Karyological Diversification of Trochoidea caroni (Gastropoda, Pulmonata, Geomitridae) Between Sicilian and Non-Sicilian Populations
Simple Summary
Abstract
1. Introduction
2. Materials and Methods
2.1. Chromosome Analysis
2.2. Molecular Analysis
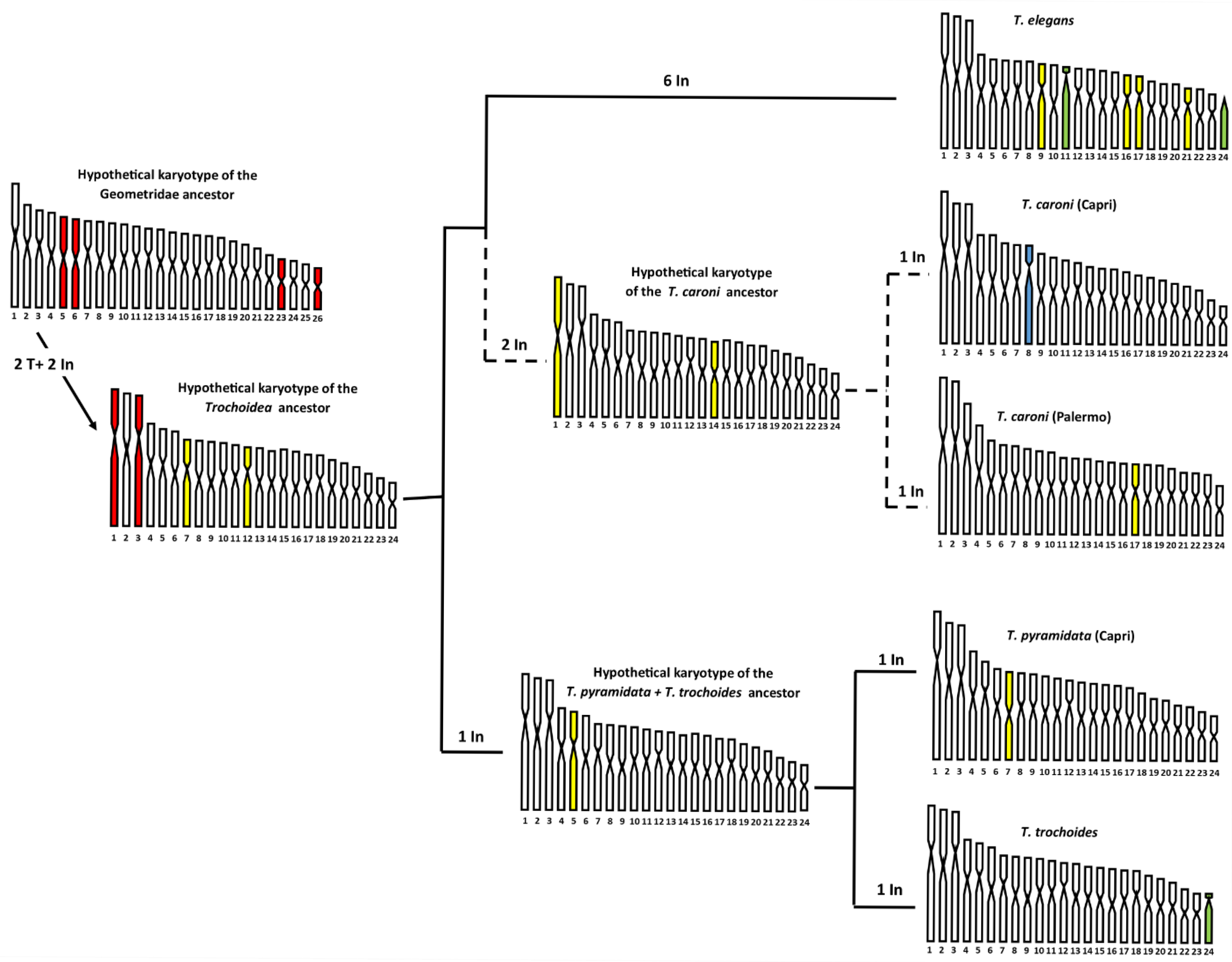
3. Results
3.1. Karyological Analysis
3.2. Molecular Analysis
4. Discussion
5. Conclusions
Author Contributions
Funding
Institutional Review Board Statement
Informed Consent Statement
Data Availability Statement
Acknowledgments
Conflicts of Interest
References
- MolluscaBase (Ed.) MolluscaBase. Geomitridae C. R. Boettger, 1909. World Register of Marine Species. 2025. Available online: https://www.marinespecies.org/aphia.php?p=taxdetails&id=994707 (accessed on 15 June 2025).
