Water-Use Efficiency for Post-Weaning Growth Performance of South African Beef Cattle Under Intensive Production Systems
Simple Summary
Abstract
1. Introduction
2. Materials and Methods
2.1. Experimental Design and Animal Feeds
2.2. Performance Measurements
- Wtf—final weight at the end of each feeding period.
- Fin—feed weighed in at the beginning of the week.
- Fout—feed weighed out of feeders at the end of the week.
2.3. Water Efficiency Measures
- Wserv.—service water used for cleaning drinking troughs.
2.4. Statistical Analysis
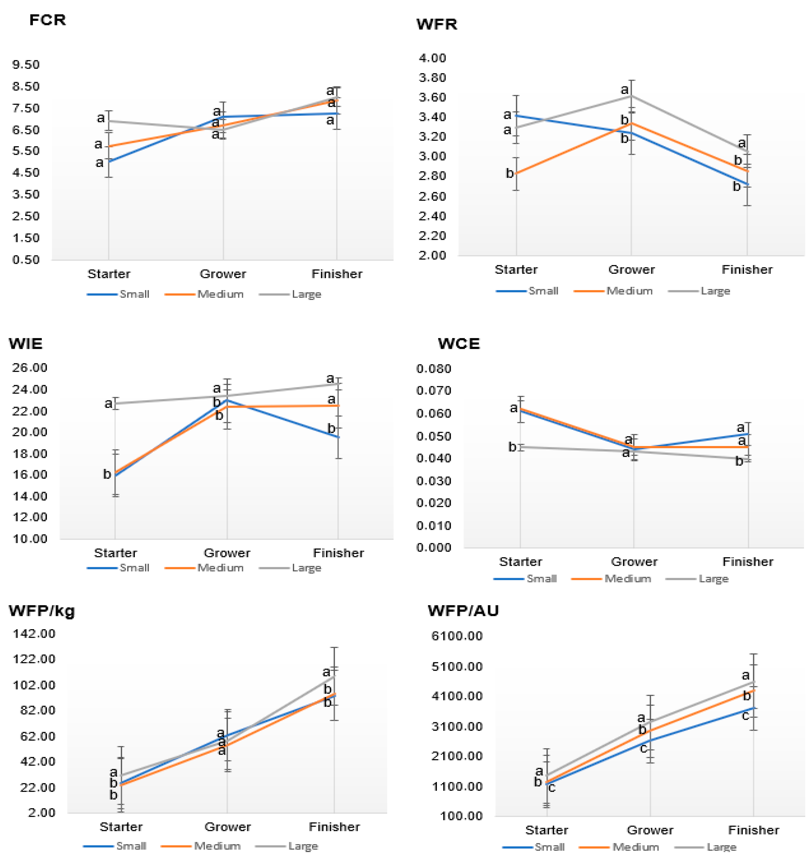
3. Results
3.1. Growth Performance, Feed and Water Intake
3.2. Correlations
4. Discussion
5. Conclusions
Author Contributions
Funding
Institutional Review Board Statement
Informed Consent Statement
Data Availability Statement
Acknowledgments
Conflicts of Interest
References
- Mekonnen, M.M.; Hoekstra, A.Y. A Global Assessment of the Water Footprint of Farm Animal Products. Ecosystems 2012, 15, 401–415. [Google Scholar] [CrossRef]
- Gerbens-Leenes, P.W.; Mekonnen, M.M.; Hoekstra, A.Y. The water footprint of poultry, pork and beef: A comparative study in different countries and production systems. Water Resour. Ind. 2013, 1–2, 25–36. [Google Scholar] [CrossRef]
- Broom, D.M. Land and Water Usage in Beef Production Systems. Animals 2019, 9, 286. [Google Scholar] [CrossRef] [PubMed]
- Boulay, A.-M.; Drastig, K.; Amanullah; Chapagain, A.; Charlon, V.; Civit, B.; DeCamillis, C.; De Souza, M.; Hess, T.; Hoekstra, A.Y.; et al. Building consensus on water use assessment of livestock production systems and supply chains: Outcome and recommendations from the FAO LEAP Partnership. Ecol. Indic. 2021, 124, 107391. [Google Scholar] [CrossRef]
- Wagner, J.J.; Engle, T.E. Invited Review: Water consumption, and drinking behavior of beef cattle, and effects of water quality. Appl. Anim. Sci. 2021, 37, 418–435. [Google Scholar] [CrossRef]
- Ojo, A.O.; Mulim, H.A.; Campos, G.S.; Junqueira, V.S.; Lemenager, R.P.; Schoonmaker, J.P.; Oliveira, H.R. Exploring Feed Efficiency in Beef Cattle: From Data Collection to Genetic and Nutritional Modeling. Animals 2024, 14, 3633. [Google Scholar] [CrossRef] [PubMed]
- Kilemo, D.B. The Review of Water Use Efficiency and Water Productivity Metrics and Their Role in Sustainable Water Resources Management. OALib 2022, 9, e7075. [Google Scholar] [CrossRef]
- Palhares, J.C.P.; Morelli, M.; Novelli, T.I. Water footprint of a tropical beef cattle production system: The impact of individual-animal and feed management. Adv. Water Resour. 2021, 149, 103853. [Google Scholar] [CrossRef]
- Ahlberg, C.M.; Allwardt, K.; Broocks, A.; Bruno, K.; McPhillips, L.; Taylor, A.; Krehbiel, C.R.; Calvo-Lorenzo, M.S.; Richards, C.J.; Place, S.E.; et al. Environmental effects on water intake and water intake prediction in growing beef cattle1,2. J. Anim. Sci. 2018, 96, 4368–4384. [Google Scholar] [CrossRef]
- Ahlberg, C.M.; Allwardt, K.; Broocks, A.; Bruno, K.; Taylor, A.; Mcphillips, L.; Krehbiel, C.R.; Calvo-Lorenzo, M.; Richards, C.J.; Place, S.E.; et al. Characterization of water intake and water efficiency in beef cattle. J. Anim. Sci. 2019, 97, 4770–4782. [Google Scholar] [CrossRef]
