Maternal Programming of Nursery Pig Performance and Gut Microbiome through Live Yeast Supplementation
Abstract
Simple Summary
Abstract
1. Introduction
2. Materials and Methods
2.1. Animals, Housing, and Diets
2.2. Microbiome Profiling Methods
2.3. Statistical Analyses
3. Results
3.1. Sow and Piglet Performance
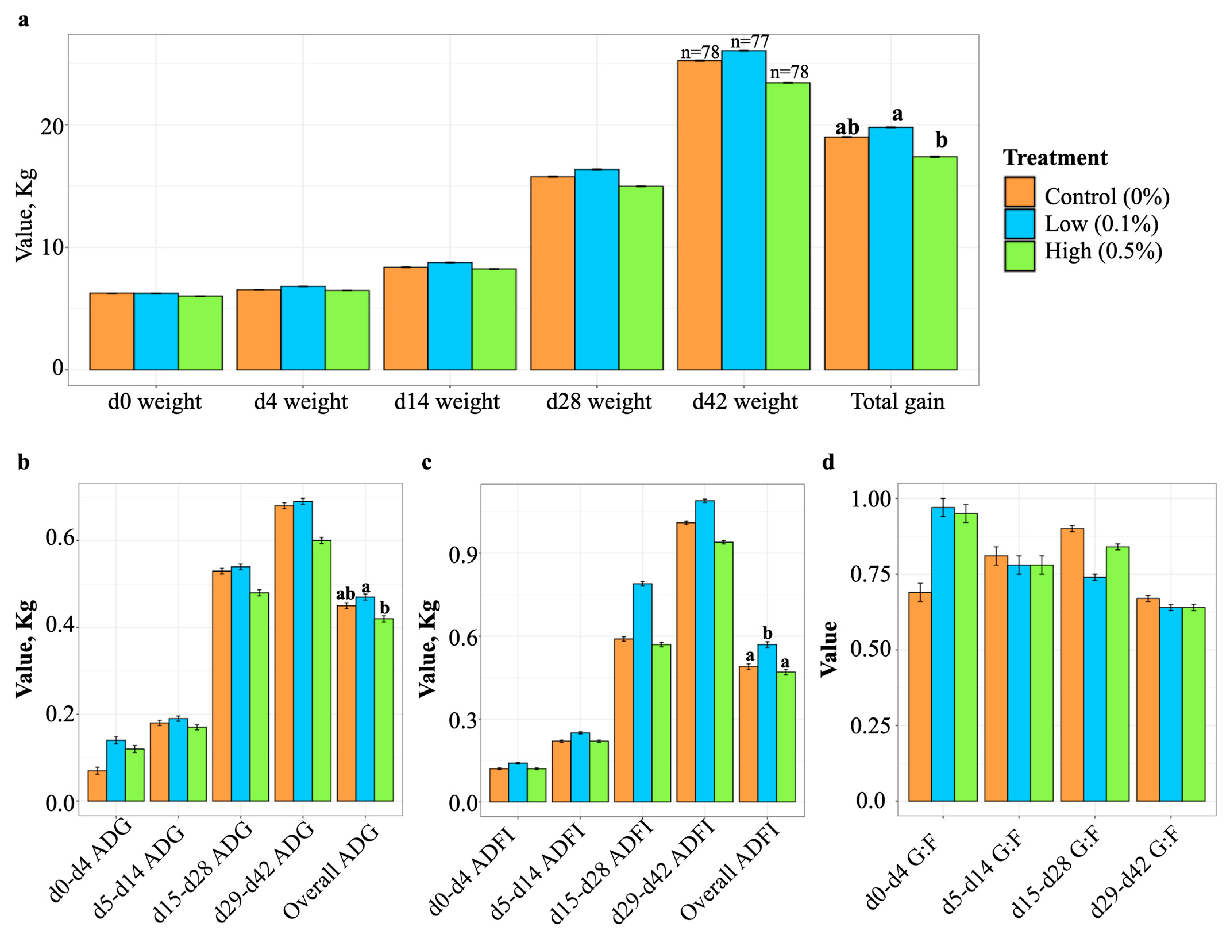
3.2. Performance and Gut Microbiome Composition of Nursery Pigs
4. Discussion
5. Study Limitations
6. Conclusions
Author Contributions
Funding
Institutional Review Board Statement
Informed Consent Statement
Data Availability Statement
Acknowledgments
Conflicts of Interest
References
- Guevarra, R.B.; Lee, J.H.; Lee, S.H.; Seok, M.-J.; Kim, D.W.; Kang, B.N.; Johnson, T.J.; Isaacson, R.E.; Kim, H.B. Piglet gut microbial shifts early in life: Causes and effects. J. Anim. Sci. Biotechnol. 2019, 10, 1. [Google Scholar] [CrossRef]
 - Law, K.; Lozinski, B.; Torres, I.; Davison, S.; Hilbrands, A.; Nelson, E.; Parra-Suescun, J.; Johnston, L.; Gomez, A. Disinfection of Maternal Environments Is Associated with Piglet Microbiome Composition from Birth to Weaning. mSphere 2021, 6, e00663-21. [Google Scholar] [CrossRef]
 - Liu, H.; Zeng, X.; Zhang, G.; Hou, C.; Li, N.; Yu, H.; Shang, L.; Zhang, X.; Trevisi, P.; Yang, F.; et al. Maternal milk and fecal microbes guide the spatiotemporal development of mucosa-associated microbiota and barrier function in the porcine neonatal gut. BMC Biol. 2019, 17, 106. [Google Scholar] [CrossRef] [PubMed]
 - Chen, X.; Xu, J.; Ren, E.; Su, Y.; Zhu, W. Co-occurrence of early gut colonization in neonatal piglets with microbiota in the maternal and surrounding delivery environments. Anaerobe 2018, 49, 30–40. [Google Scholar] [CrossRef] [PubMed]
 - Baker, A.A.; Davis, E.; Spencer, J.D.; Moser, R.; Rehberger, T. The effect of a Bacillus-based direct-fed microbial supplemented to sows on the gastrointestinal microbiota of their neonatal piglets. J. Anim. Sci. 2013, 91, 3390–3399. [Google Scholar] [CrossRef]
 - Cheng, C.; Wei, H.; Xu, C.; Xie, X.; Jiang, S.; Peng, J. Maternal Soluble Fiber Diet during Pregnancy Changes the Intestinal Microbiota, Improves Growth Performance, and Reduces Intestinal Permeability in Piglets. Appl. Environ. Microbiol. 2018, 84, e01047-18. [Google Scholar] [CrossRef] [PubMed]
