Breed-Specific Responses of Rabbit Semen to Chilling Storage: Sperm Quality, Acrosome Status, and Oxidative Stress Biomarkers
Simple Summary
Abstract
1. Introduction
2. Materials and Methods
2.1. Animals and Management
2.2. Semen Collection and Initial Evaluation
2.3. Semen Processing
2.4. Assessment of Semen Quality
2.4.1. Sperm Motility
2.4.2. Sperm Viability (Membrane Integrity)
2.5. Assessment of Acrosome Status
2.6. Assessment of Oxidative Stress Biomarkers in Seminal Plasma
2.6.1. Reactive Oxygen Metabolites (ROMs)
2.6.2. Lipid Peroxidation (LPO) Assay
2.6.3. Total Superoxide Dismutase (SOD) Activity
2.6.4. Glutathione Peroxidase (GPX) Activity
2.6.5. Catalase (CAT) Activity
2.7. Statistical Analysis
3. Results
3.1. Assessment of Freshly Pooled Semen Quality
3.2. Assessment of Semen Quality During Chilling Storage
3.2.1. Sperm Quality: Motility and Viability
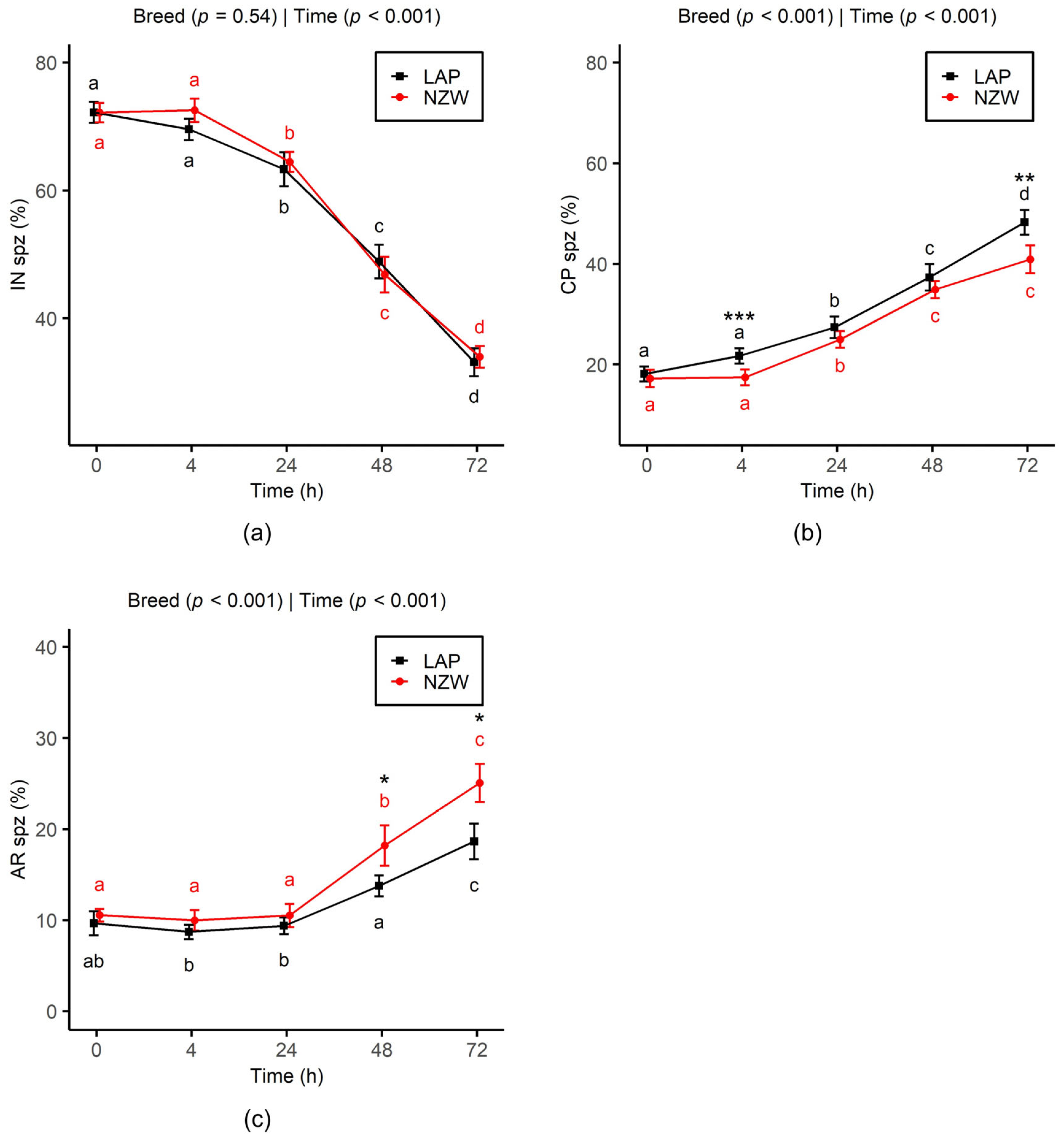
3.2.2. Acrosome Status
3.2.3. Oxidative Stress Biomarkers
3.3. Correlations Between Sperm Quality, Acrosome Status, and OS Markers
4. Discussion
5. Conclusions
Author Contributions
Funding
Institutional Review Board Statement
Informed Consent Statement
Data Availability Statement
Acknowledgments
Conflicts of Interest
References
- Verma, O.P.; Kumar, R.; Kumar, A.; Chand, S. Assisted Reproductive Techniques in Farm Animal—From Artificial Insemination to Nanobiotechnology. Vet. World 2012, 5, 301–310. [Google Scholar] [CrossRef]
- Szendro, Z.; Szendro, K.; Zotte, A.D. Management of Reproduction on Small, Medium and Large Rabbit Farms: A Review. Asian-Australas. J. Anim. Sci. 2012, 25, 738–748. [Google Scholar] [CrossRef]
- Castellini, C.; Mattioli, S.; Dal Bosco, A.; Collodel, G. The Rabbit Male Reproduction. In Veterinary Care of Farm Rabbits: A Complete Practice Guide to Rabbit Medicine and Production; Simoes, J., Monteiro, J.M., Eds.; Springer: Cham, Switzerland, 2024; pp. 269–294. [Google Scholar] [CrossRef]
- Roca, J.; Martínez, S.; Vázquez, J.M.; Lucas, X.; Parrilla, I.; Martínez, E.A. Viability and Fertility of Rabbit Spermatozoa Diluted in Tris-Buffer Extenders and Stored at 15 °C. Anim. Reprod. Sci. 2000, 64, 103–112. [Google Scholar] [CrossRef] [PubMed]
- Di Iorio, M.; Manchisi, A.; Rocco, M.; Chrenek, P.; Iaffaldano, N. Comparison of Different Extenders on the Preservability of Rabbit Semen Stored at 5 °C for 72 Hours. Ital. J. Anim. Sci. 2014, 13, 710–714. [Google Scholar] [CrossRef]
