Continental vs. Insular: Demographic and Growth Patterns in Acanthodactylus schreiberi
Simple Summary
Abstract
1. Introduction
2. Materials and Methods
2.1. Species and Study Sites
2.2. Age Determination
2.3. Statistics and Software
3. Results
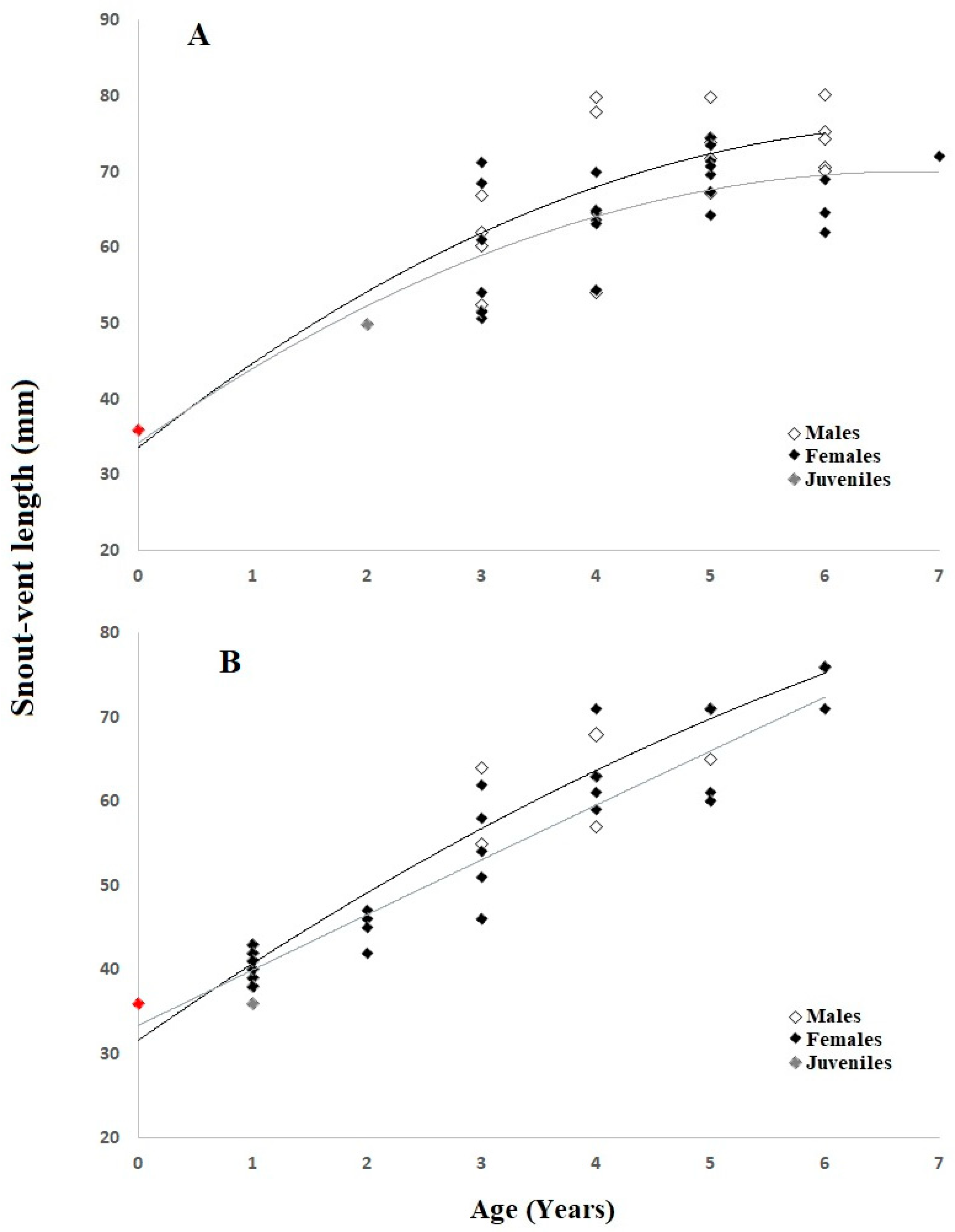
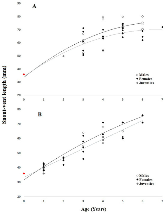
3.1. Demographic Parameters and Body Size in the Continental Population (Botaş, Türkiye)
3.2. Demographic Parameters and Body Size in the Insular Population (Dipkarpaz, Northern Cyprus)
3.3. Comparison of the Continental (BOTAŞ) and Insular Populations (Dipkarpaz)
4. Discussion
5. Conclusions
Supplementary Materials
Author Contributions
Funding
Institutional Review Board Statement
Informed Consent Statement
Data Availability Statement
Acknowledgments
Conflicts of Interest
References
- Stearns, S.C. The Evolution of Life Histories; Oxford University Press: Oxford, UK, 1992. [Google Scholar]
- Adolph, S.C.; Porter, P.W. Growth, seasonality, and lizard life histories: Age and size at maturity. Oikos 1996, 77, 267–278. [Google Scholar] [CrossRef]
- Frýdlová, P.; Mrzílková, J.; Šeremeta, M.; Křemen, J.; Dudák, J.; Žemlička, J.; Minnich, B.; Kverková, K.; Němec, P.; Zach, P.; et al. Determinate growth is predominant and likely ancestral in squamate reptiles. Proc. R. Soc. B Biol. Sci. 2020, 287, 20202737. [Google Scholar] [CrossRef] [PubMed]
- Adler, G.H.; Levins, R. The Island Syndrome in Rodent Populations. Q. Rev. Biol. 1994, 69, 473–490. [Google Scholar] [CrossRef]
- Lomolino, M.V. Body size evolution in insular vertebrates: Generality of the island rule. J. Biogeogr. 2005, 32, 1683–1699. [Google Scholar] [CrossRef]
- Raia, P.; Guarino, F.M.; Turano, M.; Polese, G.; Rippa, D.; Carotenuto, F.; Monti, D.M.; Cardi, M.; Fulgione, D. The blue lizard spandrel and the island syndrome. BMC Evol. Biol. 2010, 10, 289. [Google Scholar] [CrossRef]
- Núñez, S.; Michelle, L. Size, Shape, and Sexual Dimorphism of Island and Mainland Melanerpes Woodpeckers of the Centurus Clade. Master’s Thesis, Loma Linda University, Loma Linda, CA, USA, 2019. Available online: https://scholarsrepository.llu.edu/etd/1876/ (accessed on 24 December 2024).