 - Leblois, J.; Massart, S.; Li, B.; Wavreille, J.; Bindelle, J.; Everaert, N. Modulation of piglets’ microbiota: Differential effects by a high wheat bran maternal diet during gestation and lactation. Sci. Rep. 2017, 7, 7426. [Google Scholar] [CrossRef]
 - Liu, B.; Zhu, X.; Cui, Y.; Wang, W.; Liu, H.; Li, Z.; Guo, Z.; Ma, S.; Li, D.; Wang, C.; et al. Consumption of Dietary Fiber from Different Sources during Pregnancy Alters Sow Gut Microbiota and Improves Performance and Reduces Inflammation in Sows and Piglets. mSystems 2021, 6, e00591-20. [Google Scholar] [CrossRef]
 - Gaire, T.N.; Scott, H.M.; Noyes, N.R.; Ericsson, A.C.; Tokach, M.D.; Menegat, M.B.; Vinasco, J.; Roenne, B.; Ray, T.; Nagaraja, T.G.; et al. Age influences the temporal dynamics of microbiome and antimicrobial resistance genes among fecal bacteria in a cohort of production pigs. Anim. Microbiome 2023, 5, 2. [Google Scholar] [CrossRef]
 - Kim, H.B.; Borewicz, K.; White, B.A.; Singer, R.S.; Sreevatsan, S.; Tu, Z.J.; Isaacson, R.E. Longitudinal investigation of the age-related bacterial diversity in the feces of commercial pigs. Vet. Microbiol. 2011, 153, 124–133. [Google Scholar] [CrossRef]
 - Han, G.G.; Lee, J.-Y.; Jin, G.-D.; Park, J.; Choi, Y.H.; Kang, S.-K.; Chae, B.J.; Kim, E.B.; Choi, Y.-J. Tracing of the fecal microbiota of commercial pigs at five growth stages from birth to shipment. Sci. Rep. 2018, 8, 6012. [Google Scholar] [CrossRef]
 - Ke, S.; Fang, S.; He, M.; Huang, X.; Yang, H.; Yang, B.; Chen, C.; Huang, L. Age-based dynamic changes of phylogenetic composition and interaction networks of health pig gut microbiome feeding in a uniformed condition. BMC Vet. Res. 2019, 15, 172. [Google Scholar] [CrossRef]
 - Gaio, D.; DeMaere, M.Z.; Anantanawat, K.; Eamens, G.J.; Liu, M.; Zingali, T.; Falconer, L.; Chapman, T.A.; Djordjevic, S.P.; Darling, A.E. Community composition and development of the post-weaning piglet gut microbiome. bioRxiv 2020, 2020.07.20.211326. [Google Scholar] [CrossRef]
 - Frese, S.A.; Parker, K.; Calvert, C.C.; Mills, D.A. Diet shapes the gut microbiome of pigs during nursing and weaning. Microbiome 2015, 3, 28. [Google Scholar] [CrossRef]
 - Rhouma, M.; Fairbrother, J.M.; Beaudry, F.; Letellier, A. Post weaning diarrhea in pigs: Risk factors and non-colistin-based control strategies. Acta Vet. Scand. 2017, 59, 31. [Google Scholar] [CrossRef]
