Abstract
Simple Summary
In salmonid aquaculture, new prophylactic methods are needed to combat infectious diseases. Bacterial inclusion bodies are nanostructured particles of recombinant proteins formed during recombinant protein production processes. They are mainly composed of functional recombinant proteins, highly stable without the need for encapsulation, and can be produced through a cost-effective bacterial process. Different applications of these nanoparticles have been described, including their ability to enhance immune function. These characteristics make them very attractive for use in aquaculture. This study explored the production of three immune-related proteins as inclusion bodies and evaluated their ability to stimulate the immune response in the rainbow trout RTS11 cell line. In addition, we characterized the scaling-up of inclusion bodies production by comparing two different scale systems. We successfully produced three proteins as inclusion bodies that are able to activate the immune response in a cell line. Regarding the scaling-up of production, we observed that the inclusion bodies produced in a bioreactor were the smallest and had a greater ability to activate the immune response in the RTS11 cell line than in the same protein produced in a shaken flask. More studies are needed to characterize the immune response activated by these inclusion bodies and the optimal production conditions in bioreactors for generating inclusion bodies, such as media, fed-batch production, and mechanical bacterial lysis.
Abstract
Recent studies have demonstrated that immune-related recombinant proteins can enhance immune function, increasing host survival against infectious diseases in salmonids. This research evaluated inclusion bodies (IBs) of antimicrobial peptides (CAMPIB and HAMPIB) and a cytokine (IL1βIB and TNFαIB) as potential immunostimulants in farmed salmonids. For this purpose, we produced five IBs (including iRFPIB as a control), and we evaluated their ability to modulate immune marker gene expression of three IBs in the RTS11 cell line by RT–qPCR. Additionally, we characterized the scale-up of IBs production by comparing two different scale systems. The results showed that CAMPIB can increase the upregulation of tnfα, il1β, il8, and il10, HAMPIB significantly increases the upregulation of tnfα, inos, and il10, and IL1βIB significantly upregulated the expression of tnfα, il1β, and cox2. A comparison of IL1βIB production showed that the yield was greater in shake flasks than in bioreactors (39 ± 1.15 mg/L and 14.5 ± 4.08 mg/L), and larger nanoparticles were produced in shake flasks (540 ± 129 nm and 427 ± 134 nm, p < 0.0001, respectively). However, compared with its shake flask counterpart, the IL1βIB produced in a bioreactor has an increased immunomodulatory ability. Further studies are needed to understand the immune response pathways activated by IBs and the optimal production conditions in bioreactors, such as a defined medium, fed-batch production, and mechanical bacterial lysis, to increase yield.
1. Introduction
Global aquaculture production has grown steadily since 1950, registering 638,457 tons instead of 122.6 million tons in 2020 []. In particular, the export of Atlantic salmon and rainbow trout accounted for 18.4% of the value of all aquatic products exported in 2020, up from 5.1% in 1976 []. One of the main challenges in maintaining the sustainability of this industry is the control of infectious diseases, which are aggravated by overcrowding culture systems. Disease control and its negative impact on production are estimated to cause economic losses of more than USD 10 billion on a global scale per year []. Consequently, new and diverse alternatives to treat and control diseases, including vaccines (e.g., protein-based vaccines and autogenous vaccines), immunomodulators (e.g., chimeric proteins, phytogenic compounds, and hormones), and breeding programs, have been explored in recent years to meet this growing need in aquaculture [,,,,,,,]. Immunomodulators play a role in enhancing immune function and improving host performance against pathogens [,]. There are diverse categories of immunomodulators for fish, such as probiotics, phytogens, chemicals, hormones, metals, nutritional factors, yeast hydrolysate, and immune molecules []. They are promising alternatives for preventing and controlling infectious diseases because they can enhance the immune system, protect the host against a wide range of pathogens, can be added to food, and are alternatives to vaccines in fish [,].
Proteins from the host immune system, such as antimicrobial peptides, cytokines, chemokines, and hormones, have been explored as immunomodulators due to their efficacy in modulating immune pathways [,,]. Antimicrobial peptides (AMPs) play a role in host defense and are promising therapeutic agents []. AMPs are small, making them easily degradable, and because of their antimicrobial properties, they are toxic to producer bacteria, hindering the production of recombinant AMPs []. Previous works have explored the activity of AMPs, such as defensin-5, lingual antimicrobial peptides [], and multiple antimicrobial protein domains [] in the formation of inclusion bodies (IBs). Cathelicidins are a group of AMPs with antibacterial and immunomodulatory functions that have been implicated in wound healing and innate immune mechanisms in fish. In salmonids, two cathelicidins have been described [] with antibacterial activity against diverse Gram-positive and Gram-negative bacteria, such as Aeromonas salmonicida, Vibrio anguillarum, Yersinia ruckeri, Photobacterium damselae, and Lactococcus garvieae [,,]. Another AMP that has shown these properties is hepcidin, which also has antibacterial and immunomodulatory effects on salmonids [,,]. Other important host defense molecules are cytokines that regulate the immune response and can establish communication between different cell populations []. Interleukin one-beta (IL1β) and tumor necrosis factor-alpha (TNFα) are proinflammatory cytokines with overlapping roles as regulators of inflammation []. In fish, TNFα has been associated with regulating leukocyte homing, proliferation, and migration [], and IL1β has been shown to play a relevant role in inducing inflammation, which is an important aspect of tissue regeneration, and in the activation of lymphocytes and phagocytic cells []. In salmonids, hepcidin has shown antimicrobial activity against pathogens such as Piscirikettsia salmonis, A. salmonicida, Aeromonas hydrophila, and Pseudomonas aeruginosa [,]. Cytokines as IBs have been previously evaluated in fish, where TNFα was tested as an immunostimulant in rainbow trout and zebrafish (Danio rerio) [,], and in pigs, where IL1, IL6, IL8, and TNFα were tested as stimulators of the intestinal mucosa []. To the best of our knowledge, although AMP-based IBs have been described [], no work on teleost IBs of AMPs has been published. Hence, treatment with host-derived molecules to enhance immune function is an attractive alternative. However, AMPs and cytokines present considerable drawbacks, mainly related to their low stability and short half-life as soluble proteins [,]; however, encapsulation is necessary to avoid their degradation, thus increasing their cost.
BacterialIBs are protein aggregates [] formed during recombinant production processes in microbial expression systems such as bacteria []. They are nanoparticles with sizes ranging between 50 and 500 nm [] that exhibit greater stability than their soluble counterparts and have biological activity and functional proteins that are slowly released from them []. In recent years, the use of nanostructured proteins as IBs has emerged as an alternative to address the difficulties associated with soluble protein administration [,]. The production of IBs has been studied in shake flasks and also in bioreactors, although in this last case only with the aim of recovering soluble proteins []. Protein aggregation is improved by stress, such as high temperature, pH shifts, or high feeding rate [,,], and, consequently, these parameters tend to result in higher yields of IBs. The unregulated nature of shaken flasks, and lack of controlled pH or oxygen, often results in variation in the expression but not in the quality of the IBs [].
This study aimed to determine whether Atlantic salmon AMPs and rainbow trout cytokines can be produced as IBs that are able to activate the immune system. The scaling-up of IBs production was also characterized by comparing two different scale systems. The results of this work provide insight into host immune molecules as immunomodulators and the feasibility of scaling this technology.
