Tear Protein Alteration in Dogs with Keratoconjunctivitis Sicca
Simple Summary
Abstract
1. Introduction
2. Materials and Methods
2.1. Animals and Diagnostic Criteria
2.2. Tear Collection and Protein Concentration Measurement
2.3. Two-Dimensional Electrophoresis (2DE)
2.4. In-Gel Digestion and Protein Identification
2.5. Low-Molecular-Weight Peptide Profiling
2.6. Statistical Analysis
3. Results
3.1. Tear Production and Total Protein Concentration
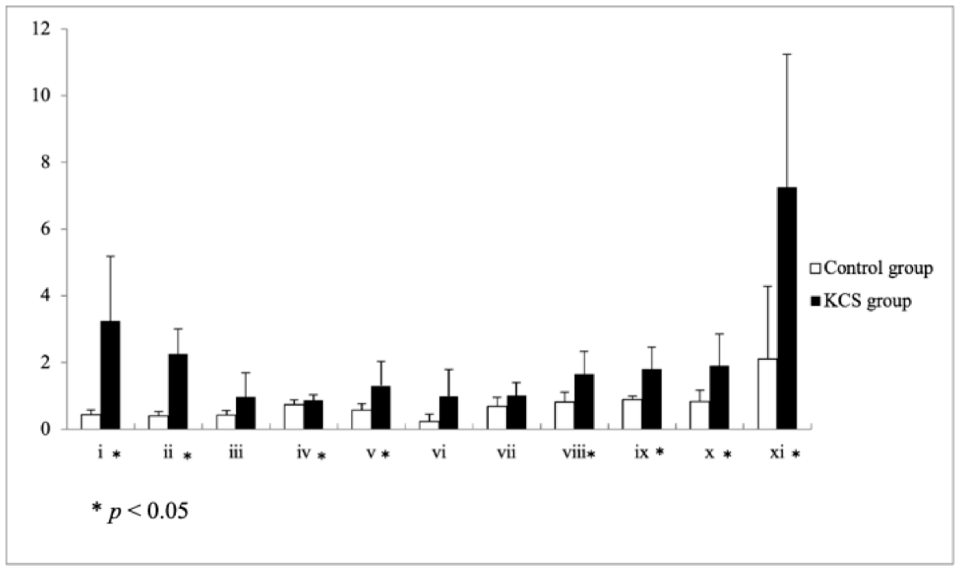
3.2. Disease-Associated Protein Spot Changes Revealed by 2DE
3.3. Protein Identification by PMF
3.4. LMW Peptide Profiling of Neat Tear Samples by MALDI-TOF MS
3.5. Summary of Compositional Shifts
4. Discussion
5. Limitations
6. Conclusions
Supplementary Materials
Author Contributions
Funding
Institutional Review Board Statement
Informed Consent Statement
Data Availability Statement
Acknowledgments
Conflicts of Interest
References
- Stapleton, F.; Argueso, P.; Asbell, P.; Azar, D.; Bosworth, C.; Chen, W.; Ciolino, J.B.; Craig, J.P.; Gallar, J.; Galor, A.; et al. TFOS DEWS III: Digest. Am. J. Ophthalmol. 2025, 279, 451–553. [Google Scholar] [CrossRef]
- Gao, J.; Gelber-Schwalb, T.A.; Addeo, J.V.; Stern, M.E. Apoptosis in the lacrimal gland and conjunctiva of dry eye dogs. In Lacrimal Gland, Tear Film, and Dry Eye Syndromes 2; Advances in Experimental Medicine and Biology; Springer: Boston, MA, USA, 1998; Volume 438, pp. 453–460. [Google Scholar] [CrossRef]
- Quimby, F.W.; Schwartz, R.S.; Poskitt, T.; Lewis, R.M. A disorder of dogs resembling Sjogren’s syndrome. Clin. Immunol. Immunopathol. 1979, 12, 471–476. [Google Scholar] [CrossRef]
- Jung, J.H.; Ji, Y.W.; Hwang, H.S.; Oh, J.W.; Kim, H.C.; Lee, H.K.; Kim, K.P. Proteomic analysis of human lacrimal and tear fluid in dry eye disease. Sci. Rep. 2017, 7, 13363. [Google Scholar] [CrossRef]
- Dor, M.; Eperon, S.; Lalive, P.H.; Guex-Crosier, Y.; Hamedani, M.; Salvisberg, C.; Turck, N. Investigation of the global protein content from healthy human tears. Exp. Eye Res. 2019, 179, 64–74. [Google Scholar] [CrossRef]
- Perumal, N.; Funke, S.; Wolters, D.; Pfeiffer, N.; Grus, F.H. Characterization of human reflex tear proteome reveals high expression of lacrimal proline-rich protein 4 (PRR4). Proteomics 2015, 15, 3370–3381. [Google Scholar] [CrossRef]
- Ma, J.Y.W.; Sze, Y.H.; Bian, J.F.; Lam, T.C. Critical role of mass spectrometry proteomics in tear biomarker discovery for multifactorial ocular diseases (Review). Int. J. Mol. Med. 2021, 47, 83. [Google Scholar] [CrossRef] [PubMed]
- Winiarczyk, M.; Winiarczyk, D.; Banach, T.; Adaszek, L.; Madany, J.; Mackiewicz, J.; Pietras-Ozga, D.; Winiarczyk, S. Dog tear film proteome in-depth analysis. PLoS ONE 2015, 10, e0144242. [Google Scholar] [CrossRef]
- Graham, K.L.; Diefenbach, E.; McCowan, C.I.; White, A.J.R. A technique for shotgun proteomic analysis of the precorneal tear film in dogs with naturally occurring primary glaucoma. Vet. Ophthalmol. 2020, 24, 131–145. [Google Scholar] [CrossRef] [PubMed]