- Ağdağ, M.; Yıldız, M.Z.; Altunışık, A. Comparison of Demographic Life-History Traits of the Snake-Eyed Skink: Observations From an Island and a Mainland Population. Ecol. Evol. 2025, 15, e70699. [Google Scholar] [CrossRef] [PubMed]
- Meiri, S.; Cooper, N.; Purvis, A. The island rule: Made to be broken? Proc. R. Soc. B Biol. Sci. 2008, 275, 141–148. [Google Scholar] [CrossRef] [PubMed]
- Kratochvíl, L.; Fokt, M.; Rehák, I.; Frynta, D. Misinterpretation of character scaling: A tale of sexual dimorphism in body shape of common lizards. Can. J. Zool. 2003, 81, 1112–1117. [Google Scholar] [CrossRef]
- Frýdlová, P.; Velenský, P.; Šimková, O.; Cikánová, V.; Hnízdo, J.; Rehák, I.; Frynta, D. Is body shape of mangrove-dwelling monitor lizards (Varanus indicus; Varanidae) sexually dimorphic? Amphib. Reptil. 2011, 32, 27–37. [Google Scholar] [CrossRef]
- Cruz-Elizalde, R.; Ramírez-Bautista, A.; Pacheco, L.F.R.; Lozano, A.; Rodríguez-Romero, F.d.J. Sexual dimorphism in size and shape among populations of the lizard Sceloporus variabilis (Squamata: Phrynosomatidae). Zoology 2020, 140, 125781. [Google Scholar] [CrossRef]
- Muraro, M.; Sherpa, S.; Barzaghi, B.; Bombi, P.; Borgatti, D.; Di Canio, V.; Dalpasso, A.; Falaschi, M.; Gambioli, B.; Manenti, R.; et al. Condition-and context-dependent variation of sexual dimorphism across lizard populations at different spatial scales. Sci. Rep. 2022, 12, 16969. [Google Scholar] [CrossRef] [PubMed]
- Shine, R. Ecological Causes for the Evolution of Sexual Dimorphism: A Review of the Evidence. Q. Rev. Biol. 1989, 64, 419–461. [Google Scholar] [CrossRef]
- Case, T.J. Species Numbers, Density Compensation, and Colonizing Ability of Lizards on Islands in the Gulf of California. Ecology 1975, 56, 3–18. [Google Scholar] [CrossRef]
- Hraoui-Bloquet, S.; Sadek, R.; Werner, Y.; Lymberakis, P.; Tok, V.; Ugurtas, İ.H.; Se-vinç, M.; Böhme, W.; Kaska, Y.; Kumlutaş, Y.; et al. The IUCN Red List of Threatened Species, Acanthodactylus schreiberi, 2019. Available online: http://dx.doi.org/10.2305/IUCN.UK.2009.RLTS.T61462A12489118.en (accessed on 28 December 2024).
