Comparative Skin Transcriptomics Reveals Key Regulators of Cashmere Fiber Production in Inner Mongolian Goats
Simple Summary
Abstract
1. Introduction
2. Materials and Methods
2.1. Ethics Statement
2.2. Animal Selection and Skin Tissue Collection
2.3. RNA Extraction and Quality Control
2.4. Library Construction and Transcriptome Sequencing
2.5. Bioinformatic Analysis
3. Results
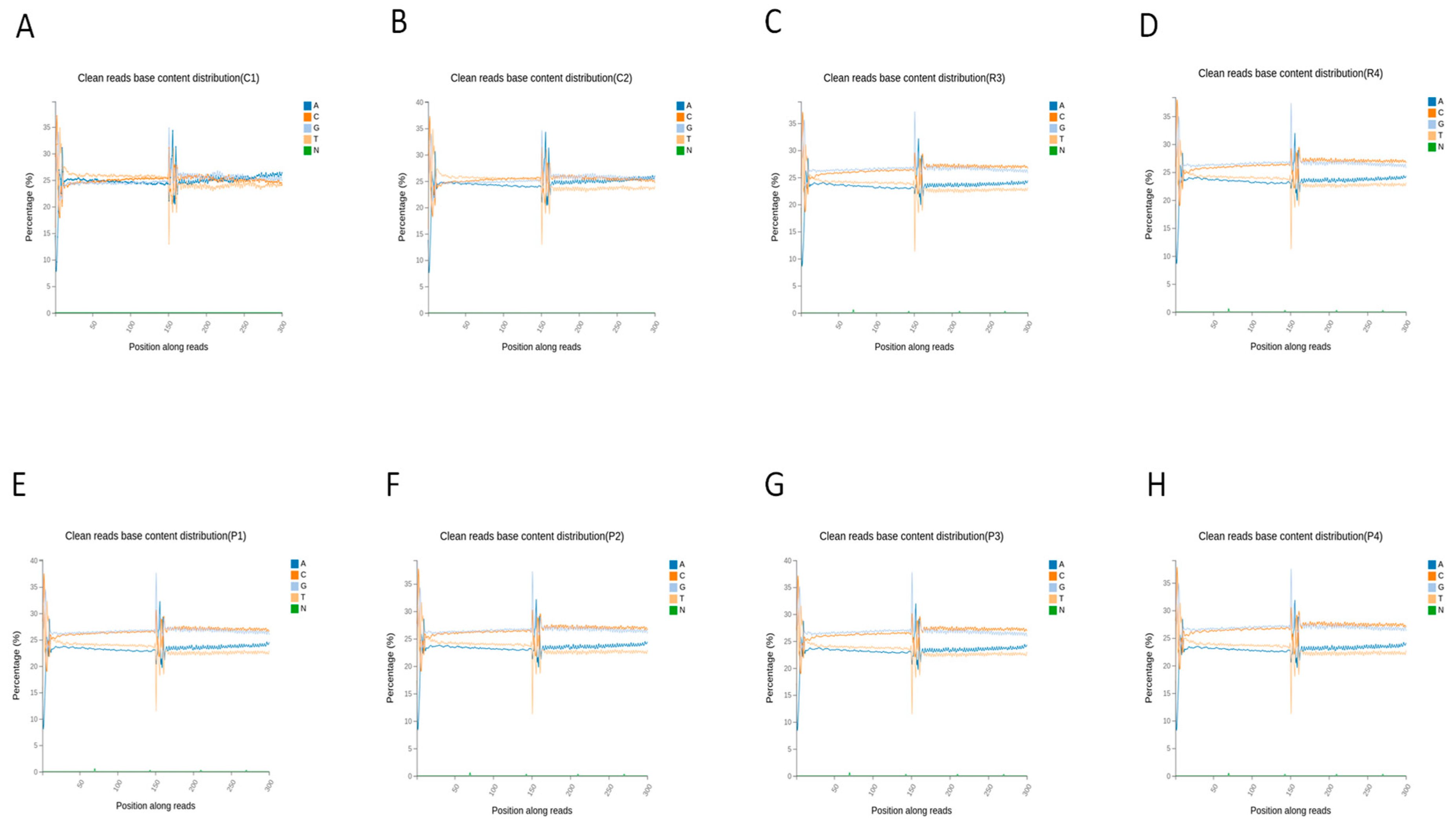
3.1. Sequencing Data Quality and Preprocessing
3.2. Efficient Mapping to Reference Genome and Transcript Coverage
3.3. Sample Correlation and Global Expression Patterns
3.4. Distribution of Gene Expression Levels
3.5. Identification of Differentially Expressed Genes (DEGs)
3.6. Comparative Analysis of DEGs Across Multiple Contrasts
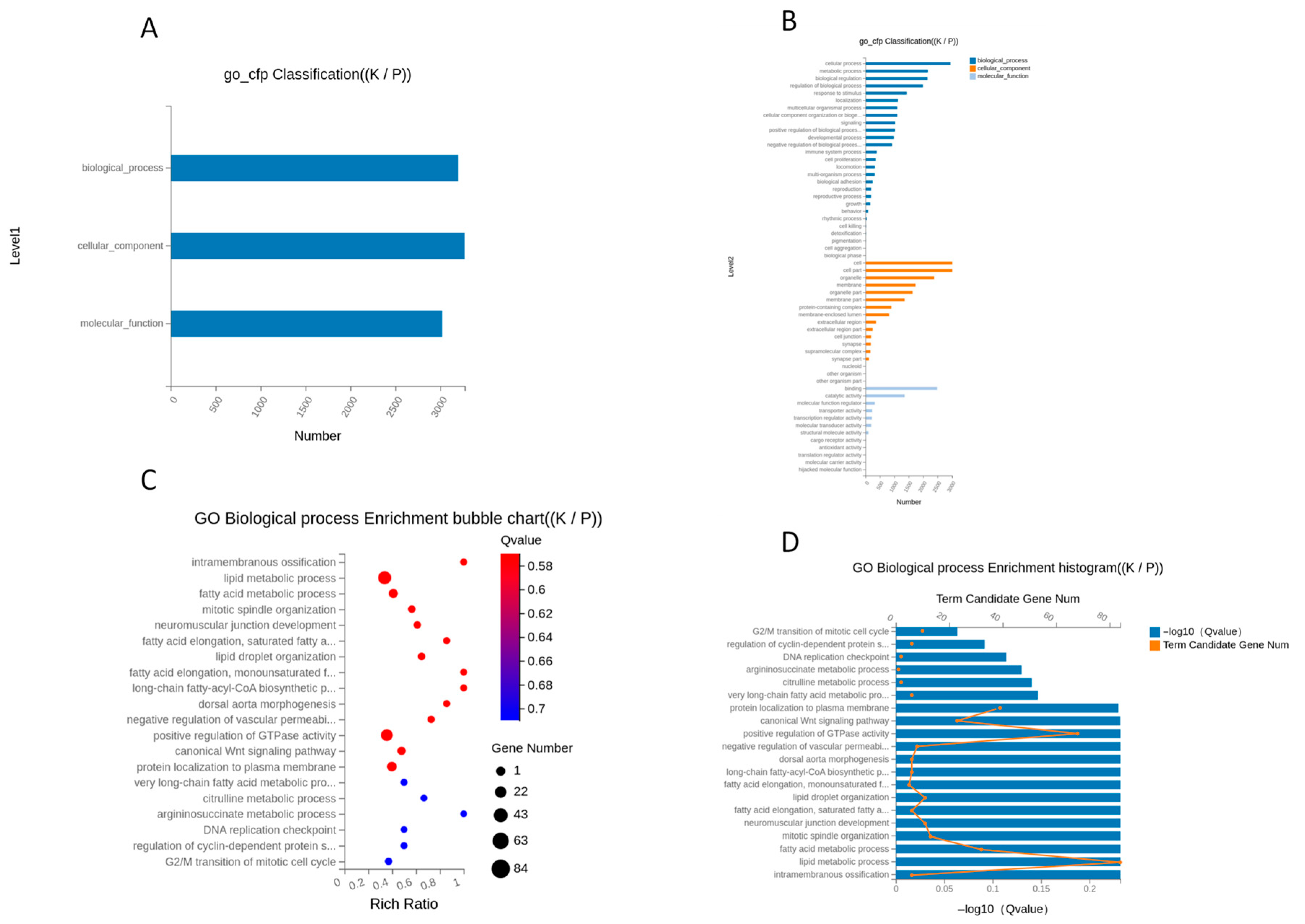
3.7. Functional Enrichment Analysis of DEGs
4. Discussion
5. Conclusions
Supplementary Materials
Author Contributions
Funding
Institutional Review Board Statement
Informed Consent Statement
Data Availability Statement
Conflicts of Interest
References
- Waldron, S.; Brown, C.; Komarek, A.M. The Chinese Cashmere Industry: A Global Value Chain Analysis. Dev. Policy Rev. 2014, 32, 589–610. [Google Scholar] [CrossRef]
- Wang, F.H.; Gong, G.; Yan, X.C.; Zhang, L.T.; Zhang, F.T.; Liu, H.F.; Lv, Q.; Wang, R.J.; Zhang, Y.J.; Wang, Z.X.; et al. Genome-wide association study of fleece traits in Inner Mongolia Cashmere goats. Anim. Genet. 2021, 52, 375–379. [Google Scholar] [CrossRef] [PubMed]
- Stenn, K.S.; Paus, R. Controls of Hair Follicle Cycling. Physiol. Rev. 2001, 81, 449–494. [Google Scholar] [CrossRef] [PubMed]
- Oh, J.W.; Kloepper, J.; Langan, E.A.; Kim, Y.; Yeo, J.; Kim, M.J.; Hsi, T.C.; Rose, C.; Yoon, G.S.; Lee, S.J.; et al. A Guide to Studying Human Hair Follicle Cycling In Vivo. J. Investig. Dermatol. 2016, 136, 34–44. [Google Scholar] [CrossRef]
- Schneider, M.R.; Schmidt-Ullrich, R.; Paus, R. The Hair Follicle as a Dynamic Miniorgan. Curr. Biol. 2009, 19, R132–R142. [Google Scholar] [CrossRef]
- Han, W.; Yang, F.; Wu, Z.; Guo, F.; Zhang, J.; Hai, E.; Shang, F.; Su, R.; Wang, R.; Wang, Z.; et al. Inner Mongolian Cashmere Goat Secondary Follicle Development Regulation Research Based on mRNA-miRNA Co-analysis. Sci. Rep. 2020, 10, 4519. [Google Scholar] [CrossRef]