- López-Gatius, F.; Sances, G.; Sancho, M.; Yániz, J.; Santolaria, P.; Gutiérrez, R.; Núñez, M.; Núñez, J.; Soler, C. Effect of Solid Storage at 15 °C on the Subsequent Motility and Fertility of Rabbit Semen. Theriogenology 2005, 64, 252–260. [Google Scholar] [CrossRef]
- Domingo, P.; Olaciregui, M.; González, N.; De Blas, I.; Gil, L. Effects of Seminal Plasma and Different Cryoprotectants on Rabbit Sperm Preservation at 16 °C. Exp. Anim. 2018, 67, 413–420. [Google Scholar] [CrossRef] [PubMed]
- Kankofer, M.; Kolm, G.; Aurich, J.; Aurich, C. Activity of Glutathione Peroxidase, Superoxide Dismutase and Catalase and Lipid Peroxidation Intensity in Stallion Semen during Storage at 5 °C. Theriogenology 2005, 63, 1354–1365. [Google Scholar] [CrossRef]
- Sikka, S. Relative Impact of Oxidative Stress on Male Reproductive Function. Curr. Med. Chem. 2001, 8, 851–862. [Google Scholar] [CrossRef] [PubMed]
- Silvestre, M.A.; Yániz, J.L.; Peña, F.J.; Santolaria, P.; Castelló-Ruiz, M. Role of Antioxidants in Cooled Liquid Storage of Mammal Spermatozoa. Antioxidants 2021, 10, 1096. [Google Scholar] [CrossRef]
- Peña, F.J.; Gibb, Z. Oxidative Stress and Reproductive Function: Oxidative Stress and the Long-Term Storage of Horse Spermatozoa. Reproduction 2022, 164, F135–F144. [Google Scholar] [CrossRef]
- Bansal, A.K.; Bilaspuri, G.S. Impacts of Oxidative Stress and Antioxidants on Semen Functions. Vet. Med. Int. 2011, 2011, 1–7. [Google Scholar] [CrossRef]
- Aitken, R.J. Reactive Oxygen Species as Mediators of Sperm Capacitation and Pathological Damage. Mol. Reprod. Dev. 2017, 84, 1039–1052. [Google Scholar] [CrossRef]
- Rosato, M.P.; Di Iorio, M.; Manchisi, A.; Gambacorta, M.; Petrosino, G.; Centoducati, G.; Santacroce, M.P.; Iaffaldano, N. In Vitro Survival and Lipid Peroxidation Status of Rabbit Spermatozoa after Both Chilled and Frozen Storage in Lycopene Enriched Extenders. Livest. Sci. 2012, 146, 199–202. [Google Scholar] [CrossRef]
- Johinke, D.; de Graaf, S.P.; Bathgate, R. Quercetin Reduces the in Vitro Production of H2O2 during Chilled Storage of Rabbit Spermatozoa. Anim. Reprod. Sci. 2014, 151, 208–219. [Google Scholar] [CrossRef]
- Aitken, R.J.; Jones, K.T.; Robertson, S.A. Reactive Oxygen Species and Sperm Function—In Sickness and In Health. J. Androl. 2012, 33, 1096–1106. [Google Scholar] [CrossRef] [PubMed]