- Bowles, P. The IUCN Red List of Threatened Species, Acanthodactylus schreiberi, 2024. Available online: https://dx.doi.org/10.2305/IUCN.UK.2024-1.RLTS.T222350753A207990075.en (accessed on 29 January 2025).
- Baier, F.; Sparrow, D.J.; Wiedl, H.J. The Amphibians and Reptiles of Cyprus; Edition Chimaira: Frankfurt, Germany, 2013. [Google Scholar]
- Antoniou, T.; Dimitriou, A.C.; Karameta, E.; Antoniou, A.; Poulakakis, N.; Sfendourakis, S. Genetic Diversity Patterns and Population Structure of Cyprus’ Endemic Lacertids. In Proceedings of the 15th International Congress on the Zoogeography and Ecology of Greece and Adjacent Regions, Mytilene, Greece, 2–15 October 2022. [Google Scholar]
- Tamar, K.; Carranza, S.; Sindaco, R.; Moravec, J.; Meiri, S. Systematics and phylogeography of Acanthodactylus schreiberi and its relationships with Acanthodactylus boskianus. Zool. J. Linn. Soc. 2014, 172, 720–739. [Google Scholar] [CrossRef]
- Bülbül, U.; Koç-Gür, H.; Özkan, H. Age and Body Size of the Endangered Lizard Species, Acanthodactylus schreiberi (Boulenger, 1878) in Türkiye. In International Theory, Research and Reviews in Science and Mathematics; Serüven Yayınevi: Ankara, Türkiye, 2023. [Google Scholar]
- Andersson, M. Sexual Selection; Princeton University Press: Princeton, NY, USA, 1994; Available online: https://press.princeton.edu/books/paperback/9780691000572/sexual-selection?srsltid=AfmBOopuNBmpbxhZM6d72JRzKkr-Te8_256f78Ep0Iy7DQQXNhsfjzrH (accessed on 30 December 2024).
- Cox, R.M.; Skelly, S.L.; John-Alder, H.B. A Comparative Test of Adaptive Hypotheses For Sexual Size Dimorphism In Lizards. Evolution 2003, 57, 1653–1669. [Google Scholar]
- Zamudio, K.R. The Evolution of Female-Biased Sexual Size Dimorphism: A Population-Level Comparative Study in Horned Lizards (Phrynosoma). Evolution 1998, 52, 1821–1833. [Google Scholar]
- Olsson, M.; Shine, R. Does reproductive success increase with age or with size in species with indeterminate growth? A case study using sand lizards (Lacerta agilis). Oecologia 1996, 105, 175–178. [Google Scholar] [CrossRef]
- Scharf, I.; Meiri, S. Sexual dimorphism of heads and abdomens: Different approaches to ‘being large’ in male and female lizards. Biol. J. Linn. Soc. 2013, 110, 665–673. [Google Scholar] [CrossRef]
- Boback, S.M.; Guyer, C. Empirical evidence for an optimal body size in snakes. Evolution 2003, 57, 345–351. [Google Scholar]
- Castanet, J.; Croci, S.; Aujard, F.; Perret, M.; Cubo, J.; De Ricqles, A. Bone growth and life history traits in vertebrates: A review. Biol. J. Linn. Soc. 1993, 50, 21–34. [Google Scholar]
- Andrews, R.M. Patterns of growth in reptiles. In Biology of the Reptilia; Gans, C., Poug, F.H., Eds.; Academic Press: New York, NY, USA, 1982; Volume 13, pp. 273–320. [Google Scholar]
- Yıldız, M.Z.; Akman, B. Hatay İli İskenderun Kertenkelesi Tür Eylem Planıraporu. Orman ve Su İşleri Bakanlığı, Doğa Koruma ve Milli Parklar Genel Müdürlüğü, 7. Bölge Müdürlüğü, Hatay Şube Müdürlüğü. Hatay, Türkiye, 2015. (In Turkish). Available online: https://www.tarimorman.gov.tr/DKMP/Belgeler/T%C3%9CR%20EYLEM%20PLANI/%C4%B0skenKert.pdf (accessed on 2 December 2024).
