Formation of Adaptive Trophic Niches of Euryphagous Fish Species in Response to Off-Seasonal Water Level Regulation in Hongze Lake
Simple Summary
Abstract
1. Introduction
2. Materials and Methods
2.1. Study Area and Sampling Procedure
2.2. Stable Isotope Analysis
2.3. Trophic Position Calculation
2.4. Isotopic Niche Width and Elllipses Overlap
2.5. Statistical Analysis
3. Results
3.1. Carbon and Nitrogen Isotopes of Primary Carbon Sources and Three Fish Species
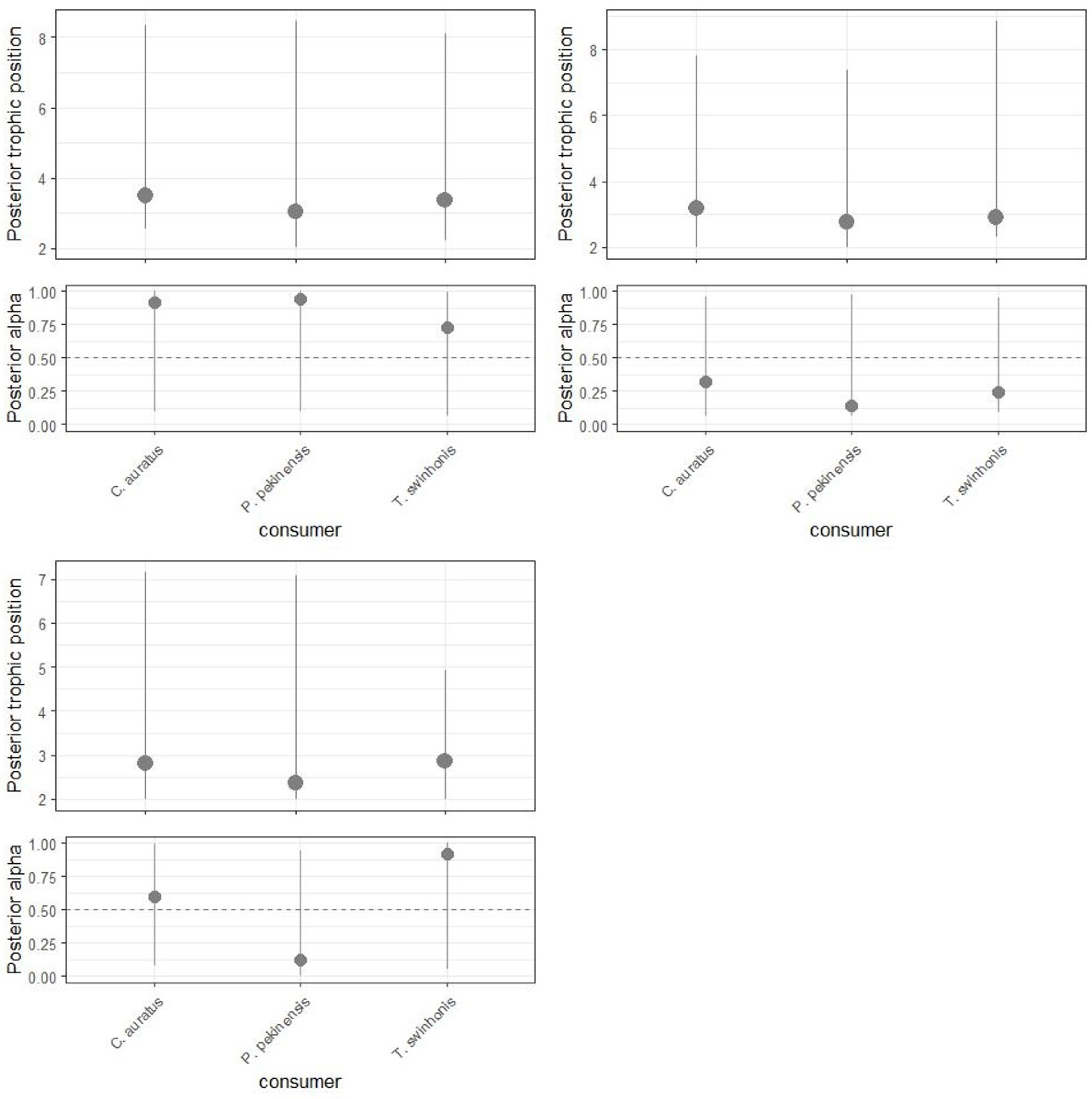
3.2. Trophic Position of the Three Fish Species
3.3. Isotopic Niche Width, Ellipses Overlap and Contribution of Primary Carbon Sources to the Diets of Three Fish Species
4. Discussion
4.1. δ13C and δ15N Characteristics of Primary Carbon Sources and Three Fish Species in Hongze Lake
4.2. Trophic Position Variations of the Three Fish Species Across Different Water Periods
4.3. Feeding Strategies of Three Fish Species Under Off-Seasonal Water Level Regulations
4.4. Coexistence Mechanism of Three Fish Species Under Off-Seasonal Water Level Regulations and Its Implications
5. Conclusions
Author Contributions
Funding
Institutional Review Board Statement
Informed Consent Statement
Data Availability Statement
Acknowledgments
Conflicts of Interest
Correction Statement
References
- Bai, T.; Sun, X.-G.; Wei, J.; Wu, L. Hydrological Response and Ecological Flow Optimization in Water Diversion Area of Inter-basin Water Diversion Project. Water Resour. Manag. 2022, 36, 5839–5865. [Google Scholar] [CrossRef]
- Jiao, L.; Liu, R.; Wang, L.; Li, L.; Cao, L. Evaluating spatiotemporal variations in the impact of inter-basin water transfer projects in water-receiving basin. Water Resour. Manag. 2021, 35, 5409–5429. [Google Scholar] [CrossRef]
- Yan, H.; Lin, Y.; Chen, Q.; Zhang, J.; He, S.; Feng, T.; Wang, Z.; Chen, C.; Ding, J. A review of the eco-environmental impacts of the South-to-North Water Diversion: Implications for interbasin water transfers. Engineering 2023, 30, 161–169. [Google Scholar] [CrossRef]
- Bhele, U.; Öğlü, B.; Tuvikene, A.; Bernotas, P.; Silm, M.; Järvalt, A.; Agasild, H.; Zingel, P.; Seller, S.; Timm, H. How long-term water level changes influence the spatial distribution of fish and other functional groups in a large shallow lake. J. Great Lakes Res. 2020, 46, 813–823. [Google Scholar] [CrossRef]
- Guo, C.; Chen, Y.; Liu, H.; Lu, Y.; Qu, X.; Yuan, H.; Lek, S.; Xie, S. Modelling fish communities in relation to water quality in the impounded lakes of China’s South-to-North Water Diversion Project. Ecol. Model. 2019, 397, 25–35. [Google Scholar] [CrossRef]
- Hansen, A.G.; Gardner, J.R.; Connelly, K.A.; Polacek, M.; Beauchamp, D.A. Trophic compression of lake food webs under hydrologic disturbance. Ecosphere 2018, 9, e02304. [Google Scholar] [CrossRef]
- Sánchez-Hernández, J.; Gabler, H.M.; Amundsen, P.A. Prey diversity as a driver of resource partitioning between river-dwelling fish species. Ecol. Evol. 2017, 7, 2058–2068. [Google Scholar] [CrossRef]
- Correa, S.B.; Winemiller, K.O. Niche partitioning among frugivorous fishes in response to fluctuating resources in the Amazonian floodplain forest. Ecology 2014, 95, 210–224. [Google Scholar] [CrossRef]