- Castellini, C.; Lattaioli, P.; Bosco, A.D.; Beghelli, D. Effect of Supranutritional Level of Dietary α-Tocopheryl Acetate and Selenium on Rabbit Semen. Theriogenology 2002, 58, 1723–1732. [Google Scholar] [CrossRef] [PubMed]
- El-Gindy, Y.M. Improvement in Quality and Storage Ability of Rabbit Semen by Using Black or Thyme Seed as Dietary Supplementation. J. Anim. Physiol. Anim. Nutr. 2022, 106, 642–654. [Google Scholar] [CrossRef]
- Sariözkan, S.; Türk, G.; Cantürk, F.; Yay, A.; Eken, A.; Akçay, A. The Effect of Bovine Serum Albumin and Fetal Calf Serum on Sperm Quality, DNA Fragmentation and Lipid Peroxidation of the Liquid Stored Rabbit Semen. Cryobiology 2013, 67, 1–6. [Google Scholar] [CrossRef] [PubMed]
- Sakr, O.G.; Gad, A.; Rodríguez, M.; Rebollar, P.G.; Millán, P. Superoxide Dismutase Mimics Improves Semen Quality during Chilled Preservation of Rabbit Spermatozoa. Livest. Sci. 2019, 221, 70–76. [Google Scholar] [CrossRef]
- Bayomy, M.F.F.; Hassab El-Nabi, S.E.; El Kassas, T.A.; Attia, Z.I.; Saeed, A.M.; Taha, H.S.A.; Alagawany, M.; Galosi, L.; Biagini, L.; El-Kassas, S. Extender Supplementation with Glutathione (GSH) and Taurine Improves In Vitro Sperm Quality and Antioxidant Status of New Zealand Rabbits during Chilled Storage for up to 72 Hours. Vet. Med. Int. 2023, 2023, 8339591. [Google Scholar] [CrossRef]
- Johinke, D.; de Graaf, S.P.; Bathgate, R. The Effect of Sperm Concentration and Storage Vessel on Quercetin-Supplemented Rabbit Semen During Chilled Storage. Reprod. Domest. Anim. 2015, 50, 567–573. [Google Scholar] [CrossRef] [PubMed]
- Mocé, E.; Vicente, J.S.; Lavara, R. Effect of Freezing-Thawing Protocols on the Performance of Semen from Three Rabbit Lines after Artificial Insemination. Theriogenology 2003, 60, 115–123. [Google Scholar] [CrossRef]
- Kulíková, B.; Baláži, A.; Supuka, P.; Chrenek, P.; Kulíková, B. Quality of Fresh and Frozen-Thawed Semen from Slovak Native Rabbit and Its Storage in the Gene Bank. Slovak J. Anim. Sci. 2017, 50, 107–111. [Google Scholar]
- Polgár, Z.S.; Virág, G.Y.; Baranyai, B.; Bodo, S.Z.; Kovacs, A.; Gócza, E. Evaluation of Effects of Cryopreservation on Rabbit Spermatozoa Membranes with Trypan Blue-Giemsa Staining. In Proceedings of the 8th World Rabbit Congress, Puebla, Mexico, 7–10 September 2004; pp. 322–329. [Google Scholar]
- Mocé, E.; Lavara, R.; Vicente, J. Influence of the Donor Male on the Fertility of Frozen-Thawed Rabbit Sperm after Artificial Insemination of Females of Different Genotypes. Reprod. Domest. Anim. 2005, 40, 516–521. [Google Scholar] [CrossRef] [PubMed]