2. Materials and Methods
2.1. Nanostructured Recombinant Protein Design
Five nanostructured recombinant proteins were produced as bacterial IBs: two antimicrobial peptides of Atlantic salmon (Salmo salar), cathelicidin (CAMP; Uniprot Q49TU5), and hepcidin (HAMP; Uniprot B5X878); two proinflammatory cytokines of rainbow trout (Oncorhynchus mykiss): IL1β (Unirprot Q9YGD3 []) and TNFα (Uniprot Q5BMN3 []); and near-infrared fluorescent proteins (iRFPs), which were used as nonimmune-relevant control proteins. Clones for CAMP, HAMP, and iRFP were designed using ORF and pET22b (Novagen, Sigma-Aldrich, San Luis, MO, USA) via a strategy in which the periplasmic location signal was removed and the C-terminal HisTag was included. Clones were codon optimized for expression in Escherichia coli, synthesized by GenScript (Hong Kong, China), and subcloned and inserted into pET22b. Recombinant plasmids were transformed into E. coli BL21(DE3) pLysS (Thermo Fisher Scientific, Waltham, MA, USA). The IL1β and TNFα coding sequences were cloned and inserted into pET28a (Novagen), which included a HisTag, and expressed in E. coli Rosetta-gami (DE3) (Novagen), as previously published [].
2.2. Production of Nanostructured Recombinant Proteins
The methods for producing and purifying the IBs were described previously []. Briefly, E. coli was cultured in Luria Bertani (LB) medium supplemented with ampicillin at 50 μg/mL (Winkler, Santiago, Chile). The growth and production kinetics were carried out in 2 L shake flasks with 500 mL of culture medium at 300 rpm and 37 °C in a Labtech LSI-3016R0 incubator (Labtech, Namyangju, Korea). Each condition was tested in biological triplicates. The inoculum used was obtained from a 250 mL shake flask with 50 mL of culture medium, which was inoculated from a cryovial stored at −80 °C and left to grow overnight. For the cultures with induction, an early induction strategy was defined using 1 mM IPTG (Merck, Darmstadt, Germany), a biomass of 0.5 OD600nm, and a period of recombinant protein production that was extended for 3 h post-induction. IBs were isolated through enzymatic and mechanical disruption of the cells as described previously []. Briefly, bacterial cultures were incubated with lysozyme at 1 μg/mL (Winkler), phenylmethanesulfonyl fluoride (PMSF, Roche Diagnostic, Mannheim, Germany) at 0.4 mM was added, and the mixture was incubated at 37 °C for 2 h and 250 rpm. The samples were sonicated for 3 min (10 s on, 10 s off at 30% amplitude; Ultrasonic processor GE505) and stored at −80 °C overnight. Then, the suspension was frozen at −80 °C, thawed, Triton X-100 (0.2% (v/v); Winkler) was added, and the mixture was incubated at room temperature for 1 h with gentle agitation. The suspension was centrifuged, and the pellet was resuspended in phosphate-buffered saline (PBS; HyClone, Cytiva, Boston, MA, USA) using the original culture volume. Next, the samples were incubated with DNAse at 0.6 μg/mL (Roche Diagnostic) at 37 °C for 1 h at 250 rpm. Finally, the IBs were subjected to a sterility test without antibiotics, and 100 µL of suspension was cultured on LB agar plates at 37 °C for 3 days if bacterial growth was observed several freeze/thaw cycles were carried out until no viable bacteria were detected. Then, the IBs were purified and stored at −80 °C until use. The proteins were quantified via Western blotting using an anti-His-tag antibody (Invitrogen, Thermo Fisher Scientific), and the protein concentration was calculated from a standard curve generated using recombinant proteins and the ChemiDoc Imaging Systems MP (Bio-Rad Laboratories, Hercules, CA, USA).
IBs were characterized at nearly native state by field emission scanning electron microscopy (FESEM) operating at 2 kV and equipped with a secondary electron detector. The samples were resuspended in distilled water at a concentration of 100 mg/mL. Drops of 4 µL of IBs samples were directly deposited on silicon wafers (Ted Pella Inc., Redding, CA, USA) for 30 s and immediately observed without coating with the FESEM Merlin (Zeiss, Oberkochen, Germany). FESEM images were analyzed using the software ImageJ 1.54f (National Institute of Health, Bethesda, MD, USA) size measures of 300 nanoparticles per sample were taken.
2.3. In Vitro Analysis of the Modulation of the Immune Response
The RTS11 monocyte/macrophage line of O. mykiss (kindly donated by Dr. Niels Bols, University of Waterloo, Waterloo, ON, Canada) was cultured at 18 °C in Leibovitz’s L-15 medium (Gibco, Thermo Fisher Scientific) supplemented with 15% fetal bovine serum (FBS; Gibco) in 24-well plates at a density of 100,000 cells per well.
Cultured RTS11 cells were stimulated with different IBs to evaluate the expression of genes related to the immune response through RT–qPCR. For this purpose, we performed a time course and dose–response analysis. First, the cells were stimulated with CAMPIB, HAMPIB, or IL1βIB at 5 µg/mL for 0 h (control), 4 h, 12 h, or 24 h. In a second experiment, the cells were incubated for 12 h with 10 µg/mL LPS (lipopolysaccharides from Escherichia coli O111:B4; Sigma-Aldrich) as a positive control, iRFPIB (10 µg/mL) as an IBs control, CAMPIB, HAMPIB, or IL1βIB at different concentrations (5, 10, and 20 µg/mL) or a control without stimulation. Due to the low concentration of TNFαIB used during production, we ruled out the use of this protein. Each treatment was performed in triplicate. Total RNA was recovered using TRIzol® (Invitrogen) following the manufacturer’s instructions. The RNA was quantified using a NanoDropTM device (Thermo Fisher Scientific, Waltham, MA, USA), and the integrity of the RNA was analyzed by visualizing the 28S and 18S rRNA bands resolved in 1.5% agarose gels stained with SBYR-safe DNA gel stain (Invitrogen). cDNA synthesis was performed using a RevertAid kit (Thermo Fisher Scientific) according to the manufacturer’s instructions. In addition, RT–qPCR was performed with SYBR Green (KAPA SYBR® FAST, Merck) using an AriaMX real-time PCR thermocycler (Agilent, Santa Clara, CA, USA). The expression of several genes related to the immune innate profile was analyzed according to the nature of the proteins, i.e., an AMP or cytokine: interleukin one-beta (il1β), tumor necrosis factor-alpha (tnfα), interleukin eight (il8), interleukin ten (il10), interleukin 6 (il6), inducible nitric oxide synthase (inos), and cyclooxygenase 2 (cox2) (Table S1). Elongation factor 1 alpha (ef1α) and beta-actin (β-actin) were used as reference genes (Table S1), and quantification was performed according to the Livak method []. All samples were run in triplicate.
2.4. Scale-Up in a Bioreactor
To characterize the scale-up of IBs production, we compared the culture results between the shake flask and stirred tank bioreactor. The E. coli clones of IL1β were cultured in a New Brunswick Bioflo 115 bioreactor (Eppendorf, Hamburg, Germany) with a working volume of 1.5 L at 500 rpm, 1 vvm, and 37 °C. The non-induced cultures were cultured without pH control, and the pH change was monitored online using a Meter Toledo sensor (Meter Toledo, Columbus, OH, USA). The bioreactor cultures adhered to a similar methodology employed in the shake flask, except for pH regulation, which was set at a value of 7.0. Induction was executed at density of 0.5 OD600nm, and the duration of recombinant protein production was extended by an additional 3 h post-induction. A second production series was conducted in triplicate within the bioreactor, wherein induction was carried out at a cellular density of 1.0 OD600nm. The downstream process was carried out by moving 500 mL of cultivation broth to a shake flask in an incubator to undergo the same IBs purification procedure as that described previously. Finally, the treated culture broth was stored at −80 °C for storage and subsequent treatment and analysis of proteins in IBs. Purification and quantification were performed as described previously (Section 2.2).
