Trends in Rescue and Rehabilitation of Marsupials Surviving the Australian 2019–2020 Bushfires
Abstract
Simple Summary
Abstract
1. Introduction
2. Materials and Methods
2.1. NSW Wildlife Rehabilitation Data Collation
2.2. Data Analysis
2.2.1. Rates of Presentation and Fate during and before the 2019/20 Fires
2.2.2. Predictors of Fate for Fire-Affected Marsupials
2.2.3. Sex and Age of Fire-Affected Marsupials
2.2.4. Days since Fire Ignition When Reported
2.2.5. Length of Stay in Rehabilitation for 2019/20 Fire-Affected Marsupials
2.3. Spatial Analysis
2.4. NSW Baseline Species Density Data
2.5. NSW Marsupial Rehabilitation Records in Context
2.5.1. Completeness of NSW Fire Rescue Records
2.5.2. Marsupial and Fire Records in the Broader Context of All Species and Events
2.6. Comparison with Kangaroo Island 2019/20 Fires
2.6.1. Frequency of Rescues and Triage Outcomes
2.6.2. Baseline Population Densities
3. Results
3.1. Completeness of NSW Fire Rescue Records
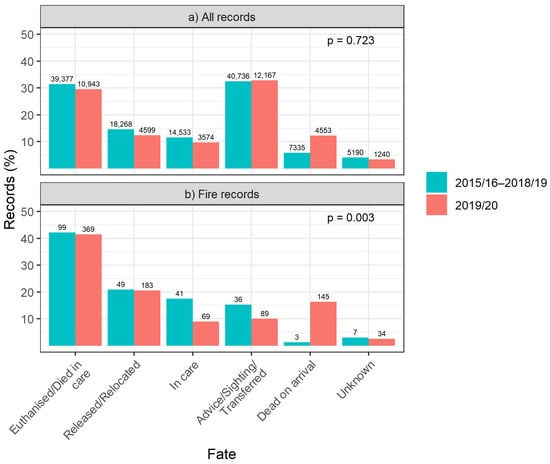
3.2. Rates of Presentation and Fate during and before the 2019/20 Bushfires
3.2.1. Types of Injuries for Fire-Affected Marsupials
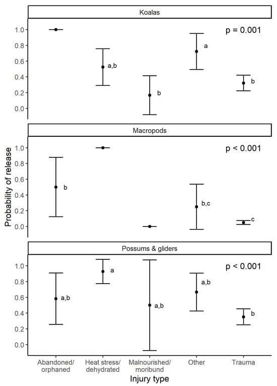
3.2.2. Predictors of Fate for Fire-Affected Marsupials
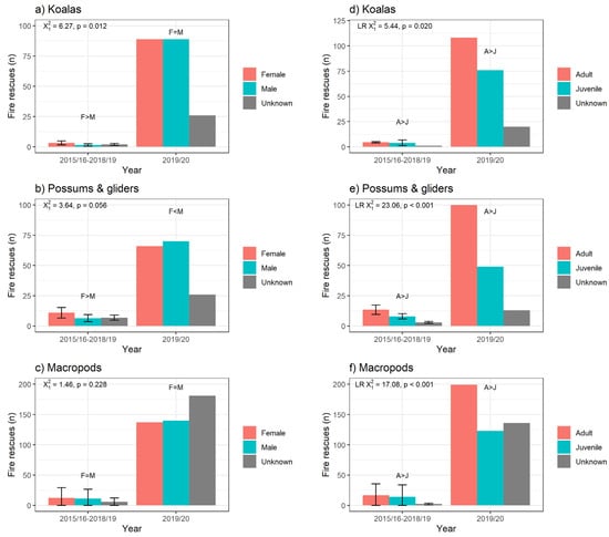
3.2.3. Sex and Age of Fire-Affected Marsupials
3.2.4. Days since Fire Ignition When Reported
3.2.5. Length of Stay in Rehabilitation for 2019/20 Fire-Affected Marsupials
3.2.6. Predictors of Length of Stay for Fire-Affected Marsupials
3.2.7. Location of Rescue in Relation to Fire Extent
3.2.8. Bioregion of Reported Fire-Affected Marsupials in 2019/20
3.3. Fire-Affected Marsupial Records in Context
3.3.1. Marsupial Records within the Context of All Species
3.3.2. Fire Records within the Context of All NSW Rescue Records
3.4. Comparison with Kangaroo Island 2019/20 Bushfires
3.4.1. Frequency of Rescues and Triage Outcomes from Kangaroo Island Wildlife Park Hospital
3.4.2. Pre-Fire Densities
4. Discussion
4.1. Relatively Few Marsupials Were Rescued following 2019/20 Bushfires
4.2. Some Marsupial Species Were Disproportionately Represented in 2019/20 Bushfire Rescue Statistics
4.3. Rescue and Rehabilitation Outcomes Varied between Species
4.4. Predictors of Survival to Release
4.5. Fires Only Account for a Small Fraction of Wildlife Rescues
4.6. Limitations
4.7. Management Implications
5. Conclusions
Supplementary Materials
Author Contributions
Funding
Institutional Review Board Statement
Informed Consent Statement
Data Availability Statement
Acknowledgments
Conflicts of Interest
References
- Ward, M.; Tulloch, A.I.T.; Radford, J.Q.; Williams, B.A.; Reside, A.E.; Macdonald, S.L.; Mayfield, H.J.; Maron, M.; Possingham, H.P.; Vine, S.J.; et al. Impact of 2019–2020 mega-fires on Australian fauna habitat. Nat. Ecol. Evol. 2020, 4, 1321–1326. [Google Scholar] [CrossRef] [PubMed]
- Woinarski, J. From the Ashes: The 2019–20 Wildfires and Biodiversity Loss and Recovery. Available online: https://www.nespthreatenedspecies.edu.au/news/from-the-ashes-the-2019-20-wildfires-and-biodiversity-loss-and-recovery (accessed on 11 December 2020).
