Leveraging Thermal Infrared Imaging for Pig Ear Detection Research: The TIRPigEar Dataset and Performances of Deep Learning Models
Simple Summary
Abstract
1. Introduction
- Establishing and publicly releasing an infrared thermal imaging dataset of pig ears with temperature information.
- Validating the dataset’s effectiveness through training with state-of-the-art deep learning models.
- Providing a potential way for the research on pig ear temperature analysis and anomaly detection to facilitate early intervention based on this dataset.
2. Materials and Methods
2.1. Experimental Method
2.2. Experimental Algorithm
2.3. Training Environment and Evaluation Metrics
2.4. Dataset Establishment
2.4.1. Data Environment
2.4.2. Annotations and Labels
2.4.3. Data Organization
2.4.4. Value of the Data
3. Results and Discussion
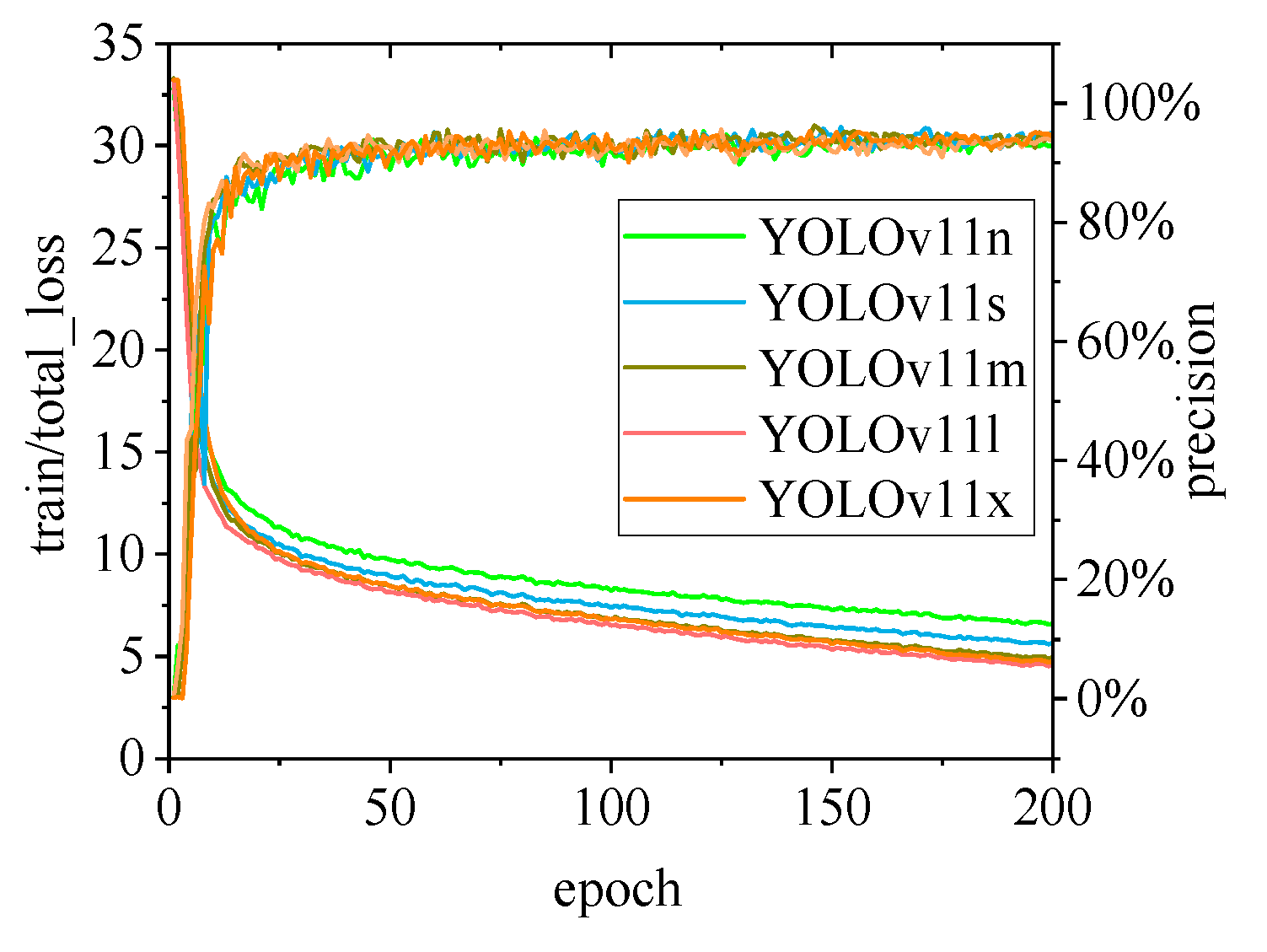
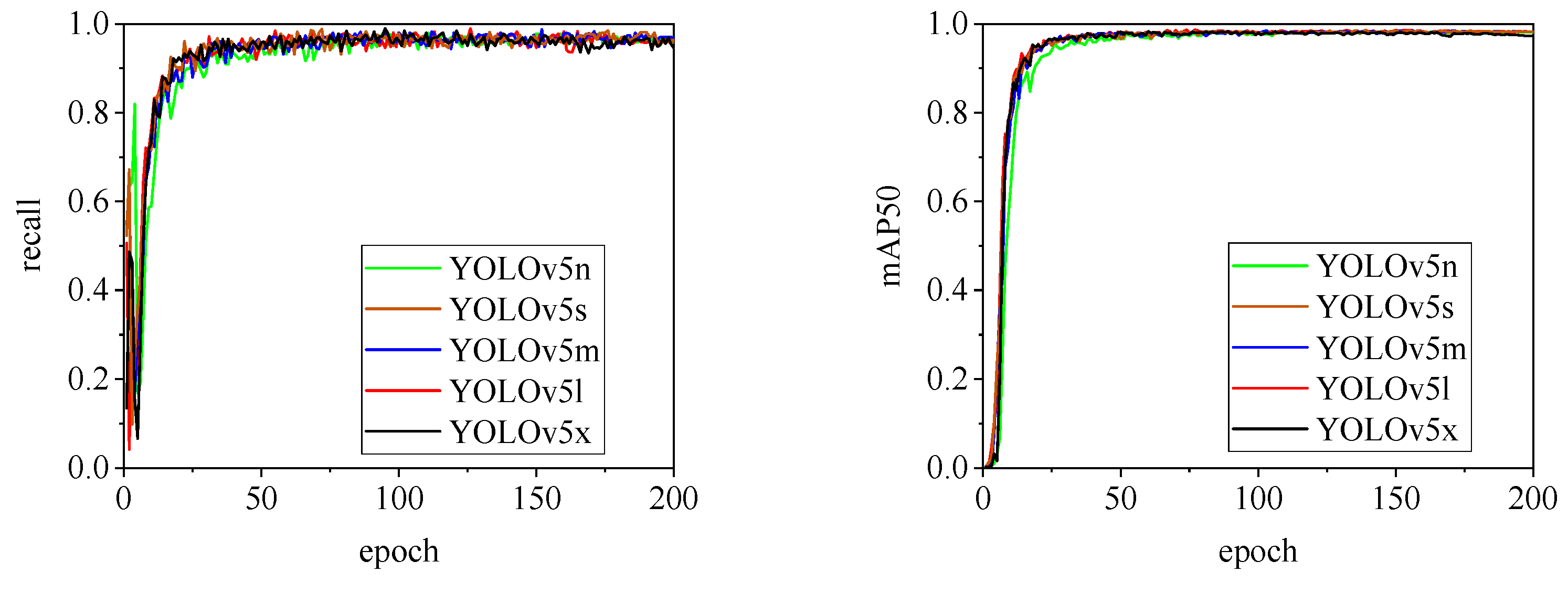
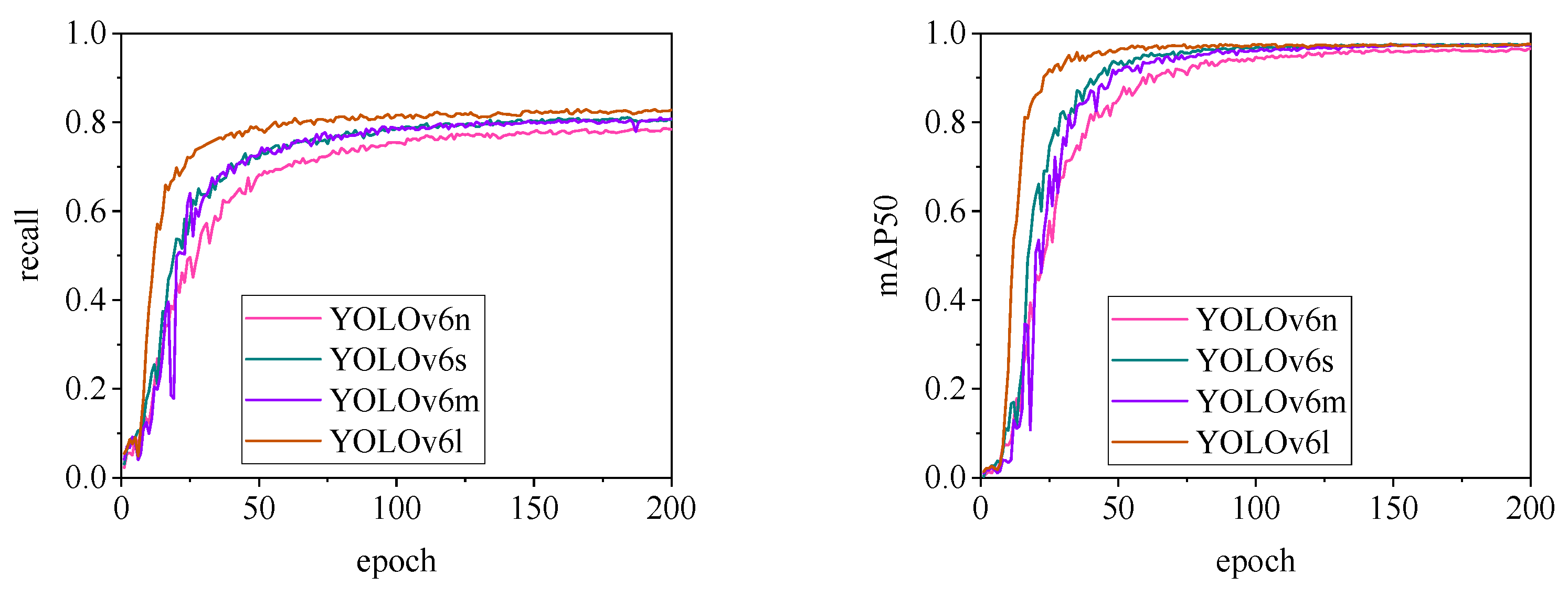
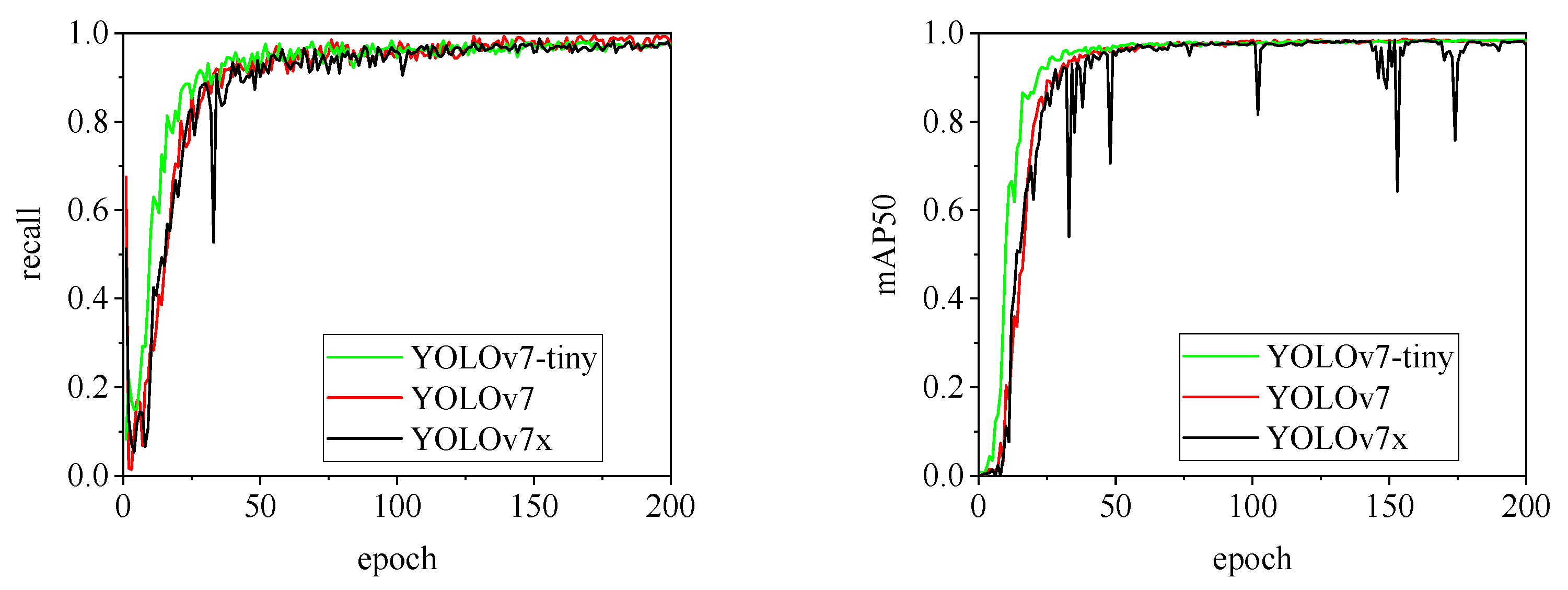
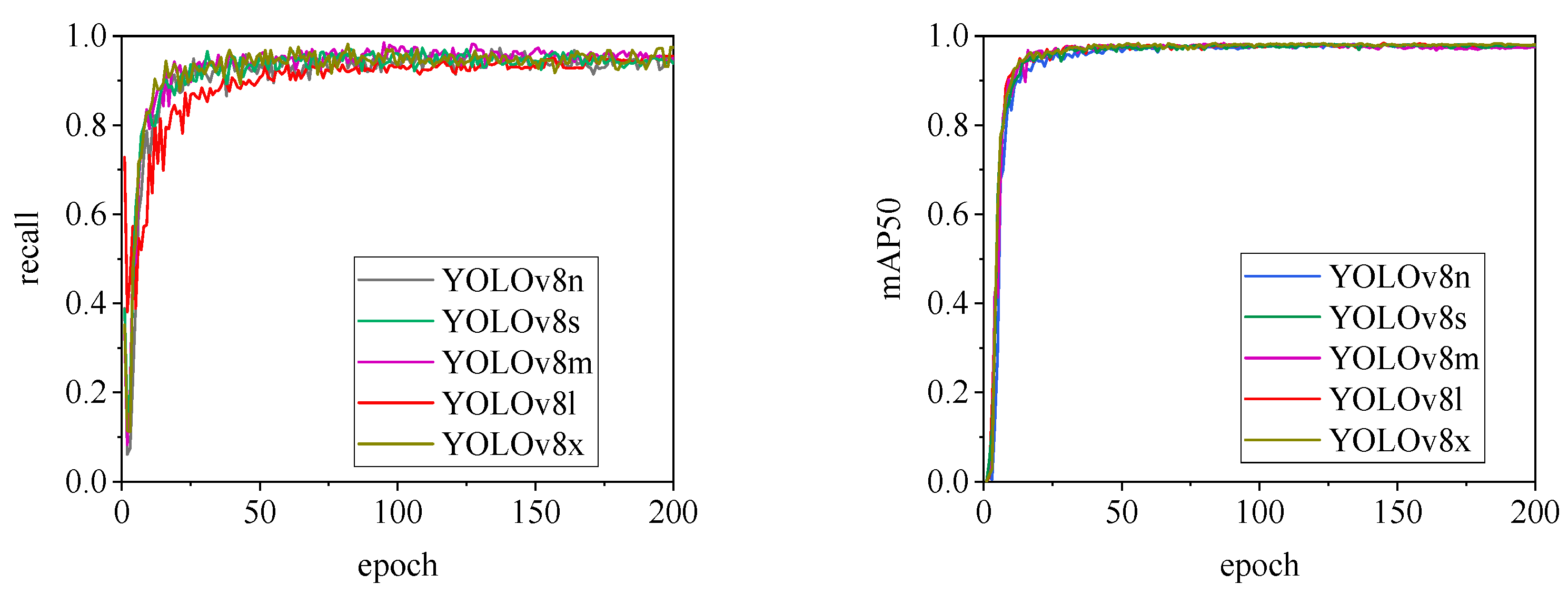
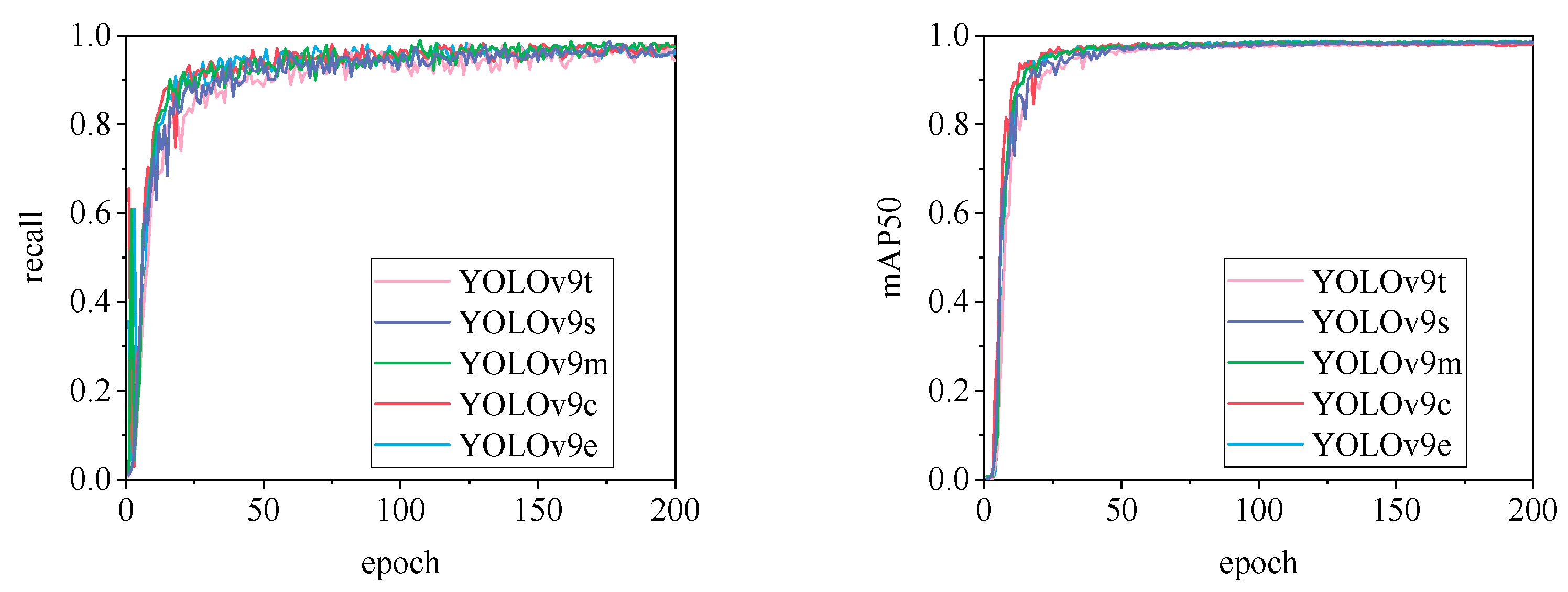
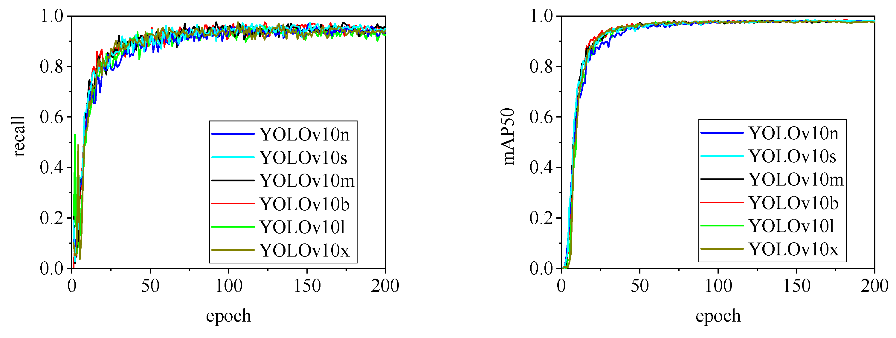
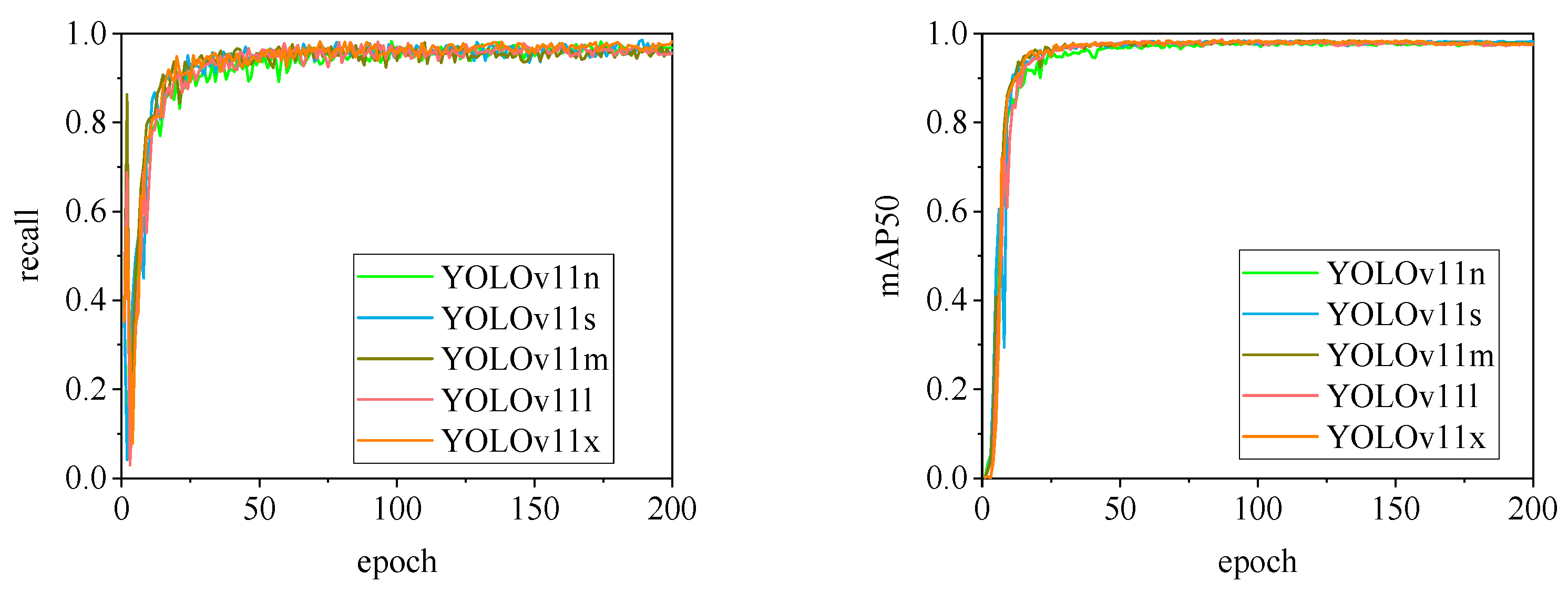
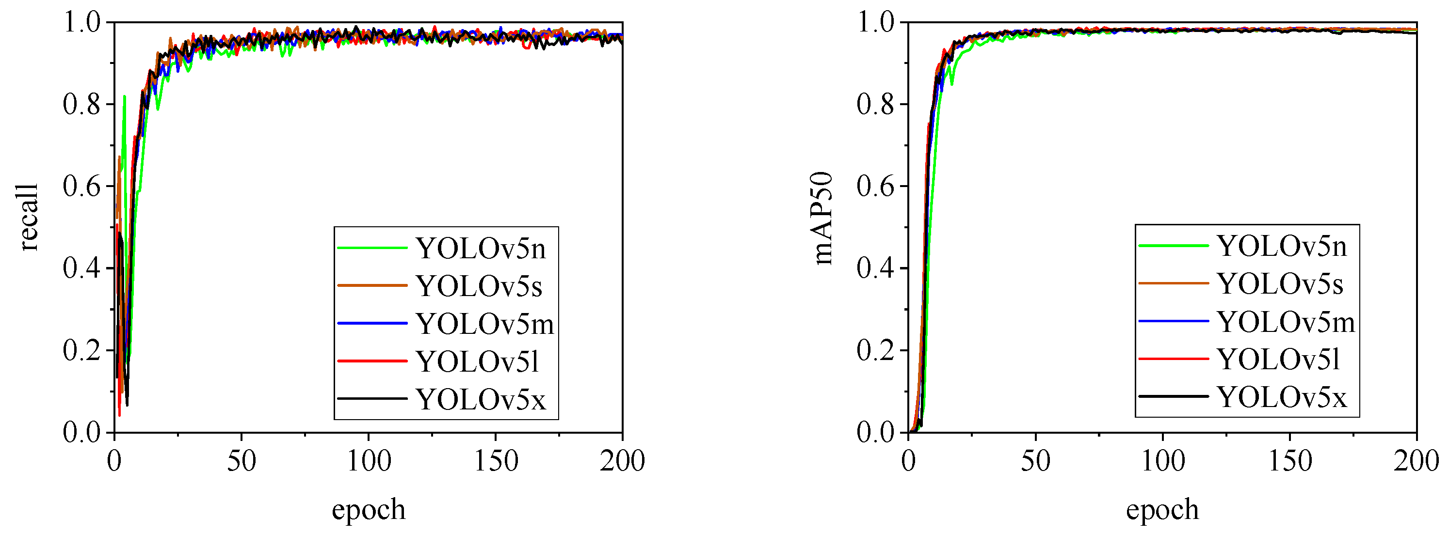
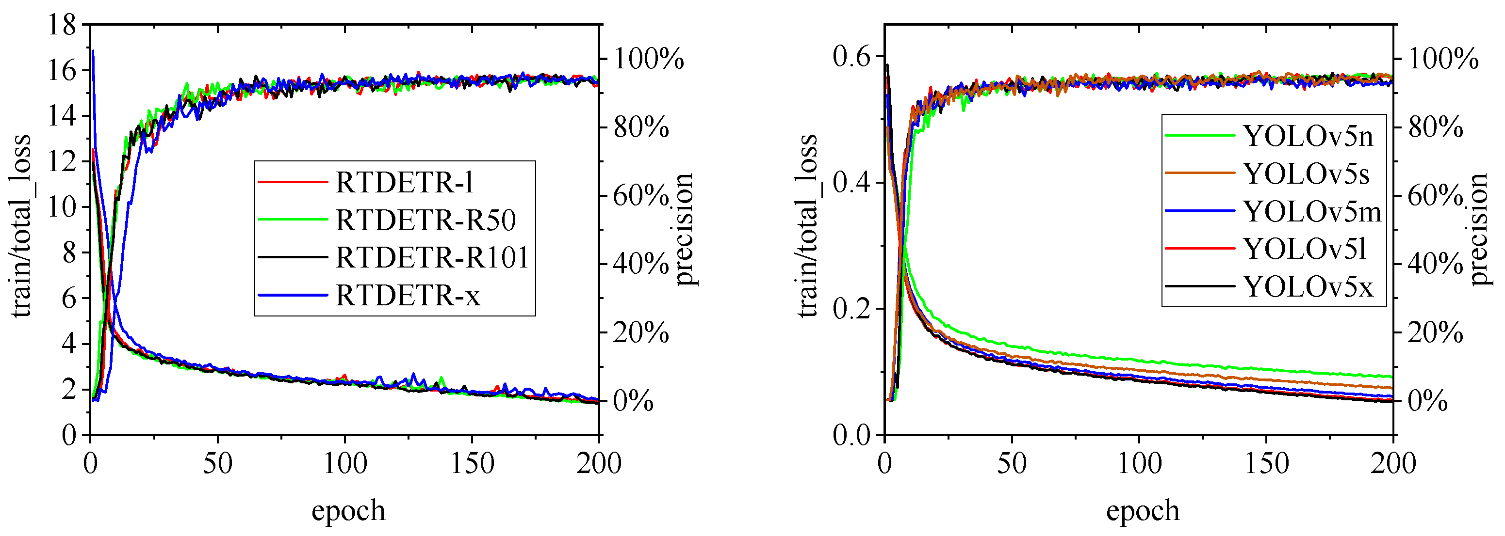
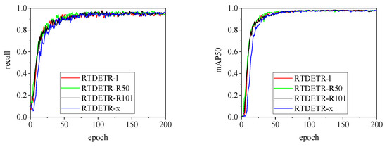
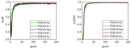
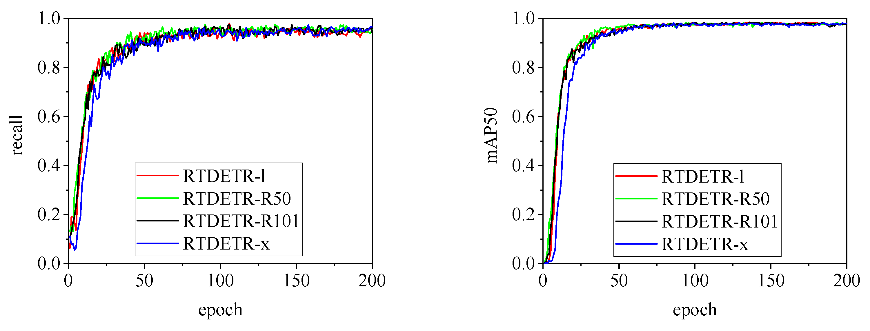