- Zhang, Y.; Wu, K.; Wang, L.; Wang, Z.; Han, W.; Chen, D.; Wei, Y.; Su, R.; Wang, R.; Liu, Z.; et al. Comparative study on seasonal hair follicle cycling by analysis of the transcriptomes from cashmere and milk goats. Genomics 2020, 112, 332–345. [Google Scholar] [CrossRef] [PubMed]
- Yang, M.; Song, S.; Dong, K.; Chen, X.; Liu, X.; Rouzi, M.; Zhao, Q.; He, X.; Pu, Y.; Guan, W.; et al. Skin transcriptome reveals the intrinsic molecular mechanisms underlying hair follicle cycling in Cashmere goats under natural and shortened photoperiod conditions. Sci. Rep. 2017, 7, 13502. [Google Scholar] [CrossRef]
- Lin, X.; Zhu, L.; He, J. Morphogenesis, Growth Cycle and Molecular Regulation of Hair Follicles. Front. Cell Dev. Biol. 2022, 10, 899095. [Google Scholar] [CrossRef]
- Hébert, J.M.; Rosenquist, T.; Götz, J.; Martin, G.R. FGF5 as a regulator of the hair growth cycle: Evidence from targeted and spontaneous mutations. Cell 1994, 78, 1017–1025. [Google Scholar] [CrossRef]
- Kljuic, A.; Bazzi, H.; Sundberg, J.P.; Martinez-Mir, A.; O’SHaughnessy, R.; Mahoney, M.G.; Levy, M.; Montagutelli, X.; Ahmad, W.; Aita, V.M.; et al. Desmoglein 4 in Hair Follicle Differentiation and Epidermal Adhesion. Cell 2003, 113, 249–260. [Google Scholar] [CrossRef] [PubMed]
- Geng, R.; Yuan, C.; Chen, Y. Exploring Differentially Expressed Genes by RNA-Seq in Cashmere Goat (Capra hircus) Skin during Hair Follicle Development and Cycling. PLoS ONE 2013, 8, e62704. [Google Scholar] [CrossRef]
- Nocelli, C.; Cappelli, K.; Capomaccio, S.; Pascucci, L.; Mercati, F.; Pazzaglia, I.; Mecocci, S.; Antonini, M.; Renieri, C. Shedding light on cashmere goat hair follicle biology: From morphology analyses to transcriptomic landascape. BMC Genom. 2020, 21, 458. [Google Scholar] [CrossRef]
- Wang, S.; Ge, W.; Luo, Z.; Guo, Y.; Jiao, B.; Qu, L.; Zhang, Z.; Wang, X. Comparative transcriptome analysis of fetal skin reveals key genes related to hair follicle morphogenesis in cashmere goats. PLoS ONE 2016, 11, e0151118. [Google Scholar] [CrossRef]
- Yang, F.; Li, R.; Zhao, C.; Che, T.; Guo, J.; Xie, Y.; Wang, Z.; Li, J.; Liu, Z. Single-cell sequencing reveals the new existence form of dermal papilla cells in the hair follicle regeneration of cashmere goats. Genomics 2022, 114, 110316. [Google Scholar] [CrossRef]
