu, B.; He, J.; Yu, J.; Luo, J.; Tian, G. Dietary lactobacillus rhamnosus GG supplementation improves the mucosal barrier function in the intestine of weaned piglets challenged by porcine rotavirus. PLoS ONE 2016, 11, 1–14. [Google Scholar] [CrossRef] [PubMed]
- Olnood, C.G.; Beski, S.S.M.; Choct, M.; Iji, P.A. Novel probiotics: Their effects on growth performance, gut development, microbial community and activity of broiler chickens. Anim. Nutr. 2015, 1, 184–191. [Google Scholar] [CrossRef] [PubMed]
- Chen, F.; Gao, S.S.; Zhu, L.Q.; Qin, S.Y.; Qiu, H.L. Effects of dietary Lactobacillus rhamnosus CF supplementation on growth, meat quality, and microenvironment in specific pathogen-free chickens. Poult. Sci. 2018, 97, 118–123. [Google Scholar] [CrossRef]
- Ouled-Haddar, H.; Idoui, T.; Sifour, M.; Guezira, M.; Bouthabet, M. Isolation, characterization and microencapsulation of probiotic Lactobacillus curvatus G7 from chicken crop. Online J. Sci. Technol. 2012, 2, 6. [Google Scholar]
- Drissi, F.; Merhej, V.; Angelakis, E.; El Kaoutari, A.; Carrière, F.; Henrissat, B.; Raoult, D. Comparative genomics analysis of Lactobacillus species associated with weight gain or weight protection. Nutr. Diabetes 2014, 4, e109. [Google Scholar] [CrossRef] [PubMed]
- Salim, H.M.; Kang, H.K.; Akter, N.; Kim, D.W.; Kim, J.H.; Kim, M.J.; Na, J.C.; Jong, H.B.; Choi, H.C.; Suh, O.S.; et al. Supplementation of direct-fed microbials as an alternative to antibiotic on growth performance, immune response, cecal microbial population, and ileal morphology of broiler chickens. Poult. Sci. 2013, 92, 2084–2090. [Google Scholar] [CrossRef] [PubMed]
- Chambers, J.R.; Gong, J. The intestinal microbiota and its modulation for Salmonella control in chickens. Food Res. Int. 2011, 44, 3149–3159. [Google Scholar] [CrossRef]
- Park, J.H.; Kim, I.H. The effects of the supplementation of Bacillus subtilis RX7 and B2A strains on the performance, blood profiles, intestinal Salmonella concentration, noxious gas emission, organ weight and breast meat quality of broiler challenged with Salmonella typhimuri. J. Anim. Physiol. Anim. Nutr. (Berl). 2015, 99, 326–334. [Google Scholar] [CrossRef] [PubMed]
- Moran, E.T. Intestinal events and nutritional dynamics predispose Clostridium perfringens virulence in broilers. Poult. Sci. 2014, 93, 3028–3036. [Google Scholar] [CrossRef] [PubMed]
- Cooper, K.K.; Songer, J.G. Virulence of Clostridium perfringens in an experimental model of poultry necrotic enteritis. Vet. Microbiol. 2010, 142, 323–328. [Google Scholar] [CrossRef]
- Shojadoost, B.; Vince, A.R.; Prescott, J.F. The successful experimental induction of necrotic enteritis in chickens by Clostridium perfringens: A critical review. Vet. Res. 2012, 43, 1. [Google Scholar] [CrossRef]
- Wang, H.; Ni, X.; Qing, X.; Liu, L.; Lai, J.; Khalique, A.; Li, G.; Pan, K.; Jing, B.; Zeng, D. Probiotic Enhanced Intestinal Immunity in Broilers against Subclinical Necrotic Enteritis. Front. Immunol. 2017, 8, 1–14. [Google Scholar] [CrossRef] [PubMed]