- Hyman, I.; Ahyong, S.; Köhler, F.; McEvey, S.; Milledge, G.; Reid, C.; Rowley, J. Impacts of the 2019–2020 bushfires on New South Wales biodiversity: A rapid assessment of distribution data for selected invertebrate taxa. Tech. Rep. Aust. Mus. Online 2020, 32, 1–17. [Google Scholar] [CrossRef]
- van Eeden, L.; Nimmo, D.; Mahony, M.; Herman, K.; Ehmke, G.; Driessen, J.; O’Connor, J.; Bino, G.; Taylor, M.; Dickman, C. Impacts of the Unprecedented 2019–2020 Bushfires on Australian Animals; Report Prepared for WWF-Australia: Ultimo, NSW, Australia, 2020. [Google Scholar]
- Filkov, A.I.; Ngo, T.; Matthews, S.; Telfer, S.; Penman, T.D. Impact of Australia’s catastrophic 2019/20 bushfire season on communities and environment. Retrospective analysis and current trends. J. Saf. Sci. Resil. 2020, 1, 44–56. [Google Scholar] [CrossRef]
- Rice, M.; Hughes, L.; Steffen, W.; Bradshaw, S.; Bambrick, H.; Hutley, N.; Arndt, D.; Dean, A.; Morgan, W. A Supercharged Climate: Rain Bombs, Flash Flooding and Destruction; Climate Council of Australia Limited: Potts Point, NSW, Australia, 2022; pp. 1–26. [Google Scholar]
- van Oldenborgh, G.J.; Krikken, F.; Lewis, S.; Leach, N.J.; Lehner, F.; Saunders, K.R.; van Weele, M.; Haustein, K.; Li, S.; Wallom, D. Attribution of the Australian bushfire risk to anthropogenic climate change. Nat. Hazards Earth Syst. Sci. Discuss. 2021, 21, 941–960. [Google Scholar] [CrossRef]
- Oliver, E.C.J.; Benthuysen, J.A.; Bindoff, N.L.; Hobday, A.J.; Holbrook, N.J.; Mundy, C.N.; Perkins-Kirkpatrick, S.E. The unprecedented 2015/16 Tasman Sea marine heatwave. Nat. Commun. 2017, 8, 16101. [Google Scholar] [CrossRef] [PubMed]
- Wang, X.; Thompson, D.K.; Marshall, G.A.; Tymstra, C.; Carr, R.; Flannigan, M.D. Increasing frequency of extreme fire weather in Canada with climate change. Clim. Chang. 2015, 130, 573–586. [Google Scholar] [CrossRef]
- Sattar, Q.; Maqbool, M.E.; Ehsan, R.; Akhtar, S. Review on climate change and its effect on wildlife and ecosystem. Open J. Environ. Biol. 2021, 6, 008–014. [Google Scholar]
- Harris, R.M.B.; Beaumont, L.J.; Vance, T.R.; Tozer, C.R.; Remenyi, T.A.; Perkins-Kirkpatrick, S.E.; Mitchell, P.J.; Nicotra, A.B.; McGregor, S.; Andrew, N.R.; et al. Biological responses to the press and pulse of climate trends and extreme events. Nat. Clim. Chang. 2018, 8, 579–587. [Google Scholar] [CrossRef]
- LaFontaine, P. Beyond Rescue: Animals in Disaster. IFAW US Disaster Response Report; International Fund for Animal Welfare: Washington, DC, USA, 2020; pp. 1–15. [Google Scholar]
- Parrott, M.L.; Wicker, L.V.; Lamont, A.; Banks, C.; Lang, M.; Lynch, M.; McMeekin, B.; Miller, K.A.; Ryan, F.; Selwood, K.E.; et al. Emergency Response to Australia’s Black Summer 2019–2020: The Role of a Zoo-Based Conservation Organisation in Wildlife Triage, Rescue, and Resilience for the Future. Animals 2021, 11, 1515. [Google Scholar] [CrossRef]
- Lunney, D.; Cope, H.; Sonawane, I.; Haering, R. A state-wide picture of koala rescue and rehabilitation in NSW during the 2019–2020 bushfires. Aust. Zool. 2022, 42, 243–255. [Google Scholar] [CrossRef]
- Dunstan, E.; Funnell, O.; McLelland, J.; Stoeckeler, F.; Nishimoto, E.; Mitchell, D.; Mitchell, S.; McLelland, D.J.; Kalvas, J.; Johnson, L.; et al. An Analysis of Demographic and Triage Assessment Findings in Bushfire-Affected Koalas (Phascolarctos cinereus) on Kangaroo Island, South Australia, 2019–2020. Animals 2021, 11, 3237. [Google Scholar] [CrossRef]