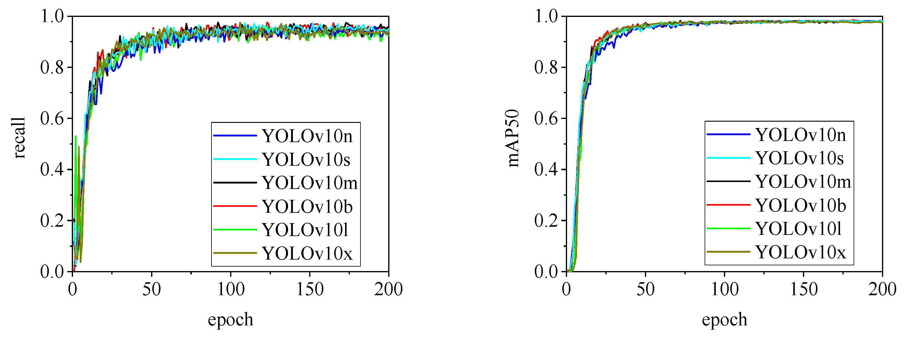
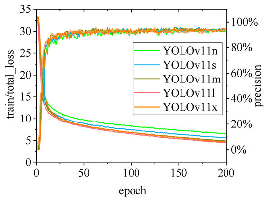
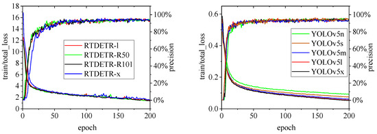
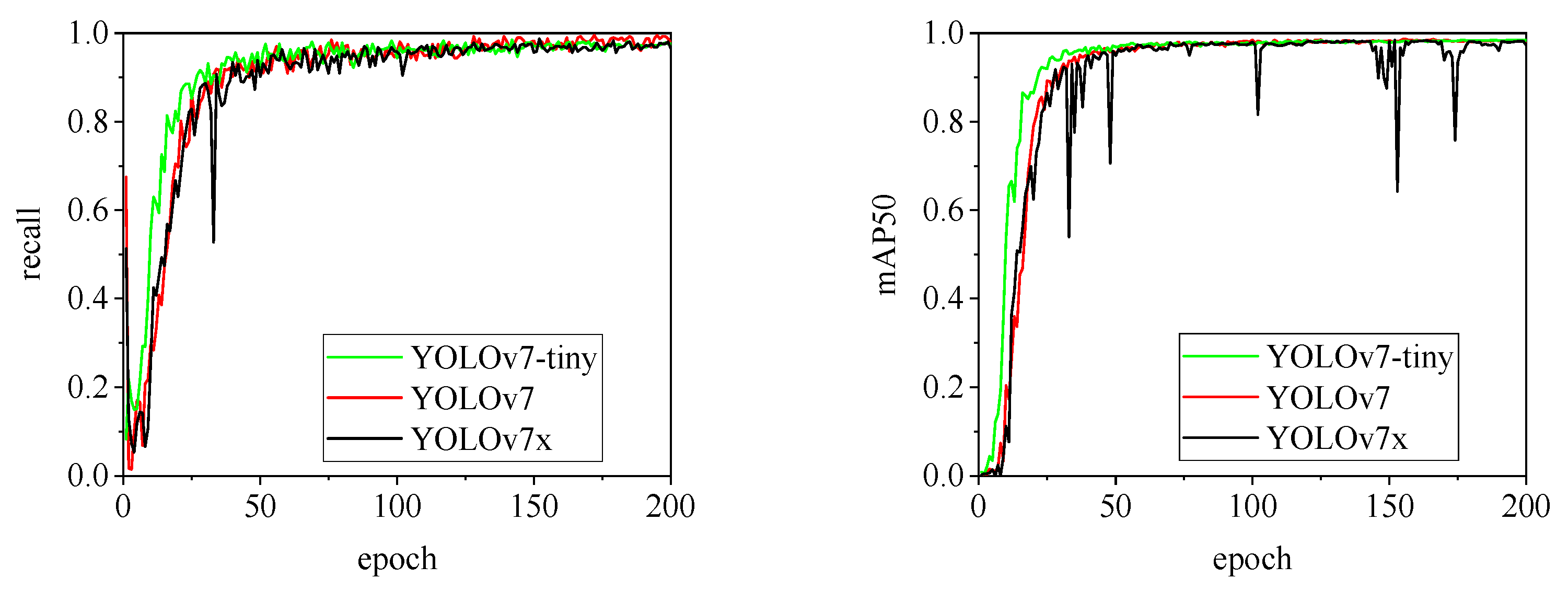
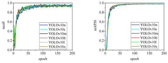
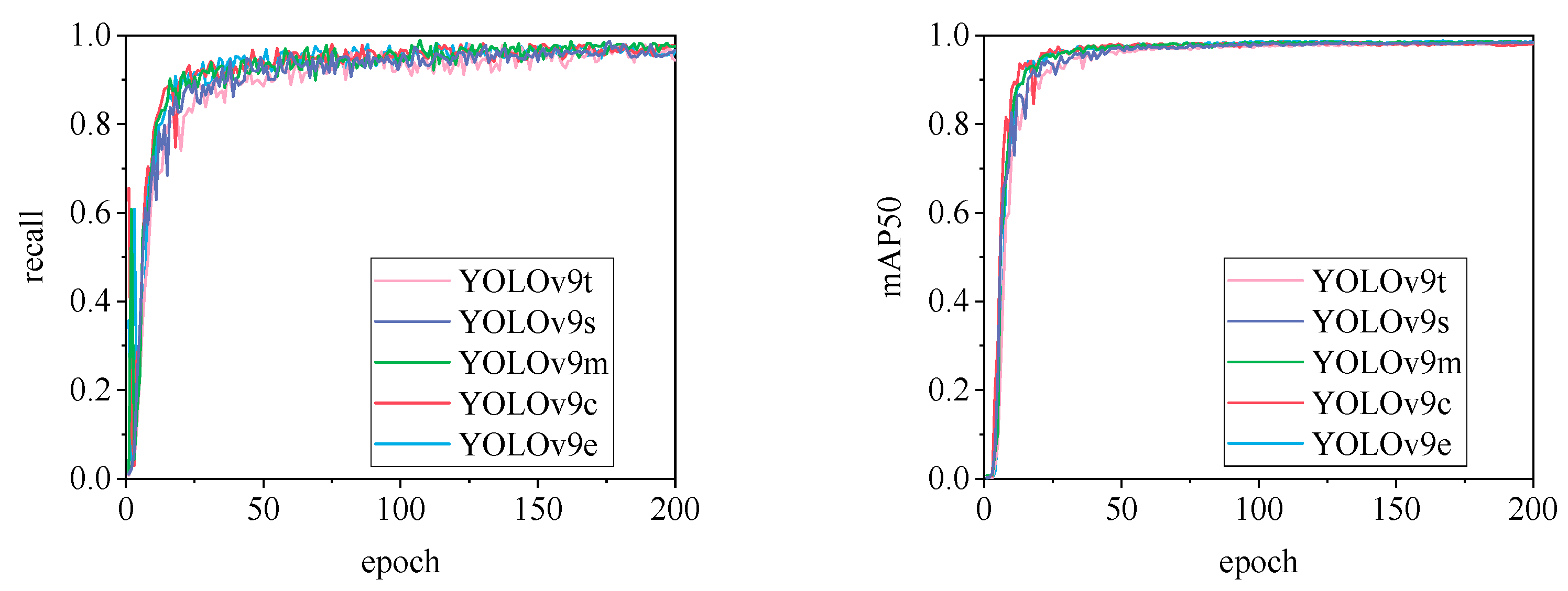
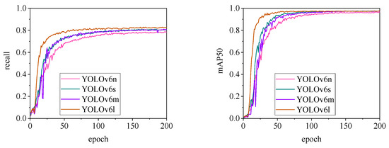
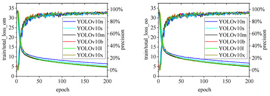
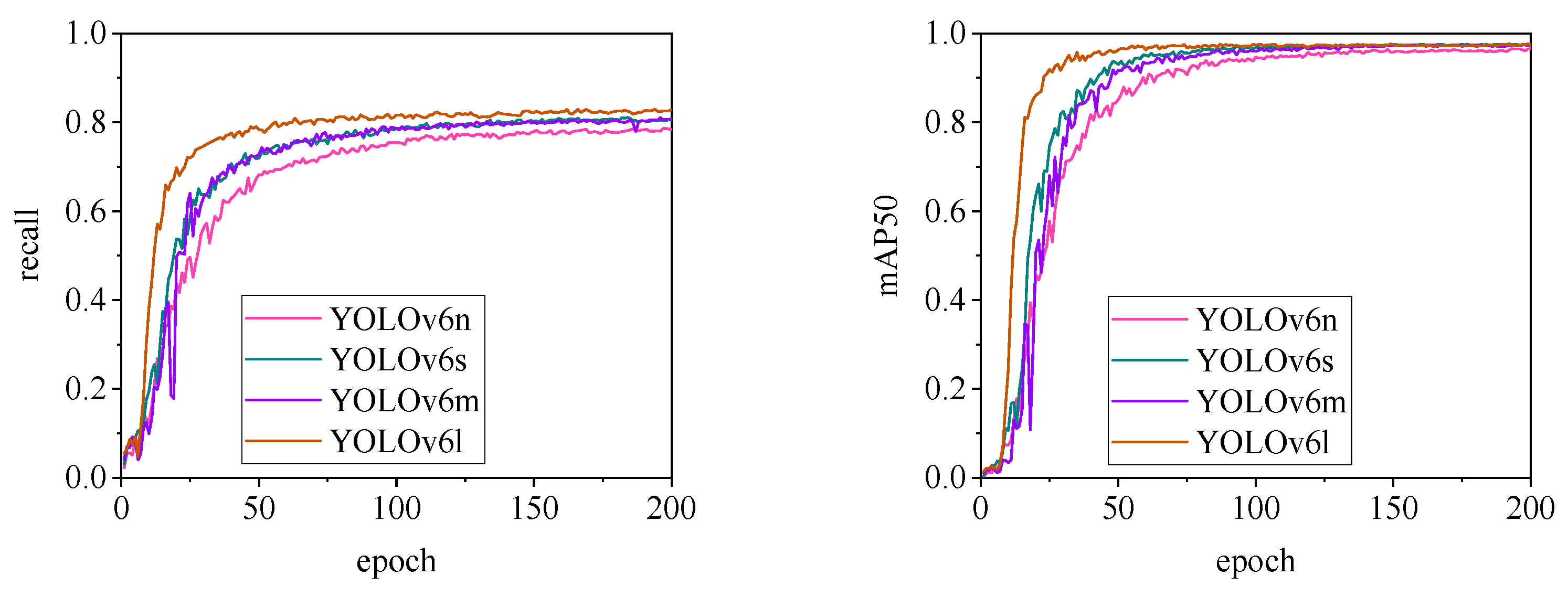
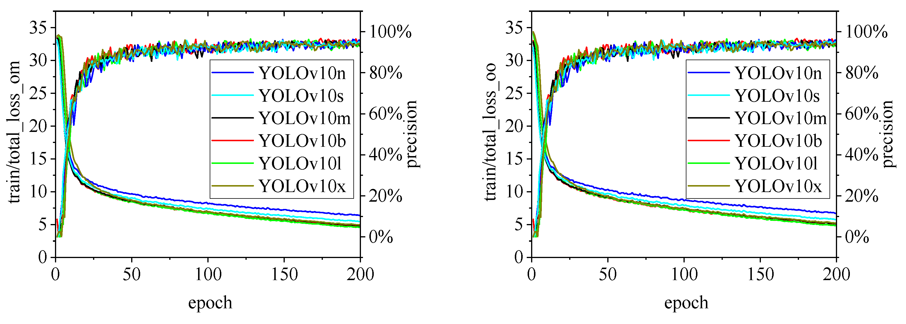
3.1. Comparison of Detection Performance of Different Algorithms
3.2. Visualization Analysis of Pig Ear Detection
4. Conclusions
5. Limitations
Author Contributions
Funding
Institutional Review Board Statement
Informed Consent Statement
Data Availability Statement
Conflicts of Interest
Appendix A








References
- Berckmans, D. Advances in Precision Livestock Farming; Burleigh Dodds Science Publishing: London, UK, 2022; p. 442. [Google Scholar]
- Nie, L.L.; Li, B.G.; Du, Y.H.; Jiao, F.; Song, X.Y.; Liu, Z.Y. Deep learning strategies with CReToNeXt-YOLOv5 for advanced pig face emotion detection. Sci. Rep. 2024, 14, 1679. [Google Scholar] [CrossRef] [PubMed]
- Pu, S.H.; Liu, Z.H. TR-YOLO: A pig detection network based on YOLO V5n by combining self attention mechanism and large convolutional kernel. J. Intell. Fuzzy. Syst. 2024, 46, 5263–5273. [Google Scholar] [CrossRef]
