Revival of Tigers: Long-Term Trends (2009–2022) in the Relative Abundance Index of Tigers, Prey, and Anthropogenic Disturbance in Parsa National Park, Nepal
Simple Summary
Abstract
1. Introduction
2. Materials and Methods
2.1. Study Area
2.2. Camera Trapping
2.3. Data Collection
2.4. Data Analysis
3. Results
3.1. Percentage of Camera Trap Photographs and Independent Photo Captures
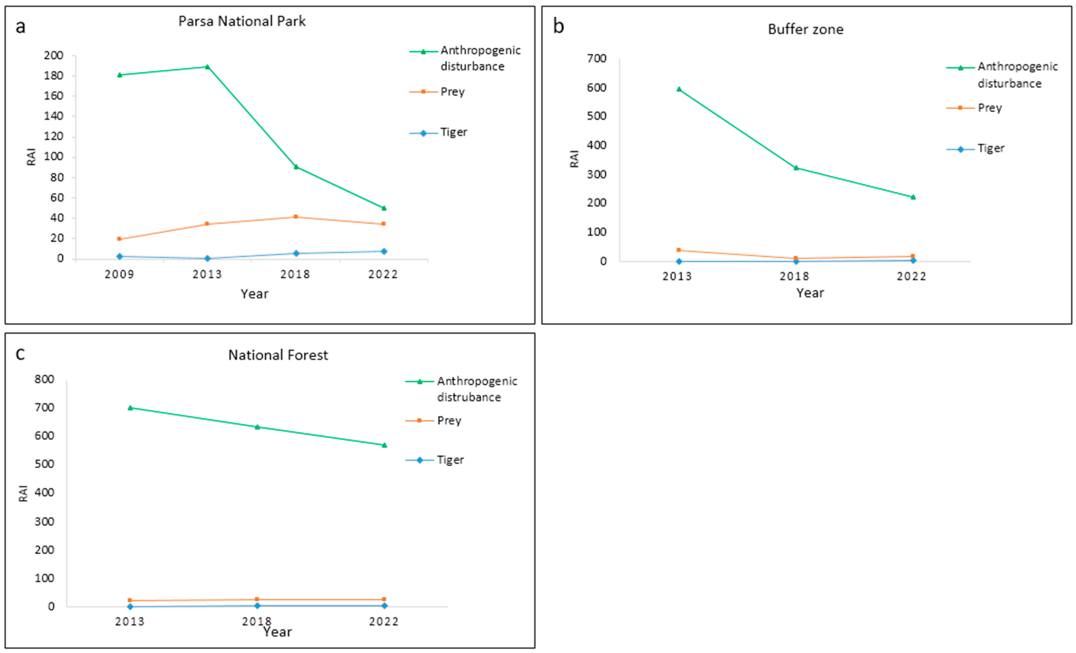
3.2. Relative Abundance Index (RAI)
| Parsa National Park (PNP) | Year | |||||
| Species | Scientific Name | IUCN Status | 2009 | 2013 | 2018 | 2022 |
| RAI (±SE) | RAI (±SE) | RAI (±SE) | RAI (±SE) | |||
| Tiger | Panthera tigris | EN | 2.65 ± 1.63 | 0.32 ± 0.18 | 5.14 ± 2.71 | 7.11 ± 1.58 |
| Sambar | Rusa unicolor | VU | 3.63 ± 1.62 | 7.47 ± 1.64 | 8.15 ± 1.05 | 4.96 ± 0.79 |
| Spotted deer | Axis axis | LC | 1.59 ± 0.76 | 4.11 ± 0.80 | 10.15 ± 6.14 | 6.57 ± 2.24 |
| Wild boar | Sus scrofa | LC | 3.07 ± 0.70 | 12.95 ± 2.56 | 4.98 ± 1.36 | 5.75 ± 1.01 |
| Barking deer | Muntiacus muntjac | LC | 7.93 ± 9.37 | 8.24 ± 1.05 | 11.48 ± 3.79 | 8.41 ± 1.29 |
| Gaur | Bos gaurus | VU | 0.20 ± 0.14 | 1.11 ± 0.51 | 0.95 ± 0.40 | 1.15 ± 0.40 |
| Human | Homo sapiens | 126.8 ± 32.70 | 100.07 ± 23.92 | 40.91 ± 11.16 | 14.11 ± 4.61 | |
| Domestic animals | 35.25 ± 16.75 | 54.71 ± 19.85 | 8.77 ± 3.47 | 1.83 ± 0.77 | ||
| Buffer Zone (BZ) | ||||||
| Species | Scientific Name | IUCN Status | 2013 | 2018 | 2022 | |
| RAI (±SE) | RAI (±SE) | RAI (±SE) | ||||
| Tiger | Panthera tigris | EN | 0 | 0 | 2.17 ± 1.64 | |
| Sambar | Rusa unicolor | VU | 5.22 ± 0.35 | 1.80 ± 0.93 | 1.06 ± 0.53 | |
| Spotted deer | Axis axis | LC | 11.49 ± 10.01 | 1.36 ± 1.36 | 4.11 ± 2.39 | |
| Wild boar | Sus scrofa | LC | 9.61 ± 7.45 | 4.07 ± 2.29 | 1.56 ± 1.28 | |
| Barking deer | Muntiacus muntjac | LC | 11.22 ± 4.31 | 3.98 ± 3.98 | 6.96 ± 3.03 | |
| Gaur | Bos gaurus | VU | 0 | 0.68 ± 0.24 | 1.07 ± 1.07 | |
| Human | Homo sapiens | 395.5 ± 47.21 | 215.9 ± 4.99 | 154.08 ± 87.81 | ||
| Domestic animals | 164.83 ± 130.44 | 97.67 ± 73.12 | 51.48 ± 30.16 | |||
| National Forests (NFs) | ||||||
| Species | Scientific Name | IUCN Status | 2013 | 2018 | 2022 | |
| RAI (±SE) | RAI (±SE) | RAI (±SE) | ||||
| Tiger | Panthera tigris | EN | 0 | 4.27 ± 1.90 | 2.46 ± 1.02 | |
| Sambar | Rusa unicolor | VU | 5.23 ± 3.41 | 5.8 ± 24.73 | 2.17 ± 1.08 | |
| Spotted deer | Axis axis | LC | 2.54 ± 1.22 | 1.78 ± 0.66 | 5.32 ± 2.47 | |
| Wild boar | Sus scrofa | LC | 9.14 ± 3.32 | 6.21 ± 1.43 | 6.47 ± 1.95 | |
| Barking deer | Muntiacus muntjac | LC | 4.26 ± 2.30 | 3.91 ± 3.09 | 7.98 ± 4.31 | |
| Gaur | Bos gaurus | VU | 0 | 0.93 ± 0.79 | 1.14 ± 0.78 | |
| Human | Homo sapiens | 351.44 ± 221.93 | 364.10 ± 137.93 | 389.7 ± 75.00 | ||
| Domestic animals | 330.71 ± 281.38 | 248.47 ± 121.01 | 155.02 ± 65.98 | |||
3.3. Test Statistics
3.3.1. Hypothesis 1: There Is a Significant Difference in the Abundance of Tigers and Their Prey Species in the Three Forest Management Regimes over Time