- Yalçınkaya, D. Anadolu ve Kıbrıs Acanthodactylus schreiberi Boulenger, 1879 (Squamata: Sauria: Lacertidae) populasyonlarının morfolojik, serolojik ve ekolojik yönden karşılaştırılması; Yüksek Lisans Tezi, Fen Bilimleri Enstitüsü, Ege Universitesi: Bornova, Türkiye, 2008. [Google Scholar]
- Göçmen, B.; Atatür, M.; Budak, A.; Bahar, H.; Yildiz, M.Z.; Alpagut-Keskin, N. Taxonomic notes on the snakes of Northern Cyprus, with observations on their morphologies and ecologies. Anim. Biol. 2009, 59, 1–30. [Google Scholar] [CrossRef]
- Atatür, M.K.; Göçmen, B. Kuzey Kıbrıs’ın Kurbağa ve Sürüngenleri; Ege Üniversitesi Fen Fakültesi Kitaplar Serisi, No: 170; Ege Universitesi: Bornova, Türkiye, 2001. (In Turkish) [Google Scholar]
- Meteorolojik Arşiv Yumurtalık. Available online: https://www.meteoblue.com/tr/hava/historyclimate/weatherarchive/yumurtal%C4%B1k_t%C3%BCrkiye_296137?fcstlength=1y&year=2024&month=12 (accessed on 29 January 2025).
- Meteorolojik Arşiv Rizokárpaso. Available online: https://www.meteoblue.com/tr/hava/historyclimate/weatherarchive/rizok%c3%a1rpaso_k%c4%b1br%c4%b1s_146105?fcstlength=1y&year=2024&month=12 (accessed on 29 January 2025).
- Akman, B. Distribution and some ecological features of Acanthodactylus schreiberi Boulenger, 1878 in Anatolia. Biol. Divers. Conserv. 2019, 12, 1–8. [Google Scholar] [CrossRef]
- Altunışık, A.; Yıldız, M.Z.; Tatlı, H.H.; Yalçınkaya, D.; Akman, B. Life-history evolution in the orange-tailed skink populations living in different climates. Ecol. Evol. 2024, 14, e11521. [Google Scholar] [CrossRef]
- Smirina, E.M. Age Determination and Longevity in Amphibians. Gerontology 1994, 40, 133–146. [Google Scholar] [CrossRef] [PubMed]
- Gibbons, M.M.; McCarthy, T.K. Age Determination of Frogs and Toads (Amphibia, Anura) from North-western Europe. Zool. Scr. 1983, 12, 145–151. [Google Scholar] [CrossRef]
- Altunışık, A.; Üçeş, F.; Yıldız, M.Z. Demographic Life-History Traits in Two Populations of Cyrtopodion scabrum (Squamata: Gekkonidae). South Am. J. Herpetol. 2022, 24, 75–82. [Google Scholar]
- Guarino, F.M.; Garcia, G.; Andreone, F. Huge but moderately long-lived: Age structure in Leptodactylus fallax, a critically endangered frog from Montserrat, West Indies. Herpetol. J. 2014, 24, 167–173. [Google Scholar]
- Altunışık, A.; Yıldız, M.Z.; Üçeş, F.; Bozkurt, M.A.; Sömer, M. Altitude impacts body size but not age in the Asia Minor Thin-toed Gecko (Mediodactylus heterocercus). Can. J. Zool. 2022, 100, 315–321. [Google Scholar] [CrossRef]
- Lovich, J.E.; Gibbons, J.W. A review of techniques for quantifying sexual size dimorphism. Growth Dev. Aging 1992, 56, 269–281. Available online: http://www.ncbi.nlm.nih.gov/pubmed/1487365 (accessed on 4 December 2024).