- Ma, R.H.; Ali, H.; Chung, S.Y.; Kim, S.C.; Kim, H. A Lightweight Pig Face Recognition Method Based on Automatic Detection and Knowledge Distillation. Appl. Sci. 2024, 14, 259. [Google Scholar] [CrossRef]
- Wang, F.; Fu, X.L.; Duan, W.J.; Wang, B.Y.; Li, H.H. The Detection of Ear Tag Dropout in Breeding Pigs Using a Fused Attention Mechanism in a Complex Environment. Agriculture 2024, 14, 530. [Google Scholar] [CrossRef]
- Esper, I.D.; Cordova-Lopez, L.E.; Romanov, D.; Alvseike, O.; From, P.J.; Mason, A. Pigs: A stepwise RGB-D novel pig carcass cutting dataset. Data. Brief. 2022, 41, 107945. [Google Scholar] [CrossRef]
- Wang, G.; Ma, Y.; Huang, J.; Fan, F.; Li, H.; Li, Z.P. Instance segmentation of pigs in infrared images based on INPC model. Infrared. Phys. Technol. 2024, 141, 105491. [Google Scholar] [CrossRef]
- Shao, H.M.; Pu, J.Y.; Mu, J. Pig-Posture Recognition Based on Computer Vision: Dataset and Exploration. Animals 2021, 11, 1295. [Google Scholar] [CrossRef]
- Bergamini, L.; Pini, S.; Simoni, A.; Vezzani, R.; Calderara, S.; D’Eath, R.B.; Fisher, R.B. Extracting Accurate Long-term Behavior Changes from a Large Pig Dataset. In Proceedings of the 16th International Joint Conference on Computer Vision, Imaging and Computer Graphics Theory and Applications, Online, 8–10 February 2021; pp. 524–533. [Google Scholar]