- Winiarczyk, D.; Winiarczyk, M.; Michalak, K. Proteomic analysis of tear films in healthy female and male dogs using MALDI-TOF (matrix assisted laser desortion/ionization time-of-flight) mass spectrometry. Animals 2025, 15, 904. [Google Scholar] [CrossRef]
- Winiarczyk, D.; Winiarczyk, M.; Balicki, I.; Szadkowski, M.; Michalak, K.; Winiarczyk, S.; Adaszek, L. Proteomic analysis of tear film in canine diabetic patients with and without retinopathy. J. Vet. Res. 2022, 66, 629–635. [Google Scholar] [CrossRef] [PubMed]
- Spitznagel, K.M.; Mikeska, R.; Jost, H.; McGrath, S.; Mehaffy, C.; Henriksen, M.L. Detection of pro-inflammatory cytokines in healthy canine tears using Canine Cytokine SpikeMix mass spectrometry via multiple reaction monitoring. Vet. Ophthalmol. 2023, 26, 565–569. [Google Scholar] [CrossRef]
- Giuliano, E.A. Diseases and surgery of the canine lacrimal secretory system. In Vet Ophthalmol, 6th ed.; Gelatt, K.N., Ed.; John Wiley & Sons, Inc.: Hoboken, NJ, USA, 2021; Volume I, pp. 1019–1046. [Google Scholar]
- Görg, A.; Obermaier, C.; Boguth, G.; Harder, A.; Scheibe, B.; Wildgruber, R.; Weiss, W. The current state of two-dimensional electrophoresis with immobilized pH gradients. Electrophoresis 2000, 21, 1037–1053. [Google Scholar] [CrossRef]
- Görg, A.; Klaus, A.; Lück, C.; Weiland, F.; Weiss, W. Two-Dimensional Electrophoresis with Immobilized PH Gradients for Proteome Analysis: A Laboratory Manual; Technical University of Munich: Munich, Germany, 2007. [Google Scholar]
- Schneider, C.A.; Rasband, W.S.; Eliceiri, K.W. NIH Image to ImageJ: 25 years of image analysis. Nat. Methods 2012, 9, 671–675. [Google Scholar] [CrossRef]
- Pappin, D.J.; Højrup, P.; Bleasby, A.J. Rapid identification of proteins by peptide-mass fingerprinting. Curr. Biol. 1993, 3, 327–332. [Google Scholar] [CrossRef]
- Henzel, W.J.; Billeci, T.M.; Stults, J.T.; Wong, S.C.; Grimley, C.; Watanabe, C. Identifying proteins from two-dimensional gels by molecular mass searching of peptide fragments in protein sequence databases. Proc. Natl. Acad. Sci. USA 1993, 90, 5011–5015. [Google Scholar] [CrossRef]
- Yasui, T.; Miyata, K.; Nakatsuka, C.; Tsukise, A.; Gomi, H. Morphological and histochemical characterization of the secretory epithelium in the canine lacrimal gland. Eur. J. Histochem. 2021, 65, 3320. [Google Scholar] [CrossRef] [PubMed]
- Flanagan, J.; Willcox, M. Role of lactoferrin in the tear film. Biochimie 2009, 91, 35–43. [Google Scholar] [CrossRef] [PubMed]
- Li, B.; Sheng, M.; Li, J.; Yan, G.; Lin, A.; Li, M.; Wang, W.; Chen, Y. Tear proteomic analysis of Sjogren syndrome patients with dry eye syndrome by two-dimensional-nano-liquid chromatography coupled with tandem mass spectrometry. Sci. Rep. 2014, 4, 5772. [Google Scholar] [CrossRef]
- Versura, P.; Bavelloni, A.; Grillini, M.; Fresina, M.; Campos, E. Diagnostic performance of a tear protein panel in early dry eye. Mol. Vis. 2013, 19, 1247–1257. [Google Scholar]