- Moncayo-Estrada, R.; Lind, O.T.; Escalera-Gallardo, C. Trophic interactions among sympatric zooplanktivorous fish species in volume change conditions in a large, shallow, tropical lake. Neotrop. Ichthyol. 2011, 9, 169–176. [Google Scholar] [CrossRef][Green Version]
- Leira, M.; Cantonati, M. Effects of water-level fluctuations on lakes: An annotated bibliography. In Ecological Effects of Water-Level Fluctuations in Lakes; Springer: Berlin/Heidelberg, Germany, 2008; pp. 171–184. [Google Scholar] [CrossRef]
- Fischer, P.; Öhl, U. Effects of water-level fluctuations on the littoral benthic fish community in lakes: A mesocosm experiment. Behav. Ecol. 2005, 16, 741–746. [Google Scholar] [CrossRef]
- Carmignani, J.R.; Roy, A.H. Ecological impacts of winter water level drawdowns on lake littoral zones: A review. Aquat. Sci. 2017, 79, 803–824. [Google Scholar] [CrossRef]
- Wang, Y.; Yu, X.; Li, W.; Xu, J.; Chen, Y.; Fan, N. Potential influence of water level changes on energy flows in a lake food web. Chin. Sci. Bull. 2011, 56, 2794–2802. [Google Scholar] [CrossRef]
- Thomaz, S.M.; Bini, L.M.; Bozelli, R.L. Floods increase similarity among aquatic habitats in river-floodplain systems. Hydrobiologia 2007, 579, 1–13. [Google Scholar] [CrossRef]
- Scheiner, S.M.; Willig, M.R. The Theory of Ecology; University of Chicago Press: Chicago, IL, USA, 2011. [Google Scholar]
- Pianka, E.R. Niche overlap and diffuse competition. Proc. Natl. Acad. Sci. USA 1974, 71, 2141–2145. [Google Scholar] [CrossRef]
- Stephens, D.W.; Krebs, J.R. Foraging Theory; Princeton University Press: Princeton, NJ, USA, 1986; Volume 6. [Google Scholar]
- Perry, G.; Pianka, E.R. Animal foraging: Past, present and future. Trends Ecol. Evol. 1997, 12, 360–364. [Google Scholar] [CrossRef]
- Liu, F.; Wang, J.; Liu, H. Seasonal variations in food resource partitioning among four sympatric gudgeon species in the upper Yangtze River. Ecol. Evol. 2019, 9, 7227–7236. [Google Scholar] [CrossRef]
- Wang, Y.; Huan, Z.; YuWei, C.; Lu, Z.; Guangchun, L. Trophic niche width and overlap of three benthic living fish species in Poyang Lake: A stable isotope approach. Wetlands 2019, 39, 17–23. [Google Scholar] [CrossRef]
- Schoener, T.W. Resource Partitioning in Ecological Communities: Research on how similar species divide resources helps reveal the natural regulation of species diversity. Science 1974, 185, 27–39. [Google Scholar] [CrossRef]
- Alley, T.R. Competition theory, evolution, and the concept of an ecological niche. Acta Biotheor. 1982, 31, 165–179. [Google Scholar] [CrossRef]
- Azevedo, L.S.; Pestana, I.A.; Almeida, M.G.; Bastos, W.R.; Souza, C.M.M. Do fish isotopic niches change in an Amazon floodplain lake over the hydrological regime? Ecol. Freshw. Fish 2022, 31, 72–80. [Google Scholar] [CrossRef]
- Quirino, B.A.; Carniatto, N.; Guglielmetti, R.; Fugi, R. Changes in diet and niche breadth of a small fish species in response to the flood pulse in a Neotropical floodplain lake. Limnologica 2017, 62, 126–131. [Google Scholar] [CrossRef]
- Heng, K.; Chevalier, M.; Lek, S.; Laffaille, P. Seasonal variations in diet composition, diet breadth and dietary overlap between three commercially important fish species within a flood-pulse system: The Tonle Sap Lake (Cambodia). PLoS ONE 2018, 13, e0198848. [Google Scholar] [CrossRef] [PubMed]