- Cai, Z.J.; Cui, J.L.; Yuan, H.B.; Cheng, M. Application and research progress of infrared thermography in temperature measurement of livestock and poultry animals: A review. Comput. Electron. Agric. 2023, 205, 107586. [Google Scholar] [CrossRef]
- Fan, M.; Stamford, J.; Lawson, T. Using Infrared Thermography for High-Throughput Plant Phenotyping. Methods Mol. Biol. 2024, 2790, 317–332. [Google Scholar] [CrossRef]
- Gadhwal, M.; Sharda, A.; Sangha, H.S.; Van der Merwe, D. Spatial corn canopy temperature extraction: How focal length and sUAS flying altitude influence thermal infrared sensing accuracy. Comput. Electron. Agric. 2023, 209, 107812. [Google Scholar] [CrossRef]
- Dang, X.; Lin, X.; He, Z.; Chen, Y.; Ci, B.; Ma, X.; Guo, C.; He, Y.; Liu, Y.; Ma, F. Extraction and accuracy evaluation of cotton canopy temperature under drip irrigation based on uav thermal infrared remote sensing. Xinjiang Agric. Sci. 2024, 61, 565–575. [Google Scholar]
- Zhang, X.M.; Zhang, Y.N.; Geng, J.F.; Pan, J.M.; Huang, X.Y.; Rao, X.Q. Feather Damage Monitoring System Using RGB-Depth-Thermal Model for Chickens. Animals 2023, 13, 126. [Google Scholar] [CrossRef] [PubMed]
- Reza, M.N.; Ali, M.R.; Samsuzzaman; Kabir, M.S.N.; Karim, M.R.; Ahmed, S.; Kyoung, H.; Kim, G.; Chung, S.O. Thermal imaging and computer vision technologies for the enhancement of pig husbandry: A review. J. Anim. Sci. Technol. 2024, 66, 31–56. [Google Scholar] [CrossRef] [PubMed]