- Talebi, A.; Amani, A.; Pourmahmod, M.; Saghaei, P.; Rezaie, R. Synbiotic enhances immune responses against infectious bronchitis, infectious bursal disease, Newcastle disease and avian influenza in broiler chickens. Vet. Res. Forum 2015, 6, 191–197. [Google Scholar] [PubMed]
- Midilli, M.; Alp, M.; Kocabaǧli, N.; Muǧlali, Ö.H.; Turan, N.; Yilmaz, H.; Çakir, S. Effects of dietary probiotic and prebiotic supplementation on growth performance and serum IgG concentration of broilers. S. Afr. J. Anim. Sci. 2008, 38, 21–27. [Google Scholar] [CrossRef]
- Pinto, L.F.B.; Packer, I.U.; De Melo, C.M.R.; Ledur, M.C.; Coutinho, L.L. Principal components analysis applied to performance and carcass traits in the chicken. Anim. Res. 2006, 55, 419–425. [Google Scholar] [CrossRef]
- Udeh, I.; Ogbu, C.C. Principal Component Analysis of Body Measurements in Three Strains of Broiler Chicken. Sci. World J. 2012, 6, 11–14. [Google Scholar]
- Ogah, D.M.; Alaga, A.A.; Momoh, M.O. Principal component factor analysis of the morphostructural traits of Muscovy duck. Int. J. Poult. Sci. 2009, 8, 1100–1103. [Google Scholar] [CrossRef]
- Venturini, G.C.; Savegnago, R.P.; Nunes, B.N.; Ledur, M.C.; Schmidt, G.S.; El Faro, L.; Munari, D.P. Genetic parameters and principal component analysis for egg production from White Leghorn hens. Poult. Sci. 2013, 92, 2283–2289. [Google Scholar] [CrossRef] [PubMed]
- Mohapatra, B.R.; Broersma, K.; Mazumder, A. Comparison of five rep-PCR genomic fingerprinting methods for differentiation of fecal Escherichia coli from humans, poultry and wild birds. FEMS Microbiol. Lett. 2007, 277, 98–106. [Google Scholar] [CrossRef] [PubMed]
- Cisek, A.A.; Binek, M. Chicken intestinal microbiota function with a special emphasis on the role of probiotic bacteria. Pol. J. Vet. Sci. 2014, 17, 385–394. [Google Scholar] [CrossRef] [PubMed]




| Start | Grower-Finisher | |
|---|---|---|
| Ingredients(g/Kg) | ||
| Sorghum | 640 | 690 |
| Soybean | 255 | 210 |
| Vitamin and mineral Premix | 80 | 70 |
| Sunflower oil | 25 | 30 |
| Bromatological composition (%) | ||
| Dry material | 94.91 | 90.5 |
| Humidity | 5.09 | 9.5 |
| Ashes | 7.10 | 6.3 |
| Crude protein | 21.91 | 18.6 |
| Ether extract | 6.02 | 6.13 |
| Crude fiber | 2.90 | 3.1 |
| Nitrogen free elements | 56.98 | 56.37 |
| Calcium | 0.98 | 0.74 |
| Phosphorus | 0.48 | 0.40 |
| Metabolizable Energy (Mcal/kg) | 3.08 | 3.23 |
| Mean Lactic Acid Bacteria (Log10 CFU/g) ± Standard Deviation | ||||||
|---|---|---|---|---|---|---|
| Treatment 1/Days | 18 d | 22 d | 25 d | 32 d | 36 d | 39 d |
| CT | 5.8 ± 0.7 | 6.3 ± 0.4 | 5.8 ± 1.7 | 5.3 ± 0.9 | 5.6 ± 0.4 ab | 4.1 ± 1.6 a |
| SB | 5.0 ± 1.9 | 6.2 ± 1.0 | 5.6 ± 1.3 | 5.2 ± 1.3 | 6.5 ± 0.7 a | 6.5 ± 0.4 b |
| SBST | 6.7 ± 0.3 | 5.6 ± 0.4 | 5.1 ± 1.2 | 4.4 ± 1.0 | 5.5 ± 0.2 ab | 3.9 ± 0.3 a |
| ST | 5.0 ± 1 | 5.3 ± 1 | 4.0 ± 0.6 | 4.5 ± 1.2 | 4.6 ± 1.0 b | 5.4 ± 0.8 ab |
| SBCP | 4.7 ± 1.6 | 4.9 ± 1.6 | 3.7 ± 0.8 | 5.9 ± 0.2 | 6.3 ± 0.1 a | 3.9 ± 0.3 a |