- Rojas-Marin, N.; Gardner, J. Preparing wildlife carers and groups for emergencies and disasters. Aust. J. Emerg. Manag. 2021, 36, 16–17. [Google Scholar]
- de Bie, K.; Currey, K.; Woinarski, J.; Wintle, B.; Garnett, S.; Rumpff, L. Protecting Threatened Species and Ecological Communities before and during Bushfire: Learning from the 2019–20 Fires; NESP Threatened Species Recovery Hub Project 8.5.1 Report; National Environmental Science Program Threatened Species Recovery Hub: Brisbane, QLD, Australia, 2021. [Google Scholar]
- APH. Wildlife impacts of the fires. In Lessons to Be Learned in Relation to the Australian Bushfire Season 2019-20; Finance and Public Administration References Committee, Australian Parliament House, Commonwealth of Australia: Canberra, ACT, Australia, 2020. [Google Scholar]
- McLean, R.; Carnegie, C.; de Brouwer, G.; de Castro, S.; Clough, J.; Dixon, M.; Fernando, S.; McDonald, M.; Myers, M.; Paramor, G. Royal Commission into National Natural Disaster Arrangements; Commonwealth of Australia: Manuka, ACT, Australia, 2020; pp. 1–594. [Google Scholar]
- DELWP. Victorian Response Plan for Wildlife Impacted by Fire; The State of Victoria Department of Environment, Land, Water and Planning: Port Melbourne, VIC, Australia, 2020; pp. 1–112. [Google Scholar]
- Dickman, C.; Driscoll, D.; Garnett, S.; Keith, D.; Legge, S.; Lindenmayer, D.; Maron, M.; Reside, A.; Ritchie, E.; Watson, D.; et al. After the Catastrophe: A Blueprint for a Conservation Response to Large-Scale Ecological Disaster; Threatened Species Recovery Hub: St Lucia, QLD, Australia, 2020; pp. 1–17. [Google Scholar]
- Norris, P.; Johnson, T. Wildlife response in bushfires: Lessons from Australia’s 2019–20 summer. Aust. J. Emerg. Manag. 2021, 36, 15. [Google Scholar]
- Donkin, C. Safeguarding Australia’s Wildlife: Lessons from the “Black Summer” Bushfires; Wildlife Preservation Society of Queensland: Highgate Hill, QLD, Australia, 2021; Volume 58, pp. 20–21. [Google Scholar]
- NSW RFS. Bush fire bulletin. Unprecedented: The 2019/20 fire season. J. NSW Rural Fire Serv. 2020, 42, 1–60. [Google Scholar]
- Public Service Association of NSW/CPSU NSW. Submission to the Royal Commission into National Natural Disaster Arrangements; Public Service Association of NSW/CPSU NSW: Sydney, NSW, Australia, 2020; pp. 1–86. [Google Scholar]
- Kwok, A.B.C.; Haering, R.; Travers, S.K.; Stathis, P. Trends in wildlife rehabilitation rescues and animal fate across a six-year period in New South Wales, Australia. PLoS ONE 2021, 16, e0257209. [Google Scholar] [CrossRef] [PubMed]
- DEW. Bushfire and Recovery. Available online: https://www.environment.sa.gov.au/news-hub/news/articles/2020/01/bushfire-and-recovery (accessed on 6 June 2022).
- Cope, H.R.; McArthur, C.; Dickman, C.R.; Newsome, T.M.; Gray, R.; Herbert, C.A. A systematic review of factors affecting wildlife survival during rehabilitation and release. PLoS ONE 2022, 17, e0265514. [Google Scholar] [CrossRef] [PubMed]
- DPIE. NSW Wildlife Rehabilitation Dashboard. Available online: https://www.environment.nsw.gov.au/topics/animals-and-plants/native-animals/rehabilitating-native-animals/wildlife-rehabilitation-reporting/wildlife-rehabilitation-data (accessed on 17 January 2022).