- Hui, H.; Xianglong, X.; Qifeng, L.; Hongfeng, G.; Rong, W.; Ruixiang, J.; Zhiyu, R.; Rui, M.; Mingyu, L.; Yuhang, G.; et al. Pig-ear detection from the thermal infrared image based on improved YOLOv8n. Intell. Rob. 2024, 4, 20–38. [Google Scholar] [CrossRef]
- Wang, C.Y.; Liao, H.Y.M.; Wu, Y.H.; Chen, P.Y.; Hsieh, J.W.; Yeh, I.H. CSPNet: A New Backbone that can Enhance Learning Capability of CNN. In Proceedings of the 2020 IEEE/CVF Conference on Computer Vision and Pattern Recognition Workshops (CVPRW 2020), Seattle, WA, USA., 14–19 June 2020; pp. 1571–1580. [Google Scholar]
- He, K.M.; Zhang, X.Y.; Ren, S.Q.; Sun, J. Spatial Pyramid Pooling in Deep Convolutional Networks for Visual Recognition. IEEE Trans. Pattern Anal. Mach. Intell. 2015, 37, 1904–1916. [Google Scholar] [CrossRef]
- Lin, T.Y.; Dollár, P.; Girshick, R.; He, K.M.; Hariharan, B.; Belongie, S. Feature Pyramid Networks for Object Detection. In Proceedings of the 30th IEEE Conference on Computer Vision and Pattern Recognition (CVPR 2017), Honolulu, HI, USA, 21–26 July 2017; pp. 936–944. [Google Scholar]
- Liu, S.; Qi, L.; Qin, H.; Shi, J.; Jia, J. Path Aggregation Network for Instance Segmentation. arXiv 2018, arXiv:1803.01534. [Google Scholar]