- Deshayes, G.P.; De Lamarck, B.E. Histoire naturelle des Vers. In Encyclopédie Méthodique (Dictionaire Encyclopédique Méthodique), ou par Ordre de Matieres, 2nd ed.; Part 2; Agasse: Paris, France, 1832; Volume 1–7, pp. 185–271. [Google Scholar]
- Alzona, C. Malacofauna Italica. Catalogo e bibliografia dei molluschi viventi, terrestri e d’acqua dolce. Atti Soc. Ital. Sci. Nat. Mus. Civ. Stor. Nat. Milano 1971, 111, 1–433. [Google Scholar]
- Cossignani, T.; Cossignani, V. Atlante Delle Conchiglie Terrestri e Dulciacquicole Italiane; L’Informatore Piceno: Ancona, Italy, 1995; p. 208. [Google Scholar]
- Bodon, M.; Cianfanelli, S.; Nardi, G. Mollusca (terrestrial and inland water species). In Checklist of the Italian Fauna; Version, 1.0; Bologna, M.A., Zapparoli, M., Oliverio, M., Minelli, A., Bonato, L., Cianferoni, F., Stoch, F., Eds.; LifeWatch: Lecce, Italy, 2021; Available online: https://www.lifewatchitaly.eu/en/initiatives/checklist-fauna-italia-en/checklist/ (accessed on 30 October 2024).
- Maio, N.; Petraccioli, A.; Crovato, P.; Amor, N.; Odierna, G. New faunistic data on Trochoidea (Trochoidea) caroni (Deshayes, 1832) (Gastropoda Pulmonata Hygromiidae). Biodivers. J. 2013, 4, 483–500. [Google Scholar]
- Giusti, F.; Manganelli, G.; Schembri, P.J. The Nonmarine Molluscs of the Maltese Islands; Museo Regionale di Scienze Naturali: Torino, Italy, 1995; Volume 15, pp. 1–607.
- Schileyko, A.A. Treatise on recent terrestrial pulmonate molluscs. Part 14. Helicodontidae, Ciliellidae, Hygromiidae. Ruthenica 2006, 2, 1907–2047. [Google Scholar]
- Steinke, D.; Albrecht, C.; Pfenninger, M. Molecular phylogeny and character evolution in the Western Palaearctic Helicidae s.l. (Gastropoda: Stylommatophora). Mol. Phylogenet. Evol. 2004, 32, 724–734. [Google Scholar] [CrossRef]
- Razkin, O.; Gómez-Moliner, B.J.; Prieto, C.E.; Martínez-Ortí, A.; Arrébola, J.R.; Muñoz, B.; Chueca, L.J.; Madeira, M.J. Molecular phylogeny of the western Palaearctic Helicoidea (Gastropoda, Stylommatophora). Mol. Phylogenet. Evol. 2015, 83, 99–117. [Google Scholar] [CrossRef]
- Petraccioli, A.; Crovato, P.; Guarino, F.M.; Mezzasalma, M.; Odierna, G.; Picariello, O.; Maio, N. Chromosome Diversity and Evolution in Helicoidea (Gastropoda: Stylommatophora): A Synthesis from Original and Literature Data. Animals 2021, 11, 2551. [Google Scholar] [CrossRef] [PubMed]
- Petraccioli, A.; Guarino, F.M.; Maio, N.; Odierna, G. Molecular cytogenetic study of three common Mediterranean limpets, Patella caerulea, P. rustica and P. ulyssiponensis (Archaeogastropoda, Mollusca). Genetica 2010, 138, 219–225. [Google Scholar] [CrossRef][Green Version]
- Petraccioli, A.; Maio, N.; Odierna, G. Chromosomes of Lepidochitona caprearum (Scacchi, 1836) (Polyplacophora, Acanthochitonina, Tonicellidae) provide insights into Acanthochitonina karyological evolution. Comp. Cytogenet. 2012, 6, 397–407. [Google Scholar] [CrossRef][Green Version]
- Petraccioli, A.; Capriglione, T.; Colomba, M.; Crovato, P.; Odierna, G.; Sparacio, I.; Maio, N. Comparative cytogenetic study in four Alopiinae door snails (Gastropoda, Clausiliidae). Malacologia 2015, 58, 225–232. [Google Scholar] [CrossRef]