- Cai, Y.; Ke, C.-Q.; Shen, X. Variations in water level, area and volume of Hongze Lake, China from 2003 to 2018. J. Great Lakes Res. 2020, 46, 1511–1520. [Google Scholar] [CrossRef]
- Guo, C.; Chen, Y.; Li, W.; Xie, S.; Lek, S.; Li, Z. Food web structure and ecosystem properties of the largest impounded lake along the eastern route of China’s South-to-North Water Diversion Project. Ecol. Inform. 2018, 43, 174–184. [Google Scholar] [CrossRef]
- Lin, M.; Zhang, T.; Ye, S.; Li, W.; Ren, P.; Yang, Z.; Li, Z. Status of fish resources, historical variation and fisheries management strategies in Hongze Lake. Acta Hydrobiol. Sin. 2013, 37, 1118–1127. (In Chinese) [Google Scholar]
- Mao, Z.; Gu, X.; Gong, Z.; Zeng, Q.; Chen, H.; Li, H. The structure of fish community and changes of fishery resources in Lake Hongze. J. Lake Sci. 2019, 31, 1109–1119. (In Chinese) [Google Scholar] [CrossRef]
- Hao, Y.; Feng-Yue, Z.; Lei, G.; Wen-Jie, P.; Da-Qing, C.; Xin-Bin, D.; Shao-Ping, L. Feeding Habits of Parabramis pekinensis (White Bream) in the Yichang-Jiayu Reach of the Middle Yangtze River. J. Hydroecol. 2019, 40, 86–91. (In Chinese) [Google Scholar] [CrossRef]
- Yu, J.; Liu, Z.; He, H.; Zhen, W.; Guan, B.; Chen, F.; Li, K.; Zhong, P.; Teixeira-de Mello, F.; Jeppesen, E. Submerged macrophytes facilitate dominance of omnivorous fish in a subtropical shallow lake: Implications for lake restoration. Hydrobiologia 2016, 775, 97–107. [Google Scholar] [CrossRef]
- Hu, Z.; Shi, X.; Wu, H.; Li, Y.; Li, X.; Chen, L.; Liu, Q. Food Web Structure in Qingcaosha Reservoir of Shanghai, China. J. Hydroecol. 2019, 40, 47–54. (In Chinese) [Google Scholar] [CrossRef]
- Chen, Y.; Peng, K.; Zhang, Q.-J.; Cai, Y.-J.; Zhang, Y.-Z.; Gong, Z.-J.; Xiang, X.-L. Spatio-temporal distribution characteristics and driving factors of zooplankton in Hongze Lake. Environ. Sci. 2021, 42, 3753–3762. (In Chinese) [Google Scholar] [CrossRef]
- Wu, T.; Liu, J.; Deng, J.; Dai, X.; Tang, R.; Peng, K.; Zou, W.; Cai, Y.; Gong, Z. Community structure of phytoplankton and bioassessment of water quality in a large water-carrying lake, Lake Hongze. J. Lake Sci 2019, 31, 440–448. (In Chinese) [Google Scholar] [CrossRef]
- Xia, W.; Zhu, B.; Zhang, S.; Liu, H.; Qu, X.; Liu, Y.; Rudstam, L.G.; Anderson, J.T.; Ni, L.; Chen, Y. Climate, hydrology, and human disturbance drive long-term (1988–2018) macrophyte patterns in water diversion lakes. J. Environ. Manag. 2022, 319, 115726. [Google Scholar] [CrossRef] [PubMed]
- Cao, Z.; Duan, H.; Feng, L.; Ma, R.; Xue, K. Climate-and human-induced changes in suspended particulate matter over Lake Hongze on short and long timescales. Remote Sens. Environ. 2017, 192, 98–113. [Google Scholar] [CrossRef]
- Xie, B.; Huang, C.; Wang, Y.; Zhou, X.; Peng, G.; Tao, Y.; Huang, J.; Lin, X.; Huang, L. Trophic gauntlet effects on fisheries recovery: A case study in Sansha Bay, China. Ecosyst. Health Sustain. 2021, 7, 1965035. [Google Scholar] [CrossRef]
- Zhao, Y.; Yang, T.; Shan, X.; Jin, X.; Teng, G.; Wei, C. Stable isotope analysis of food web structure and the contribution of carbon sources in the sea adjacent to the Miaodao Archipelago (China). Fishes 2022, 7, 32. [Google Scholar] [CrossRef]
- American Public Health Association APHA. Standard Methods for the Examination of Water and Wastewater, 21st ed.; American Public Health Association: Washington, DC, USA, 2005; 1220p. [Google Scholar]