- Ding, X.H.; Zhang, X.Y.; Ma, N.N.; Han, J.G.; Ding, G.G.; Sun, J. RepVGG: Making VGG-style ConvNets Great Again. In Proceedings of the 2021 IEEE/CVF Conference on Computer Vision and Pattern Recognition, Nashville, TN, USA, 20–25 June 2021; pp. 13728–13737. [Google Scholar]
- Ge, Z.; Liu, S.; Wang, F.; Li, Z.; Sun, J. YOLOX: Exceeding YOLO Series in 2021. arXiv 2021, arXiv:2107.08430. [Google Scholar]
- Tian, Z.; Shen, C.H.; Chen, H.; He, T. FCOS: A Simple and Strong Anchor-Free Object Detector. IEEE Trans. Pattern Anal. Mach. Intell. 2022, 44, 1922–1933. [Google Scholar] [CrossRef]
- Zhang, X.D.; Zeng, H.; Guo, S.; Zhang, L. Efficient Long-Range Attention Network for Image Super-Resolution. In Proceedings of the Computer Vision-ECCV 2022, PT XVII, Tel Aviv, Israel, 23–27 October 2022; pp. 649–667. [Google Scholar]
- Luzi, F.; Mitchell, M.; Costa, L.N.; Redaelli, V. Thermography: Current Status and Advances in Livestock Animals and in Veterinary Medicine; Fondazione Iniziative Zooprofilattiche e Zootecniche: Brescia, Italy, 2013. [Google Scholar]
- Zhao, Y.; Lv, W.; Xu, S.; Wei, J.; Wang, G.; Dang, Q.; Liu, Y.; Chen, J. DETRs Beat YOLOs on Real-time Object Detection. arXiv 2024, arXiv:2304.08069. [Google Scholar]
- Hussain, M. YOLO-v1 to YOLO-v8, the Rise of YOLO and Its Complementary Nature toward Digital Manufacturing and Industrial Defect Detection. Machines 2023, 11, 677. [Google Scholar] [CrossRef]