- Boulbina, I.; Ainbaziz, H.; Ilès, I.; Belabbas, R.; Benali, N.; Zenia, S.; Temim, S. Effet de La Saison de Naissance Sur l’âge d’entrée En Puberté et Les Caractéristiques de La Semence Chez Le Lapin Mâle de Population Locale Algérienne (Oryctolagus Cuniculus). Livest. Res. Rural. Dev. 2012, 24, 11. [Google Scholar]
- Boulbina, I.; Ain-Baziz, H.; Ilès, I.; Zenia, S.; Belabbas, R.; Temim, S. Effect of Birth Season on Onset of Puberty and Semen Characteristics in Male Rabbit of Algerian Population (Oryctolagus Cuniculus). In Proceedings of the 10th World Rabbit Congress, Sharam El-Sheikh, Egypt, 3–6 September 2012; pp. 335–339. [Google Scholar]
- Ain-Baziz, H.; Boulbina, I.; Ilès, I.; Belabbas, R.; Zenia, S.; Temim, S. Influence of Environmental Temperature and Relative Humidity on Semen Characteristics in Male Rabbit (Oryctolagus Cuniculus) of Local Algerian Population. In Proceedings of the 10th World Rabbit Congress, Sharam El-Sheikh, Egypt, 3–6 September 2012; pp. 347–350. [Google Scholar]
- Berrouaguia, K.; Meliani, S.; Guemour, D.; Khelil, S.; Selmani, M. Sperm Quality in Response to Age in Local Rabbits Reared in Semi-Arid Environment (Tiaret, Algeria). Adv. Biol. Earth Sci. 2020, 5, 98–102. [Google Scholar]
- Berrouaguia, K.; Guemour, D.; Meliani, S.; Khelil, S.; Selmani, M. Sperm characteristics variation of local Algerian rabbit’s population under different temperatures. Adv. Biol. Earth Sci. 2022, 7, 87–94. [Google Scholar]
- Tarzaali, D.; Boumahdi Merad, Z.; Abdelli, A.; Nabi, I.; Bachir Pacha, M.; Meskouri, I.; Kaidi, R. Evaluation of semen quality in rabbit of local Algerian population and synthetic line in the summer season: A comparative study. Agricultura 2020, 115, 149–157. [Google Scholar]
- Dominique, B. Reproduction et Insémination Artificielle En Cuniculture; Association Française de Cuniculture: Lempdes, France, 1989; pp. 1–234. [Google Scholar]
- IRRG (International Rabbit Reproduction Group). Guidelines for Handling of Rabbit Bucks and Semen. World Rabbit. Sci. 2005, 13, 71–91. [Google Scholar]
- Umair, M.; Claes, A.; Buijtendorp, M.; Cuervo-Arango, J.; Stout, T.A.E.; Henning, H. In Vitro Aging of Stallion Spermatozoa during Prolonged Storage at 5°C. Cytom. Part A 2023, 103, 479–491. [Google Scholar] [CrossRef] [PubMed]