- Quezada-Romegialli, C.; Jackson, A.L.; Hayden, B.; Kahilainen, K.K.; Lopes, C.; Harrod, C. tRophicPosition, an R package for the Bayesian estimation of trophic position from consumer stable isotope ratios. Methods Ecol. Evol. 2018, 9, 1592–1599. [Google Scholar] [CrossRef]
- Post, D.M. Using stable isotopes to estimate trophic position: Models, methods, and assumptions. Ecology 2002, 83, 703–718. [Google Scholar] [CrossRef]
- Layman, C.A.; Arrington, D.A.; Montaña, C.G.; Post, D.M. Can stable isotope ratios provide for community-wide measures of trophic structure? Ecology 2007, 88, 42–48. [Google Scholar] [CrossRef]
- Jackson, A.L.; Inger, R.; Parnell, A.C.; Bearhop, S. Comparing isotopic niche widths among and within communities: SIBER–Stable Isotope Bayesian Ellipses in R. J. Anim. Ecol. 2011, 80, 595–602. [Google Scholar] [CrossRef]
- Parnell, A. SIAR-Stable Isotope Analysis in R. 2008. Available online: https://github.com/AndrewLJackson/siar (accessed on 5 March 2019).
- Alcorlo, P.; Baltanas, A. The trophic ecology of the red swamp crayfish (Procambarus clarkii) in Mediterranean aquatic ecosystems: A stable isotope study. Limnetica 2013, 32, 121–138. [Google Scholar]
- R Core Team R: A Language and Environment for Statistical Computing. 2017. Available online: https://www.r-project.org/ (accessed on 31 October 2024).
- Yin, H.; Chen, Y.; Ma, W.; Zhu, W.; Wang, H.; Zhou, Q.; Li, J.; Wang, A.; Li, X.; Xu, Q. δ13C and δ15N stable isotopes demonstrate seasonal changes in the food web of coral reefs at the Wuzhizhou Island of the South China sea. Ecol. Indic. 2023, 146, 109852. [Google Scholar] [CrossRef]
- Qiu, L.; Ji, F.; Qiu, Y.; Xie, H.; Li, G.; Shen, J. Water-Level Fluctuation Control of the Trophic Structure of a Yangtze River Oxbow. Biology 2023, 12, 1359. [Google Scholar] [CrossRef] [PubMed]
- Ma, J.; Chen, W.; Chen, M.; Zhong, K.; Yao, N.; Zhang, X.; Zhang, H.; Jeppesen, E.; Zhou, Q. Water level fluctuations associated with hydrological connectivity consolidate the food web stability of the largest Chinese freshwater lake via mediating trophodynamics and trophic structure. Ecol. Indic. 2023, 153, 110372. [Google Scholar] [CrossRef]
- Zhang, H.; Wang, Y.; Xu, J. Influence of Seasonal Water Level Fluctuations on Food Web Structure of a Large Floodplain Lake in China. Sustainability 2023, 15, 10724. [Google Scholar] [CrossRef]
- Zhang, Z.; Liu, C.; Xie, C.; Wang, M. Feeding habits of Carassius auratus gibelio from Irtysh River in Xinjiang. J. Huazhong Agric. Univ. 2020, 39, 75–81. [Google Scholar] [CrossRef]
- Wang, N. On the biology of the Parabramis pekinensis (Basil.) in Lake Qingling, Wuhan. Acta Hydrobiol. Sin. 1991, 15, 127–135+201. (In Chinese) [Google Scholar] [CrossRef]
- Liu, X.; Kong, J.; Li, X. Biological characteristics and artificial feeding technique of white amur bream (Parabramis pekinensis). Hubei Agric. Sci. 2017, 56, 1699–1701. (In Chinese) [Google Scholar] [CrossRef]
- Huang, S.; Zhang, K.; Lin, Q.; Kattel, G.; Shen, J. Lake ecosystem regime shifts induced by agricultural intensification: A century scale paleolimnological investigation from the Huai River Basin (China). Quat. Sci. Rev. 2022, 285, 107522. [Google Scholar] [CrossRef]