- Terven, J.R.; Esparza, D.M.C. A Comprehensive Review of YOLO: From YOLOv1 to YOLOv8 and Beyond. arXiv 2023, arXiv:2304.00501. [Google Scholar]
- Li, C.; Li, L.; Jiang, H.; Weng, K.; Geng, Y.; Li, L.; Ke, Z.; Li, Q.; Cheng, M.; Nie, W.; et al. YOLOv6: A Single-Stage Object Detection Framework for Industrial Applications. arXiv 2022, arXiv:2209.02976. [Google Scholar]
- Wang, C.-Y.; Bochkovskiy, A.; Mark Liao, H.-Y. YOLOv7: Trainable bag-of-freebies sets new state-of-the-art for real-time object detectors. arXiv 2022, arXiv:2207.02696. [Google Scholar]
- Varghese, R.; Sambath, M. YOLOv8: A Novel Object Detection Algorithm with Enhanced Performance and Robustness. In Proceedings of the 2024 International Conference on Advances in Data Engineering and Intelligent Computing Systems (ADICS), Chennai, India, 18–19 April 2024; pp. 1–6. [Google Scholar]
- Wang, C.-Y.; Yeh, I.H.; Liao, H.-Y.M. YOLOv9: Learning What You Want to Learn Using Programmable Gradient Information. arXiv 2024, arXiv:2402.13616. [Google Scholar]
- Wang, A.; Chen, H.; Liu, L.; Chen, K.; Lin, Z.; Han, J.; Ding, G. YOLOv10: Real-Time End-to-End Object Detection. arXiv 2024, arXiv:2405.14458. [Google Scholar]
- Ultralytics. Ultralytics YOLOv11, version 11.0.0. Available online: https://github.com/ultralytics/ultralytics (accessed on 20 December 2024).






