 - Fairbrother, J.M.; Nadeau, É.; Gyles, C.L. Escherichia coli in postweaning diarrhea in pigs: An update on bacterial types, pathogenesis, and prevention strategies. Anim. Health Res. Rev. 2005, 6, 17–39. [Google Scholar] [CrossRef]
 - Thacker, P.A. Alternatives to antibiotics as growth promoters for use in swine production: A review. J. Anim. Sci. Biotechnol. 2013, 4, 35. [Google Scholar] [CrossRef] [PubMed]
 - Broadway, P.R.; Carroll, J.A.; Sanchez, N.C.B. Live Yeast and Yeast Cell Wall Supplements Enhance Immune Function and Performance in Food-Producing Livestock: A Review. Microorganisms 2015, 3, 417–427. [Google Scholar] [CrossRef] [PubMed]
 - Shurson, G.C. Yeast and yeast derivatives in feed additives and ingredients: Sources, characteristics, animal responses, and quantification methods. Anim. Feed Sci. Technol. 2018, 235, 60–76. [Google Scholar] [CrossRef]
 - Vohra, A.; Syal, P.; Madan, A. Probiotic yeasts in livestock sector. Anim. Feed Sci. Technol. 2016, 219, 31–47. [Google Scholar] [CrossRef]
 - Kollár, R.; Reinhold, B.B.; Petráková, E.; Yeh, H.J.C.; Ashwell, G.; Drgonová, J.; Kapteyn, J.C.; Klis, F.M.; Cabib, E. Architecture of the Yeast cell wall: β(1→6)-glucan interconnects mannoprotein, β(1→3)-glucan, and Chitin. J. Biol. Chem. 1997, 272, 17762–17775. [Google Scholar] [CrossRef]
 - Spring, P.; Wenk, C.; Connolly, A.; Kiers, A. A review of 733 published trials on Bio-Mos®, a mannan oligosaccharide, and Actigen®, a second generation mannose rich fraction, on farm and companion animals. J. Appl. Anim. Nutr. 2015, 3, e8. [Google Scholar] [CrossRef]
 - Halas, V.; Nochta, I. Mannan Oligosaccharides in Nursery Pig Nutrition and Their Potential Mode of Action. Animals 2012, 2, 261–274. [Google Scholar] [CrossRef]
 - Miguel, J.C.; Rodriguez-Zas, S.L.; Pettigrew, J.E. Efficacy of a mannan oligosaccharide (Bio-Mos®) for improving nursery pig performance. J. Swine Health Prod. 2004, 12, 296–307. [Google Scholar]
 - Vetvicka, V.; Vannucci, L.; Sima, P. The Effects of β-Glucan on Pig Growth and Immunity. Open Biochem. J. 2014, 8, 89–93. [Google Scholar] [CrossRef]
 - Volman, J.J.; Ramakers, J.D.; Plat, J. Dietary modulation of immune function by β-glucans. Physiol. Behav. 2008, 94, 276–284. [Google Scholar] [CrossRef] [PubMed]
 - Che, L.; Xu, Q.; Wu, C.; Luo, Y.; Huang, X.; Zhang, B.; Auclair, E.; Kiros, T.; Fang, Z.; Lin, Y.; et al. Effects of dietary live yeast supplementation on growth performance, diarrhoea severity, intestinal permeability and immunological parameters of weaned piglets challenged with enterotoxigenic Escherichia coli K88. Br. J. Nutr. 2017, 118, 949–958. [Google Scholar] [CrossRef] [PubMed]