- Swan, G.; Wilson, S. Where do they all come from? Animal movement immediately following a hummock grassland fire. Aust. Zool. 2015, 37, 485–491. [Google Scholar] [CrossRef]
- Nimmo, D.G.; Avitabile, S.; Banks, S.C.; Bliege Bird, R.; Callister, K.; Clarke, M.F.; Dickman, C.R.; Doherty, T.S.; Driscoll, D.A.; Greenville, A.C. Animal movements in fire-prone landscapes. Biol. Rev. 2019, 94, 981–998. [Google Scholar] [CrossRef]
- DPE. NSW wildlife Rehabilitation Annual Report 2021–22; Environment and Heritage Group, Department of Planning and Environment: Parramatta, NSW, Australia, 2023; pp. 1–47. [Google Scholar]
- State Government of NSW and Department of Planning and Environment. NPWS Fire History—Wildfires and Prescribed Burns. Available online: https://datasets.seed.nsw.gov.au/dataset/fire-history-wildfires-and-prescribed-burns-1e8b6 (accessed on 26 January 2024).
- R Core Team. R: A Language and Environment for Statistical Computing; R Foundation for Statistical Computing: Vienna, Austria, 2021. [Google Scholar]
- Department of Climate Change Energy the Environment and Water. National Indicative Aggregated Fire Extent Datasets. Available online: https://www.environment.gov.au/fed/catalog/search/resource/details.page?uuid=%7B9ACDCB09-0364-4FE8-9459-2A56C792C743%7D (accessed on 26 January 2024).
- State Government of NSW and Department of Planning and Environment. Fire Extent and Severity Mapping (FESM) 2019/20. Available online: https://datasets.seed.nsw.gov.au/dataset/fire-extent-and-severity-mapping-fesm-2019-20 (accessed on 26 January 2024).
- Department of Climate Change Energy the Environment and Water. Interim Biogeographic Regionalisation for Australia (IBRA) Version 5.1—Sub-Regions. Available online: https://data.gov.au/data/dataset/interim-biogeographic-regionalisation-for-australia-ibra-version-5-1-sub-regions (accessed on 26 January 2024).
- Adams-Hosking, C.; McBride, M.F.; Baxter, G.; Burgman, M.; De Villiers, D.; Kavanagh, R.; Lawler, I.; Lunney, D.; Melzer, A.; Menkhorst, P. Use of expert knowledge to elicit population trends for the koala (Phascolarctos cinereus). Divers. Distrib. 2016, 22, 249–262. [Google Scholar] [CrossRef]
- DEW. 2020 Quota Report Commercial Kangaroo Harvest South Australia; Department for Environment and Water Government of South Australia: Adelaide, SA, Australia, 2019; pp. 1–19. [Google Scholar]
- Molsher, R. Kangaroo Island Koala Population Survey 2015; Natural Resources Kangaroo Island: Kingscote, SA, Australia, 2017; pp. 1–17. [Google Scholar]
- DAWE. Interim Biogeographic Regionalisation for Australia (IBRA7) Codes. Available online: https://www.awe.gov.au/agriculture-land/land/nrs/science/ibra/ibra7-codes (accessed on 11 May 2022).
- DPIE. NSW Wildlife Rehabilitation Annual Report 2019–20; NSW Department of Planning, Industry and Environment: Parramatta, NSW, Australia, 2021; pp. 1–44. [Google Scholar]
- C3 Resilience. Lessons from the Island: An Independent Review of the Fires That Burnt across Kangaroo Island during December 2019–February 2020; C3 Resilience: Broadbeach, Australia, 2020. [Google Scholar]
- DEW. Rapid Assessment: Kangaroo Island Koala Population Update Following the 2019–20 Summer Bushfires; Government of South Australia Department for Environment and Water: Adelaide, SA, Australia, 2020; pp. 1–2. [Google Scholar]
- Boer, M.M.; de Dios, V.R.; Bradstock, R.A. Unprecedented burn area of Australian mega forest fires. Nat. Clim. Chang. 2020, 10, 171–172. [Google Scholar] [CrossRef]
- Levin, N.; Yebra, M.; Phinn, S. Unveiling the Factors Responsible for Australia’s Black Summer Fires of 2019/2020. Fire 2021, 4, 58. [Google Scholar] [CrossRef]
- Garvey, N.; Ben-Ami, D.; Ramp, D.; Croft, D.B. Survival behaviour of swamp wallabies during prescribed burning and wildfire. Wildl. Res. 2010, 37, 1–12. [Google Scholar] [CrossRef]
- Steenvoorden, J.; Meddens, A.J.H.; Martinez, A.J.; Foster, L.J.; Kissling, W.D. The potential importance of unburned islands as refugia for the persistence of wildlife species in fire-prone ecosystems. Ecol. Evol. 2019, 9, 8800–8812. [Google Scholar] [CrossRef] [PubMed]
- Nimmo, D.G.; Carthey, A.J.R.; Jolly, C.J.; Blumstein, D.T. Welcome to the Pyrocene: Animal survival in the age of megafire. Glob. Chang. Biol. 2021, 27, 5684–5693. [Google Scholar] [CrossRef] [PubMed]
- Cristescu, R.H.; Frere, C. Scientists Find Burnt, Starving Koalas Weeks after the Bushfires. Available online: https://theconversation.com/scientists-find-burnt-starving-koalas-weeks-after-the-bushfires-133519 (accessed on 16 May 2022).