| CP | 5.9 | 5.3 | 4.2 ± 1.9 | 4.5 ± 1.2 | 5.2 ± 0.3 ab | 5.4 ± 0.3 ab |
| SBSTCP | 4.4 ± 0.7 | 6.0 ± 0.7 | 4.9 ± 0.4 | 5.0 ± 0.8 | 6.5 ± 0.1 a | 5.2 ± 0.6 ab |
| STCP | 4.8 ± 1.6 | 5.7 ± 1.6 | 4.8 ± 0.8 | 4.2 ± 0.2 | 5.2 ± 0.1 ab | 4.9 ± 0.3 a |
| Treatment 1 Days | Mean Body Weight (g) ± Standard Deviation | ||||||
|---|---|---|---|---|---|---|---|
| 1 d | 7 d | 14 d | 21 d | 28 d | 35 d | 42 d | |
| CT | 43 ± 2.9 | 147 ± 11.8 | 424 ± 35.8 | 738 ± 74.2 a | 1148 ± 125.2 | 1734 ± 199.2 | 2416 ± 330 |
| SB | 44 ± 2.9 | 162 ± 13.2 | 432 ± 31.4 | 799 ± 54.5 | 1175 ± 70 | 1848 ± 93.7 | 2550 ± 26.4 |
| SBST | 44 ± 4.3 | 162 ± 2 | 448 ± 50.3 | 779 ± 96.6 | 1185 ± 121.8 | 1740 ± 197 | 2588 ± 106.8 |
| ST | 44 ± 3.1 | 152 ± 13.9 | 437 ± 63.2 | 747 ± 152.6 | 1071 ± 236.4 | 1836 ± 185.7 | 2491 ± 168.2 |
| SBCP | 44 ± 3.3 | 164 ± 18.5 | 460 ± 52.8 | 847 ± 115.8 b | 1306 ± 83.3 | 1969 ± 175.6 | 2693 ± 135 |
| CP | 44 ± 3.1 | 161 ± 12.4 | 465 ± 40.4 | 800 ± 70.3 | 1271 ± 114.2 | 1936 ± 218.7 | 2696 ± 360 |
| SBSTCP | 44 ± 2.7 | 153 ± 12.2 | 440 ± 39.6 | 812 ± 71.5 | 1206 ± 142.7 | 1860 ± 204.3 | 2295 ± 210.7 |
| STCP | 46 ± 4.6 | 155 ± 16.9 | 438 ± 51.2 | 794 ± 96.4 | 1211 ± 166.5 | 1780 ± 147 | 2453 ± 182.6 |
© 2019 by the authors. Licensee MDPI, Basel, Switzerland. This article is an open access article distributed under the terms and conditions of the Creative Commons Attribution (CC BY) license (http://creativecommons.org/licenses/by/4.0/).
Share and Cite
Villagrán-de la Mora, Z.; Nuño, K.; Vázquez-Paulino, O.; Avalos, H.; Castro-Rosas, J.; Gómez-Aldapa, C.; Angulo, C.; Ascencio, F.; Villarruel-López, A. Effect of a Synbiotic Mix on Intestinal Structural Changes, and Salmonella Typhimurium and Clostridium Perfringens Colonization in Broiler Chickens. Animals 2019, 9, 777. https://doi.org/10.3390/ani9100777
Villagrán-de la Mora Z, Nuño K, Vázquez-Paulino O, Avalos H, Castro-Rosas J, Gómez-Aldapa C, Angulo C, Ascencio F, Villarruel-López A. Effect of a Synbiotic Mix on Intestinal Structural Changes, and Salmonella Typhimurium and Clostridium Perfringens Colonization in Broiler Chickens. Animals. 2019; 9(10):777. https://doi.org/10.3390/ani9100777
Chicago/Turabian StyleVillagrán-de la Mora, Zuamí, Karla Nuño, Olga Vázquez-Paulino, Hugo Avalos, Javier Castro-Rosas, Carlos Gómez-Aldapa, Carlos Angulo, Felipe Ascencio, and Angélica Villarruel-López. 2019. "Effect of a Synbiotic Mix on Intestinal Structural Changes, and Salmonella Typhimurium and Clostridium Perfringens Colonization in Broiler Chickens" Animals 9, no. 10: 777. https://doi.org/10.3390/ani9100777
APA StyleVillagrán-de la Mora, Z., Nuño, K., Vázquez-Paulino, O., Avalos, H., Castro-Rosas, J., Gómez-Aldapa, C., Angulo, C., Ascencio, F., & Villarruel-López, A. (2019). Effect of a Synbiotic Mix on Intestinal Structural Changes, and Salmonella Typhimurium and Clostridium Perfringens Colonization in Broiler Chickens. Animals, 9(10), 777. https://doi.org/10.3390/ani9100777