2.5. Gene Expression Analysis
We compared the expression of immune-related genes induced in RTS11 by IL1βIB produced in a shake flask or bioreactor by RT–qPCR. The cells were incubated for 12 h with 10 µg/mL LPS as a positive control, iRFPIB (10 µg/mL) as an IBs control, or IL1βIB produced in a shake flask or bioreactor at 10 µg/mL or a control without stimulation. Each treatment was analyzed in quintuplicate. As mentioned, total RNA, cDNA, and RT–qPCR were performed, and the details are described in Section 2.3.
2.6. Statistical Analysis
A non-parametric Mann–Whitney test was performed to analyze IBs size between treatments. For gene expression analysis, Kruskal–Wallis tests and Dunn post hoc tests were used to determine the fold change in expression. The gene expression data are expressed as the mean ± standard deviation (SD). For analysis of the growth parameters between the two scale productions, two key tests with the Holm–Šídák method were used. Significant differences are indicated when * p < 0.05 and ** p < 0.01. All the statistical analyses were performed, and graphs were generated using R software (version 4.1.2) and GraphPad Prism (version 10.1.0; GraphPad Software, Inc., San Diego, CA, USA). Regarding R software, we used the following packages: readxl (version 1.4.1), readr (version 2.1.3), ggplot2 (version 3.4.0), survminer (version 0.4.9), dplyr (version 1.0.10), tidyr (version 1.2.1), psych (2.2.9), lmtest (version 0.9-40), knitr (1.41), car (version 3.1-1), stats (version 4.1.2), multcompView (version 0.1-8), grid (version 4.1.2), gridExtra (version 2.3), cowplot (version 1.1.1), performanceAnalytics (version 2.0.4), onewaytests (version 2.6), lme4 (version 1.1-31), ggpubr (version 0.5.0), rstatix (version 0.7.1), pander (version 0.6.5), tidyverse (version 1.3.2), mdthemes (version 0.1.0) and openxlsx (version 4.2.5.1).
3. Results
3.1. Production of Inclusion Bodies
We successfully produced all the immune-related proteins from the salmonids in E. coli as IBs (Figure S1) in the following yields after purification: CAMPIB, 36.5 mg/L; HAMPIB, 28.5 mg/L; IL1βIB, 39 mg/L; and TNFαIB, 2 mg/L. Due to the low concentration of TNFαIB used during production, we ruled out the use of this protein. The production efficiency of the iRFPIB used in this study as a control has already been published [].
3.2. In Vitro Analysis of the Modulation of the Immune Response by IBs
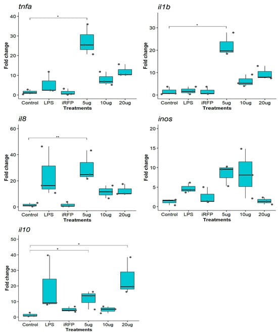
The short-term effects of CAMPIB, HAMPIB, and IL1βIB on the modulation of immune markers were evaluated in the RTS11 cell line. First, the cells were stimulated with CAMPIB, HAMPIB, or IL1βIB at 5 µg/mL for 0 h (control), 4 h, 12 h, or 24 h. The results showed that CAMPIB and HAMPIB significantly upregulated tnfα gene expression at 12 h (p < 0.05) (Figures S2 and S3). For genes such as il1β, the inos and il10 data showed similar gene expression upregulation but no significant differences (Figures S2 and S3). For IL1βIB, we observed slight upregulation of tnfα at 4 and 24 h post-stimulation, and of il1b, inos, and il10 at 4 h post-stimulation, although these differences were not significant compared with those of the control (Figure S3). Based on these results, we decided to explore the dose–response at 5, 10, or 20 µg/mL for 12 h. We used 10 µg/mL LPS as a positive control for immune response stimulation and 10 µg/mL iRFPIB as a nonimmune-relevant control protein. The expression of innate immune response markers was analyzed via RTq–PCR (Figure 1). CAMPIB upregulated the expression of all the genes analyzed. The results showed that, compared with the control, the smallest dose of CAMPIB (5 µg/mL) significantly increased the expression of the proinflammatory cytokine tnfα (27.30 ± 7.82-fold change, p < 0.05). The 10 and 20 µg/mL doses did not follow a dose–response pattern; at the 10 µg/mL concentration, the expression decreased, and at 20 µg/mL, the expression of tnfα slightly increased. Interestingly, LPS and iRFPIB treatments stimulated similar tnfα gene expression to that of the control. For il1β, we observed a similar pattern; the lowest dose of 5 µg/mL significantly upregulated il1β expression (21.97 ± 5.13-fold change, p < 0.05), and LPS and iRFPIB treatments stimulated similar gene expression to that of the control (Figure 1). The expression of il8 was significantly upregulated at 5 µg/mL (29.87 ± 11.66-fold change, p < 0.01), which was different from the findings for the other genes; moreover, LPS treatment significantly increased il8 expression. Like the control, iRFPIB stimulated il8 gene expression. We did not observe significant differences in inos expression, although the lowest dose of CAMPIB induced the highest expression (8.36 ± 2.70-fold change). We also assessed the expression of il10, an anti-inflammatory cytokine. The results showed that, compared with the control, the smallest and highest doses of CAMPIB (5 and 20 µg/mL) significantly increased the expression of the genes (16.67 ± 2.89-fold change and 24.34 ± 10.85-fold change; respectively; p < 0.05), although the different doses evaluated did not follow a dose-dependent response.

Figure 1.
Gene expression analysis of the RTS11 cell line stimulated with CAMPIB. The cells were incubated for 12 h as follows: unstimulated control cells (control); LPS (10 µg/mL) as a positive control; iRFPIB (10 µg/mL) as an immunogenically irrelevant IBs control; and CAMPIB at three different concentrations (5, 10, and 20 µg/mL). The data are presented as the means ± SDs (n = 3), and the dots represent each of the data. Gene expression was determined by RT–qPCR, and the relative expression is represented as the fold change. Differences between the treatment means and controls were analyzed by the Kruskal–Wallis and Dunn tests. Significance levels: * p < 0.05; ** p < 0.01.
For HAMPIB, we analyzed the same genes as for CAMPIB. Like what was observed for CAMPIB, the lowest dose of HAMPIB produced the greatest upregulation of the expression of almost all the genes (Figure 2). For tnfα, we observed that only 5 µg/mL HAMPIB significantly increased the expression of this proinflammatory cytokine (27.30 ± 7.82-fold change, p < 0.05). As for CAMPIB, the different doses analyzed did not follow a dose–response pattern, and iRFPIB stimulated an expression pattern similar to that of the control (Figure 2). The data did not show significant upregulation of il1β expression after any treatment; however, we observed a substantial increase in the expression of il1β at 20 µg/mL (Figure 2). The results showed an upregulation of il8 at the different doses; a greater increase was observed with 5 µg/mL (24.49 ± 14.58-fold change), although the difference was not significant. In the case of inos, we observed significant upregulation at 20 µg/mL (31.00 ± 12.67-fold change, p < 0.05) and a strong increase at 5 µg/mL, although these differences were not significant (Figure 2). At the immune regulatory level, il10 expression increased significantly at 5 µg/mL (18.86 ± 11.66 fold change, p < 0.05); however, the different doses evaluated did not show a dose–response pattern. For CAMPIB and HAMPIB, upregulation of the immune response of the genes evaluated was superior to that produced by iRFPIB, indicating that the stimulation is produced by the recombinant protein forming the IBs.

Figure 2.
Gene expression analysis of the RTS11 cell line stimulated with HAMPIB. The cells were incubated for 12 h as follows: unstimulated control cells (control); LPS (10 µg/mL) as a positive control; iRFPIB (10 µg/mL) as an immunogenically irrelevant IBs control; and HAMPIB at three different concentrations (5, 10, and 20 µg/mL). The data are presented as the means ± SDs (n = 3), and the dots represent each of the data. Gene expression was determined by RT–qPCR, and the relative expression is represented as the fold change. Differences between the treatment means and controls were analyzed by the Kruskal–Wallis and Dunn tests. Significance levels: * p < 0.05.