- Robson, D.S.; Chapman, D.G. Catch Curves and Mortality Rates. Trans. Am. Fish. Soc. 1961, 90, 181–189. [Google Scholar] [CrossRef]
- Ryser, J. Determination of growth and maturation in the common frog, Rana temporaria, by skeletochronology. J. Zool. Lond. 1988, 216, 673–685. [Google Scholar] [CrossRef]
- Seber, G.A.F. The Estimation of Animal Abundance and Related Parameters; Hafner Press: New York, NY, USA, 1973. [Google Scholar]
- Guarino, F.M.; Di Già, I.; Sindaco, R. Age and growth of the sand lizards (Lacerta agilis) from a high Alpine population of north-western Italy. Acta Herpetol. 2010, 5, 23–29. [Google Scholar] [CrossRef]
- Üzüm, N.; Ilgaz, Ç.; Kumlutaş, Y.; Gümüş, Ç.; Avcı, A. The body size, age structure, and growth of Bosc’s fringe-toed lizard, Acanthodactylus boskianus (Daudin, 1802), Turk. J. Zool. 2014, 38, 383–388. [Google Scholar]
- Beşer, N.; Ilgaz, Ç.; Kumlutaş, Y.; Avcı, A.; Candan, K.; Üzüm, N. Age structure and body size of a critically endangered species, Acanthodactylus harranensis (Squamata: Lacertidae) and its demography. Anim. Biol. 2019, 69, 421–431. [Google Scholar] [CrossRef]
- Altunışık, A.; Eksilmez, H. Age, growth and survival rate in two populations of Darevskia derjugini (Nikolsky, 1898) from different altitudes (Squamata: Sauria: Lacertidae). Anim. Biol. 2021, 71, 135–149. [Google Scholar] [CrossRef]
- Fairbairn, D.J.; Blanckenhorn, W.U.; Székely, T. Sex, Size and Gender Roles: Evolutionary Studies of Sexual Size Dimorphism; Oxford University Press: Oxford, UK, 2007. [Google Scholar]
- Roitberg, E.S.; Smirina, E.M. Age, body size and growth of Lacerta agilis boemica and L. strigata: A comparative study of two closely related lizard species based on skeletochronology. Herpetol. J. 2006, 16, 133–148. [Google Scholar]




| Location | SVL (mm) | Age (Years) | Longevity (Years) | |||
|---|---|---|---|---|---|---|
| Male | Female | Male | Female | Male | Female | |
| Continental Population, Türkiye | 70.03 | 64.54 | 4.65 | 4.36 | 6 | 7 | 
| Insular Population, Cyprus | 65.22 | 57.50 | 4.22 | 3.85 | 6 | 6 | 
| Group | Sex | N | Growth Rate ± SE | k | SVLmax | ESP | Svr | SDI | 
|---|---|---|---|---|---|---|---|---|
| Türkiye | Males | 17 | 6.14 ± 1.92 | 0.41 | 80.47 | 6.06 | 0.82 | 0.09 | 
| Females | 25 | 4.61 ± 1.76 | 0.53 | 71.94 | 5.80 | 0.81 | ||
| Cyprus | Males | 9 | 7.25 ± 1.17 | 0.19 | 98.86 | 5.32 | 0.79 | 0.13 | 
| Females | 20 | 2.54 ± 0.26 | 0.05 | 107.2 | 4.46 | 0.75 | 
| Disclaimer/Publisher’s Note: The statements, opinions and data contained in all publications are solely those of the individual author(s) and contributor(s) and not of MDPI and/or the editor(s). MDPI and/or the editor(s) disclaim responsibility for any injury to people or property resulting from any ideas, methods, instructions or products referred to in the content. | 
© 2025 by the authors. Licensee MDPI, Basel, Switzerland. This article is an open access article distributed under the terms and conditions of the Creative Commons Attribution (CC BY) license (https://creativecommons.org/licenses/by/4.0/).
Share and Cite
Kara, B.; Yıldız, M.Z.; Yalçınkaya, D.; Altunışık, A. Continental vs. Insular: Demographic and Growth Patterns in Acanthodactylus schreiberi. Animals 2025, 15, 474. https://doi.org/10.3390/ani15040474
Kara B, Yıldız MZ, Yalçınkaya D, Altunışık A. Continental vs. Insular: Demographic and Growth Patterns in Acanthodactylus schreiberi. Animals. 2025; 15(4):474. https://doi.org/10.3390/ani15040474
Chicago/Turabian StyleKara, Büşra, Mehmet Zülfü Yıldız, Deniz Yalçınkaya, and Abdullah Altunışık. 2025. "Continental vs. Insular: Demographic and Growth Patterns in Acanthodactylus schreiberi" Animals 15, no. 4: 474. https://doi.org/10.3390/ani15040474
APA StyleKara, B., Yıldız, M. Z., Yalçınkaya, D., & Altunışık, A. (2025). Continental vs. Insular: Demographic and Growth Patterns in Acanthodactylus schreiberi. Animals, 15(4), 474. https://doi.org/10.3390/ani15040474
 
        



 
       