- Mezzasalma, M.; Andreone, F.; Glaw, F.; Guarino, F.M.; Odierna, G.; Petraccioli, A.; Picariello, O. Changes in heterochromatin content and ancient chromosome fusion in the endemic Malagasy boids Sanzinia and Acrantophis. Salamandra 2019, 55, 140–144. [Google Scholar]
- Mezzasalma, M.; Brunelli, E.; Odierna, G.; Guarino, F.M. First insights on the karyotype diversification of the endemic Malagasy leaf-toed geckos (Squamata: Gekkonidae: Uroplatus). Animals 2022, 12, 2054. [Google Scholar] [CrossRef]
- Mezzasalma, M.; Brunelli, E.; Odierna, G.; Guarino, F.M. Comparative cytogenetics of Hemorrhois hippocrepis and Malpolon monspessulanus highlights divergent karyotypes in Colubridae and Psammophiidae (Squamata: Serpentes). Eur. Zool. J. 2023, 90, 201–210. [Google Scholar] [CrossRef]
- Manganelli, G.; Salomone, N.; Giusti, F. A molecular approach to the phylogenetic relationships of the western Palaearctic Helicoidea (Gastropoda, Stylommatophora). Biol. J. Linn. Soc. 2005, 85, 501–512. [Google Scholar] [CrossRef]
- Levan, A.; Fredga, K.; Sandberg, A.A. Nomenclature for centromeric position on chromosomes. Hereditas 1964, 52, 201–220. [Google Scholar] [CrossRef]
- Sokolov, E.P. An improved method for DNA isolation from mucopolysaccharide-rich molluscan tissues. J. Molluscan Stud. 2000, 66, 573–575. [Google Scholar] [CrossRef]
- Sá-Pinto, A.; Branco, M.; Harris, D.J.; Alexandrino, P. Phylogeny and phylogeography of the genus Patella based on mitochondrial DNA sequence data. J. Exp. Mar. Biol. Ecol. 2005, 325, 95–110. [Google Scholar] [CrossRef]
- Thompson, J.D.; Higgins, D.J.; Gibson, T.J. CLUSTALW: Improving the sensitivity of progressive multiple sequence alignment through sequence weighting, position specific gap penalties and weight matrix choisechoice. Nucleic Acids Res. 1994, 22, 4673–4680. [Google Scholar] [CrossRef]
- Hall, T.A. BioEdit, a user-friendly biological sequence alignment editor and analysis program for Windows 95/98/NT. Nucleic Acids Symp. Ser. 1999, 41, 95–98. [Google Scholar]
- Tamura, K.; Stecher, G.; Kumar, S. MEGA11: Molecular Evolutionary Genetics Analysis Version 11. Mol. Biol. Evol. 2021, 38, 3022–3027. [Google Scholar] [CrossRef]
- Ezzine, I.K.; Pfarrer, B.; Dimassi, N.; Said, K.; Neubert, E. At home at least: The taxonomic position of some North African Xerocrassa species (Pulmonata, Geomitridae). Zookeys 2017, 712, 1–27. [Google Scholar] [CrossRef] [PubMed]
- Chueca, L.J.; Gomez-Moliner, B.J.; Madeira, M.J.; Pfenninger, M. Molecular phylogeny of Candidula (Geomitridae) land snails inferred from mitochondrial and nuclear markers reveals the polyphyly of the genus. Mol. Phylogenet. Evol. 2018, 118, 357–368. [Google Scholar] [CrossRef]
- Caro, A.; Neiber, M.T.; Gomez-Moliner, B.J.; Madeira, M.J. Molecular phylogeny and biogeography of the land snail subfamily Leptaxinae (Gastropoda: Hygromiidae). Mol. Phylogenet. Evol. 2019, 139, 106570. [Google Scholar] [CrossRef]