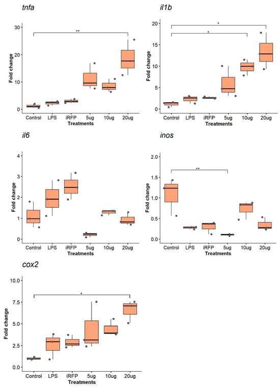
As for the proinflammatory cytokine IL1βIB, we analyzed the gene expression of a similar group of genes that responded to the characteristics of the protein to be evaluated (Figure 3). For tnfα, we observed that only 20 µg/mL IL1βIB significantly increased the expression of this proinflammatory cytokine (18.56 ± 6.56-fold change, p < 0.01). Results showed a significant upregulation of il1β expression after treatment with IL1βIB at 10 and 20 µg/mL (4.10 ± 1.32-fold change, and 4.87 ± 0.76-fold change, p < 0.05). The data did not show significant upregulation of il6 expression after any treatment; in fact, il6 expression was lower than in LPS and iRFPIB treatments (Figure 3). For inos, we observed a significant downregulation at 5 µg/mL IL1βIB (0.11 ± 0.02-fold change, p < 0.01). Finally, we analyzed cox2 expression, where data showed a significant upregulation at 20 µg/mL (6.51 ± 1.31-fold change, p < 0.05).

Figure 3.
Gene expression analysis of the RTS11 cell line stimulated with IL1βIB. The cells were incubated for 12 h as follows: unstimulated control cells (control); LPS (10 µg/mL) as a positive control; iRFPIB (10 µg/mL) as an immunogenically irrelevant IBs control; and IL1βIB at three different concentrations (5, 10, and 20 µg/mL). The data are presented as the means ± SDs (n = 3), and the dots represent each of the data. Gene expression was determined by RT–qPCR, and the relative expression is represented as the fold change. Differences between the treatment means and controls were analyzed by the Kruskal–Wallis and Dunn tests. Significance levels: * p < 0.05; ** p < 0.01.
3.3. Scale-Up in a Bioreactor
3.3.1. Analysis of the Growth Parameters in Shake Flasks and Bioreactors
To evaluate the scale-up in the bioreactor, we used the IL1β clone because previous studies have obtained this cytokine as an IBs and demonstrated its ability to induce an immune response in pigs []. Our first goal was to evaluate the kinetic profile of non-induced and induced E. coli Rosetta-gami (DE3) in cultures grown on two different production scales: 2 L shake flasks with 500 mL of medium (Figure 4A) and a 2 L bioreactor with 1.5 L of medium (Figure 4B). Previously, the inoculum size was set to a concentration of 50 mg/L (Figure S5), and induction with IPTG was performed once a concentration of 0.22 g/L (0.5 OD600nm) was reached.

Figure 4.
Growth profiles of E. coli Rosetta-gami (DE3) non-induced and induced by IPTG. (A) Shake flasks were shaken (500 mL) at 300 rpm and 37 °C. (B) Stirred tank bioreactors (1.5 L) at 500 rpm, 37 °C, 1 vvm, and pH controlled at 7.0, with induction at 0.5 U.A, 1.0 U.A, and not induced. The error bars represent the standard deviation, and the vertical lines represent the induction times.
The growth profiles of the non-induced cultures in shake flasks and in the bioreactor were similar, which ruled out an effect of the production scale on the kinetic profiles of the obtained E. coli Rosetta-gami (DE3) strains (Table 1). Similar biomass concentrations were detected in the shake flasks and bioreactors (1.78 ± 0.16 and 1.59 ± 0.22 g/L, respectively); however, in the bioreactor, there was a slight increase of 13% in the specific growth rate (0.63 ± 0.03 and 0.72 ± 0.02 h−1, respectively; p < 0.05). In the induced cultures, a drastic decrease in cell growth was observed, reaching a maximum biomass concentration of only 30% of that obtained without induction (0.50 ± 0.04 v/s 1.78 ± 0.16 g/L, p = 0.0001, and 0.48 ± 0.01 v/s 1.59 ± 0.22 g/L, p < 0.001; Table 1). No significant differences were observed between the maximum biomass concentration achieved with induction in shake flasks and bioreactors.

Table 1.
Growth profile of the IL1βIB culture in shake flasks and bioreactors.
3.3.2. IL1IB Production in Shake Flasks and Bioreactors
To evaluate the production of the recombinant protein, the concentration of IL1βIB as an IBs was analyzed after 3 h of induction (conditions optimized in a previous study []) for the two production scales used. In this sense, a 63% decrease in the production of IL1βIB in the bioreactor was observed with respect to the strategy developed in shake flasks (39 ± 1.15 and 14.5 ± 4.08 mg/L, p < 0.001; Table 1). In terms of net production, the larger volume of culture carried out in the bioreactors allows a similar total mass to be generated in the shake flasks with respect to that in the bioreactor (19.5 ± 0.58 and 21.75 ± 6.12 mg/batch, respectively).
3.3.3. Characterization of IL1βIB by FESEM and Immunostimulation of RTS11 Cell Line
To characterize the IBs obtained in the two production systems, we visualized them through field emission scanning electron microscopy (FESEM). IBs obtained in shake flasks and bioreactors maintained similar morphologies with round shapes and irregular surfaces. However, the data showed a significant difference in the sizes of the IBs produced with these methods; in the shake flasks, the IBs were 540 ± 129 nm in size, while in the bioreactor, they were 427 ± 134 nm in size (p < 0.0001; Figure 5).

Figure 5.
Characterization of the IL1βIB protein. Field emission scanning electron microscopy (FESEM) images of IL1βIB produced in shake flasks and bioreactors (i,ii). Size distribution histograms (n = 300; (iii)) of the IL1βIB proteins.
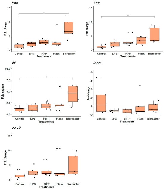
We investigated whether IL1βIB produced in shake flasks or bioreactors could differentially affect the triggering of an immune response in the RTS11 cell line. We incubated IL1βIB produced in shake flasks (F-IL1βIB) or in a bioreactor (B-IL1βIB) at 10 µg/mL for 12 h and analyzed the immune response by RT–qPCR. The results showed that, in general, B-IL1βIB strongly upregulated immune genes compared with F-IL1βIB (Figure 6). We observed that, compared with the control, B-IL1βIB significantly upregulated the expression of tnfα (7.57 ± 1.92 and 1.98 ± 0.01-fold change, respectively; p < 0.01). Similarly, for il1β, B-IL1βIB significantly upregulated its expression compared to that in the control group (4.62 ± 0.01 and 1.48 ± 0.44-fold change, respectively; p < 0.01). F-IL1βIB upregulated il1β expression but not significantly. For il6, a difference in stimulation between IBs produced in the shake flask and in the bioreactor was also observed, where B-IL1βIB was significantly upregulated compared to that in the control (7.05 ± 1.62 and 1.12 ± 0.01-fold change, respectively; p < 0.05). In the case of inos and cox2, we observed a tendency toward increased upregulation of these genes between B-IL1βIB and F-IL1βIB; however, statistical analysis revealed no significant differences (Figure 6). For instance, cox2 expression in B-IL1βIB had a 4.92 ± 1.35-fold change, F-IL1βIB had a 3.63 ± 0.97-fold change, inos expression in B-IL1βIB had a 0.83 ± 0.02-fold change, and F- IL1βIB had a 1.05 ± 0.02-fold change (Figure 6).