3.3.2. Hypothesis 2: High Levels of Anthropogenic Disturbances from Humans and Domestic Animals Negatively Influence the Abundance of Tigers and Their Prey
4. Discussion
4.1. Percentage of Camera Trap Photographs and Independent Photo Captures
4.2. Relative Abundance Index (RAI)
4.3. Correlation
5. Policy Implications, Limitations, and Future Research
6. Conclusions
Supplementary Materials
Author Contributions
Funding
Institutional Review Board Statement
Informed Consent Statement
Data Availability Statement
Acknowledgments
Conflicts of Interest
Appendix A. The Total Number and Percentages of Photos Captured for Tigers, Prey Species, Humans, and Domestic Animals from 2009 to 2022 in the Three Forest Management Regimes


Appendix B. The Numbers of Independent Photos Captured for Tigers, Prey Species, Humans, and Domestic Animals from 2009 to 2022
| Parsa National Park (PNP) | ||||
| Species | 2009 | 2013 | 2018 | 2022 |
| Tiger | 53 | 11 | 125 | 201 |
| Sambar | 52 | 206 | 171 | 148 |
| Spotted deer | 19 | 101 | 325 | 219 |
| Wild boar | 52 | 334 | 160 | 176 |
| Barking deer | 143 | 202 | 329 | 239 |
| Gaur | 4 | 34 | 28 | 37 |
| Human | 1822 | 2307 | 1472 | 449 |
| Domestic animals | 407 | 1131 | 288 | 63 |
| Buffer Zone (BZ) | ||||
| Species | 2013 | 2018 | 2022 | |
| Tiger | 0 | 0 | 38 | |
| Sambar | 9 | 5 | 12 | |
| Spotted deer | 24 | 3 | 38 | |
| Wild boar | 20 | 11 | 26 | |
| Barking deer | 22 | 18 | 94 | |
| Gaur | 0 | 2 | 16 | |
| Human | 705 | 731 | 3376 | |
| Domestic animals | 334 | 413 | 1054 | |
| National Forests (NFs) | ||||
| Species | 2013 | 2018 | 2022 | |
| Tiger | 0 | 44 | 40 | |
| Sambar | 14 | 60 | 24 | |
| Spotted deer | 11 | 8 | 77 | |
| Wild boar | 28 | 31 | 100 | |
| Barking deer | 13 | 7 | 79 | |
| Gaur | 0 | 43 | 23 | |
| Human | 707 | 1961 | 8448 | |
| Domestic animals | 421 | 1047 | 2716 | |
Appendix C. Spearman Correlation Coefficient Matrix (0.5≥) of Relative Abundance Index (RAI) of Tiger, Prey Species, and Anthropogenic Disturbance
| Tiger | Sambar | Spotted Deer | Wild Boar | Gaur | Barking Deer | Human | Domestic Animals | |
| Tiger | 1 | |||||||
| Sambar | 0.70 2a | 1 | ||||||
| 0.63 4b | 1 | |||||||
| 0.95 3c | 1 | |||||||
| Spotted deer | 0.50 4c | 0.67 2a | 1 | |||||
| Wild boar | 0.82 1a | 0.55 2a | 0.85 3a | 1 | ||||
| 0.89 4c | 0.78 4c | 0.75 4c | 1 | |||||
| Gaur | 0.55 3a | 0.60 3a | 0.70 2a | 0.68 3a | 1 | |||
| 0.82 4b | 0.82 4b | 1 | ||||||
| 0.65 3c | 0.77 3c | −0.50 3c | 1 | |||||
| Barking deer | 0.52 1a | 0.52 3a | 0.63 3a | 1 | ||||
| 0.634b | 1 | |||||||
| 0.70 3c | 0.82 4c | 0.71 4c | 0.66 3c | 1 | ||||
| −0.65 3c | 1 | |||||||
| Human | −0.94 1a | 0.85 3a | 0.65 3a | −0.66 1a | 1 | |||
| −0.71 1a | 1 | |||||||
| 0.74 4b | 0.5 2b | 0.5 2b | 0.74 4b | 1 2b | 1 | |||
| −0.56 2c | 0.66 3c | 0.61 3c | 1 | |||||
| Domestic animals | −0.88 1a | 0.93 4a | 0.71 3a | −0.57 3a | 0.57 3a | 0.89 3a | 1 | |
| 0.73 3a | −0.54 1a | −0.54 1a | 1 | |||||