- Onyango, C.M.; Nyaga, J.M.; Wetterlind, J.; Söderström, M.; Piikki, K. Precision Agriculture for Resource Use Efficiency in Smallholder Farming Systems in Sub-Saharan Africa: A Systematic Review. Sustainability 2021, 13, 1158. [Google Scholar] [CrossRef]
- Pereira, G.M.; Egito, A.A.; Gomes, R.C.; Ribas, M.N.; Torres Junior, R.A.A.; Fernandes Junior, J.A.; Menezes, G.R.O. Water requirements of beef production can be reduced by genetic selection. Animal 2021, 15, 100142. [Google Scholar] [CrossRef]
- Arboitte, M.Z.; Brondani, I.L.; Restle, J.; Freitas, L.D.S.; Pereira, L.B.; Cardoso, G.D.S. Carcass characteristics of small and medium-frame Aberdeen Angus young steers. Acta Sci. Anim. Sci. 2012, 34, 49–56. [Google Scholar] [CrossRef]
- Ismail, M.; Al-Ansari, T. Enhancing sustainability through resource efficiency in beef production systems using a sliding time window-based approach and frame scores. Heliyon 2023, 9, e17773. [Google Scholar] [CrossRef]
- Ridoutt, B.G.; Page, G.; Opie, K.; Huang, J.; Bellotti, W. Carbon, water and land use footprints of beef cattle production systems in southern Australia. J. Clean. Prod. 2014, 73, 24–30. [Google Scholar] [CrossRef]
- Terry, S.A.; Basarab, J.A.; Guan, L.L.; McAllister, T.A. Strategies to improve the efficiency of beef cattle production. Can. J. Anim. Sci. 2021, 101, 1–19. [Google Scholar] [CrossRef]
- Scholtz, M.; Maiwashe, A.; Neser, F.; Theunissen, A.; Olivier, W.; Mokolobate, M.; Hendriks, J. Livestock breeding for sustainability to mitigate global warming, with the emphasis on developing countries. SA J. An. Sci. 2013, 43, 269. [Google Scholar] [CrossRef]
- AOAC International. Official Method 934.01: Moisture in animal feed (Loss on drying method). In Official Methods of Analysis of AOAC International, 18 ed.; AOAC International: Gaithersburg, MD, USA, 2006. [Google Scholar]
- Chapagain, A.K.; Hoekstra, A.Y. The blue, green and grey water footprint of rice from production and consumption perspectives. Ecol. Econ. 2011, 70, 749–758. [Google Scholar] [CrossRef]
- SAS Institute. Base SAS 9.4 Procedures Guide, Seventh Edition; SAS Institute: Cary, NC, USA, 2017. [Google Scholar]
- Lalman, D.; Holder, A. Nutrient Requirements of Beef Cattle; Oklahoma State University: Stillwater, OK, USA, 2014; pp. 1–24. [Google Scholar]
- Lagreca, G.V.; Neel, J.P.; Lewis, R.M.; Swecker, W.S.; Duckett, S.K. How Does Frame Size, Forage Type, and Time-on-Pasture Alter ForageFinished Beef Quality? J. Anim. Sci. Res. 2018, 2, 1–7. [Google Scholar] [CrossRef]
- Barro, A.G.; Marestone, B.S.; Dos S, E.R.; Ferreira, G.A.; Vero, J.G.; Terto, D.K.; Muniz, C.A.d.S.D.; Bridi, A.M. Genetic parameters for frame size and carcass traits in Nellore cattle. Trop. Anim. Health Prod. 2023, 55, 71. [Google Scholar] [CrossRef]
- Nyamushamba, G.B.; Mapiye, C.; Tada, O.; Halimani, T.E.; Muchenje, V. Conservation of indigenous cattle genetic resources in Southern Africa’s smallholder areas: Turning threats into opportunities—A review. Asian-Australas. J. Anim. Sci. 2016, 30, 603–621. [Google Scholar] [CrossRef]