Figure 6.
Gene expression analysis of the RTS11 cell line stimulated with IL1βIB. The cells were incubated for 12 h as follows: unstimulated control cells (control); LPS (10 µg/mL) as a positive control; iRFPIB (10 µg/mL) as an immunogenically irrelevant IBs control; and Il1βIB (10 µg/mL) produced in a shake flask and bioreactor. The data are presented as the means ± SDs (n = 5) and the dots represent each of the data. Gene expression was determined by RT–qPCR, and the relative expression is represented as the fold change. Differences between the mean values of the treatment groups and the control group were analyzed by the Kruskal–Wallis and Dunn tests. Significance levels: * p < 0.05; ** p < 0.01.
3.3.4. Strategy for IL1βIB Production in a Bioreactor with Late Induction
Since the IBs produced under the controlled conditions of a bioreactor show promising results but low concentrations are reached, we proceeded to perform a second induction strategy considering induction at half of the exponential phase (0.44 g/L or 1.0 U/A) and keeping the other operational conditions constant (temperature, agitation, inductor concentration, induction time, etc.). The results showed that this production strategy allowed us to recover the growth profile without induction, during which the biomass concentration reached 1.51 ± 0.18 g/L and the specific growth rate was 0.73 ± 0.04 h−1 (Figure 7, Table 1). In addition, the production of recombinant protein in IBs increased to a concentration of 71.8 ± 5.2 mg/L, which implies an increase of four times the production achieved with early induction in a bioreactor and of 85% with respect to that achieved in shake flasks.

Figure 7.
Comparison of the kinetic profile of IL1βIB for the production of E. coli Rosetta-gami (DE3) in a bioreactor with 1.5 L of LB medium at 500 rpm, 37 °C, and pH 7.0. In blue fermentation without induction, orange fermentation was performed with early induction, and in pink fermentation, late induction. The error bars represent the standard deviation of the sample, while the dotted lines represent the time at which the induction was performed for each respective case.
An interesting aspect is the specific productivity achieved. In this regard, slightly different specific productivities were observed in the bioreactor depending on the time of induction (10.1 ± 2.8 mgIB/gcel·h for early induction and 15.1 ± 1.1 mgIBgcel·h for late induction), while in shake flasks, values of 26.0 ± 0.77 mgIB/gcel·h were reached. This indicates that the increase in the production of IBs caused by late induction is a reflection of the greater number of producing cells present; thus, their characteristics should be maintained since the environmental conditions are equivalent to those of early induction.
4. Discussion
The rapid growth of aquaculture must be accompanied by measures to reduce the negative impact of infectious diseases. In this regard, new prophylactic methods need to be developed. Thus, IBs are emerging as potential alternatives with attractive characteristics, such as high stability, a slower release profile, and no need for encapsulation.
We observed that the two teleost IBs produced (CAMPIB and HAMPIB) could modulate the immune response of the RTS11 cell line. In particular, CAMPIB upregulated the expression of proinflammatory cytokines (tnfα and il1β), and chemokines (il8) at 5 µg/mL and of anti-inflammatory cytokines (il10) at 5 and 20 µg/mL. This could mean that il10 modulates the inflammatory response because an exacerbated inflammatory state could cause detrimental effects on fish. This modulation was also observed because, at low il10 gene expression, proinflammatory genes were still significantly upregulated at 5 µg/mL. Then, at a dose of 20 µg/mL, il10 gene expression increased, and the expression of proinflammatory cytokines decreased. In mammals, cathelicidins play a role as mediators of immune activation and control of inflammation []. Cathelicidin promotes chemotaxis through IL8 in immune cells [] and upregulates the gene expression of tnfα in the RAW264.1 cell line []. Additionally, it has been shown to induce the upregulation of il8 and il1β gene expression in peripheral blood lymphocyte (PBL) cells, the upregulation of il1β gene expression in the RTgutGC cell line, and the induction of interferon-gamma (ifnγ) in head kidney leukocytes (HKLs) cells [,,,].
HAMPIB significantly increased the expression of tnfα, inos, and il10, and we observed a clear tendency toward increased upregulation of il1β and il8 gene expression at 5 µg/mL. Gene expression analysis did not show a dose-dependent response; in fact, for the gene expression of some genes, HAMPIB exhibited maximum upregulation at the lowest dose. This could indicate a hypersusceptibility reaction and a possible difference in function from that observed in CAMPIB. According to the literature, hepcidin may act as an immunomodulatory peptide in the absence of a pathogen, modulating a potentially harmful proinflammatory response []. In vitro, hepcidin has been shown to have modulatory effects on the RTS11 cell line by upregulating the gene expression of tnfα, il1β, and il10 []; moreover, in primary cell culture of the fin tissue of Caspian trout, hepcidin increased the upregulation of tnfα and il6 gene expression []. On the other hand, in vivo, hepcidin upregulated the gene expression of proinflammatory cytokines, such as tnfα and il1β, and of an anti-inflammatory cytokine, such as il10, in the intestine, spleen, and head kidney of European sea bass []. Our results revealed that the increase in il1β induced by hepcidin, which has been described to increase the amount of circulating hepcidin [], could potentiate the effects of IBs. However, for CAMPIB the il10 gene was upregulated only at the lowest dose, suggesting that other anti-inflammatory genes could regulate the pro-inflammatory process in HAMPIB.
Among the cytokines tested, IL1βIB significantly upregulated the gene expression of tnfα, il1β, and cox2 in the RTS11 cell line at 20 µg/mL, and the trend toward a dose-dependent response demonstrated a different response profile than that of the IBs of AMPs. In the case of inos and il6, a regulatory process could exist that inhibits their expression at the tested doses; however, at higher bioactivity of the IBs, as obtained in the bioreactor, we observed a significant increase in il6 gene expression. The pro-inflammatory effects of IL1β observed in this study are in agreement with those previously described. IL1-type cytokines have a main function in controlling pro-inflammatory reactions []. IL1β is a primary cytokine released from cells during the immune response and can promote the production of cytokines such as tnfα [], il8 [], il18 [], and more of itself []. For instance, in vitro, trout recombinant IL1β promoted inflammation and leukocyte migration by regulating chemokines such as CXC motif chemokine ligand 8 (CXCL-8) []. Furthermore, recombinant trout IL1β induces further changes in macrophages in vitro [].
The possibility of modulating the immune system to enhance the response against pathogens seems very attractive, as it would reduce the negative impact of diseases and reduce the use of chemical compounds as treatments. The production of recombinant immune-related proteins, such as IBs, has been explored in animal models; for example, cytokines (IL1β, TNFα, IL6, IL8, and CCL4) in fish and pigs [,,], and metalloproteinase-9 (MMP9) in cows [,]. Our results prompted us to explore antimicrobial peptides and cytokine IBs as possible immunomodulators in salmonids. CAMPIB, HAMPIB, and IL1βIB produced pro-inflammatory and anti-inflammatory responses at 12 h. Gene expression analysis demonstrated that IBs have biological activity and are more efficient than LPS in stimulating the proinflammatory response in the RTS11 cell line. Our results suggest possible regulatory feedback effects between proinflammatory and anti-inflammatory cytokines. However, additional studies are necessary to determine the timing of each type of response and the best dose of inclusion bodies that produce a favorable proinflammatory response for fish defense and a good anti-inflammatory response with a larger sample size to corroborate our findings due to the variability of the present data.