| 0.63 4b | 1 2b | 1 4b | 0.82 4b | 0.5 2b | 0.74 4b | 1 | ||
| −0.82 2c | 0.77 3c | 0.66 3c | 1 | |||||
| Note: Years: 2009 1, 2013 2, 2018 3, and 2022 4. Management regimes: PNP a, buffer zone b, and national forests c. | ||||||||
References
- Goodrich, J.; Wibisono, H.; Miquelle, D.; Lynam, A.; Sanderson, E.; Chapman, S.; Gray, T.; Chanchani, P.; Harihar, A. Panthera Tigris: The IUCN Red List of Threatened Species 2022: e.T15955A214862019. 2022. Available online: https://www.iucnredlist.org/species/15955/214862019 (accessed on 10 September 2025).
- CITES. Convention on International Trade in Endangered Species of Wild Flora and Fauna (Appendex I,II & III, 22 June 2022); UNEP: Nairobi, Kenya, 2022. [Google Scholar]
- Sanderson, E.W.; Forrest, J.; Loucks, C.; Ginsberg, J.; Dinerstein, E.; Seidensticker, J.; Leimgruber, P.; Songer, M.; Heydlauff, A.; O’Brien, T.; et al. Setting Priorities for Tiger Conservation: 2005–2015. In Tigers of the World; Elsevier: Amsterdam, The Netherlands, 2010; pp. 143–161. [Google Scholar]
- Carter, N.H.; Levin, S.A.; Grimm, V. Effects of Human-Induced Prey Depletion on Large Carnivores in Protected Areas: Lessons from Modeling Tiger Populations in Stylized Spatial Scenarios. Ecol. Evol. 2019, 9, 11298–11313. [Google Scholar] [CrossRef]
- Karanth, U. Tiger Ecology and Conservation in the Indian Subcontinent. J. Bombay Nat. Hist. Soc. 2003, 100, 169–189. [Google Scholar]
- Dinerstein, E.; Loucks, C.; Wikramanayake, E.; Ginsberg, J.; Sanderson, E.; Seidensticker, J.; Forrest, J.; Bryja, G.; Heydlauff, A.; Klenzendorf, S.; et al. The Fate of Wild Tigers. BioScience 2007, 57, 508–514. [Google Scholar] [CrossRef]
- Seidensticker, J. Saving Wild Tigers: A Case Study in Biodiversity Loss and Challenges to Be Met for Recovery beyond 2010. Integr. Zool. 2010, 5, 285–299. [Google Scholar] [CrossRef] [PubMed]
- Harihar, A.; Pandav, B. Influence of Connectivity, Wild Prey and Disturbance on Occupancy of Tigers in the Human-Dominated Western Terai Arc Landscape. PLoS ONE 2012, 7, e40105. [Google Scholar] [CrossRef] [PubMed]
- Carter, N.; Killion, A.; Easter, T.; Brandt, J.; Ford, A. Road Development in Asia: Assessing the Range-Wide Risks to Tigers. Sci. Adv. 2020, 6, eaaz9619. [Google Scholar] [CrossRef]
- GTI. Global Tiger Recovery Program 2010–2022; Global Tiger Initiative Secretariat: Washington, DC, USA, 2011. [Google Scholar]
- Jhala, Y.; Gopal, R.; Mathur, V.; Ghosh, P.; Negi, H.S.; Narain, S.; Yadav, S.P.; Malik, A.; Garawad, R.; Qureshi, Q. Recovery of Tigers in India: Critical Introspection and Potential Lessons. People Nat. 2021, 3, 281–293. [Google Scholar] [CrossRef]
- Wolf, C.; Ripple, W.J. Range Contractions of the World’s Large Carnivores. R. Soc. Open Sci. 2017, 4, 170052. [Google Scholar] [CrossRef] [PubMed]
- Wolf, C.; Ripple, W.J. Prey Depletion as a Threat to the World’s Large Carnivores. R. Soc. Open Sci. 2016, 3, 160252. [Google Scholar] [CrossRef]