- Ducci, M.; Gazzano, A.; Villani, C.; Cela, V.; Artini, P.G.; Martelli, F.; Genazzani, A.R. Membrane Integrity Evaluation in Rabbit Spermatozoa. Eur. J. Obstet. Gynecol. Reprod. Biol. 2002, 102, 53–56. [Google Scholar] [CrossRef] [PubMed]
- Kaul, G.; Sharma, G.S.; Singh, B.; Gandhi, K.K. Capacitation and Acrosome Reaction in Buffalo Bull Spermatozoa Assessed by Chlortetracycline and Agglutinin Fluorescence Assay. Theriogenology 2001, 55, 1457–1468. [Google Scholar] [CrossRef] [PubMed]
- Castellini, C.; Mattioli, S.; Ruggeri, S.; Dal Bosco, A.; Collodel, G. The Time-Dependent Effects of Prostate Granules and Seminal Plasma on the Capacitation, Acrosome Reaction, and Motility of Rabbit Sperm. Anim. Reprod. Sci. 2013, 140, 97–102. [Google Scholar] [CrossRef]
- Ohkawa, H.; Ohishi, N.; Yagi, K. Assay for Lipid Peroxides in Animal Tissues by Thiobarbituric Acid Reaction. Anal. Biochem. 1979, 95, 351–358. [Google Scholar] [CrossRef]
- Mesa-Herrera, F.; Quinto-Alemany, D.; Díaz, M. A Sensitive, Accurate, and Versatile Method for the Quantification of Superoxide Dismutase Activities in Biological Preparations. React. Oxyg. Species 2019, 7, 10–20. [Google Scholar] [CrossRef][Green Version]
- Flohé, L.; Günzler, W.A. [12] Assays of Glutathione Peroxidase. In Methods in Enzymology; Academic Press: Cambridge, MA, USA, 1984; Volume 105, pp. 114–120. [Google Scholar] [CrossRef]
- Hadwan, M.H. New Method for Assessment of Serum Catalase Activity. Indian J. Sci. Technol. 2016, 9, 1–5. [Google Scholar] [CrossRef]
- Abd El-Azim, A.; El-Kamash, E.M. Evaluation of Semen Quality and Its Relation To Mating System for Some Breeds of Rabbits Under Environmental Conditions in the Middle of Egypt. Egypt. Poult. Sci. 2011, 31, 467–480. [Google Scholar]
- Safaa, H.M.; Emarah, M.E.; Saleh, N.F.A. Seasonal Effects on Semen Quality in Black Baladi and White New Zealand Rabbit Bucks. World Rabbit. Sci. 2010, 16, 13–20. [Google Scholar] [CrossRef]
- Anous, M.R.; Abdalah, E.B.; Abdou, A.; El-Badawy, A.A. Semen Quality Characteristics and Plasma Seminal Protein Patterns of Different Egyptian Rabbit Bucks. Egypt. J. Anim. Prod. 2017, 54, 215–222. [Google Scholar] [CrossRef]
- El-Deghadi, A.S. Analysis of Genetic and Non-Genetic Factors Affecting Semen Traits in Baldi Black and New Zealand White Rabbits. Egypt. J. Vet. Sci. 2024, 1–9. Available online: https://doi.org/10.21608/ejvs.2024.266086.1813 (accessed on 25 September 2024).