 - Kiros, T.G.; Luise, D.; Derakhshani, H.; Petri, R.; Trevisi, P.; D’Inca, R.; Auclair, E.; Kessel, A.G. van Effect of live yeast Saccharomyces cerevisiae supplementation on the performance and cecum microbial profile of suckling piglets. PLoS ONE 2019, 14, e0219557. [Google Scholar] [CrossRef] [PubMed]
 - Long, S.; He, T.; Kim, S.W.; Shang, Q.; Kiros, T.; Mahfuz, S.U.; Wang, C.; Piao, X. Live Yeast or Live Yeast Combined with Zinc Oxide Enhanced Growth Performance, Antioxidative Capacity, Immunoglobulins and Gut Health in Nursery Pigs. Animals 2021, 11, 1626. [Google Scholar] [CrossRef]
 - National Research Council. Nutrient Requirements of Swine: Eleventh Revised Edition [Internet]; The National Academies Press: Washington, DC, USA, 2012; Available online: https://www.nap.edu/catalog/13298/nutrient-requirements-of-swine-eleventh-revised-edition (accessed on 1 September 2023).
 - Knauer, M.; Baitinger, D.J. The Sow Body Condition Caliper. Appl. Eng. Agric. 2015, 31, 175–178. [Google Scholar]
 - Gohl, D.M.; Vangay, P.; Garbe, J.; MacLean, A.; Hauge, A.; Becker, A.; Gould, T.J.; Clayton, J.B.; Johnson, T.J.; Hunter, R.; et al. Systematic improvement of amplicon marker gene methods for increased accuracy in microbiome studies. Nat. Biotechnol. 2016, 34, 942–949. [Google Scholar] [CrossRef]
 - Bolyen, E.; Rideout, J.R.; Dillon, M.R.; Bokulich, N.A.; Abnet, C.C.; Al-Ghalith, G.A.; Alexander, H.; Alm, E.J.; Arumugam, M.; Asnicar, F.; et al. Reproducible, interactive, scalable and extensible microbiome data science using QIIME 2. Nat. Biotechnol. 2019, 37, 852–857. [Google Scholar] [CrossRef]
 - Callahan, B.J.; McMurdie, P.J.; Rosen, M.J.; Han, A.W.; Johnson, A.J.A.; Holmes, S.P. DADA2: High-resolution sample inference from Illumina amplicon data. Nat. Methods 2016, 13, 581–583. [Google Scholar] [CrossRef]
 - Quast, C.; Pruesse, E.; Yilmaz, P.; Gerken, J.; Schweer, T.; Yarza, P.; Peplies, J.; Glöckner, F.O. The SILVA ribosomal RNA gene database project: Improved data processing and web-based tools. Nucleic Acids Res. 2013, 41, D590–D596. [Google Scholar] [CrossRef]
 - R Core Team R: The R Project for Statistical Computing [Internet]. Available online: https://www.r-project.org/ (accessed on 10 March 2023).