- Marsh, C.; Sica, Y.; Burgin, C.; Dorman, W.; Anderson, R.; Mijares, I.; Vigneron, J.; Barve, V.; Dombrowik, V.; Duong, M.; et al. Expert range maps of global mammal distributions harmonised to three taxonomic authorities. J. Biogeogr. 2022, 49, 979–992. [Google Scholar] [CrossRef] [PubMed]
- Robinson, T. The 2019 to 2020 fire season in Australia: A Kangaroo Island perspective. S. Aust. Nat. 2020, 94, 7–37. [Google Scholar]
- Dickman, C.R.; Vieira, E. Ecology and life histories. In Marsupials; Armati, P.J., Dickman, C.R., Hume, I.D., Eds.; Cambridge University Press: New York, NY, USA, 2006; pp. 199–228. [Google Scholar]
- Ferreira, M.S.; Dickman, C.R.; Fisher, D.O.; Figueiredo, M.d.S.L.; Vieira, M.V. Marsupial position on life-history continua and the potential contribution of life-history traits to population growth. Proc. R. Soc. B 2023, 290, 20231316. [Google Scholar] [CrossRef] [PubMed]
- Negret, P.J.; Lunney, D.; Rhodes, J. Better Managing Fires and Their Impacts for Koala Conservation; Project 8.4.5 Report; Threatened Species Recovery Hub: Brisbane, QLD, Australia, 2021; pp. 1–30. [Google Scholar]
- Dovey, C. The Great Koala Rescue Operation; Smithsonian Magazine: Planet Positive: A Smithsonian Magazine Special Report; Smithsonian Institution: Washington, DC, USA, 2020. [Google Scholar]
- Friend, G.R. Impact of fire on small vertebrates in mallee woodlands and heathlands of temperate Australia: A review. Biol. Conserv. 1993, 65, 99–114. [Google Scholar] [CrossRef]
- Newsome, A.; McIlroy, J.; Catling, P. Effects of an extensive wildfire on populations of twenty ground vertebrates in south-east Australia. Proc. Ecol. Soc. Aust. 1975, 9, 107–123. [Google Scholar]
- Banks, S.C.; Knight, E.J.; McBurney, L.; Blair, D.; Lindenmayer, D.B. The effects of wildfire on mortality and resources for an arboreal marsupial: Resilience to fire events but susceptibility to fire regime change. PLoS ONE 2011, 6, e22952. [Google Scholar] [CrossRef]
- DPE. NSW Koala Strategy; NSW Government Department of Planning and Environment: Parramatta, NSW, Australia, 2022. [Google Scholar]
- Colléony, A.; Clayton, S.; Couvet, D.; Saint Jalme, M.; Prévot, A.-C. Human preferences for species conservation: Animal charisma trumps endangered status. Biol. Conserv. 2017, 206, 263–269. [Google Scholar] [CrossRef]
- Whisson, D.A.; Ashman, K.R. When an iconic native animal is overabundant: The koala in southern Australia. Conserv. Sci. Pract. 2020, 2, e188. [Google Scholar] [CrossRef]
- Wilks, S.L. Different portrayals of koalas on Kangaroo Island: What gets whose attention (and what doesn’t). Aust. Zool. 2008, 34, 22–32. [Google Scholar] [CrossRef]
- DPIE. Taronga Conservation Society Australia. In Wildlife First Response for NSW Firefighters Handbook; NSW Department of Planning, Industry and Environment: Parramatta, NSW, Australia, 2021. [Google Scholar]
- Jackson, S. Australian Mammals: Biology and Captive Management; CSIRO Publishing: Melbourne, Australia, 2007. [Google Scholar]
- Narayan, E.; Vanderneut, T. Physiological stress in rescued wild koalas are influenced by habitat demographics, environmental stressors, and clinical intervention. Front. Endocrinol. 2019, 10, 18. [Google Scholar] [CrossRef] [PubMed]
- Peters, A.; Hume, S.; Raidal, S.; Crawley, L.; Gowland, D. Mortality Associated with Bushfire Smoke Inhalation in a Captive Population of the Smoky Mouse (Pseudomys fumeus), a Threatened Australian Rodent. J. Wildl. Dis. 2020, 57, 199–204. [Google Scholar] [CrossRef] [PubMed]
- Chia, E.K.; Bassett, M.; Nimmo, D.G.; Leonard, S.W.; Ritchie, E.G.; Clarke, M.F.; Bennett, A.F. Fire severity and fire-induced landscape heterogeneity affect arboreal mammals in fire-prone forests. Ecosphere 2015, 6, 1–14. [Google Scholar] [CrossRef]