- Karanth, K.; Naughton-Treves, L.; DeFries, R.; Gopalaswamy, A. Living with Wildlife and Mitigating Conflicts Around Three Indian Protected Areas. Environ. Manag. 2013, 52, 1320–1332. [Google Scholar] [CrossRef]
- Kolipaka, S.S.; Tamis, W.L.M.; Van’t Zelfde, M.; Persoon, G.A.; De Iongh, H.H. New Insights into the Factors Influencing Movements and Spatial Distribution of Reintroduced Bengal Tigers (Panthera Tigris Tigris) in the Human-Dominated Buffer Zone of Panna Tiger Reserve, India. Mammalia 2018, 82, 207–217. [Google Scholar] [CrossRef]
- Milda, D.; Ashish, K.; Ramesh, T.; Kalle, R.; Thanikodi, M. Evaluation of Anthropogenic Pressure on the Occupancy Patterns of Large Mammals in the Western and Eastern Ghats. Landsc. Ecol. 2023, 38, 409–422. [Google Scholar] [CrossRef]
- Sollmann, R. A Gentle Introduction to Camera-Trap Data Analysis. Afr. J. Ecol. 2018, 56, 740–749. [Google Scholar] [CrossRef]
- Ramesh, T.; Kalle, R.; Sankar, K.; Qureshi, Q. Spatio-Temporal Partitioning among Large Carnivores in Relation to Major Prey Species in Western Ghats. J. Zool. 2012, 287, 269–275. [Google Scholar] [CrossRef]
- Kafley, H.; Lamichhane, B.R.; Maharjan, R.; Thapaliya, B.; Bhattarai, N.; Khadka, M.; Gompper, M.E. Estimating Prey Abundance and Distribution from Camera Trap Data Using Binomial Mixture Models. Eur. J. Wildl. Res. 2019, 65, 77. [Google Scholar] [CrossRef]
- Widodo, F.A.; Imron, M.A.; Sunarto, S.; Giordano, A.J. Carnivores and Their Prey in Sumatra: Occupancy and Activity in Human-Dominated Forests. PLoS ONE 2022, 17, e0265440. [Google Scholar] [CrossRef] [PubMed]
- Thapa, K.; Kelly, M.J. Prey and Tigers on the Forgotten Trail: High Prey Occupancy and Tiger Habitat Use Reveal the Importance of the Understudied Churia Habitat of Nepal. Biodivers. Conserv. 2017, 26, 593–616. [Google Scholar] [CrossRef]
- Carbone, C.; Christie, S.; Conforti, K.; Coulson, T.; Franklin, N.; Ginsberg, J.; Griffiths, M.; Holden, J.; Kawanishi, K.; Kinnaird, M.; et al. The Use of Photographic Rates to Estimate Densities of Tigers and Other Cryptic Mammals. In Proceedings of the Animal Conservation Forum; Cambridge University Press: London, UK, 2001; Volume 4, pp. 75–79. [Google Scholar]
- Jenks, K.E.; Chanteap, P.; Kanda, D.; Peter, C.; Cutter, P.; Redford, T.; Antony, J.L.; Howard, J.; Leimgruber, P. Using Relative Abundance Indices from Camera-Trapping to Test Wildlife Conservation Hypotheses—An Example from Khao Yai National Park, Thailand. Trop. Conserv. Sci. 2011, 4, 113–131. [Google Scholar] [CrossRef]
- Lijun, C.; Wenhong, X.; Zhishu, X. Limitations of Relative Abundance Indices Calculated from Camera-Trapping Data. Biodivers. Sci. 2019, 27, 243–248. [Google Scholar] [CrossRef]
- Palmer, M.S.; Swanson, A.; Kosmala, M.; Arnold, T.; Packer, C. Evaluating Relative Abundance Indices for Terrestrial Herbivores from Large-Scale Camera Trap Surveys. Afr. J. Ecol. 2018, 56, 791–803. [Google Scholar] [CrossRef]