- Ziegler, R.L.; Musgrave, J.A.; Meyer, T.L.; Funston, R.N.; Dennis, E.J.; Hanford, K.J.; MacDonald, J.C.; Mulliniks, J.T. The impact of cow size on cow-calf and postweaning progeny performance in the Nebraska Sandhills. Transl. Anim. Sci. 2020, 4, txaa194. [Google Scholar] [CrossRef] [PubMed]
- Gerber, P.J.; Mottet, A.; Opio, C.I.; Falcucci, A.; Teillard, F. Environmental impacts of beef production: Review of challenges and perspectives for durability. Meat Sci. 2015, 109, 2–12. [Google Scholar] [CrossRef]
- Nguyen, D.V.; Nguyen, O.C.; Malau-Aduli, A.E.O. Main regulatory factors of marbling level in beef cattle. Vet. Anim. Sci. 2021, 14, 100219. [Google Scholar] [CrossRef]
- Golher, D.M.; Patel, B.H.M.; Bhoite, S.H.; Syed, M.I.; Panchbhai, G.J.; Thirumurugan, P. Factors influencing water intake in dairy cows: A review. Int. J. Biometeorol. 2021, 65, 617–625. [Google Scholar] [CrossRef]
- McAllister, T.A.; Stanford, K.; Chaves, A.V.; Evans, P.R.; Eustaquio De Souza Figueiredo, E.; Ribeiro, G. Nutrition, feeding and management of beef cattle in intensive and extensive production systems. In Animal Agriculture; Elsevier: Amsterdam, The Netherlands, 2020; pp. 75–98. ISBN 978-0-12-817052-6. [Google Scholar]
- Dressler, E.A.; Shaffer, W.; Bruno, K.; Krehbiel, C.R.; Calvo-Lorenzo, M.; Richards, C.J.; Place, S.E.; DeSilva, U.; Kuehn, L.A.; Weaber, R.L.; et al. Heritability and variance component estimation for feed and water intake behaviors of feedlot cattle. J. Anim. Sci. 2023, 101, skad386. [Google Scholar] [CrossRef]
- Tedeschi, L.O.; Johnson, D.C.; Atzori, A.S.; Kaniyamattam, K.; Menendez, H.M. Applying Systems Thinking to Sustainable Beef Production Management: Modeling-Based Evidence for Enhancing Ecosystem Services. Systems 2024, 12, 446. [Google Scholar] [CrossRef]
- Asem-Hiablie, S.; Rotz, C.A.; Stout, R.; Place, S. Management characteristics of beef cattle production in the eastern United States. Prof. Anim. Sci. 2018, 34, 311–325. [Google Scholar] [CrossRef]
- Smith, P.E.; Waters, S.M.; Kenny, D.A.; Kirwan, S.F.; Conroy, S.; Kelly, A.K. Effect of divergence in residual methane emissions on feed intake and efficiency, growth and carcass performance, and indices of rumen fermentation and methane emissions in finishing beef cattle. J. Anim. Sci. 2021, 99, skab275. [Google Scholar] [CrossRef]
- Li, C.; Beauchemin, K.A.; Yang, W. Feeding diets varying in forage proportion and particle length to lactating dairy cows: I. Effects on ruminal pH and fermentation, microbial protein synthesis, digestibility, and milk production. J. Dairy Sci. 2020, 103, 4340–4354. [Google Scholar] [CrossRef] [PubMed]
- Muzzo, B.I.; Ramsey, R.D.; Villalba, J.J. Changes in Climate and Their Implications for Cattle Nutrition and Management. Climate 2024, 13, 1. [Google Scholar] [CrossRef]






| Feed Ingredient (kg) | Starter | Grower | Finisher |
|---|---|---|---|
| Hominy chop | 630 | 670 | 690 |
| Eragrostis hay | 200 | 180 | 160 |
| Soya oilcake | 80 | 60 | 60 |
| Molasses | 60 | 60 | 60 |
| Limestone | 15.0 | 15.0 | 15.0 |