- García-Tomás, M.; Sánchez, J.; Rafel, O.; Ramon, J.; Piles, M. Heterosis, Direct and Maternal Genetic Effects on Semen Quality Traits of Rabbits. Livest. Sci. 2006, 100, 111–120. [Google Scholar] [CrossRef]
- Brun, J.-M.; Theau-Clément, M.; Bolet, G. The Relationship between Rabbit Semen Characteristics and Reproductive Performance after Artificial Insemination. Anim. Reprod. Sci. 2002, 70, 139–149. [Google Scholar] [CrossRef]
- Takihara, H.; Cosentino, M.J.; Sakatoku, J.; Cockett, A.T.K. Significance of Testicular Size Measurement in Andrology: II. Correlation of Testicular Size with Testicular Function. J. Urol. 1987, 137, 416–419. [Google Scholar] [CrossRef]
- Adeyemo, G.O.; Longe, O.G.; Adejumo, D.O. The Reproductive Performance of Breeder Cocks Fed Cottonseed Cake-Based Diets. Int. J. Poult. Sci. 2007, 6, 140–144. [Google Scholar] [CrossRef]
- Venge, O.; Frölich, A. Semen Production in Different Breeds of Rabbit II. Acta Agric. Scand. 1950, 1, 291–300. [Google Scholar] [CrossRef]
- Brun, J.-M.; Theau-Clément, M.; Esparbié, J.; Falières, J.; Saleil, G.; Larzul, C. Semen Production in Two Rabbit Lines Divergently Selected for 63-d Body Weight. Theriogenology 2006, 66, 2165–2172. [Google Scholar] [CrossRef] [PubMed]
- Rodríguez-De Lara, R.; Fallas-López, M.; García-Muñiz, J.G.; Martínez-Hernández, P.A.; Rangel-Santos, R.; Maldonado-Siman, E.; Cadena-Meneses, J.A. Sexual Behavior and Seminal Characteristics of Fertile Mature New Zealand White Male Rabbits of Different Body Weights. Anim. Reprod. Sci. 2015, 152, 90–98. [Google Scholar] [CrossRef] [PubMed]
- Alvariño, J.M.R. Reproductive Performance of Male Rabbits. In Proceedings of the 7th World Rabbit Congress, Valencia, Spain, 4–7 July 2000; pp. 13–36. [Google Scholar]
- Theau-Clément, M.; Ailloud, E.; Sanchez, A.; Duzert, R.; Saleil, G.; Brun, J.M. Relation Entre Les Caractéristiques de La Semence de Lapin et Sa Fécondance. In Proceedings of the 14ème Journées de la Recherhe Cunicole, Le Mans, France, 22–23 November 2011; pp. 73–76. [Google Scholar]
- Ahmad, E.; Naseer, Z.; Aksoy, M. Glutathione Supplementation in Semen Extender Improves Rabbit Sperm Attributes during Refrigeration. World Rabbit. Sci. 2021, 29, 81. [Google Scholar] [CrossRef]
- Gogol, P. Motility Parameters and Intracellular ATP Content of Rabbit Spermatozoa Stored for 3 Days at 15 °C. Folia Biol (Praha) 2013, 61, 87–91. [Google Scholar] [CrossRef][Green Version]
- Lavara, R.; Mocé, E.; Lavara, F.; Viudes de Castro, M.P.; Vicente, J.S. Do Parameters of Seminal Quality Correlate with the Results of On-Farm Inseminations in Rabbits? Theriogenology 2005, 64, 1130–1141. [Google Scholar] [CrossRef] [PubMed]
- Castellini, C. Semen Production and Management of Rabbit Bucks. In Proceedings of the 9th World Rabbit Congress, Verona, Italy; 2008; pp. 265–278. [Google Scholar]
- Lavara, R.; Mocé, E.; Baselga, M.; Vicente, J.S. Freezability Genetics in Rabbit Semen. Theriogenology 2017, 102, 54–58. [Google Scholar] [CrossRef]
- Muiño-Blanco, T.; Pérez-Pé, R.; Cebrián-Pérez, J. Seminal Plasma Proteins and Sperm Resistance to Stress. Reprod. Domest. Anim. 2008, 43, 18–31. [Google Scholar] [CrossRef]
- Catalán, J.; Yánez-Ortiz, I.; Tvarijonaviciute, A.; González-Aróstegui, L.G.; Rubio, C.P.; Barranco, I.; Yeste, M.; Miró, J. Seminal Plasma Antioxidants Are Related to Sperm Cryotolerance in the Horse. Antioxidants 2022, 11, 1279. [Google Scholar] [CrossRef]