- Ge, W.; Zhang, W.; Zhang, Y.; Zheng, Y.; Li, F.; Wang, S.; Liu, J.; Tan, S.; Yan, Z.; Wang, L.; et al. A Single-Cell Transcriptome Atlas of Cashmere Goat Hair Follicle Morphogenesis. Genom. Proteom. Bioinform. 2021, 19, 437–451. [Google Scholar] [CrossRef]
- Ma, H.; Zhang, W.; Song, W.H.; Sun, P.; Jia, Z.H. Effects of tryptophan supplementation on cashmere fiber characteristics, serum tryptophan, and related hormone concentrations in cashmere goats. Domest. Anim. Endocrinol. 2012, 43, 239–250. [Google Scholar] [CrossRef]
- Chomczynski, P.; Sacchi, N. The single-step method of RNA isolation by acid guanidinium thiocyanate–phenol–chloroform extraction: Twenty-something years on. Nat. Protoc. 2006, 1, 581–585. [Google Scholar] [CrossRef]
- Desjardins, P.; Conklin, D. NanoDrop Microvolume Quantitation of Nucleic Acids. J. Vis. Exp. 2010, 45, 2565. [Google Scholar] [CrossRef]
- Parkhomchuk, D.; Borodina, T.; Amstislavskiy, V.; Banaru, M.; Hallen, L.; Krobitsch, S.; Lehrach, H.; Soldatov, A. Transcriptome analysis by strand-specific sequencing of complementary DNA. Nucleic Acids Res. 2009, 37, e123. [Google Scholar] [CrossRef]
- Drmanac, R.; Sparks, A.B.; Callow, M.J.; Halpern, A.L.; Burns, N.L.; Kermani, B.G.; Carnevali, P.; Nazarenko, I.; Nilsen, G.B.; Yeung, G.; et al. Human Genome Sequencing Using Unchained Base Reads on Self-Assembling DNA Nanoarrays. Science 2010, 327, 78–81. [Google Scholar] [CrossRef]
- Li, R.; Li, Y.; Kristiansen, K.; Wang, J. SOAP: Short oligonucleotide alignment program. Bioinformatics 2008, 24, 713–714. [Google Scholar] [CrossRef] [PubMed]
- Kim, D.; Langmead, B.; Salzberg, S.L. HISAT: A fast spliced aligner with low memory requirements. Nat. Methods 2015, 12, 357–360. [Google Scholar] [CrossRef]
- Langmead, B.; Salzberg, S.L. Fast gapped-read alignment with Bowtie 2. Nat. Methods 2012, 9, 357–359. [Google Scholar] [CrossRef]
- Li, B.; Dewey, C.N. RSEM: Accurate transcript quantification from RNA-Seq data with or without a reference genome. BMC Bioinform. 2011, 12, 323. [Google Scholar] [CrossRef] [PubMed]
- Mao, J.; He, J.; Ren, Y.; Li, X.; Yang, C.; Liu, G.; Zhang, G.; Wei, C.; Zhang, W.; Wang, M.; et al. Mining of candidate genes related to prolificacy in Jining grey goats using transcriptomics. BMC Genom. 2025, 27, 64. [Google Scholar] [CrossRef]