On the other hand, the productivity yield of the IBs was similar to that previously described for similar proteins, obtaining yields between 2 mg/L and 39 mg/L of IBs in a shake flask. Similar studies reported yields between 2 and 20 mg/L for immune-related IBs, such as TNFα and CCL4 []. Even though we obtained IBs from rainbow trout TNFαIB (2 mg/L), which is a low concentration compared to other IBs, we decided not to work with this protein. However, a previous study designed and produced TNFαIB at a higher concentration (18 mg/L), which could be related to the expression plasmid and bacterial strain used (pQE-30 and E. coli M15 (pREP4), respectively), and the TNFα protein design, which in this case excluded the transmembrane domain [,].
With respect to the production of IBs, as described by several authors, the concentration and quality of these IBs are affected and can be controlled by various environmental and process factors [,], such as temperature, pH, agitation speed, dissolved oxygen concentration, and induction time among others [,,,]. This is reflected in the differences observed between our results in shake flasks and bioreactors. In our case, the temperature condition was not modified throughout the fermentation or between the different scales of the process; thus, contrary to cases in which the induction of recombinant protein production was performed by a change in temperature [,], this was not a factor to be considered. Even so, considering that it is desirable to obtain IBs with biological activity, we proceeded to perform the cultures at a temperature of 37 °C, which, according to various authors, is considered a thermal stress condition that favors the production of these IBs [].
Our results reflect variations depending on the scale of the process (shake flasks and bioreactor). We observed a decrease in the concentration and specific productivity of the IBs obtained at a larger scale (bioreactor), which is not an expected result considering that the induction was performed at the same biomass concentration. The decrease in the concentration of IBs obtained may be because the controlled operating conditions of the bioreactor release the cells from certain stress conditions and because the cellular machinery is more amenable to correct folding of the heterologous protein during formation, increasing the production of the soluble fraction of the protein of interest. This differs in part from that reported by Restrepo-Pineda and collaborators [], who obtained a higher concentration of IBs in bioreactors, although the specific productivity also decreased. These differences are partly associated with the production strategies used, while we used a standard complex medium (LB), they used a defined medium with glucose as the carbon source (17 g/L), which translates into potential cultures of low and high cell density. In the latter, oxygen transfer becomes a critical process parameter limiting the cell growth capacity and productivity of the process [,,,].
In this way, the transfer to a bioreactor allows a more efficient supply of oxygen and alleviates the limitations presented in shake flasks by generating more IB-producing biomass. In our case, the LB medium and early induction limited biomass generation; therefore, the transfer of available oxygen was not a critical process parameter under these conditions. On the other hand, in both cases, a decrease in the specific productivity of IBs was observed at the bioreactor scale, which can be attributed, as mentioned above, to the fact that the controlled environmental conditions allowed by the bioreactor favor the production of soluble protein.
On the other hand, the pH conditions between the shake flasks (without control) and the bioreactor (controlled at 7.0) had effects similar to those observed in the literature [,,,]. Without pH control in shake flasks, a greater concentration of IBs was generated, and a greater hydraulic diameter was observed (Figure 5); moreover, the controlled pH conditions in the reactors generated fewer IBs, which were smaller but had greater and longer immunogenic activity in the RTS11 cell line (Figure 6). This finding is in agreement with the results of Castellanos-Mendoza and collaborators, in which the IBs that formed at free pH reached sizes greater than 500 nm, while at controlled pH, the sizes were less than 500 nm. Moreover, these authors demonstrated that at controlled pH, IBs presented greater resistance to denaturing agents, similar to what was reported by Calcines-Cruz and collaborators []. This could explain why our IBs obtained in the bioreactor presented longer immunogenic activity than the other IBs in the RTS11 cell line. Considering that to increase the production of IL1β in IBs different strategies can be addressed such as the addition of more substrate, or different modes of operation such as batch-fed, the confirmation of these findings allows us to lay a good foundation for the production for therapeutic purposes of our IBs.
The application of late induction (in the middle of the exponential phase) in the bioreactor allowed a 4-fold increase in the concentration of the protein obtained (71.8 mg/L) and a slight increase in the specific productivity. These results are promising, given that, as reported by Upadhyay and collaborators [], this parameter strongly correlates with the quality and characteristics of IBs; therefore, we can infer that it was possible to increase the concentration of IBs without affecting their immunogenic activity. Moreover, these findings are consistent with several reports in which the concentration and characteristics of IBs are controlled by the rate of consumption of carbon sources, maintaining a constant specific production [,].
Several aspects warrant further investigation, including the modification of the chemical induction method by IPTG, such as exploring temperature induction. Additionally, there is a need for the design and optimization of a defined medium specifically tailored for the production of IBs. Investigating strategies like fed-batch production in high-density bacterial culture could offer valuable insights. Optimization of bacterial lysis through mechanical methods is another aspect that could be explored. Defining an extraction and purification strategy compatible with a pilot-scale process is essential to reduce production costs and streamline the scaling-up process.
5. Conclusions
In summary, this study successfully demonstrated the production of functional antimicrobial peptides and a cytokine in the form of IBs from salmonids and rainbow trout using E. coli as the expression host. The proteins, CAMPIB, HAMPIB, and IL1βIB, exhibited promising yields after purification, and in vitro analysis revealed that they effectively modulated the immune response in the RTS11 cell line. The present study examined the short-term effects on the expression of various immune markers and demonstrated that CAMPIB, HAMPIB, and IL1βIB could upregulate proinflammatory and anti-inflammatory cytokines, suggesting regulatory feedback between them and indicating their potential as immunomodulators.
Scaling up the production to bioreactors was explored, focusing on IL1βIB. The growth parameters in shake flasks and bioreactors were analyzed, and the production of IL1βIB in bioreactors exhibited a 63% decrease compared to shake flasks, suggesting the impact of controlled environmental conditions on IBs production. Late induction in bioreactors was implemented, resulting in a 4-fold increase in IL1βIB concentration compared to early induction. This strategy also maintained specific productivity, indicating a potential avenue for enhancing IBs production without compromising quality. The study provides valuable insights into the production, characterization, and modulation of immune responses by host immune molecule IBs. Future research directions may include optimizing production conditions, exploring alternative induction strategies, and assessing the applicability of these IBs as immunomodulators in aquaculture for disease prevention. The findings contribute to the growing field of recombinant protein production for therapeutic and biotechnological applications, particularly in the context of sustainable aquaculture.
Supplementary Materials
The following supporting information can be downloaded at: https://www.mdpi.com/article/10.3390/ani14060844/s1, Table S1. Primers used for RTq-PCR. Figure S1: IBs detection by Western blotting using an anti-His-tag antibody. Figure S2. Gene expression analysis of the RTS11 cell line stimulated with CAMPIB. Figure S3. Gene expression analysis of the RTS11 cell line stimulated with HAMPIB. Figure S4. Gene expression analysis of the RTS11 cell line stimulated with IL1βIB. Figure S5: Effect of inoculum size on the growth of E. coli Rosetta-gami (DE3) in flasks shaken at 300 rpm and 37 °C with free pH; Figure S6. IBs detection by Western blotting using an anti-His-tag antibody. CAMPIB, HAMPIB, IL1βIB, and TNFαIB were detected through ChemiDoc Imaging Systems—uncropped blots.
Author Contributions
Conceptualization, D.T.; methodology, D.T., D.L., P.V.-A., P.Z., N.S.-P., E.G.-F. and A.A.; software, D.T.; validation, D.L., P.V.-A., P.Z. and N.S.-P.; formal analysis, D.T., D.L. and P.V.-A.; investigation, D.T., D.L., P.V.-A. and P.Z.; resources, D.T., L.M., C.A. and J.G.-M.; data curation, D.T.; writing—original draft preparation, D.T.; writing—review and editing, D.L., P.V.-A., P.Z., N.S.-P., E.G.-F., A.A., C.A., L.M., J.G.-M. and D.T.; visualization, D.T., D.L., P.V.-A., P.Z., N.S.-P., E.G.-F. and A.A.; supervision, D.T., J.G.-M. and L.M.; project administration, D.T.; funding acquisition, D.T. All authors have read and agreed to the published version of the manuscript.