- Sauer, J.; Hausdorf, B. A comparison of DNA-based methods for delimiting species in a Cretan land snail radiation reveals shortcomings of exclusively molecular taxonomy. Cladistics 2012, 28, 300–316. [Google Scholar] [CrossRef]
- Neiber, M.T.; Razkin, O.; Hausdorf, B. Molecular phylogeny and biogeography of the land snail family Hygromiidae (Gastropoda: Helicoidea). Mol. Phylogenet. Evol. 2017, 111, 169–184. [Google Scholar] [CrossRef]
- Boeckers, A.; Greve, C.; Hutterer, R.; Misof, B.; Haase, M. Testing heterogeneous base composition as potential cause for conflicting phylogenetic signal between mitochondrial and nuclear DNA in the land snail genus Theba Risso 1826 (Gastropoda, Stylommatophora, Helicoidea). Org. Divers. Evol. 2016, 16, 835–846. [Google Scholar] [CrossRef]
- Hatzoglou, E.; Rodakis, G.C.; Lecanidou, R. Complete sequence and gene organization of the mitochondrial genome of the land snail Albinaria caerulea. Genetics 1995, 140, 1353–1366. [Google Scholar] [CrossRef] [PubMed]
- Manganelli, G.; Bodon, M.; Favilli, L.; Giusti, F. Gastropoda Pulmonata. In Checklist Delle Specie Della Fauna Italiana; Minelli, A., Ruffo, S., La Posta, S., Eds.; Calderini: Bologna, Italy, 1995; Volume 16, pp. 1–60. [Google Scholar]
- Guo, X.; Su, H.; Shi, Q.; Fu, S.; Wang, J.; Zhang, X.; Hu, Z.; Han, F. De Novo Centromere Formation and Centromeric Sequence Expansion in Wheat and its Wide Hybrids. PLoS Genet. 2016, 12, e1005997. [Google Scholar] [CrossRef] [PubMed]
- King, M. Species Evolution: The Role of Chromosome Change; Cambridge University Press: Cambridge, UK, 1993; pp. xxi–336. [Google Scholar]
- Ayala, D.; Fontaine, M.C.; Cohuet, A.; Fontenille, D.; Vitalis, R.; Simard, F. Chromosomal inversions, natural selection and adaptation in the malaria vector Anopheles funestus. Mol. Biol. Evol. 2011, 28, 745–758. [Google Scholar] [CrossRef]
- Huang, K.; Rieseberg, L.H. Frequency, Origins, and Evolutionary Role of Chromosomal Inversions in Plants. Front. Plant Sci. 2020, 11, 296. [Google Scholar] [CrossRef] [PubMed]
- Fineschi, S.; Cozzolino, S.; Migliaccio, M.; Musacchio, A.; Innocenti, M.; Vendramin, G.G. Sicily represents the Italian reservoir of chloroplast DNA diversity of Quercus ilex L. (Fagaceae). Ann. For. Sci. 2005, 62, 79–84. [Google Scholar] [CrossRef]
- Fiorentino, V.; Salomone, N.; Manganelli, G.; Giusti, F. Phylogeography and morphological variability in land snails: The Sicilian Marmorana (Pulmonata, Helicidae). Biol. J. Linn. Soc. 2008, 94, 809–823. [Google Scholar] [CrossRef]
- Stöck, M.; Grifoni, G.; Armor, N.; Scheidt, U.; Sicilia, A.; Novarini, N. On the origin of the recent herpetofauna of Sicily: Comparative phylogeography using homologous mitochondrial and nuclear genes. Zool. Anz. 2016, 261, 70–81. [Google Scholar] [CrossRef]
- Lo Valvo, M.; Russo, R.; Mancuso, F.P.; Palla, F. mtDNA diversity in a rabbit population from Sicily (Italy). Turk. J. Zool. 2017, 41, 7. [Google Scholar] [CrossRef]
- Scalercio, S.; Cini, A.; Menchetti, M.; Vodă, R.; Bonelli, S.; Bordoni, A.; Casacci, L.P.; Dincă, V.; Balletto, E.; Vila, R.; et al. How long is 3 km for a butterfly? Ecological constraints and functional traits explain high mitochondrial genetic diversity between Sicily and the Italian Peninsula. J. Anim. Ecol. 2020, 89, 2013–2026. [Google Scholar] [CrossRef]