- Love, M.I.; Huber, W.; Anders, S. Moderated estimation of fold change and dispersion for RNA-seq data with DESeq2. Genome Biol. 2014, 15, 550. [Google Scholar] [CrossRef]
- Wang, L.; Feng, Z.; Wang, X.; Wang, X.; Zhang, X. DEGseq: An R package for identifying differentially expressed genes from RNA-seq data. Bioinformatics 2010, 26, 136–138. [Google Scholar] [CrossRef]
- Audic, S.; Claverie, J.-M. The Significance of Digital Gene Expression Profiles. Genome Res. 1997, 7, 986–995. [Google Scholar] [CrossRef] [PubMed]
- Benelli, M.; Pescucci, C.; Marseglia, G.; Severgnini, M.; Torricelli, F.; Magi, A. Discovering chimeric transcripts in paired-end RNA-seq data by using EricScript. Bioinformatics 2012, 28, 3232–3239. [Google Scholar] [CrossRef]
- Shen, S.; Park, J.W.; Lu, Z.; Lin, L.; Henry, M.D.; Wu, Y.N.; Zhou, Q.; Xing, Y. rMATS: Robust and flexible detection of differential alternative splicing from replicate RNA-Seq data. Proc. Natl. Acad. Sci. USA 2014, 111, E5593–E5601. [Google Scholar] [CrossRef]
- Qin, Z.; Sun, X.; Sun, L.; Yu, M.; Jiang, H. Transcriptome sequencing reveals the key genes associated with hair follicle development in Qianhua Mutton Merino. Front. Vet. Sci. 2025, 12, 1699868. [Google Scholar] [CrossRef] [PubMed]
- Zhao, P.; Guo, H.; Han, J.; Wang, Z.; Xue, Y.; Zhang, L. Transcriptome sequencing reveals the expression profiles of lncRNAs and mRNAs in goat skin tissues with different types of wool coats. Sci. Rep. 2025, 15, 18977. [Google Scholar] [CrossRef] [PubMed]
- Gong, G.; Bi, S.; Liang, X.; Ao, Y.; Xu, F.; Sulaiman, Y. Molecular mechanisms underlying cashmere quality differences between Jiangnan cashmere goats and Changthangi pashmina goats. Front. Vet. Sci. 2025, 12, 1571803. [Google Scholar] [CrossRef]
- Zhao, J.; Zhang, J.; Chhen, Z.; Xiao, M.; Zhao, Y. Whole-transcriptome RNA sequencing reveals global expression dynamics and ceRNA regulatory networks related to hair follicle development and melanogenesis in goats. Anim. Biosci. 2025, 38, 1841–1857. [Google Scholar] [CrossRef]
- Gong, G.; Fan, Y.; Yan, X.; Li, W.; Yan, X.; Liu, H.; Zhang, L.; Su, Y.; Zhang, J.; Jiang, W.; et al. Identification of Genes Related to Hair Follicle Cycle Development in Inner Mongolia Cashmere Goat by WGCNA. Front. Vet. Sci. 2022, 9, 894380. [Google Scholar] [CrossRef] [PubMed]