 - McKnight, D.T.; Huerlimann, R.; Bower, D.S.; Schwarzkopf, L.; Alford, R.A.; Zenger, K.R. microDecon: A highly accurate read-subtraction tool for the post-sequencing removal of contamination in metabarcoding studies. Environ. DNA 2019, 1, 14–25. [Google Scholar] [CrossRef]
 - Roberts, D.W. labdsv: Ordination and Multivariate Analysis for Ecology [Internet]. 2019. Available online: https://CRAN.R-project.org/package=labdsv (accessed on 18 January 2021).
 - Oksanen, J.; Blanchet, F.G.; Friendly, M.; Kindt, R.; Legendre, P.; McGlinn, D.; Minchin, P.R.; O’Hara, R.B.; Simpson, G.L.; Solymos, P.; et al. vegan: Community Ecology Package [Internet]. 2020. Available online: https://CRAN.R-project.org/package=vegan (accessed on 18 January 2021).
 - Lin, H.; Peddada, S.D. Analysis of compositions of microbiomes with bias correction. Nat. Commun. 2020, 11, 3514. [Google Scholar] [CrossRef]
 - Bates, D.; Mächler, M.; Bolker, B.; Walker, S. Fitting Linear Mixed-Effects Models Using lme4. J. Stat. Softw. 2015, 67, 1–48. [Google Scholar] [CrossRef]
 - Zanello, G.; Meurens, F.; Serreau, D.; Chevaleyre, C.; Melo, S.; Berri, M.; D’Inca, R.; Auclair, E.; Salmon, H. Effects of dietary yeast strains on immunoglobulin in colostrum and milk of sows. Vet. Immunol. Immunopathol. 2013, 152, 20–27. [Google Scholar] [CrossRef]
 - Jang, Y.D.; Kang, K.W.; Piao, L.G.; Jeong, T.S.; Auclair, E.; Jonvel, S.; D’Inca, R.; Kim, Y.Y. Effects of live yeast supplementation to gestation and lactation diets on reproductive performance, immunological parameters and milk composition in sows. Livest. Sci. 2013, 152, 167–173. [Google Scholar] [CrossRef]
 - Peng, X.; Yan, C.; Hu, L.; Huang, Y.; Fang, Z.; Lin, Y.; Xu, S.; Feng, B.; Li, J.; Zhuo, Y.; et al. Live yeast supplementation during late gestation and lactation affects reproductive performance, colostrum and milk composition, blood biochemical and immunological parameters of sows. Anim. Nutr. 2020, 6, 288–292. [Google Scholar] [CrossRef]
 - van Heugten, E.; Funderburke, D.W.; Dorton, K.L. Growth performance, nutrient digestibility, and fecal microflora in weanling pigs fed live yeast1. J. Anim. Sci. 2003, 81, 1004–1012. [Google Scholar] [CrossRef]
 - Kiros, T.G.; Derakhshani, H.; Pinloche, E.; D’Inca, R.; Marshall, J.; Auclair, E.; Khafipour, E.; Van Kessel, A. Effect of live yeast Saccharomyces cerevisiae (Actisaf Sc 47) supplementation on the performance and hindgut microbiota composition of weanling pigs. Sci. Rep. 2018, 8, 5315. [Google Scholar] [CrossRef]
 - Willems, A.; Collins, M.D. Pseudoramibacter. In Bergey’s Manual of Systematics of Archaea and Bacteria; John Wiley & Sons, Ltd.: Hoboken, NJ, USA, 2015; pp. 1–8. [Google Scholar] [CrossRef]
 - Feng, K.; Wang, Q.; Li, H.; Du, X.; Zhang, Y. Microbial mechanism of enhancing methane production from anaerobic digestion of food waste via phase separation and pH control. J. Environ. Manag. 2021, 288, 112460. [Google Scholar] [CrossRef]