| Urea | 8.0 | 9.0 | 9.0 |
| Salt | 5.0 | 5.0 | 5.0 |
| Vit/mineral premix | 1.9 | 1.8 | 1.6 |
| Estimated nutrient specifications (%) | |||
| DM | 92.35 | 93.81 | 93.13 |
| TDN | 74.22 | 74.69 | 75.26 |
| NE (MJ/kg) | 6.81 | 6.85 | 6.91 |
| CF | 8.41 | 7.69 | 7.08 |
| CP | 13.72 | 13.39 | 13.51 |
| Ca | 6.98 | 6.86 | 6.79 |
| P | 3.13 | 3.10 | 3.14 |
| Frame Size | |||
|---|---|---|---|
| Measurements | Small | Medium | Large |
| Growth performance | |||
| Wti. (kg) | 159.77 c ± 23.65 | 228.41 b ± 23.65 | 265.14 a ± 23.65 |
| Wtf. (kg) | 292.14 c ± 27.27 | 383.46 b ± 27.27 | 412.73 a ±27.27 |
| FI (kg) | 813.68 b ± 47.03 | 1025.21 a ± 47.03 | 1021.59 a ± 47.03 |
| WI (L) | 2510.64 c ± 156.3 | 3095.64 b ± 156.3 | 3394.09 a ± 156.3 |
| WC (L) | 2572.88 c ± 158.8 | 3174.07 b ± 158.8 | 3471.88 a ± 158.8 |
| WG (kg) | 132.36 b ± 15.11 | 155.05 a ± 15.11 | 142.59 a ± 15.11 |
| Efficiency measures | |||
| ADG (kg/day) | 1.26 b ± 0.144 | 1.48 a ± 0.144 | 1.41 ab ± 0.144 |
| FCR (kg feed/kg gain) | 6.30 a ± 0.679 | 6.66 a ± 0.679 | 6.97 a ± 0.679 |
| WFR (L/kg FI) | 3.09 b ± 0.130 | 3.02 b ± 0.130 | 3.33 a ± 0.130 |
| WIE (L/kg gain) | 19.37 b ± 2.179 | 20.15 b ± 2.179 | 23.15 a ± 2.179 |
| WCE (kg gain/L) | 0.051 a ± 0.005 | 0.049 a ± 0.005 | 0.042 b ± 0.005 |
| WFP/kg (L/kg gain) | 29.51 a ± 3.074 | 27.21 a ± 3.074 | 30.01 a ±3.074 |
| WFP/AU (L) | 3822 c ± 197.22 | 4185 b ± 197.22 | 4407 a ± 197.22 |
Disclaimer/Publisher’s Note: The statements, opinions and data contained in all publications are solely those of the individual author(s) and contributor(s) and not of MDPI and/or the editor(s). MDPI and/or the editor(s) disclaim responsibility for any injury to people or property resulting from any ideas, methods, instructions or products referred to in the content. |
© 2025 by the authors. Licensee MDPI, Basel, Switzerland. This article is an open access article distributed under the terms and conditions of the Creative Commons Attribution (CC BY) license (https://creativecommons.org/licenses/by/4.0/).
Share and Cite
Ngxumeshe, A.M.; Mpofu, T.; Nephawe, K.; Ratsaka, M.; Mtileni, B. Water-Use Efficiency for Post-Weaning Growth Performance of South African Beef Cattle Under Intensive Production Systems. Animals 2025, 15, 2505. https://doi.org/10.3390/ani15172505
Ngxumeshe AM, Mpofu T, Nephawe K, Ratsaka M, Mtileni B. Water-Use Efficiency for Post-Weaning Growth Performance of South African Beef Cattle Under Intensive Production Systems. Animals. 2025; 15(17):2505. https://doi.org/10.3390/ani15172505
Chicago/Turabian StyleNgxumeshe, Ayanda M., Takalani Mpofu, Khathutshelo Nephawe, Motshekwe Ratsaka, and Bohani Mtileni. 2025. "Water-Use Efficiency for Post-Weaning Growth Performance of South African Beef Cattle Under Intensive Production Systems" Animals 15, no. 17: 2505. https://doi.org/10.3390/ani15172505
APA StyleNgxumeshe, A. M., Mpofu, T., Nephawe, K., Ratsaka, M., & Mtileni, B. (2025). Water-Use Efficiency for Post-Weaning Growth Performance of South African Beef Cattle Under Intensive Production Systems. Animals, 15(17), 2505. https://doi.org/10.3390/ani15172505