- LÜ, X.; Ren, J.; Gao, D.; Yin, L.; Dou, J.; Li, H.; Xie, M.; Pan, Y. Impacts of hydrodynamic variation on submerged macrophytes in lakes: A review. Acta Ecol. Sin. 2022, 42, 4245–4254. (In Chinese) [Google Scholar] [CrossRef]
- Shi, J.; Ni, L.; Liu, J.; Xu, C.; Zhang, J.; Chen, X. Spatiotemporal distribution of phytoplankton community structure and its relationship with environmental factors in Hongze Lake, China. Urban Clim. 2023, 52, 101746. [Google Scholar] [CrossRef]
- Sabo, J.L.; Finlay, J.C.; Kennedy, T.; Post, D.M. The role of discharge variation in scaling of drainage area and food chain length in rivers. Science 2010, 330, 965–967. [Google Scholar] [CrossRef] [PubMed]
- Woodland, R.J.; Warry, F.Y.; Evrard, V.; Clarke, R.H.; Reich, P.; Cook, P.L.M. Niche-dependent trophic position distributions among primary, secondary and tertiary consumers. Oikos 2016, 125, 556–565. [Google Scholar] [CrossRef]
- Neves, M.P.; Kratina, P.; Delariva, R.L.; Jones, J.I.; Fialho, C.B. Seasonal feeding plasticity can facilitate coexistence of dominant omnivores in Neotropical streams. Rev. Fish Biol. Fish. 2021, 31, 417–432. [Google Scholar] [CrossRef]
- McMeans, B.C.; Kadoya, T.; Pool, T.K.; Holtgrieve, G.W.; Lek, S.; Kong, H.; Winemiller, K.; Elliott, V.; Rooney, N.; Laffaille, P. Consumer trophic positions respond variably to seasonally fluctuating environments. Ecology 2019, 100, e02570. [Google Scholar] [CrossRef]
- Wantzen, K.M.; de Arruda Machado, F.; Voss, M.; Boriss, H.; Junk, W.J. Seasonal isotopic shifts in fish of the Pantanal wetland, Brazil. Aquat. Sci. 2002, 64, 239–251. [Google Scholar] [CrossRef]
- Flood, P.J.; Loftus, W.F.; Trexler, J.C. Fishes in a seasonally pulsed wetland show spatiotemporal shifts in diet and trophic niche but not shifts in trophic position. Food Webs 2023, 34, e00265. [Google Scholar] [CrossRef]
- Pusey, B.; Arthington, A.; Stewart-Koster, B.; Kennard, M.; Read, M. Widespread omnivory and low temporal and spatial variation in the diet of fishes in a hydrologically variable northern Australian river. J. Fish Biol. 2010, 77, 731–753. [Google Scholar] [CrossRef]
- Weideli, O.C.; Daly, R.; Peel, L.R.; Heithaus, M.R.; Shivji, M.S.; Planes, S.; Papastamatiou, Y.P. Elucidating the role of competition in driving spatial and trophic niche patterns in sympatric juvenile sharks. Oecologia 2023, 201, 673–688. [Google Scholar] [CrossRef]
- Bianchi-Costa, I.C.; Quirino, B.A.; Cardozo, A.L.P.; Yofukuji, K.Y.; Aleixo, M.H.F.; Fugi, R. Water-level fluctuations lead to changes in the diet of an omnivorous fish in a floodplain. Neotrop. Ichthyol. 2023, 21, e220064. [Google Scholar] [CrossRef]
- Pool, T.; Holtgrieve, G.; Elliott, V.; McCann, K.; McMeans, B.; Rooney, N.; Smits, A.; Phanara, T.; Cooperman, M.; Clark, S. Seasonal increases in fish trophic niche plasticity within a flood-pulse river ecosystem (Tonle Sap Lake, Cambodia). Ecosphere 2017, 8, e01881. [Google Scholar] [CrossRef]
- Alves, G.H.Z.; Cionek, V.M.; Manetta, G.I.; Pazianoto, L.H.; Benedito, E. Stable isotopes reveal niche segregation between native and non-native Hoplias in a Neotropical floodplain. Ecol. Freshw. Fish 2020, 29, 602–610. [Google Scholar] [CrossRef]
- Medeiros, E.S.; Arthington, A.H. Fish diet composition in floodplain lagoons of an Australian dryland river in relation to an extended dry period following flooding. Environ. Biol. Fishes 2014, 97, 797–812. [Google Scholar] [CrossRef]