 - Wang, C.; Wei, S.; Xu, B.; Hao, L.; Su, W.; Jin, M.; Wang, Y. Bacillus subtilis and Enterococcus faecium co-fermented feed regulates lactating sow’s performance, immune status and gut microbiota. Microb. Biotechnol. 2021, 14, 614–627. [Google Scholar] [CrossRef]
 - Rivière, A.; Selak, M.; Lantin, D.; Leroy, F.; De Vuyst, L. Bifidobacteria and Butyrate-Producing Colon Bacteria: Importance and Strategies for Their Stimulation in the Human Gut. Front. Microbiol. 2016, 7, 979. [Google Scholar] [CrossRef]
 - Ramayo-Caldas, Y.; Mach, N.; Lepage, P.; Levenez, F.; Denis, C.; Lemonnier, G.; Leplat, J.-J.; Billon, Y.; Berri, M.; Doré, J.; et al. Phylogenetic network analysis applied to pig gut microbiota identifies an ecosystem structure linked with growth traits. ISME J. 2016, 10, 2973–2977. [Google Scholar] [CrossRef]
 - Dou, S.; Gadonna-Widehem, P.; Rome, V.; Hamoudi, D.; Rhazi, L.; Lakhal, L.; Larcher, T.; Bahi-Jaber, N.; Pinon-Quintana, A.; Guyonvarch, A.; et al. Characterisation of Early-Life Fecal Microbiota in Susceptible and Healthy Pigs to Post-Weaning Diarrhoea. PLoS ONE 2017, 12, e0169851. [Google Scholar] [CrossRef]
 - Zhang, Y.; Zhou, J.; Dong, Z.; Li, G.; Wang, J.; Li, Y.; Wan, D.; Yang, H.; Yin, Y. Effect of Dietary Copper on Intestinal Microbiota and Antimicrobial Resistance Profiles of Escherichia coli in Weaned Piglets. Front. Microbiol. 2019, 10, 484922. [Google Scholar] [CrossRef]
 - De Rodas, B.; Youmans, B.P.; Danzeisen, J.L.; Tran, H.; Johnson, T.J. Microbiome profiling of commercial pigs from farrow to finish. J. Anim. Sci. 2018, 96, 1778–1794. [Google Scholar] [CrossRef]
 - Wang, X.; Tsai, T.; Deng, F.; Wei, X.; Chai, J.; Knapp, J.; Apple, J.; Maxwell, C.V.; Lee, J.A.; Li, Y.; et al. Longitudinal investigation of the swine gut microbiome from birth to market reveals stage and growth performance associated bacteria. Microbiome 2019, 7, 109. [Google Scholar] [CrossRef]
 - Vangroenweghe, F.A.C.J.; Boone, M. Vaccination with an Escherichia coli F4/F18 Vaccine Improves Piglet Performance Combined with a Reduction in Antimicrobial Use and Secondary Infections Due to Streptococcus suis. Animals 2022, 12, 2231. [Google Scholar] [CrossRef] [PubMed]
 - Correa-Fiz, F.; Neila-Ibáñez, C.; López-Soria, S.; Napp, S.; Martinez, B.; Sobrevia, L.; Tibble, S.; Aragon, V.; Migura-Garcia, L. Feed additives for the control of post-weaning Streptococcus suis disease and the effect on the faecal and nasal microbiota. Sci. Rep. 2020, 10, 20354. [Google Scholar] [CrossRef] [PubMed]
 - McAllister, J.S.; Kurtz, H.J.; Short, E.C., Jr. Changes in the Intestinal Flora of Young Pigs with Postweaning Diarrhea or Edema Disease. J. Anim. Sci. 1979, 49, 868–879. [Google Scholar] [CrossRef] [PubMed]
 - Zheng, X.; Nie, K.; Xu, Y.; Zhang, H.; Xie, F.; Xu, L.; Zhang, Z.; Ding, Y.; Yin, Z.; Zhang, X. Fecal Microbial Structure and Metabolic Profile in Post-Weaning Diarrheic Piglets. Genes 2023, 14, 1166. [Google Scholar] [CrossRef]