- Yoon, S.P.; Yu, Z.; Pflugfelder, S.C.; de Paiva, C.S. Differentially expressed tear proteins in Sjögren’s syndrome keratoconjunctivitis sicca. Transl. Vis. Sci. Technol. 2023, 12, 8. [Google Scholar] [CrossRef] [PubMed]
- Kuo, M.T.; Fang, P.C.; Chao, T.L.; Chen, A.; Lai, Y.H.; Huang, Y.T.; Tseng, C.Y. Tear proteomics approach to monitoring Sjögren’s syndrome or dry eye disease. Int. J. Mol. Sci. 2019, 20, 1932. [Google Scholar] [CrossRef]
- Williams, D.L. Immunopathogenesis of keratoconjunctivitis sicca in the dog. Vet. Clin. N. Am. Small Anim. Pract. 2008, 38, 251–268. [Google Scholar] [CrossRef]
- Kaswan, R.; Pappas, C., Jr.; Wall, K.; Hirsh, S.G. Survey of canine tear deficiency in veterinary practice. In Lacrimal Gland, Tear Film, and Dry Eye Syndromes 2; Advances in Experimental Medicine and Biology; Springer: Boston, MA, USA, 1998; Volume 438, pp. 931–939. [Google Scholar] [CrossRef]
- Bunya, V.Y.; Fernandez, K.B.; Ying, G.S.; Massaro-Giordano, M.; Macchi, I.; Sulewski, M.E.; Hammersmith, K.M.; Nagra, P.K.; Rapuano, C.J.; Orlin, S.E. Survey of ophthalmologists regarding practice patterns for dry eye and Sjögren’s syndrome. Eye Contact Lens 2018, 44, S196–S201. [Google Scholar] [CrossRef]
- Sussadee, M.; Rucksaken, R.; Havanapan, P.O.; Reamtong, O.; Thayananuphat, A. Changes in tear protein profile in dogs with keratoconjunctivitis sicca following topical treatment using cyclosporine A. Vet. World 2021, 14, 1711–1717. [Google Scholar] [CrossRef]
- Zhou, L.; Beuerman, R.W.; Chan, C.M.; Zhao, S.Z.; Li, X.R.; Yang, H.; Tong, L.; Liu, S.; Stern, M.E.; Tan, D. Identification of tear fluid biomarkers in dry eye syndrome using iTRAQ quantitative proteomics. J. Proteome Res. 2009, 8, 4889–4905. [Google Scholar] [CrossRef] [PubMed]
- Versura, P.; Nanni, P.; Bavelloni, A.; Blalock, W.L.; Piazzi, M.; Roda, A.; Campos, E.C. Tear proteomics in evaporative dry eye disease. Eye 2010, 24, 1396–1402. [Google Scholar] [CrossRef] [PubMed]
- Ham, B.M.; Jacob, J.T.; Cole, R.B. Single-eye analysis and contralateral-eye comparison of tear proteins in normal and dry eye model rabbits by MALDI-ToF mass spectrometry using wax-coated target plates. Anal. Bioanal. Chem. 2007, 387, 889–900. [Google Scholar] [CrossRef] [PubMed][Green Version]




| Dog ID | Group | Breed | Sex | Age (Years) | STT OD (mm/min) | STT OS (mm/min) |
|---|---|---|---|---|---|---|
| H1 | Healthy | Beagle | F | 4.8 | 35 | 27 |
| H2 | Healthy | Beagle | M | 2.1 | 15 | 18 |
| H3 | Healthy | Beagle | M | 2.1 | 23 | 25 |
| H4 | Healthy | Beagle | F | 3 | 20 | 21 |
| H5 | Healthy | Beagle | F | 3.1 | 20 | 25 |
| Healthy summary | M:2/F:3 | 2.8 (range 2.1–4.8) | 22.6 (range 15–35) | 23.2 (range 18–27) | ||
| K1 | KCS | Beagle | F | 4.7 | 3 | 3 |
| K2 | KCS | Beagle | F | 10.5 | 3 | — |
| K3 | KCS | Beagle | F | 7 | 6 | — |
| K4 | KCS | Beagle | M | 9.5 | — | 7 |
| K5 | KCS | Beagle | F | 4.4 | 7 | 12 |
| K6 | KCS | Beagle | F | 4.7 | 7 | 5 |
| K7 | KCS | Beagle | M | 9.3 | 12 | 7 |