- de Andrade, F.S.; Possamai, B.; Freitas, C.E.d.C.; da Silva Batista, J.; Hoeinghaus, D.J.; Clements, L.; Siqueira-Souza, F.K. Niche partitioning and seasonality may mediate coexistence of piranha species in Amazonian floodplain lakes. Hydrobiologia 2024, 851, 4325–4340. [Google Scholar] [CrossRef]
- Guo, C.; Li, S.; Ke, J.; Liao, C.; Hansen, A.G.; Jeppesen, E.; Zhang, T.; Li, W.; Liu, J. The feeding habits of small-bodied fishes mediate the strength of top-down effects on plankton and water quality in shallow subtropical lakes. Water Res. 2023, 233, 119705. [Google Scholar] [CrossRef]
- Liao, C.; Wang, J.; Correa, S.B.; Yu, J.; Yang, R.; Yuan, J.; Li, W.; Ye, S.; Guo, C.; Liu, J. Artificial water-level fluctuation modulates trophic niches of benthic fish assemblages in one of the world’s largest reservoirs. Can. J. Fish. Aquat. Sci. 2023, 80, 1921–1934. [Google Scholar] [CrossRef]
- Andreychev, A. Vocal interaction between Eagle Owl (Bubo bubo) and canines (Carnivora, Canidae). Ornis Hung. 2023, 31, 61–73. [Google Scholar] [CrossRef]
- Lu, B. Evolutionary Insights into the Relationship of Frogs, Salamanders, and Caecilians and Their Adaptive Traits, with an Emphasis on Salamander Regeneration and Longevity. Animals 2023, 13, 3449. [Google Scholar] [CrossRef]
- Hardin, G. The competitive exclusion principle: An idea that took a century to be born has implications in ecology, economics, and genetics. Science 1960, 131, 1292–1297. [Google Scholar] [CrossRef]
- Pocheville, A. The ecological niche: History and recent controversies. In Handbook of Evolutionary Thinking in the Sciences; Springer: Berlin/Heidelberg, Germany, 2015; pp. 547–586. [Google Scholar] [CrossRef]
- Begon, M.; Townsend, C.R. Ecology: From Individuals to Ecosystems; John Wiley & Sons: Hoboken, NJ, USA, 2021. [Google Scholar]
- Kingsbury, K.M.; Gillanders, B.M.; Booth, D.J.; Nagelkerken, I. Trophic niche segregation allows range-extending coral reef fishes to co-exist with temperate species under climate change. Glob. Change Biol. 2020, 26, 721–733. [Google Scholar] [CrossRef]
- Carniatto, N.; Fugi, R.; Thomaz, S.M. Highly segregated trophic niche of two congeneric fish species in Neotropical floodplain lakes. J. Fish Biol. 2016, 90, 1118–1125. [Google Scholar] [CrossRef]
- Quiroga-Samaniego, M.d.M.; Moreno-Sánchez, X.G.; Irigoyen-Arredondo, M.S.; Abitia-Cárdenas, L.A.; Elorriaga-Verplancken, F.R.; Tripp-Valdez, A.; Jakes-Cota, U.; Pérez-Rojo, M.d.P.; Páez-Rosas, D. Coexistence mechanism between sympatric snapper species revealed by stomach contents analysis and stable isotope analysis in the central Gulf of California, Mexico. Reg. Stud. Mar. Sci. 2022, 54, 102490. [Google Scholar] [CrossRef]
- Afonso Silva, A.C.; Bragg, J.G.; Potter, S.; Fernandes, C.; Coelho, M.M.; Moritz, C. Tropical specialist vs. climate generalist: Diversification and demographic history of sister species of Carlia skinks from northwestern Australia. Mol. Ecol. 2017, 26, 4045–4058. [Google Scholar] [CrossRef] [PubMed]
- Slatyer, R.A.; Hirst, M.; Sexton, J.P. Niche breadth predicts geographical range size: A general ecological pattern. Ecol. Lett. 2013, 16, 1104–1114. [Google Scholar] [CrossRef] [PubMed]