Funding
This research was funded by ANID, FONDECYT POSTDOCTORADO No. 3210502 granted by D.T. D.L. was supported by ANID Doctoral Scholarship No. 21232344. P.Z. was supported by Consejo Nacional de Ciencia y Tecnología (CONACYT) Doctoral Scholarship C.V. 749447. P.V.-A. was supported by ANID Doctoral Scholarship No. 21220464 and Tesis de Doctorado en el sector productivo ANID No. TDP220008. N.S.-P. was supported by Pontificia Universidad Católica de Valparaíso as a postdoctoral fellowship (Proyecto VINCI-PUCV Postdoctorado).
Institutional Review Board Statement
The study was approved by the bioethics committee of Pontificia Universidad Católica de Valparaíso BIOEPUCV-B 395-2021 and Universidad de O’Higgins CICUA 002-2024.
Informed Consent Statement
Not applicable.
Data Availability Statement
The raw data supporting the conclusions of this article will be made available by the authors, without undue reservation, to any qualified researcher.
Acknowledgments
The authors would like to thank Kathleen Tapia of the Laboratorio de Genética y Genómica Aplicada of the Pontificia Universidad Católica de Valparaiso, for the development of the recombinant protein quantification, and Constanza Collarte of the Escuela de Ingeniería Bioquímica of the Pontificia Universidad Católica de Valparaíso, for provide assistance in the development of bioreactor cultures.
Conflicts of Interest
The authors declare no conflicts of interest.
References
- FAO. Statistical Collections—Global Production. Available online: https://www.fao.org/fishery/en/fishstat/collections (accessed on 12 December 2023).
- FAO. The State of World Fisheries and Aquaculture, Towards Blue Transformation; FAO: Rome, Italy, 2022. [Google Scholar] [CrossRef]
- Evensen, Ø. Development of Fish Vaccines: Focusing on Methods. Fish Vaccines; Springer: Basel, Switzerland, 2016; Volume 53–74. [Google Scholar]
- Elumalai, P.; Soltani, M.; Lakshmi, S. Immunomodulators in Aquaculture and Fish Health, 1st ed.; Elumalai, P., Soltani, M., Lakshmi, S., Eds.; Taylor & Francis Group, LLC: Miami, FL, USA, 2024. [Google Scholar]
- Sarkar, B.; Mahanty, A.; Gupta, S.K.; Choudhury, A.R.; Daware, A.; Bhattacharjee, S. Nanotechnology: A next-generation tool for sustainable aquaculture. Aquaculture 2022, 546, 737330. [Google Scholar] [CrossRef]
- D’Agaro, E.; Favaro, A.; Matiussi, S.; Gibertoni, P.P.; Esposito, S. Genomic selection in salmonids: New discoveries and future perspectives. Aquac. Int. 2021, 29, 2259–2289. [Google Scholar] [CrossRef]
- Sumon, M.A.A.; Sumon, T.A.; Hussain, M.A.; Lee, S.J.; Jang, W.J.; Sharifuzzaman, S.M.; Brown, C.L.; Lee, E.W.; Hasan, M.T. Single and Multi-Strain Probiotics Supplementation in Commercially Prominent Finfish Aquaculture: Review of the Current Knowledge. J. Microbiol. Biotechnol. 2022, 32, 681–698. [Google Scholar] [CrossRef] [PubMed]
- Firmino, J.P.; Galindo-Villegas, J.; Reyes-Lopez, F.E.; Gisbert, E. Phytogenic Bioactive Compounds Shape Fish Mucosal Immunity. Front. Immunol. 2021, 12, 695973. [Google Scholar] [CrossRef] [PubMed]
- Valenzuela-Munoz, V.; Benavente, B.P.; Casuso, A.; Leal, Y.; Gallardo-Escarate, C. Chimeric Protein IPath((R)) with Chelating Activity Improves Atlantic Salmon’s Immunity against Infectious Diseases. Vaccines 2021, 9, 361. [Google Scholar] [CrossRef]
- Lhorente, J.P.; Araneda, M.; Neira, R.; Yáñez, J.M. Advances in genetic improvement for salmon and trout aquaculture: The Chilean situation and prospects. Rev. Aquac. 2019, 11, 340–353. [Google Scholar] [CrossRef]
- Pontigo, J.P.; Espinoza, C.; Hernandez, M.; Nourdin, G.; Oliver, C.; Avendano-Herrera, R.; Figueroa, J.; Rauch, C.; Troncoso, J.M.; Vargas-Chacoff, L.; et al. Protein-Based Vaccine Protect Against Piscirickettsia salmonis in Atlantic Salmon (Salmo salar). Front. Immunol. 2021, 12, 602689. [Google Scholar] [CrossRef]
- Rocha, S.D.C.; Lei, P.; Morales-Lange, B.; Mydland, L.T.; Overland, M. From a cell model to a fish trial: Immunomodulatory effects of heat-killed Lactiplantibacillus plantarum as a functional ingredient in aquafeeds for salmonids. Front. Immunol. 2023, 14, 1125702. [Google Scholar] [CrossRef]
- Mitra, S.; Paul, S.; Roy, S.; Sutradhar, H.; Bin Emran, T.; Nainu, F.; Khandaker, M.U.; Almalki, M.; Wilairatana, P.; Mubarak, M.S. Exploring the Immune-Boosting Functions of Vitamins and Minerals as Nutritional Food Bioactive Compounds: A Comprehensive Review. Molecules 2022, 27, 555. [Google Scholar] [CrossRef]
- Subramani, P.A.; Michael, R.D. Prophylactic and Prevention Methods Against Diseases in Aquaculture; Academic Press: Cambridge, MA, USA, 2017; pp. 81–117. [Google Scholar] [CrossRef]
- Ji, J.; Torrealba, D.; Thwaite, R.; Gomez, A.-C.; Parra, D.; Roher, N. Nanostructured TNFα protein targets the zebrafish (Danio rerio) immune system through mucosal surfaces and improves the survival after Mycobacterium marinum lethal infection. Aquaculture 2019, 510, 138–149. [Google Scholar] [CrossRef]
- Torrealba, D.; Parra, D.; Seras-Franzoso, J.; Vallejos-Vidal, E.; Yero, D.; Gibert, I.; Villaverde, A.; Garcia-Fruitos, E.; Roher, N. Nanostructured recombinant cytokines: A highly stable alternative to short-lived prophylactics. Biomaterials 2016, 107, 102–114. [Google Scholar] [CrossRef]
- Lopez-Cano, A.; Martinez-Miguel, M.; Guasch, J.; Ratera, I.; Aris, A.; Garcia-Fruitos, E. Exploring the impact of the recombinant Escherichia coli strain on defensins antimicrobial activity: BL21 versus Origami strain. Microb. Cell Factories 2022, 21, 77. [Google Scholar] [CrossRef]
- Shabir, U.; Ali, S.; Magray, A.R.; Ganai, B.A.; Firdous, P.; Hassan, T.; Nazir, R. Fish antimicrobial peptides (AMP’s) as essential and promising molecular therapeutic agents: A review. Microb. Pathog. 2018, 114, 50–56. [Google Scholar] [CrossRef] [PubMed]
- Roca-Pinilla, R.; Lisowski, L.; Aris, A.; Garcia-Fruitos, E. The future of recombinant host defense peptides. Microb. Cell Factories 2022, 21, 267. [Google Scholar] [CrossRef] [PubMed]