- Mandujano, S. Relative Abundance Index and Encounter Rate with Camera Traps: Concepts, Limitations and Alternatives. Mammal. Notes 2024, 10, 389. [Google Scholar] [CrossRef]
- Jennelle, C.; Runge, M.; MacKenzie, D. The Use of Photographic Rates to Estimate Densities of Tigers and Other Cryptic Mammals: A Comment on Misleading Conclusions. Anim. Conserv. 2002, 5, 119–120. [Google Scholar] [CrossRef]
- Sollmann, R.; Mohamed, A.; Samejima, H.; Wilting, A. Risky Business or Simple Solution–Relative Abundance Indices from Camera-Trapping. Biol. Conserv. 2013, 159, 405–412. [Google Scholar] [CrossRef]
- Rovero, F.; Marshall, A.R. Camera Trapping Photographic Rate as an Index of Density in Forest Ungulates. J. Appl. Ecol. 2009, 46, 1011–1017. [Google Scholar] [CrossRef]
- Tanwar, K.S.; Sadhu, A.; Jhala, Y.V. Camera Trap Placement for Evaluating Species Richness, Abundance, and Activity. Sci. Rep. 2021, 11, 23050. [Google Scholar] [CrossRef] [PubMed]
- Kumar, K.A.; Qureshi, Q.; Jhala, Y.V. Impact of Human Activities on Wild Ungulates in Nagarjunsagar Srisailam Tiger Reserve, Andhra Pradesh, India. J. Threat. Taxa 2023, 15, 23147–23163. [Google Scholar] [CrossRef]
- Xiao, W.; Limin, F.; Zhao, X.; Haitao, Y.; Dou, H.; Cheng, Y.; Mou, P.P.; Wang, T.; Jianping, G. Distribution and Abundance of Amur Tiger, Amur Leopard and Their Ungulate Prey in Hunchun National Nature Reserve, Jilin. Biodivers. Sci. 2014, 22, 717–724. [Google Scholar] [CrossRef]
- Debata, S.; Swain, K. Estimating Mammalian Diversity and Relative Abundance Using Camera Traps in a Tropical Deciduous Forest of Kuldiha Wildlife Sanctuary, Eastern India. Mammal Study 2018, 43, 45–53. [Google Scholar] [CrossRef]
- Allen, M.L.; Sibarani, M.C.; Krofel, M. Predicting Preferred Prey of Sumatran Tigers Panthera Tigris Sumatrae via Spatio-Temporal Overlap. Oryx 2021, 55, 197–203. [Google Scholar] [CrossRef]
- Bhatt, U.; Adhikari, B.; Lyngdoh, S. Monitoring Diversity and Abundance of Mammals with Camera-Traps: A Case Study of Manas National Park, Assam, India. Check List 2022, 18, 1023–1043. [Google Scholar] [CrossRef]
- Ahmed, T.; Bargali, H.S.; Verma, N.; Khan, A. Mammals Outside Protected Areas: Status and Response to Anthropogenic Disturbance in Western Terai-Arc Landscape. Proc. Zool. Soc. 2021, 74, 163–170. [Google Scholar] [CrossRef]
- DeFries, R.; Hansen, A.; Newton, A.C.; Hansen, M.C. Increasing Isolation of Protected Areas in Tropical Forests over the Past Twenty Years. Ecol. Appl. 2005, 15, 19–26. [Google Scholar] [CrossRef]
- Carter, N.H.; Gurung, B.; Viña, A.; Campa III, H.; Karki, J.B.; Liu, J. Assessing Spatiotemporal Changes in Tiger Habitat across Different Land Management Regimes. Ecosphere 2013, 4, 124. [Google Scholar] [CrossRef]
- Karki, J.; Jyanwali, S.; Shrestha, R.; Gurung, G.; Pandey, M.; Thapa, M. Tiger and Their Prey Base Abundance in Terai Arc Landscape Nepal; Government of Nepal, Ministry of Forests and Soil Conservation, Department of National Parks and Wildlife Conservation, Department of Forest: Kathmandu, Nepal, 2009.