| Water Periods | Regions | Temperature °C | Water Depth (m) | Transparency (cm) | Total Phosphorus (mg/L) | Total Nitrogen (mg/L) | Chlorophyll a (μg/L) | pH | Dissolved Oxygen (mg/L) | Conductivity μS/cm |
|---|---|---|---|---|---|---|---|---|---|---|
| mid-water | Eastern | 9.60 ± 0.66 | 3.04 ± 0.60 | 27.80 ± 7.92 | 0.046 ± 0.019 | 2.089 ± 0.383 | 18.549 ± 6.560 | 8.59 ± 0.37 | 12.620 ± 0.525 | 446.62 ± 16.73 |
| Northern | 10.98 ± 0.22 | 2.85 ± 0.13 | 26.75 ± 5.19 | 0.050 ± 0.013 | 1.183 ± 0.166 | 30.340 ± 19.374 | 8.85 ± 0.24 | 12.713 ± 1.248 | 512.25 ± 36.56 | |
| Southern | 10.33 ± 0.45 | 2.63 ± 0.67 | 56.67 ± 11.93 | 0.034 ± 0.004 | 1.928 ± 0.615 | 12.169 ± 2.054 | 8.89 ± 0.03 | 13.017 ± 0.116 | 427.33 ± 33.41 | |
| Western | 9.27 ± 0.56 | 2.50 ± 0.10 | 22.80 ± 11.28 | 0.070 ± 0.027 | 1.384 ± 0.300 | 22.693 ± 11.163 | 7.79 ± 0.76 | 13.323 ± 0.171 | 511.75 ± 58.84 | |
| low-water | Eastern | 30.64 ± 1.17 | 2.10 ± 0.27 | 13.25 ± 4.65 | 0.315 ± 0.492 | 2.379 ± 0.576 | 35.323 ± 9.081 | 9.39 ± 0.27 | 8.215 ± 1.344 | 706.13 ± 116.00 |
| Northern | 30.40 ± 1.47 | 2.02 ± 0.27 | 16.15 ± 2.61 | 0.112 ± 0.033 | 2.113 ± 1.243 | 74.740 ± 22.375 | 8.32 ± 0.48 | 9.861 ± 1.601 | 742.85 ± 33.17 | |
| Southern | 32.30 ± 0.52 | 2.23 ± 0.78 | 20.00 ± 4.58 | 0.123 ± 0.036 | 2.396 ± 0.767 | 33.876 ± 22.507 | 9.07 ± 0.17 | 8.540 ± 2.691 | 583.00 ± 45.43 | |
| Western | 30.06 ± 2.22 | 1.91 ± 0.21 | 19.50 ± 5.67 | 0.142 ± 0.047 | 1.503 ± 0.501 | 59.595 ± 33.098 | 7.89 ± 1.38 | 9.466 ± 2.319 | 943.64 ± 132.57 | |
| high-water | Eastern | 11.40 ± 1.36 | 3.20 ± 0.08 | 22.25 ± 12.69 | 0.166 ± 0.064 | 2.647 ± 1.148 | 6.907 ± 1.846 | 10.90 ± 1.10 | 12.758 ± 1.159 | 342.40 ± 83.25 |
| Northern | 10.40 ± 0.21 | 2.82 ± 0.96 | 17.10 ± 4.91 | 0.089 ± 0.028 | 1.769 ± 0.632 | 7.624 ± 3.392 | 9.40 ± 1.43 | 13.349 ± 0.653 | 494.29 ± 85.34 | |
| Southern | 12.00 ± 0.71 | 3.35 ± 1.06 | 31.00 ± 4.24 | 0.105 ± 0.006 | 2.716 ± 0.270 | 2.631 ± 0.570 | 9.32 ± 0.70 | 12.555 ± 0.205 | 390.65 ± 34.30 | |
| Western | 10.91 ± 0.91 | 2.87 ± 0.38 | 17.11 ± 4.96 | 0.142 ± 0.071 | 2.168 ± 0.613 | 5.673 ± 3.316 | 10.33 ± 1.19 | 13.030 ± 0.780 | 438.70 ± 128.46 |
| Predator 1—Predator 2 | Pred. 1 (%) | 95% CI | Pred. 2 (%) | 95% CI | Overlap Between Pred. 1 and Pred. 2 (%) |
|---|---|---|---|---|---|
| In the whole lake | |||||
| P. pekinensis—C. auratus | 23.3057 | 19.8693–25.6070 | 9.7826 | 7.4732–11.6734 | 28.79 |
| P. pekinensis—T. swinhonis | 23.3057 | 19.8693–25.6070 | 14.8831 | 11.7498–15.9053 | 33.79 |
| C. auratus—T. swinhonis | 9.7826 | 7.4732–11.6734 | 14.8831 | 11.7498–15.9053 | 39.52 |
| Across different water periods | |||||
| P. pekinensis—C. auratus (mid-water periods) | 20.4791 | 12.0613–24.6589 | 7.8633 | 16.3888–23.8486 | 23.63 |
| P. pekinensis—T. swinhonis (mid-water periods) | 20.4791 | 12.0613–24.6589 | 10.5111 | 21.8892–46.3491 | 26.28 |
| C. auratus—T. swinhonis (mid-water periods) | 7.8633 | 16.3888–23.8486 | 10.5111 | 21.8892–46.3491 | 34.75 |
| P. pekinensis—C. auratus (low-water periods) | 18.8702 | 6.2007–23.7846 | 14.3762 | 4.7764–10.2699 | 31.48 |
| P. pekinensis—T. swinhonis (low-water periods) | 18.8702 | 6.2007–23.7846 | 6.9476 | 6.2286–11.0645 | 26.91 |
| C. auratus—T. swinhonis (low-water periods) | 14.3762 | 4.7764–10.2699 | 6.9476 | 6.2286–11.0645 | 29.23 |