 - Rhouma, M.; Braley, C.; Thériault, W.; Thibodeau, A.; Quessy, S.; Fravalo, P. Evolution of pig fecal microbiota composition and diversity in response to enterotoxigenic Escherichia coli infection and colistin treatment in weaned piglets. Microorganisms 2021, 9, 1459. [Google Scholar] [CrossRef]
 



| Ingredient, % | Control | Low | High | 
|---|---|---|---|
| Corn | 83.7 | 83.6 | 83.2 | 
| Soybean meal 46% CP | 12.0 | 12.0 | 12.0 | 
| Mineral/vitamin premix a | 4.3 | 4.3 | 4.3 | 
| Lysine HCl | 0.025 | 0.025 | 0.025 | 
| Active dry yeast | - | 0.1 | 0.5 | 
| Total | 100.0 | 100.0 | 100.0 | 
| Calculated energy and nutrient content: | |||
| Metabolizable energy, kcal/kg | 3254 | ||
| Crude protein, % | 11.4 | ||
| Fat, % | 3.6 | ||
| Standardized ileal digestible lysine, % | 0.60 | ||
| Calcium, % | 0.86 | ||
| Av. phosphorus, % | 0.54 | ||
| Salt, % | 0.51 | ||
| Ingredient, % | Control | Low | High | 
|---|---|---|---|
| Corn | 68.1 | 68.0 | 67.6 | 
| Soybean meal 46% CP | 25.5 | 25.5 | 25.5 | 
| Mineral/vitamin premix a | 4.3 | 4.3 | 4.3 | 
| Distillers corn oil | 2.0 | 2.0 | 2.0 | 
| Lysine HCl | 0.1 | 0.1 | 0.1 | 
| Active dry yeast | - | 0.1 | 0.5 | 
| Total | 100.0 | 100.0 | 100.0 | 
| Calculated energy and nutrient content: | |||
| Metabolizable energy, kcal/kg | 3340 | ||
| Crude protein, % | 16.6 | ||
| Fat, % | 5.4 | ||
| Standardized ileal digestible lysine, % | 0.98 | ||
| Calcium, % | 0.91 | ||
| Av. phosphorus, % | 0.57 | ||
| Salt, % | 0.51 | ||
| Ingredient, % | Phase 3 (d 14 to d 28) | Phase 4 (d 28 to d 42) | 
|---|---|---|
| Corn | 53.9 | 64.24 | 
| Soybean meal 46.5% CP | 25.0 | 30.0 | 
| Distillers corn oil | 1.5 | 2.0 | 
| Whey permeate | 9.0 | -- | 
| Whey, powdered | 0.25 | -- | 
| Hamlet protein 300 | 3.82 | -- | 
| Menhaden fish meal | 3.25 | -- | 
| Dicalcium phosphate, 21% P | 0.82 | 0.944 | 
| Calcium carbonate | 0.52 | 0.86 | 
| White salt | 0.40 | 0.58 | 
| L-lysine HCl 98.5% | 0.50 | 0.494 | 
| Zinc oxide 72% | 0.35 | -- | 
| Vitamins, trace minerals, amino acids, other | 0.67 a | 0.884 b | 
| Total | 100.0 | 100.0 | 
| Calculated nutrient composition | ||
| Metabolizable energy, kcal/kg | 3358.0 | 3387.5 | 
| Crude protein, % | 20.63 | 19.05 | 
| Crude fat, % | 4.82 | 5.37 | 
| Calcium, % | 0.7 | 0.63 | 
| Av. phosphorus, % | 0.66 | 0.55 | 
| Standardized ileal digestible (SID) Lysine, % | 1.4 | 1.27 | 
| Observation | Control | Low | High | PSE 1 | 
|---|---|---|---|---|
| Number of observations | 30 | 31 | 31 | -- | 
| Average parity | 2.80 | 2.87 | 2.94 | 0.07 | 
| Gestation length, d | 116.7 | 116.5 | 116.5 | 0.07 | 
| Lactation length, d | 19.4 | 19.2 | 19.5 | 0.07 | 
| Total lactation feed consumption, kg | 139.8 | 140.0 | 144.1 | 0.32 | 
| Lactation ADFI, kg 2 | 7.26 | 7.35 | 7.42 | 0.07 | 
| Observation | Control 2 | Low 2 | High 2 | PSE 1 | 