- Jolly, C.J.; Dickman, C.R.; Doherty, T.S.; van Eeden, L.M.; Geary, W.L.; Legge, S.M.; Woinarski, J.C.Z.; Nimmo, D.G. Animal mortality during fire. Glob. Chang. Biol. 2022, 28, 2053–2065. [Google Scholar] [CrossRef] [PubMed]
- Phillips, S.; Wallis, K.; Lane, A. Quantifying the impacts of bushfire on populations of wild koalas (Phascolarctos cinereus): Insights from the 2019/20 fire season. Ecol. Manag. Restor. 2021, 22, 80–88. [Google Scholar] [CrossRef]
- Lindenmayer, D.B.; Blanchard, W.; McBurney, L.; Blair, D.; Banks, S.C.; Driscoll, D.; Smith, A.L.; Gill, A.M. Fire severity and landscape context effects on arboreal marsupials. Biol. Conserv. 2013, 167, 137–148. [Google Scholar] [CrossRef]
- van Eeden, L.M.; Dickman, C.R. Estimating the number of wild animals affected by Australia’s 2019–20 wildfires. In Australia’s Megafires: Biodiversity Impacts and Lessons from 2019–2020; Rumpff, L., Legge, S., van Leeuwen, S., Wintle, B., Woinarski, J., Eds.; CSIRO Publishing: Melbourne, VIC, Australia, 2023; pp. 154–166. [Google Scholar]
- Parliament NSW. Report 3 Koala Populations and Habitat in New South Wales; The Committee Legislative Council Portfolio Committee No. 7—Planning and Environment: Sydney, NSW, Australia, 2020; pp. xviii–291. [Google Scholar]
- Orr, B.; Tribe, A. Animal welfare implications of treating wildlife in Australian veterinary practices. Aust. Vet. J. 2018, 96, 475–480. [Google Scholar] [CrossRef]
- Greenbank, A. Why Animal Charity That Got $60m during Australia’s Bushfire Crisis Was ‘Loath to Spend It’. Available online: https://www.abc.net.au/news/2020-02-26/questions-over-wires-progress-of-donations-wildlife-bushfire/12000166 (accessed on 26 February 2020).
- DPIE. Wildlife and Conservation Bushfire Recovery: Medium-Term Response; NSW Government Department of Planning, Industry and Environment: Parramatta, NSW, Australia, 2021; pp. 1–56. [Google Scholar]
- Barratt, V.; Medvecky, F. Knowledge and attitudes towards Australian wildlife rescue services. Aust. Zool. 2022, 42, 702–718. [Google Scholar] [CrossRef]
- Haering, R.; Wilson, V.; Zhuo, A.; Stathis, P. Towards a more effective model of wildlife care and rehabilitation: A survey of volunteers in New South Wales, Australia. Aust. Zool. 2020, 40, 605–627. [Google Scholar] [CrossRef]
- WIRES. National Emergency Response and Recovery. Available online: https://www.wildlifetraining.org.au/national-emergency-response# (accessed on 26 January 2024).
- Cristescu, R.H.; Gardiner, R.; Terraube, J.; McDonald, K.; Powell, D.; Levengood, A.L.; Frère, C.H. Difficulties of assessing the impacts of the 2019–2020 bushfires on koalas. Aust. Ecol. 2021, 48, 12–18. [Google Scholar] [CrossRef]
- Douglas, I. AVERT: A novel approach to wildlife rescue and welfare in Australia. Aust. J. Emerg. Manag. 2021, 36, 10–11. [Google Scholar]
- DPIE. Possum and Glider Rehabilitation Training Standards for the Volunteer Wildlife Rehabilitation Sector; Environment, Energy and Science Department of Planning, Industry and Environment: Parramatta, NSW, Australia, 2021; pp. 1–12. [Google Scholar]
- DPIE. Koala Rehabilitation Training Standards for the Volunteer Wildlife Rehabilitation Sector; Environment, Energy and Science Department of Planning, Industry and Environment: Parramatta, NSW, Australia, 2020; pp. 1–9. [Google Scholar]
- Abram, N.J.; Henley, B.J.; Sen Gupta, A.; Lippmann, T.J.R.; Clarke, H.; Dowdy, A.J.; Sharples, J.J.; Nolan, R.H.; Zhang, T.; Wooster, M.J.; et al. Connections of climate change and variability to large and extreme forest fires in southeast Australia. Commun. Earth Environ. 2021, 2, 8. [Google Scholar] [CrossRef]