- La Greca, M. La situazione paleoclimatica nel Quaternario. Biogeographia 1998, 19, 7–29. [Google Scholar] [CrossRef]
- Myers, N.; Mittermeier, R.A.; Mittermeier, C.G.; da Fonseca, G.A.B.; Kent, J. Biodiversity hotspots for conservation priorities. Nature 2000, 403, 853–858. [Google Scholar] [CrossRef]
- Sanmartìn, I. Dispersal vs. vicariance in the Mediterranean: Historical biogeography of the Palearctic Pachydeminae (Coleoptera, Scarabaeoidea). J. Biogeogr. 2003, 30, 1883–1897. [Google Scholar] [CrossRef]
- Duggen, S.; Hoernle, K.; van den Bogaard, P.; Rüpke, L.; Morgan, J.P. Deep roots of the Messinian Salinity Crisis. Nature 2003, 422, 602–606. [Google Scholar] [CrossRef]
- Blondel, J.; Aronson, J.-Y.; Boeuf, G. The Mediterranean Region. Biological Diversity in Space and Time, 2nd ed.; Oxford University Press: New York, NJ, USA, 2010; p. 376. [Google Scholar]
- Sacchi, C.F. Contributo alla conoscenza faunistica della Campania. Ricerche malacologiche nella regione sorrentina. I. Note sistematiche di alcune elicelline. Annuar. Ist. Mus. Zool. Univ. Napoli 1954, 6, 1–14. [Google Scholar]
- Sacchi, C.F. Il contributo dei molluschi terrestri alle ipotesi del “Ponte Siciliano”. Elementi tirrenici ed orientali nella malacofauna del Magreb. Arch. Zool. Ital. 1955, 40, 49–181. [Google Scholar]
- Ezzine, I.K.; Dimassi, N.; Pfarrer, B.; Said, K.; Neubert, E. New records of the endemic Sicilian land snail species Marmorana (Murella) muralis (Muller, O.F. 1774) from the North of Tunisia (Eupulmonata, Gastropoda). Zookeys 2018, 775, 131–147. [Google Scholar] [CrossRef] [PubMed]
- Aparicio, M.T. Cytotaxonomic studies of the family Helicidae (Gastropoda, Pulmonata). Genét. Ibér. 1981, 33, 211–224. [Google Scholar]
- Patterson, C.M.; Burch, J.B. Chromosomes of Pulmonated Molluscs. In Pulmonates; Systematics, Evolution and Ecology; Fretter, V., Peake, J., Eds.; Academic Press: New York, NY, USA, 1978; Volume 2A, pp. 171–217. [Google Scholar]
- Fukagawa, T.; Earnshaw, W.C. Neocentromeres. Curr. Biol. 2014, 24, R946–R947. [Google Scholar] [CrossRef] [PubMed]
- Cappelletti, E.; Piras, F.M.; Sola, L.; Santagostino, M.; Abdelgadir, W.A.; Raimondi, E.; Lescai, F.; Nergadze, S.G.; Giulotto, E. Robertsonian Fusion and Centromere Repositioning Contributed to the Formation of Satellite-free Centromeres During the Evolution of Zebras. Mol. Biol. Evol. 2022, 39, msac162. [Google Scholar] [CrossRef] [PubMed]





| T. caroni (Capri/Terracina) | T. caroni (Palermo) | |||||
|---|---|---|---|---|---|---|
| Chromosome | R.L. | C.I. | Sh | R.L. | C.I. | Sh |
| 1 | 7.5 ± 0.8 | 39.0 ± 2.4 | (M) | 7.7 ± 0.7 | 39.8 ± 2.9 | (M) |
| 2 | 6.8 ± 0.4 | 40.9 ± 1.7 | (M) | 7.5 ± 0.6 | 41.9 ± 2.6 | (M) |
| 3 | 6.8 ± 0.6 | 32.3 ± 1.2 | (sM) | 6.3 ± 0.7 | 35.1 ± 2.0 | (sM) |
| 4 | 5.3 ± 0.3 | 43.3 ± 1.5 | (M) | 5.3 ± 0.5 | 42.5 ± 2.7 | (M) |
| 5 | 5.3 ± 0.7 | 42.8 ± 1.0 | (M) | 4.6 ± 0.4 | 40.8 ± 2.3 | (M) |
| 6 | 4.9 ± 0.5 | 46.9 ± 2.9 | (M) | 4.4 ± 0.6 | 46.3 ± 2.5 | (M) |