- DNPWC; DFSC. Status of Tigers and Prey in Nepal; DNPWC & DFSC: Kathmandu, Nepal, 2022. [Google Scholar]
- Dahal, B.R.; Amin, R.; Lamichhane, B.R.; Giri, S.R.; Acharya, H.; Acharya, H.R.; Harihar, A. Setting Recovery Targets for a Charismatic Species in an Iconic Protected Area Complex: The Case of Tigers (Panthera Tigris) in Chitwan–Parsa National Parks, Nepal. Conserv. Sci. Pract. 2023, 5, e12930. [Google Scholar] [CrossRef]
- Poudyal, B.H.; Maraseni, T.; Cockfield, G. Impacts of Forest Management on Tree Species Richness and Composition: Assessment of Forest Management Regimes in Tarai Landscape Nepal. Appl. Geogr. 2019, 111, 102078. [Google Scholar] [CrossRef]
- O’Brien, T.G.; Kinnaird, M.F.; Wibisono, H.T. Crouching Tigers, Hidden Prey: Sumatran Tiger and Prey Populations in a Tropical Forest Landscape. In Proceedings of the Animal Conservation Forum; Cambridge University Press: London, UK, 2003; Volume 6, pp. 131–139. [Google Scholar]
- WWF. Terai Arc Landscape Recognized as UN World Restoration Flagship; WWF: Gland, Switzerland, 2024. [Google Scholar]
- Maharjan, A.; Maraseni, T.; Allen, B.L.; Apan, A. Assessing the Spatio-Temporal Activity Pattern and Habitat Use of Bengal Tiger (Panthera Tigris Tigris) Across Three Forest Management Regimes in Nepal. Biodivers. Conserv. 2024, 34, 643–663. [Google Scholar] [CrossRef]
- PNP. Parsa National Park and Its Buffer Zone Management Plan, FY 2075/76-2079/80; Parsa National Park Office: Aadhavar, Bara, Nepal, 2018.
- MoHA Ministry of Home Affairs, Nepal. Available online: https://www.moha.gov.np/en (accessed on 5 December 2024).
- Chaudhary, R.P. Forest Conservation and Environmental Management in Nepal: A Review. Biodivers. Conserv. 2000, 9, 1235–1260. [Google Scholar] [CrossRef]
- Aryal, K.; Dhungana, R.; Silwal, T. Understanding Policy Arrangement for Wildlife Conservation in Protected Areas of Nepal. Hum. Dimens. Wildl. 2021, 26, 1–12. [Google Scholar] [CrossRef]
- Yadav, B.; Poudel, L.; Ranabhat, R. Tiger and Prey Base Monitoring Protocol 2017 Nepal; Government of Nepal, Ministry of Forests and Soil Conservation, Department of National Parks and Wildlife Conservation: Kathmandu, Nepal, 2017.
- Dhakal, M.; Karki, M.; Jnawali, S.R.; Subedi, N.; Pradhan, N.; Malla, S.; Lamichhane, B.R.; Pokheral, C.; Thapa, G.; Oglethorpe, J.; et al. Status of Tigers and Prey in Nepal; Department of National Parks and Wildlife Conservation: Kathmandu, Nepal, 2014; Volume 74.
- DNPWC; DFSC. Status of Tigers and Prey in Nepal; Department of National Parks and Wildlife Conservation: Kathmandu, Nepal, 2018.
- Greenberg, S.; Godin, T.; Whittington, J. Design Patterns for Wildlife-Related Camera Trap Image Analysis. Ecol. Evol. 2019, 9, 13706–13730. [Google Scholar] [CrossRef]
- Karanth, K.U.; Gopalaswamy, A.M.; Kumar, N.S.; Vaidyanathan, S.; Nichols, J.D.; Mackenzie, D.I. Monitoring Carnivore Populations at the Landscape Scale: Occupancy Modelling of Tigers from Sign Surveys. J. Appl. Ecol. 2011, 48, 1048–1056. [Google Scholar] [CrossRef]
- Barber-Meyer, S.M.; Jnawali, S.R.; Karki, J.B.; Khanal, P.; Lohani, S.; Long, B.; Mackenzie, D.I.; Pandav, B.; Pradhan, N.M.B.; Shrestha, R.; et al. Influence of Prey Depletion and Human Disturbance on Tiger Occupancy in Nepal. J. Zool. 2013, 289, 10–18. [Google Scholar] [CrossRef]
- Dormann, C.F.; Elith, J.; Bacher, S.; Buchmann, C.; Carl, G.; Carré, G.; Marquéz, J.R.G.; Gruber, B.; Lafourcade, B.; Leitão, P.J.; et al. Collinearity: A Review of Methods to Deal with It and a Simulation Study Evaluating Their Performance. Ecography 2013, 36, 27–46. [Google Scholar] [CrossRef]