- Jones, B.; Herbert, C.; Finnerty, S.; Kennedy, B.; Lykins, A.; Martin, J.M.; McManus, P.; Raubenheimer, D.; Shaw, M.; McGreevy, P.D. In Situ Provisioning Wildlife with Food, Water, or Shelter after Bushfires: Using a One Welfare Framework to Guide Responses. Animals 2023, 13, 3518. [Google Scholar] [CrossRef] [PubMed]
- Mella, V.S.A.; Gillies, C.; McArthur, C.; Webb, E.; Herbert, C.A. Factors influencing the success of hand-reared juvenile brushtail possums (Trichosurus vulpecula) released into the wild. Wildl. Res. 2022, 50, 96–107. [Google Scholar] [CrossRef]
- Lunney, D.; Cope, H.; Sonawane, I.; Stalenberg, E.; Haering, R. An analysis of the long-term trends in the records of Friends of the Koala in north-east New South Wales: II. Post-release survival. Pac. Conserv. Biol. 2022, 29, 177–196. [Google Scholar] [CrossRef]
- Lunney, D.; Gresser, S.M.; Mahon, P.S.; Matthews, A. Post-fire survival and reproduction of rehabilitated and unburnt koalas. Biol. Conserv. 2004, 120, 567–575. [Google Scholar] [CrossRef]
- Leigh, K.A.; Hofweber, L.N.; Sloggett, B.K.; Inman, V.L.; Pettit, L.J.; Sriram, A.; Haering, R. Outcomes for an arboreal folivore after rehabilitation and implications for management. Sci. Rep. 2023, 13, 6542. [Google Scholar] [CrossRef]
- Lane, M.R.; Lowe, A.; Vukcevic, J.; Clark, R.G.; Madani, G.; Higgins, D.P.; Silver, L.; Belov, K.; Hogg, C.J.; Marsh, K.J. Health Assessments of Koalas after Wildfire: A Temporal Comparison of Rehabilitated and Non-Rescued Resident Individuals. Animals 2023, 13, 2863. [Google Scholar] [CrossRef] [PubMed]
- OEH. Code of Practice for Injured, Sick and Orphaned Protected Fauna; Office of Environment and Heritage: Parramatta, NSW, Australia, 2011. [Google Scholar]
- DPIE. Wildlife and Conservation Bushfire Recovery; Immediate Response January 2020; Environment, Energy and Science Department of Planning, Industry and Environment: Sydney, NSW, Australia, 2020; pp. 1–28. [Google Scholar]
- DPIE. NSW Fire and the Environment 2019–20 Summary: Biodiversity and Landscape Data and Analyses to Understand the Effects of the Fire Events; NSW Department of Planning, Industry and Environment: Sydney, NSW, Australia, 2020; pp. 1–20. [Google Scholar]
- The SFPARC. Lessons to Be Learned in Relation to the Australian Bushfire Season 2019–20; Commonwealth of Australia The Senate Finance and Public Administration References Committee: Canberra, ACT, Australia, 2020; pp. i–iii, 1–203; ISBN 978-1-76093-121-6. [Google Scholar]
- Commonwealth of Australia. Australia: State of the Environment 2021. Available online: https://soe.dcceew.gov.au/ (accessed on 26 July 2022).











| Marsupial Group | Advice/Sighting/Transferred | Dead on Arrival | Euthanised/ Died in Care | Released/ Relocated | In Care | Unknown | Total |
|---|---|---|---|---|---|---|---|
| Macropods | 51 | 108 | 225 | 37 | 21 | 16 | 458 |
| Koalas | 20 | 20 | 70 | 63 | 18 | 13 | 204 |
| Possums and gliders | 7 | 13 | 61 | 68 | 9 | 4 | 162 |
| Wombats | 7 | 4 | 8 | 2 | 21 | 1 | 43 |
| Dasyurids | 1 | 0 | 1 | 11 | 0 | 0 | 13 |
| Bandicoots | 0 | 0 | 4 | 2 | 0 | 0 | 6 |
| Unknown | 2 | 0 | 0 | 0 | 0 | 0 | 2 |
| Bettongs and potoroos | 1 | 0 | 0 | 0 | 0 | 0 | 1 |
| Total | 89 | 145 | 369 | 183 | 69 | 34 | 889 |
| Released/Relocated | ||
|---|---|---|
| Macropods (n = 37) | Injury type | R2 = 0.55, F3,25 = 10.2, p < 0.001, Figure 7a |
| Age | R2 = 0.15, F1,27 = 4.6, p = 0.041 | |
| Koalas (n = 63) | Fire severity | R2 = 0.14, F4,56 = 3.83, p = 0.015, Figure 7b |
| Injury type | R2 = 0.17, F4,51 = 2.5, p = 0.05, Figure 7c | |
| Age | R2 = 0.19, F1,60 = 14.1, p < 0.001 | |
| Sex | R2 = 0.07, F1,60 = 4.3, p = 0.04 | |
| Fire site | R2 = 0.13, F8,52 = 2.2, p = 0.047 | |
| Possums (n = 68) | Injury type | R2 = 0.22, F4,48 = 3.3, p = 0.018, Figure 7d |
| Fire site | R2 = 0.60, F23,17 = 3.7, p = 0.004 | |