| P. pekinensis—C. auratus (high-water periods) | 31.1993 | 4.1066–8.3071 | 7.7581 | 5.8393–15.1646 | 19.91 |
| P. pekinensis—T. swinhonis (high-water periods) | 31.1993 | 4.1066–8.3071 | 11.9764 | 7.5546–17.3958 | 22.85 |
| C. auratus—T. swinhonis (high-water periods) | 7.7581 | 5.8393–15.1646 | 11.9764 | 7.5546–17.3958 | 27.23 |
| Food Resources | Contribution to Fish Species (%) | ||
|---|---|---|---|
| Parabramis pekinensis | Carassius auratus | Toxabramis swinhonis | |
| In the whole lake | |||
| SOM | 16.87 (16.73–17.00) | 13.88 (13.76–14.01) | 13.22 (13.10–13.34) |
| POM | 76.52 (76.42–76.62) | 80.25 (80.15–80.34) | 81.31 (81.21–81.41) |
| Macrophyte | 6.61 (6.52–6.71) | 5.87 (5.78–5.96) | 5.47 (5.39–5.55) |
| Across different water periods | |||
| SOM (mid-water) | 14.61 (14.46–14.76) | 11.25 (11.13–11.37) | 12.94 (12.81–13.07) |
| POM (mid-water) | 80.60 (80.47–80.72) | 84.65 (84.55–84.75) | 81.14 (81.04–81.24) |
| Macrophyte (mid-water) | 4.79 (4.73–4.85) | 4.10 (4.05–4.15) | 5.92 (5.86–5.99) |
| SOM (low-water) | 2.21 (2.18–2.25) | 2.03 (01.99–02.07) | 2.01 (1.98–2.05) |
| POM (low-water) | 76.62 (76.39–76.84) | 80.91 (80.71–81.11) | 80.61 (80.41–80.81) |
| Macrophyte (low-water) | 21.17 (20.93–21.41) | 17.06 (16.85–17.27) | 17.38 (17.17–17.59) |
| SOM (high-water) | 26.82 (26.52–27.13) | 20.93 (20.63–21.23) | 21.20 (20.88–21.51) |
| POM (high-water) | 55.79 (55.49–56.08) | 65.02 (64.66–65.38) | 64.24 (63.85–64.64) |
| Macrophyte (high-water) | 17.39 (17.13–17.65) | 14.05 (13.81–14.28) | 14.56 (14.31–14.81) |
Disclaimer/Publisher’s Note: The statements, opinions and data contained in all publications are solely those of the individual author(s) and contributor(s) and not of MDPI and/or the editor(s). MDPI and/or the editor(s) disclaim responsibility for any injury to people or property resulting from any ideas, methods, instructions or products referred to in the content. |
© 2024 by the authors. Licensee MDPI, Basel, Switzerland. This article is an open access article distributed under the terms and conditions of the Creative Commons Attribution (CC BY) license (https://creativecommons.org/licenses/by/4.0/).
Share and Cite
Luo, S.; Wang, Z.; Zhang, S.; Mu, H.; Jiao, Y.; Qu, X.; Wang, Q.; Yang, R.; Zuo, Y.; Jin, S. Formation of Adaptive Trophic Niches of Euryphagous Fish Species in Response to Off-Seasonal Water Level Regulation in Hongze Lake. Animals 2025, 15, 59. https://doi.org/10.3390/ani15010059
Luo S, Wang Z, Zhang S, Mu H, Jiao Y, Qu X, Wang Q, Yang R, Zuo Y, Jin S. Formation of Adaptive Trophic Niches of Euryphagous Fish Species in Response to Off-Seasonal Water Level Regulation in Hongze Lake. Animals. 2025; 15(1):59. https://doi.org/10.3390/ani15010059
Chicago/Turabian StyleLuo, Si, Zexin Wang, Shengyu Zhang, Huan Mu, Yubin Jiao, Xiao Qu, Qishuo Wang, Ruiqi Yang, Yanxia Zuo, and Shiyu Jin. 2025. "Formation of Adaptive Trophic Niches of Euryphagous Fish Species in Response to Off-Seasonal Water Level Regulation in Hongze Lake" Animals 15, no. 1: 59. https://doi.org/10.3390/ani15010059
APA StyleLuo, S., Wang, Z., Zhang, S., Mu, H., Jiao, Y., Qu, X., Wang, Q., Yang, R., Zuo, Y., & Jin, S. (2025). Formation of Adaptive Trophic Niches of Euryphagous Fish Species in Response to Off-Seasonal Water Level Regulation in Hongze Lake. Animals, 15(1), 59. https://doi.org/10.3390/ani15010059