- Gong, W.; Liu, J.; Mu, Q.; Chahaer, T.; Liu, J.; Ding, W.; Bou, T.; Wu, Z.; Zhao, Y. Melatonin promotes proliferation of Inner Mongolia cashmere goat hair follicle papilla cells through Wnt10b. Genomics 2024, 116, 110844. [Google Scholar] [CrossRef]
- Zhou, B.; Xi, H.; Yu, Y.; Li, J.; Su, R.; Lv, Q.; Zhang, Y.; Wang, R.; Wang, Z. Comparative analysis of skin transcriptome reveals differences of cashmere fineness in different body parts of Inner Mongolia cashmere goats. Anim. Biosci. 2025, 38, 2612–2623. [Google Scholar] [CrossRef]
- Xie, L.; Li, C.; Tian, J.; Fu, S.; Su, R.; Feng, C.; Chen, M. Integrated transcriptomic and proteomic analysis reveals molecular mechanisms of melatonin-regulated hair follicle growth in cashmere goats and comparative insights across goat breeds. BMC Genom. 2025, 26, 1113. [Google Scholar] [CrossRef]
- Takamura, N.; Yamaguchi, Y. Involvement of caveolin-1 in skin diseases. Front. Immunol. 2022, 13, 1035451. [Google Scholar] [CrossRef]
- King, A.; Balaji, S.; Le, L.D.; Crombleholme, T.M.; Keswani, S.G. Regenerative Wound Healing: The Role of Interleukin-10. Adv. Wound Care (New Rochelle) 2014, 3, 315–323. [Google Scholar] [CrossRef]
- Li, Y.; He, P.-P.; Zhang, D.-W.; Zheng, X.-L.; Cayabyab, F.S.; Yin, W.-D.; Tang, C.-K. Lipoprotein lipase: From gene to atherosclerosis. Atherosclerosis 2014, 237, 597–608. [Google Scholar] [CrossRef] [PubMed]
- Wang, W.; Wang, H.; Long, Y.; Li, Z.; Li, J. Controlling Hair Loss by Regulating Apoptosis in Hair Follicles: A Comprehensive Overview. Biomolecules 2023, 14, 20. [Google Scholar] [CrossRef]
- Higgins, C.A.; Petukhova, L.; Harel, S.; Ho, Y.Y.; Drill, E.; Shapiro, L.; Wajid, M.; Christiano, A.M. FGF5 is a crucial regulator of hair length in humans. Proc. Natl. Acad. Sci. USA 2014, 111, 10648–10653. [Google Scholar] [CrossRef]
- Rhee, H.; Polak, L.; Fuchs, E. Lhx2 Maintains Stem Cell Character in Hair Follicles. Science 2006, 312, 1946–1949. [Google Scholar] [CrossRef]
- Demay, M.B.; MacDonald, P.N.; Skorija, K.; Dowd, D.R.; Cianferotti, L.; Cox, M. Role of the vitamin D receptor in hair follicle biology. J. Steroid Biochem. Mol. Biol. 2007, 103, 344–346. [Google Scholar] [CrossRef]