| Euthanised/Died in Care | ||
| Macropods (n = 333) | Injury type | R2 = 0.10, F3,194 = 7.2, p < 0.001, Figure 8a |
| Age | R2 = 0.06, F1,181 = 11.8, p < 0.001, Figure 8b | |
| Fire site | R2 = 0.28, F31,161 = 3.5, p < 0.001 | |
| Koalas (n = 90) | Fire site | R2 = 0.24, F13,44 = 2.4, p = 0.017 |
| Possums (n = 74) | N/A | |
| Marsupial Group | No Severity Data (%; Mean ± s.e.) | Nonburnt (%; Mean ± s.e) | Medium (%; Mean ± s.e) | High (%; Mean ± s.e) | Extreme (%; Mean ± s.e) | Total (n; Mean ± s.e) | No Spatial Data (n) |
|---|---|---|---|---|---|---|---|
| Koalas | 10 (0.4 ± 0.1) | 46 (0.4 ± 0.1) | 9 (0.3 ± 0.1) | 15 (0.4 ± 0.1) | 20 (0.7 ± 0.1) | 128 (0.5 ± 0.1) | 34 |
| Macropods | 20 (0.1 ± 0) | 36 (0.1 ± 0.0) | 15 (0.0 ± 0) | 15 (0.1 ± 0.1) | 14 (0.1 ± 0) | 232 (0.1 ± 0.0) | 61 |
| Possums | 5 (0.4 ± 0.2) | 64 (0.5 ± 0.1) | 10 (0.3 ± 0.1) | 12 (0.1 ± 0.1) | 10 (0.6 ± 0.1) | 110 (0.5 ± 0.1) | 30 |
| Species | Records (n) | Triage Decision | Triage (n)/Fate |
|---|---|---|---|
| Koala | 517 | Hospitalise | n = 225 (87 = euthanised/died, 86 = released, 51 = not recorded, 1 = captivity) |
| Euthanise | n = 18 | ||
| Releasable | n = 67 (6 = died/euthanised, 50 = released, 11 = not recorded) | ||
| Dead on arrival | n = 3 | ||
| Not recorded | n = 204 | ||
| Wallaby | 36 | Euthanise | n = 14 |
| Not recorded | n = 22 | ||
| Possum | 28 | Euthanise | n = 21 |
| Not recorded | n = 7 | ||
| Kangaroo | 15 | Euthanise | n = 7 |
| Hospitalise | n = 1 (1 = permanent captivity) | ||
| Not recorded | n = 7 | ||
| Unknown | 22 | Not recorded | n = 22 |
| Total | 618 |
| Species | Population Density Estimate | Population Estimate | Number Rescued |
|---|---|---|---|
| Tammar wallaby | 0.16 per ha occupy 439,800 ha | 70,588 # [39] | 36 |
| Western grey kangaroo | 0.15 per Ha [39] occupy 439,800 ha | 65,882 [39] | 15 |
| Koala | 0.11 per Ha (across entire island) * | 48,506 ± 5976 ** [40] | 517 |
| Brushtail possum | 0.1 per ha occupy 439,800 ha [4] | 43,980 | 28 |
| Total | 618 |
Disclaimer/Publisher’s Note: The statements, opinions and data contained in all publications are solely those of the individual author(s) and contributor(s) and not of MDPI and/or the editor(s). MDPI and/or the editor(s) disclaim responsibility for any injury to people or property resulting from any ideas, methods, instructions or products referred to in the content. |
© 2024 by the authors. Licensee MDPI, Basel, Switzerland. This article is an open access article distributed under the terms and conditions of the Creative Commons Attribution (CC BY) license (https://creativecommons.org/licenses/by/4.0/).
Share and Cite
Cope, H.R.; McArthur, C.; Gray, R.; Newsome, T.M.; Dickman, C.R.; Sriram, A.; Haering, R.; Herbert, C.A. Trends in Rescue and Rehabilitation of Marsupials Surviving the Australian 2019–2020 Bushfires. Animals 2024, 14, 1019. https://doi.org/10.3390/ani14071019
Cope HR, McArthur C, Gray R, Newsome TM, Dickman CR, Sriram A, Haering R, Herbert CA. Trends in Rescue and Rehabilitation of Marsupials Surviving the Australian 2019–2020 Bushfires. Animals. 2024; 14(7):1019. https://doi.org/10.3390/ani14071019
Chicago/Turabian StyleCope, Holly R., Clare McArthur, Rachael Gray, Thomas M. Newsome, Christopher R. Dickman, Aditi Sriram, Ron Haering, and Catherine A. Herbert. 2024. "Trends in Rescue and Rehabilitation of Marsupials Surviving the Australian 2019–2020 Bushfires" Animals 14, no. 7: 1019. https://doi.org/10.3390/ani14071019
APA StyleCope, H. R., McArthur, C., Gray, R., Newsome, T. M., Dickman, C. R., Sriram, A., Haering, R., & Herbert, C. A. (2024). Trends in Rescue and Rehabilitation of Marsupials Surviving the Australian 2019–2020 Bushfires. Animals, 14(7), 1019. https://doi.org/10.3390/ani14071019