| Device No. | Category | Description |
|---|---|---|
| 1 Inspection Robot | Navigation Mode | Manual/Automatic Magnetic Navigation |
| Cruise Speed | Ten-level speed adjustment: 3–30 m/min | |
| Control System | Industrial PC, Windows 10 × 64, WiFi+4 G connectivity | |
| Lifting Device Dimensions | 820 mm × 600 mm × [adjustable height: 514–2519 mm] | |
| 2 Infrared Thermal Imager | Camera Manufacturer | FLIR Systems |
| Camera Model | FLIR A300 9 Hz | |
| Resolution | 320 × 240 pixels | |
| Field of View (FOV) | Expanded from 25° to 90° |
| Model | Developer | Release Year | Backbone Highlights | Neck Highlights | Head Highlights |
|---|---|---|---|---|---|
| YOLOV5 | Ultralytics | 2020 | C3 module, SPPF module | FPN, PAN | Coupled-Head, Anchor-based |
| YOLOv6 | Meituan | 2022 | RepVGG or CSPStackRep. | Rep-PAN | Decoupled-Head, Anchor-Free |
| YOLOV7 | Chien-Yao Wang et al. | 2022 | E-ELAN | E-ELAN | Auxiliary head, Anchor-Base |
| YOLOv8 | Ultralytics | 2023 | C2f | PAFPN | Decoupled-Head, Anchor-Free |
| RT-DETR | Baidu | 2023 | Backbone | Hybrid encoder | Decoder |
| YOLOv9 | Chien-Yao Wang et al. | 2024 | PGI | GELAN | Decoupled-Head, Anchor-free |
| YOLOv10 | Tsinghua University | 2024 | CIB | CIB | Nms-free, Anchor-free |
| YOLOv11 | Ultralytics | 2024 | C3k2, C2PSA | C3k2 | Decoupled-Head, Anchor-Free |
| Subject | Dataset of Thermal Infrared Images of Pigs |
|---|---|
| Field | Deep learning-based object detection, pig ear recognition, temperature monitoring, state analysis. |
| Data Format | Thermal infrared images, “.xml” labeled data, “.txt” annotated data, “.json” annotated data. |
| Data Type | Thermal infrared image. |
| Data Collection | Thermal infrared images were collected using a pig inspection robot equipped with infrared thermal imaging in a swine farm. The image resolution is 320 × 240, with a total of 23,189 images and a compressed dataset size of 7.71 GB. |
| Collection Location | Country: China; City: Mianyang, Sichuan; Institution: TQLS Guanghui Core Breeding Farm. |
| Data Accessibility | Repository: TIRPigEar Direct URL: https://github.com/maweihong/TIRPigEar (accessed on 20 December 2024) |
| Subject | Model Size (MB) | Parameters (M) | Computation (GFLOPs) | Precision (%) | Recall (%) | mAP50 (%) |
|---|---|---|---|---|---|---|
| RT-DETR-l | 66.2 | 32.0 | 103.4 | 92.8 | 94.7 | 98.2 |
| RT-DETR-ResNet50 | 86.0 | 41.9 | 125.6 | 93.5 | 95.5 | 97.9 |
| RT-DETR-ResNet101 | 124.2 | 60.9 | 186.2 | 92.6 | 94.6 | 97.8 |
| RT-DETR-x | 135.4 | 65.5 | 222.5 | 94.0 | 94.9 | 97.6 |
| YOLOv5n | 3.9 | 1.8 | 4.1 | 95.4 | 95.9 | 98.2 |
| YOLOv5s | 14.4 | 7.0 | 15.8 | 94.5 | 96.3 | 98.2 |
| YOLOv5m | 42.2 | 20.6 | 47.9 | 93.3 | 96.6 | 98.4 |
| YOLOv5l | 92.8 | 46.1 | 107.6 | 94.7 | 96.6 | 98.3 |
| YOLOv5x | 173.1 | 86.2 | 203.8 | 94.5 | 96.1 | 98.2 |
| YOLOv6n | 9.95 | 4.7 | 11.4 | 75.0 | 78.4 | 96.6 |
| YOLOv6s | 38.7 | 18.5 | 45.3 | 78.0 | 97.5 | 80.5 |
| YOLOv6m | 72.5 | 34.9 | 85.8 | 77.7 | 97.3 | 80.8 |
| YOLOv6l | 114 | 59.6 | 150.7 | 79.8 | 97.6 | 82.8 |
| YOLOv7-tiny | 12.3 | 6.0 | 13.0 | 95.8 | 95.1 | 95.0 |
| YOLOv7 | 74.8 | 36.5 | 103.2 | 94.8 | 95.3 | 95.9 |
| YOLOv7x | 142.1 | 70.8 | 188.0 | 92.9 | 96.5 | 96.2 |
| YOLOv8n | 6.3 | 3.0 | 8.2 | 92.3 | 93.6 | 97.7 |
| YOLOv8s | 22.5 | 11.1 | 28.6 | 94.8 | 95.4 | 97. 8 |
| YOLOv8m | 52.1 | 25.8 | 78.9 | 91.4 | 96.6 | 97.6 |
| YOLOv8l | 87.7 | 43.6 | 165.2 | 92.3 | 96.6 | 98.1 |
| YOLOv8x | 136.7 | 68.1 | 257.8 | 91.9 | 97.5 | 98.0 |
| YOLOv9t | 6.1 | 2.6 | 10.7 | 90.2 | 96.7 | 98.0 |
| YOLOv9s | 20.3 | 9.6 | 38.7 | 92.2 | 97.8 | 98.5 |
| YOLOv9m | 66.2 | 32.6 | 130.7 | 92.8 | 98.1 | 98.6 |
| YOLOv9c | 102.8 | 50.7 | 236.6 | 95.0 | 96.1 | 98.0 |
| YOLOv9e | 140.0 | 68.5 | 240.7 | 97.0 | 95.6 | 98.6 |
| YOLOv10n | 5.8 | 2.7 | 8.2 | 93.5 | 94.6 | 98.1 |
| YOLOv10s | 16.6 | 8.0 | 24.4 | 93.7 | 95.0 | 98.0 |
| YOLOv10m | 33.5 | 16.5 | 63.4 | 92.4 | 95.3 | 98.0 |
| YOLOv10b | 41.5 | 20.4 | 97.9 | 94.3 | 93. 4 | 98.2 |
| YOLOv10l | 52.2 | 25.7 | 126.3 | 93.6 | 93.7 | 98.2 |
| YOLOv10x | 64.1 | 31.6 | 169.8 | 93.4 | 95.6 | 98.3 |
| YOLOv11n | 5.5 | 2.6 | 6.3 | 93.8 | 96.6 | 97. 7 |
| YOLOv11s | 19.2 | 9.4 | 21.5 | 94.6 | 95.4 | 98.2 |
| YOLOv11m | 40.5 | 20.0 | 68.0 | 94.9 | 95.3 | 98.1 |
| YOLOv11l | 51.2 | 25.3 | 86.6 | 92.7 | 96.3 | 98.0 |
| YOLOv11x | 114.4 | 56.8 | 194.4 | 92.6 | 97.6 | 98.4 |
Disclaimer/Publisher’s Note: The statements, opinions and data contained in all publications are solely those of the individual author(s) and contributor(s) and not of MDPI and/or the editor(s). MDPI and/or the editor(s) disclaim responsibility for any injury to people or property resulting from any ideas, methods, instructions or products referred to in the content. |
© 2024 by the authors. Licensee MDPI, Basel, Switzerland. This article is an open access article distributed under the terms and conditions of the Creative Commons Attribution (CC BY) license (https://creativecommons.org/licenses/by/4.0/).
Share and Cite
Ma, W.; Wang, X.; Yang, S.X.; Song, L.; Li, Q. Leveraging Thermal Infrared Imaging for Pig Ear Detection Research: The TIRPigEar Dataset and Performances of Deep Learning Models. Animals 2025, 15, 41. https://doi.org/10.3390/ani15010041
Ma W, Wang X, Yang SX, Song L, Li Q. Leveraging Thermal Infrared Imaging for Pig Ear Detection Research: The TIRPigEar Dataset and Performances of Deep Learning Models. Animals. 2025; 15(1):41. https://doi.org/10.3390/ani15010041
Chicago/Turabian StyleMa, Weihong, Xingmeng Wang, Simon X. Yang, Lepeng Song, and Qifeng Li. 2025. "Leveraging Thermal Infrared Imaging for Pig Ear Detection Research: The TIRPigEar Dataset and Performances of Deep Learning Models" Animals 15, no. 1: 41. https://doi.org/10.3390/ani15010041
APA StyleMa, W., Wang, X., Yang, S. X., Song, L., & Li, Q. (2025). Leveraging Thermal Infrared Imaging for Pig Ear Detection Research: The TIRPigEar Dataset and Performances of Deep Learning Models. Animals, 15(1), 41. https://doi.org/10.3390/ani15010041