| 7 | 4.8 ± 0.3 | 36.2 ± 2.0 | (sM) | 4.3 ± 0.8 | 36.2 ± 2.6 | (sM) |
| 8 | 4.8 ± 0.8 | 22.4 ± 2.5 | (sT) | 4.2 ± 0.5 | 40.2 ± 2.0 | (M) |
| 9 | 4.4 ± 0.2 | 44.9 ± 2.7 | (M) | 4.1 ± 0.6 | 43.8 ± 2.4 | (M) |
| 10 | 4.2 ± 0.7 | 41.2 ± 2.2 | (M) | 4.0 ± 0.8 | 41.9 ± 2.2 | (M) |
| 11 | 4.1 ± 0.8 | 40.3 ± 1.8 | (M) | 3.8 ± 0.4 | 41.8 ± 2.9 | (M) |
| 12 | 4.0 ± 0.6 | 34.3 ± 2.1 | (sM) | 3.8 ± 0.4 | 35.4 ± 1.7 | (sM) |
| 13 | 3.8 ± 0.6 | 39.5 ± 1.7 | (M) | 3.7 ± 0.5 | 39.5 ± 2.0 | (M) |
| 14 | 3.8 ± 0.4 | 33.6 ± 1.6 | (sM) | 3.6 ± 0.7 | 33.9 ± 1.6 | (sM) |
| 15 | 3.7 ± 0.5 | 43.6 ± 2.3 | (M) | 3.6 ± 0.6 | 45.4 ± 1.9 | (M) |
| 16 | 3.5 ± 0.8 | 38.9 ± 2.1 | (M) | 3.6 ± 0.5 | 39.4 ± 2.4 | (M) |
| 17 | 3.4 ± 0.4 | 44.1 ± 2.0 | (M) | 3.5 ± 0.6 | 35.1 ± 2.2 | (sM) |
| 18 | 3.3 ± 0.5 | 48.3 ± 1.5 | (M) | 3.5 ± 0.9 | 49.1 ± 2.1 | (M) |
| 19 | 3.1 ± 0.6 | 45.4 ± 2.6 | (M) | 3.5 ± 0.7 | 43.0 ± 2.7 | (M) |
| 20 | 2.9 ± 0.5 | 40.2 ± 3.1 | (M) | 3.3 ± 0.3 | 39.7 ± 2.0 | (M) |
| 21 | 2.8 ± 0.5 | 44.9 ± 2.9 | (M) | 3.1 ± 2.2 | 35.8 ± 2.3 | (M) |
| 22 | 2.7 ± 0.4 | 43.5 ± 2.5 | (M) | 3.1 ± 2.0 | 40.3 ± 2.7 | (M) |
| 23 | 2.3 ± 0.3 | 43.5 ± 2.1 | (M) | 3.0 ± 2.4 | 46.6 ± 1.9 | (M) |
| 24 | 1.9 ± 0.2 | 39.3 ± 1.9 | (M) | 2.5 ± 2.7 | 39.4 ± 2.0 | (M) |
Disclaimer/Publisher’s Note: The statements, opinions and data contained in all publications are solely those of the individual author(s) and contributor(s) and not of MDPI and/or the editor(s). MDPI and/or the editor(s) disclaim responsibility for any injury to people or property resulting from any ideas, methods, instructions or products referred to in the content. |
© 2025 by the authors. Licensee MDPI, Basel, Switzerland. This article is an open access article distributed under the terms and conditions of the Creative Commons Attribution (CC BY) license (https://creativecommons.org/licenses/by/4.0/).
Share and Cite
Petraccioli, A.; Odierna, G.; Crovato, P.; Guarino, F.M.; Carotenuto, R.; Sparacio, I.; Maio, N. Karyological Diversification of Trochoidea caroni (Gastropoda, Pulmonata, Geomitridae) Between Sicilian and Non-Sicilian Populations. Animals 2025, 15, 2596. https://doi.org/10.3390/ani15172596
Petraccioli A, Odierna G, Crovato P, Guarino FM, Carotenuto R, Sparacio I, Maio N. Karyological Diversification of Trochoidea caroni (Gastropoda, Pulmonata, Geomitridae) Between Sicilian and Non-Sicilian Populations. Animals. 2025; 15(17):2596. https://doi.org/10.3390/ani15172596
Chicago/Turabian StylePetraccioli, Agnese, Gaetano Odierna, Paolo Crovato, Fabio Maria Guarino, Rosa Carotenuto, Ignazio Sparacio, and Nicola Maio. 2025. "Karyological Diversification of Trochoidea caroni (Gastropoda, Pulmonata, Geomitridae) Between Sicilian and Non-Sicilian Populations" Animals 15, no. 17: 2596. https://doi.org/10.3390/ani15172596
APA StylePetraccioli, A., Odierna, G., Crovato, P., Guarino, F. M., Carotenuto, R., Sparacio, I., & Maio, N. (2025). Karyological Diversification of Trochoidea caroni (Gastropoda, Pulmonata, Geomitridae) Between Sicilian and Non-Sicilian Populations. Animals, 15(17), 2596. https://doi.org/10.3390/ani15172596