- Suo, J.; Wang, J.; Zheng, Y.; Xiao, F.; Li, R.; Huang, F.; Niu, P.; Zhu, W.; Du, X.; He, J.; et al. Recent Advances in Cryotolerance Biomarkers for Semen Preservation in Frozen Form—A Systematic Review. PLoS ONE 2024, 19, e0303567. [Google Scholar] [CrossRef]
- Casares-Crespo, L.; Fernández-Serrano, P.; Viudes-de-Castro, M.P. Proteomic Characterization of Rabbit (Oryctolagus Cuniculus) Sperm from Two Different Genotypes. Theriogenology 2019, 128, 140–148. [Google Scholar] [CrossRef]
- Casares-Crespo, L.; Fernández-Serrano, P.; Vicente, J.S.; Marco-Jiménez, F.; Viudes-de-Castro, M.P. Rabbit Seminal Plasma Proteome: The Importance of the Genetic Origin. Anim. Reprod. Sci. 2017, 189, 30–42. [Google Scholar] [CrossRef]
- Bezerra, M.J.B.; Arruda-Alencar, J.M.; Martins, J.A.M.; Viana, A.G.A.; Viana Neto, A.M.; Rêgo, J.P.A.; Oliveira, R.V.; Lobo, M.; Moreira, A.C.O.; Moreira, R.A.; et al. Major Seminal Plasma Proteome of Rabbits and Associations with Sperm Quality. Theriogenology 2019, 128, 156–166. [Google Scholar] [CrossRef] [PubMed]
- Guthrie, H.D.; Welch, G.R. Effects of Reactive Oxygen Species on Sperm Function. Theriogenology 2012, 78, 1700–1708. [Google Scholar] [CrossRef] [PubMed]
- Foote, R.H.; Hare, E. High Catalase Content of Rabbit Semen Appears to Be Inherited. J. Androl. 2000, 21, 664–668. [Google Scholar] [CrossRef]
- Pintus, E.; Ros-Santaella, J.L. Impact of Oxidative Stress on Male Reproduction in Domestic and Wild Animals. Antioxidants 2021, 10, 1154. [Google Scholar] [CrossRef] [PubMed]
- El-Seadawy, I.; Hussein, S.; El-Senosy, Y.; El-Nattat, W.; El-Tohamy, M.; Hussein, A. Effect of Pomegranate Peel Methanolic Extract on Oxidative/Antioxidant Status of Chilled Diluted Rabbit Semen. Benha Vet. Med. J. 2017, 33, 1–8. [Google Scholar] [CrossRef]
- Holland, M.K.; Storey, B.T. Oxygen Metabolism of Mammalian Spermatozoa. Generation of Hydrogen Peroxide by Rabbit Epididymal Spermatozoa. Biochem. J. 1981, 198, 273–280. [Google Scholar] [CrossRef]
- LI, T.-K. The Glutathione and Thiol Content of Mammalian Spermatozoa and Seminal Plasma. Biol. Reprod. 1975, 12, 641–646. [Google Scholar] [CrossRef]
- Holland, M.K.; Alvarez, J.G.; Storey, B.T. Production of Superoxide and Activity of Superoxide Dismutase in Rabbit Epididymal Spermatozoa. Biol. Reprod. 1982, 27, 1109–1118. [Google Scholar] [CrossRef]
- Jimoh, O.A.; Ewuola, E.O. Semen Characteristics and Seminal Oxidative Status of Four Breeds of Rabbit in South West, Nigeria. J. Basic Appl. Zool. 2019, 80, 1–9. [Google Scholar] [CrossRef]
- Barranco, I.; Padilla, L.; Tvarijonaviciute, A.; Parrilla, I.; Martínez, E.A.; Rodriguez-Martinez, H.; Yeste, M.; Roca, J. Levels of Activity of Superoxide Dismutase in Seminal Plasma Do Not Predict Fertility of Pig AI-Semen Doses. Theriogenology 2019, 140, 18–24. [Google Scholar] [CrossRef] [PubMed]
- Chatdarong, K.; Chaivechakarn, A.; Thuwanut, P.; Ponglowhapan, S. Effects of Cold Storage Prior to Freezing on Superoxide Dismutase, Glutathione Peroxidase Activities, Level of Total Reactive Oxygen Species and Sperm Quality in Dogs. Reprod. Domest. Anim. 2012, 47, 274–277. [Google Scholar] [CrossRef] [PubMed]