|---|---|---|---|---|
| Body weight, kg: | ||||
| Day 85 of gestation | 253.7 | 260.0 | 254.8 | 0.35 | 
| Day before expected farrowing date | 263.2 | 268.6 | 264.0 | 0.34 | 
| Day before weaning | 240.7 | 246.1 | 243.6 | 0.33 | 
| Backfat depth, cm: | ||||
| Day 85 of gestation | 1.32 | 1.42 | 1.41 | 0.03 | 
| Day before expected farrowing date | 1.32 | 1.32 | 1.31 | 0.03 | 
| Day before weaning | 1.17 | 1.12 | 1.12 | 0.03 | 
| Caliper score 3: | ||||
| Day 85 of gestation | 16.1 | 16.4 | 15.8 | 0.07 | 
| Day before expected farrowing | 16.0 | 16.3 | 15.5 | 0.08 | 
| Day before weaning | 14.5 | 14.5 | 14.5 | 0.07 | 
| Observation | Control | Low | High | PSE 1 | 
|---|---|---|---|---|
| Total pigs born per litter | 15.2 | 17.2 | 15.7 | 0.11 | 
| Pigs born live per litter | 14.2 | 15.5 | 14.9 | 0.11 | 
| Stillborn pigs per litter | 1.0 | 1.7 | 0.9 | 0.08 | 
| Pigs weaned/litter | 12.7 | 12.3 | 12.1 | 0.09 | 
| Pre-weaning mortality, % 2 | 14 | 18 | 17 | 0.02 | 
| Observation | Control | Low | High | PSE 1 | 
|---|---|---|---|---|
| Number of observations (birth) | 459 | 533 | 487 | -- | 
| Number of observations (weaning) | 370 | 386 | 380 | -- | 
| Birth weight, kg | 1.43 | 1.37 | 1.36 | 0.002 | 
| Weaning weight, kg | 6.14 | 5.92 | 6.01 | 0.005 | 
| Total weight gain per pig, kg | 4.63 | 4.44 | 4.59 | 0.005 | 
| ADG, kg 2 | 0.24 | 0.23 | 0.24 | 0.005 | 
Disclaimer/Publisher’s Note: The statements, opinions and data contained in all publications are solely those of the individual author(s) and contributor(s) and not of MDPI and/or the editor(s). MDPI and/or the editor(s) disclaim responsibility for any injury to people or property resulting from any ideas, methods, instructions or products referred to in the content.  | 
© 2024 by the authors. Licensee MDPI, Basel, Switzerland. This article is an open access article distributed under the terms and conditions of the Creative Commons Attribution (CC BY) license (https://creativecommons.org/licenses/by/4.0/).
Share and Cite
Law, K.; Johnston, L.J.; Urriola, P.E.; Gomez, A. Maternal Programming of Nursery Pig Performance and Gut Microbiome through Live Yeast Supplementation. Animals 2024, 14, 910. https://doi.org/10.3390/ani14060910
Law K, Johnston LJ, Urriola PE, Gomez A. Maternal Programming of Nursery Pig Performance and Gut Microbiome through Live Yeast Supplementation. Animals. 2024; 14(6):910. https://doi.org/10.3390/ani14060910
Chicago/Turabian StyleLaw, Kayla, Lee J. Johnston, Pedro E. Urriola, and Andres Gomez. 2024. "Maternal Programming of Nursery Pig Performance and Gut Microbiome through Live Yeast Supplementation" Animals 14, no. 6: 910. https://doi.org/10.3390/ani14060910
APA StyleLaw, K., Johnston, L. J., Urriola, P. E., & Gomez, A. (2024). Maternal Programming of Nursery Pig Performance and Gut Microbiome through Live Yeast Supplementation. Animals, 14(6), 910. https://doi.org/10.3390/ani14060910
        