- Thapa, K.; Thapa, G.J.; Manandhar, U.; Dhakal, M.; Jnawali, S.R.; Maraseni, T.N. Carbonated Tiger-High above-Ground Biomass Carbon Stock in Protected Areas and Corridors and Its Observed Negative Relationship with Tiger Population Density and Occupancy in the Terai Arc Landscape, Nepal. PLoS ONE 2023, 18, e0280824. [Google Scholar] [CrossRef]
- Lamichhane, B.R.; Pokheral, C.P.; Poudel, S.; Adhikari, D.; Giri, S.R.; Bhattarai, S.; Bhatta, T.R.; Pickles, R.; Amin, R.; Acharya, K.P.; et al. Rapid Recovery of Tigers Panthera Tigris in Parsa Wildlife Reserve, Nepal. ORYX 2018, 52, 16–24. [Google Scholar] [CrossRef]
- Shah, R.; Paudel, R.; Pun, D.; Gurung, A.; Prasai, A.; Bhandari, K.; Thapa, K.; Lamichane, B.; Dahal, B.; Amin, R.; et al. Mammals of Chitwan National Park: An Account from Camera Trap Survey; National Trust for Nature Conservation—Biodiversity Conservation Center & Chitwan National Park: Chitwan, Nepal, 2024. [Google Scholar]
- Karki, J.B.; Lamichhane, B.R.; Shrestha, S.; Regmi, U.R.; Ranabhat, R. Distribution and Habitat-Use of Dhole Cuon Alpinus (Mammalia: Carnivora: Canidae) in Parsa National Park, Nepal. J. Threat. Taxa 2022, 14, 20703–20712. [Google Scholar] [CrossRef]
- Palei, H.S.; Pradhan, T.; Sahu, H.K.; Nayak, A.K. Estimating Mammalian Abundance Using Camera Traps in the Tropical Forest of Similipal Tiger Reserve, Odisha, India. Proc. Zool. Soc. 2016, 69, 181–188. [Google Scholar] [CrossRef]
- Lamichhane, B.R.; Persoon, G.A.; Leirs, H.; Poudel, S.; Subedi, N.; Pokheral, C.P.; Bhattarai, S.; Thapaliya, B.P.; de Iongh, H.H. Spatio-Temporal Patterns of Attacks on Human and Economic Losses from Wildlife in Chitwan National Park, Nepal. PLoS ONE 2018, 13, e0195373. [Google Scholar] [CrossRef] [PubMed]
- Dhungana, R.; Savini, T.; Karki, J.B.; Bumrungsri, S. Mitigating Human-Tiger Conflict: An Assessment of Compensation Payments and Tiger Removals in Chitwan National Park, Nepal. Trop. Conserv. Sci. 2016, 9, 776–787. [Google Scholar] [CrossRef]
- Silwal, T.; Kolejka, J.; Bhatta, B.P.; Rayamajhi, S.; Sharma, R.P.; Poudel, B.S. When, Where and Whom: Assessing Wildlife Attacks on People in Chitwan National Park, Nepal. ORYX 2017, 51, 370–377. [Google Scholar] [CrossRef]
- Kolipaka, S.S.; Tamis, W.L.M.; Van’t Zelfde, M.; Persoon, G.A.; De Iongh, H.H. Wild versus Domestic Prey in the Diet of Reintroduced Tigers (Panthera Tigris) in the Livestock-Dominated Multiple-Use Forests of Panna Tiger Reserve, India. PLoS ONE 2017, 12, e0174844. [Google Scholar] [CrossRef]
- Acharya, K.P.; Paudel, P.K.; Neupane, P.R.; Köhl, M. Human-Wildlife Conflicts in Nepal: Patterns of Human Fatalities and Injuries Caused by Large Mammals. PLoS ONE 2016, 11, e0161717. [Google Scholar] [CrossRef]
- Gurung, B. Ecological and Sociological Aspects of Human-Tiger Conflicts in Chitwan National Park, Nepal. Ph.D. Thesis, The University of Minnesota, Minneapolis, MN, USA, 2008. [Google Scholar]
- Dhungana, R.; Savini, T.; Karki, J.B.; Dhakal, M.; Lamichhane, B.R.; Bumrungsri, S. Living with Tigers Panthera Tigris: Patterns, Correlates, and Contexts of Human-Tiger Conflict in Chitwan National Park, Nepal. ORYX 2018, 52, 55–65. [Google Scholar] [CrossRef]
- Carter, N.H.; Shrestha, B.K.; Karki, J.B.; Pradhan, N.M.B.; Liu, J. Coexistence between Wildlife and Humans at Fine Spatial Scales. Proc. Natl. Acad. Sci. USA. 2012, 109, 15360–15365. [Google Scholar] [CrossRef]
- Yang, H.; Han, S.; Xie, B.; Mou, P.; Kou, X.; Wang, T.; Ge, J.; Feng, L. Do Prey Availability, Human Disturbance and Habitat Structure Drive the Daily Activity Patterns of Amur Tigers (Panthera Tigris Altaica)? J. Zool. 2019, 307, 131–140. [Google Scholar] [CrossRef]