- Hsu, P.-C.; Hsu, C.-C.; Guo, Y.L. Hydrogen Peroxide Induces Premature Acrosome Reaction in Rat Sperm and Reduces Their Penetration of the Zona Pellucida. Toxicology 1999, 139, 93–101. [Google Scholar] [CrossRef] [PubMed]
- Aitken, R. Free Radicals, Lipid Peroxidation and Sperm Function. Reprod. Fertil. Dev. 1995, 7, 659–668. [Google Scholar] [CrossRef] [PubMed]
- de Lamirande, E.; Gagnon, C. Human Sperm Hyperactivation in Whole Semen and Its Association with Low Superoxide Scavenging Capacity in Seminal Plasma. Fertil. Steril. 1993, 59, 1291–1295. [Google Scholar] [CrossRef]
- Zhu, Z.; Ren, Z.; Fan, X.; Pan, Y.; Lv, S.; Pan, C.; Lei, A.; Zeng, W. Cysteine Protects Rabbit Spermatozoa against Reactive Oxygen Species-Induced Damages. PLoS ONE 2017, 12, e0181110. [Google Scholar] [CrossRef] [PubMed]
- Foote, R.H. Catalase Content of Rabbit, Ram, Bull and Boar Semen. J. Anim. Sci. 1962, 21, 966–968. [Google Scholar] [CrossRef]




| Semen Variables | LAP | NWZ | p |
|---|---|---|---|
| pH | 7.54 ± 0.03 | 7.61 ± 0.04 | 0.01 |
| Pool volume (mL) | 5.61 ± 0.39 | 5.52 ± 0.59 | 0.75 |
| Pool concentration (106 spz/mL) | 688.44 ± 12.95 | 620.83 ± 29.85 | 0.03 |
| Total sperm cells (106 spz/pool) | 3872.88 ± 296.18 | 3479.28 ± 476.42 | 0.11 |
| MM (0–9) | 9 ± 0 | 8.78 ± 0.22 | 0.29 |
| IM (0–4) | 4 ± 0 | 3.89 ± 0.11 | 0.30 |
| Sperm motility (%) | 84.44 ± 1 | 83.33 ± 1.67 | 0.52 |
| Sperm viability (%) | 85 ± 1.07 | 84 ± 1.47 | 0.55 |
| IN spz (%) | 74 ± 1.18 | 72.73 ± 1.2 | 0.56 |
| CP spz (%) | 19.33 ± 1.03 | 19 ± 1.52 | 0.85 |
| AR spz (%) | 6.67 ± 0.71 | 8.27 ± 0.87 | 0.20 |
Disclaimer/Publisher’s Note: The statements, opinions and data contained in all publications are solely those of the individual author(s) and contributor(s) and not of MDPI and/or the editor(s). MDPI and/or the editor(s) disclaim responsibility for any injury to people or property resulting from any ideas, methods, instructions or products referred to in the content. |
© 2025 by the authors. Licensee MDPI, Basel, Switzerland. This article is an open access article distributed under the terms and conditions of the Creative Commons Attribution (CC BY) license (https://creativecommons.org/licenses/by/4.0/).
Share and Cite
Boulbina, I.; Bekara, M.E.A.; AinBaziz, H.; Mattioli, S.; Castellini, C. Breed-Specific Responses of Rabbit Semen to Chilling Storage: Sperm Quality, Acrosome Status, and Oxidative Stress Biomarkers. Animals 2025, 15, 2384. https://doi.org/10.3390/ani15162384
Boulbina I, Bekara MEA, AinBaziz H, Mattioli S, Castellini C. Breed-Specific Responses of Rabbit Semen to Chilling Storage: Sperm Quality, Acrosome Status, and Oxidative Stress Biomarkers. Animals. 2025; 15(16):2384. https://doi.org/10.3390/ani15162384
Chicago/Turabian StyleBoulbina, Ibtissem, Mohammed El Amine Bekara, Hacina AinBaziz, Simona Mattioli, and Cesare Castellini. 2025. "Breed-Specific Responses of Rabbit Semen to Chilling Storage: Sperm Quality, Acrosome Status, and Oxidative Stress Biomarkers" Animals 15, no. 16: 2384. https://doi.org/10.3390/ani15162384
APA StyleBoulbina, I., Bekara, M. E. A., AinBaziz, H., Mattioli, S., & Castellini, C. (2025). Breed-Specific Responses of Rabbit Semen to Chilling Storage: Sperm Quality, Acrosome Status, and Oxidative Stress Biomarkers. Animals, 15(16), 2384. https://doi.org/10.3390/ani15162384