| KCS summary | M:2/F:5 | 7.0 (range 4.4–10.5) | 6.3 (range 3–12) | 6.8 (range 3–12) | ||
| p value | — | <0.001 | <0.001 |
| Parameter | Healthy Dogs (Mean ± SD) Dogs | Dogs with KCS (Mean ± SD) | Relative Ratio (KCS/Healthy) |
|---|---|---|---|
| Schirmer tear test (STT, mm/min) | 22.9 ± 5.6 | 5.4 ± 1.8 | 0.24× |
| Protein concentration (mg/mL, UV method) | 11.5 ± 1.8 | 30.7 ± 13.5 | 2.7× |
| Estimated total tear protein flux (volume × concentration, normalized) | — | — | 0.64× |
| No. | Coverage (%) | TIC (%) | Mean Error (Da) | Data Tolerance (Da) | MS-Digest Index | Protein MW (Da/pI) | Accession No. | Protein Name |
|---|---|---|---|---|---|---|---|---|
| 1 | 37.0 | 44.0 | 0.0289 | 0.2550 | 11,966 | 68,605/5.5 | P49822 | Serum albumin |
| 2 | 43.6 | 43.0 | 0.0383 | 0.2420 | 1,983,882 | 77,296/8.6 | Q9XSJ6 (canine lactotransferrin) | Lactotransferrin isoform 1 |
| 3 | 25.3 | 22.0 | 0.0986 | 0.3490 | 2,248,327 | 51,843/6.2 | A0A5F4C7V2 (canine IgG heavy chain constant region) | Immunoglobulin gamma heavy chain C |
| 4 | 58.6 | 26.0 | 0.1180 | 0.3350 | 118,387 | 19,248/5.9 | O18873 | Major allergen Can f 1 |
| 5 | 36.4 | 22.0 | −0.0137 | 0.0223 | 129,505 | 14,472/8.6 | P81708 | Lysozyme C, milk isozyme |
| Protein | Function Category | Representative Functions | References |
|---|---|---|---|
| Serum albumin | Transport/Osmoregulation | Carrier protein; maintains osmotic pressure | [18] |
| Lactotransferrin isoform 1 | Antimicrobial/Immune | Iron-binding; bacteriostatic | [19,20] |
| Ig gamma heavy chain C | Immune response | Major component of IgG | [20,21] |
| Lysozyme C | Antimicrobial | Hydrolyzes peptidoglycan | [18] |
| Can f 1 | Allergens/Immune | Lipocalin family; antigenic protein | [8,10] |
Disclaimer/Publisher’s Note: The statements, opinions and data contained in all publications are solely those of the individual author(s) and contributor(s) and not of MDPI and/or the editor(s). MDPI and/or the editor(s) disclaim responsibility for any injury to people or property resulting from any ideas, methods, instructions or products referred to in the content. |
© 2026 by the authors. Licensee MDPI, Basel, Switzerland. This article is an open access article distributed under the terms and conditions of the Creative Commons Attribution (CC BY) license.
Share and Cite
Yogo, T.; Terakado, K.; Katayama, K. Tear Protein Alteration in Dogs with Keratoconjunctivitis Sicca. Animals 2026, 16, 160. https://doi.org/10.3390/ani16020160
Yogo T, Terakado K, Katayama K. Tear Protein Alteration in Dogs with Keratoconjunctivitis Sicca. Animals. 2026; 16(2):160. https://doi.org/10.3390/ani16020160
Chicago/Turabian StyleYogo, Takuya, Kunihiko Terakado, and Kinya Katayama. 2026. "Tear Protein Alteration in Dogs with Keratoconjunctivitis Sicca" Animals 16, no. 2: 160. https://doi.org/10.3390/ani16020160
APA StyleYogo, T., Terakado, K., & Katayama, K. (2026). Tear Protein Alteration in Dogs with Keratoconjunctivitis Sicca. Animals, 16(2), 160. https://doi.org/10.3390/ani16020160