- Xi, M.; Jiang, J.; Wang, B.; Wang, Y.; Di, M.; Cong, Y.; Zhang, R. Alterations in Methionine Cycle and Wnt/MAPK Signaling Associated with HMBi-Induced Cashmere Growth in Goats. Int. J. Mol. Sci. 2025, 26, 1663. [Google Scholar] [CrossRef] [PubMed]
- Su, R.; Gong, G.; Zhang, L.; Yan, X.; Wang, F.; Zhang, L.; Qiao, X.; Li, X.; Li, J. Screening the key genes of hair follicle growth cycle in Inner Mongolian Cashmere goat based on RNA sequencing. Arch. Anim. Breed. 2020, 63, 155–164. [Google Scholar] [CrossRef] [PubMed]
- Yang, X.; Zheng, L.; Huo, J.; Hu, W.; Liu, B.; Fan, Q.; Zheng, W.; Wang, Q. Combined Analysis of Second- and Third-Generation Transcriptome Sequencing for Gene Characteristics and Identification of Key Splicing Variants in Wound Healing of Ganxi Goat Skin. Animals 2024, 14, 3085. [Google Scholar] [CrossRef]












Disclaimer/Publisher’s Note: The statements, opinions and data contained in all publications are solely those of the individual author(s) and contributor(s) and not of MDPI and/or the editor(s). MDPI and/or the editor(s) disclaim responsibility for any injury to people or property resulting from any ideas, methods, instructions or products referred to in the content. |
© 2026 by the authors. Licensee MDPI, Basel, Switzerland. This article is an open access article distributed under the terms and conditions of the Creative Commons Attribution (CC BY) license.
Share and Cite
Riaz, H.A.; Khan, M.I.; Zahra, K.; Ali, R.; Ji, D. Comparative Skin Transcriptomics Reveals Key Regulators of Cashmere Fiber Production in Inner Mongolian Goats. Animals 2026, 16, 927. https://doi.org/10.3390/ani16060927
Riaz HA, Khan MI, Zahra K, Ali R, Ji D. Comparative Skin Transcriptomics Reveals Key Regulators of Cashmere Fiber Production in Inner Mongolian Goats. Animals. 2026; 16(6):927. https://doi.org/10.3390/ani16060927
Chicago/Turabian StyleRiaz, Hafiza Arooba, Muhammad Irfan Khan, Kiran Zahra, Rahmat Ali, and Dejun Ji. 2026. "Comparative Skin Transcriptomics Reveals Key Regulators of Cashmere Fiber Production in Inner Mongolian Goats" Animals 16, no. 6: 927. https://doi.org/10.3390/ani16060927
APA StyleRiaz, H. A., Khan, M. I., Zahra, K., Ali, R., & Ji, D. (2026). Comparative Skin Transcriptomics Reveals Key Regulators of Cashmere Fiber Production in Inner Mongolian Goats. Animals, 16(6), 927. https://doi.org/10.3390/ani16060927