- Hayward, M.W.; Jedrzejewski, W.; Jedrzewska, B. Prey Preferences of the Tiger P Anthera Tigris. J. Zool. 2012, 286, 221–231. [Google Scholar] [CrossRef]
- Cheng, W.; Gray, T.N.; Bao, H.; Wen, D.; Liang, X.; She, W.; Zhang, W.; Roberts, N.J.; Gu, J.; Qi, J.; et al. Drivers of Human–Tiger Conflict Risk and Potential Mitigation Approaches. Ecosphere 2024, 15, e4922. [Google Scholar] [CrossRef]
- Muhly, T.B.; Semeniuk, C.; Massolo, A.; Hickman, L.; Musiani, M. Human Activity Helps Prey Win the Predator-Prey Space Race. PLoS ONE 2011, 6, e17050. [Google Scholar] [CrossRef] [PubMed]
- Lamichhane, S.; Lamichhane, B.R.; Gurung, A.; Rayamajhi, T.; Dahal, T.P.; Regmi, P.R.; Pokheral, C.P.; Pathak, A.; Panta, G.; Kandel, R.C.; et al. Non-Exploitative Human Disturbance Provides Shelter for Prey from Predator. Ecol. Evol. 2023, 13, e10200. [Google Scholar] [CrossRef]
- Bhattarai, B.P.; Kindlmann, P. Human Disturbance Is the Major Determinant of the Habitat and Prey Preference of the Bengal Tiger (Panthera Tigris Tigris) in the Chitwan National Park, Nepal. Eur. J. Ecol. 2018, 4, 13–21. [Google Scholar] [CrossRef]






| Parsa National Park | Buffer Zone | National Forests | |
|---|---|---|---|
| Area (Sq. km) | 627.39 | 285.3 | 845.25 |
| Conservation status | Fully protected; restricted for people | Less-restricted forest; locals can utilize forest products | Least-restricted forest; locals and government utilize and sell forest products |
| Population | - | ~85,000 | ~2,000,000 |
| Precipitation | 1200–2500 mm | ||
| Temperature (range) | 7–39 °C | ||
| Elevation (meter) | 100–950 | ||
| Climatic zone | Sub-tropical | ||
| Year | Parsa National Park | Buffer Zone | National Forests | Total Camera Trap Grids |
|---|---|---|---|---|
| 2009 | 117 | 117 | ||
| 2013 | 136 | 11 | 30 | 177 |
| 2018 | 219 | 30 | 56 | 305 |
| 2022 | 201 | 37 | 126 | 364 |
Disclaimer/Publisher’s Note: The statements, opinions and data contained in all publications are solely those of the individual author(s) and contributor(s) and not of MDPI and/or the editor(s). MDPI and/or the editor(s) disclaim responsibility for any injury to people or property resulting from any ideas, methods, instructions or products referred to in the content. |
© 2025 by the authors. Licensee MDPI, Basel, Switzerland. This article is an open access article distributed under the terms and conditions of the Creative Commons Attribution (CC BY) license (https://creativecommons.org/licenses/by/4.0/).
Share and Cite
Maharjan, A.; Maraseni, T.; Apan, A.; Allen, B.L. Revival of Tigers: Long-Term Trends (2009–2022) in the Relative Abundance Index of Tigers, Prey, and Anthropogenic Disturbance in Parsa National Park, Nepal. Animals 2025, 15, 2697. https://doi.org/10.3390/ani15182697
Maharjan A, Maraseni T, Apan A, Allen BL. Revival of Tigers: Long-Term Trends (2009–2022) in the Relative Abundance Index of Tigers, Prey, and Anthropogenic Disturbance in Parsa National Park, Nepal. Animals. 2025; 15(18):2697. https://doi.org/10.3390/ani15182697
Chicago/Turabian StyleMaharjan, Amir, Tek Maraseni, Armando Apan, and Benjamin L. Allen. 2025. "Revival of Tigers: Long-Term Trends (2009–2022) in the Relative Abundance Index of Tigers, Prey, and Anthropogenic Disturbance in Parsa National Park, Nepal" Animals 15, no. 18: 2697. https://doi.org/10.3390/ani15182697
APA StyleMaharjan, A., Maraseni, T., Apan, A., & Allen, B. L. (2025). Revival of Tigers: Long-Term Trends (2009–2022) in the Relative Abundance Index of Tigers, Prey, and Anthropogenic Disturbance in Parsa National Park, Nepal. Animals, 15(18), 2697. https://doi.org/10.3390/ani15182697