- Roca-Pinilla, R.; Lopez-Cano, A.; Saubi, C.; Garcia-Fruitos, E.; Aris, A. A new generation of recombinant polypeptides combines multiple protein domains for effective antimicrobial activity. Microb. Cell Factories 2020, 19, 122. [Google Scholar] [CrossRef]
- Brunner, S.R.; Varga, J.F.A.; Dixon, B. Antimicrobial Peptides of Salmonid Fish: From Form to Function. Biology 2020, 9, 233. [Google Scholar] [CrossRef]
- Chang, C.I.; Zhang, Y.A.; Zou, J.; Nie, P.; Secombes, C.J. Two cathelicidin genes are present in both rainbow trout (Oncorhynchus mykiss) and atlantic salmon (Salmo salar). Antimicrob. Agents Chemother. 2006, 50, 185–195. [Google Scholar] [CrossRef]
- Zhang, X.J.; Zhang, X.Y.; Zhang, N.; Guo, X.; Peng, K.S.; Wu, H.; Lu, L.F.; Wu, N.; Chen, D.D.; Li, S.; et al. Distinctive structural hallmarks and biological activities of the multiple cathelicidin antimicrobial peptides in a primitive teleost fish. J. Immunol. 2015, 194, 4974–4987. [Google Scholar] [CrossRef]
- Bridle, A.; Nosworthy, E.; Poliski, M.; Nowak, B. Evidence of an Antimicrobial-Immunomodulatory Role of Atlantic Salmon Cathelicidins during Infection with Yersinia ruckeri. PLoS ONE 2011, 6, e23417. [Google Scholar] [CrossRef] [PubMed]
- Shirdel, I.; Kalbassi, M.R.; Hosseinkhani, S.; Paknejad, H.; Wink, M. Cloning, characterization and tissue-specific expression of the antimicrobial peptide hepcidin from caspian trout (Salmo caspius) and the antibacterial activity of the synthetic peptide. Fish Shellfish. Immunol. 2019, 90, 288–296. [Google Scholar] [CrossRef]
- Huang, T.; Gu, W.; Wang, B.; Zhang, Y.; Cui, L.; Yao, Z.; Zhao, C.; Xu, G. Identification and expression of the hepcidin gene from brown trout (Salmo trutta) and functional analysis of its synthetic peptide. Fish Shellfish. Immunol. 2019, 87, 243–253. [Google Scholar] [CrossRef]
- Alvarez, C.A.; Gomez, F.A.; Mercado, L.; Ramirez, R.; Marshall, S.H. Piscirickettsia salmonis Imbalances the Innate Immune Response to Succeed in a Productive Infection in a Salmonid Cell Line Model. PLoS ONE 2016, 11, e0163943. [Google Scholar] [CrossRef] [PubMed]
- Falco, F.; Banaee, M.; Mauro, M.; Faggio, C.; Arathi, K.; Preetham, E. Immunomodulators: An Introduction. In Immunomodulators in Aquaculture and Fish Health; Elumalai, P., Soltani, M., Lakshmi, S., Eds.; Talor & Francis Group: Miami, FL, USA, 2024. [Google Scholar]
- Secombes, C. Cytokines and Immunity. In Principles of Fish Immunology. From Cells and Molecules to Host Protection; Buchmann, K., Secombes, C.J., Eds.; Springer Nature: Cham, Switzerland, 2022. [Google Scholar]
- Zou, J.; Secombes, C.J. The Function of Fish Cytokines. Biology 2016, 5, 23. [Google Scholar] [CrossRef]
- Lopez-Cano, A.; Bach, A.; Lopez-Serrano, S.; Aragon, V.; Blanch, M.; Pastor, J.J.; Tedo, G.; Morais, S.; Garcia-Fruitos, E.; Aris, A. Potential of Oral Nanoparticles Containing Cytokines as Intestinal Mucosal Immunostimulants in Pigs: A Pilot Study. Animals 2022, 12, 1075. [Google Scholar] [CrossRef] [PubMed]
- Hamamoto, K.; Kida, Y.; Zhang, Y.; Shimizu, T.; Kuwano, K. Antimicrobial activity and stability to proteolysis of small linear cationic peptides with D-amino acid substitutions. Microbiol. Immunol. 2002, 46, 741–749. [Google Scholar] [CrossRef] [PubMed]
- Whiteside, L. Cytokines and cytokine measurements in a clinical laboratory. Clin. Diagn. Lab. Immunol. 1994, 1, 257. [Google Scholar] [CrossRef] [PubMed]
- Slouka, C.; Kopp, J.; Spadiut, O.; Herwig, C. Perspectives of inclusion bodies for bio-based products: Curse or blessing? Appl. Microbiol. Biotechnol. 2019, 103, 1143–1153. [Google Scholar] [CrossRef]
- Gifre-Renom, L.; Seras-Franzoso, J.; Rafael, D.; Andrade, F.; Cano-Garrido, O.; Martinez-Trucharte, F.; Ugarte-Berzal, E.; Martens, E.; Boon, L.; Villaverde, A.; et al. The Biological Potential Hidden in Inclusion Bodies. Pharmaceutics 2020, 12, 157. [Google Scholar] [CrossRef]
- Lopez-Cano, A.; Sicilia, P.; Gaja, C.; Aris, A.; Garcia-Fruitos, E. Quality comparison of recombinant soluble proteins and proteins solubilized from bacterial inclusion bodies. New Biotechnol. 2022, 72, 58–63. [Google Scholar] [CrossRef]
- Gifre-Renom, L.; Cano-Garrido, O.; Fabregas, F.; Roca-Pinilla, R.; Seras-Franzoso, J.; Ferrer-Miralles, N.; Villaverde, A.; Bach, A.; Devant, M.; Aris, A.; et al. A new approach to obtain pure and active proteins from Lactococcus lactis protein aggregates. Sci. Rep. 2018, 8, 13917. [Google Scholar] [CrossRef]
- Restrepo-Pineda, S.; Rosiles-Becerril, D.; Vargas-Castillo, A.B.; Ávila-Barrientos, L.P.; Luviano, A.; Sánchez-Puig, N.; García-Hernández, E.; Pérez, N.O.; Trujillo-Roldán, M.A.; Valdez-Cruz, N.A. Induction temperature impacts the structure of recombinant HuGM-CSF inclusion bodies in thermoinducible E. coli. Electron. J. Biotechnol. 2022, 59, 94–106. [Google Scholar] [CrossRef]
- Calcines-Cruz, C.; Olvera, A.; Castro-Acosta, R.M.; Zavala, G.; Alagon, A.; Trujillo-Roldan, M.A.; Valdez-Cruz, N.A. Recombinant-phospholipase A2 production and architecture of inclusion bodies are affected by pH in Escherichia coli. Int. J. Biol. Macromol. 2018, 108, 826–836. [Google Scholar] [CrossRef] [PubMed]
- Castellanos-Mendoza, A.; Castro-Acosta, R.M.; Olvera, A.; Zabala, G.; Mendoza-Vera, M.; García-Hemriquez, E.; Alagón, A.; Trujillo-Roldán, M.; Valdez-Cruz, N.A. Influence of pH control in the formation of inclusion bodies during production of recombinant sphingomyelinase-D in Escherichia coli. Microb. Cell Factories 2014, 13. [Google Scholar] [CrossRef] [PubMed]
- Alvarez, C.A.; Ramirez-Cepeda, F.; Santana, P.; Torres, E.; Cortes, J.; Guzman, F.; Schmitt, P.; Mercado, L. Insights into the diversity of NOD-like receptors: Identification and expression analysis of NLRC3, NLRC5 and NLRX1 in rainbow trout. Mol. Immunol. 2017, 87, 102–113. [Google Scholar] [CrossRef] [PubMed]
- Livak, K.J.; Schmittgen, T.D. Analysis of relative gene expression data using real-time quantitative PCR and the 2(-Delta Delta C(T)) method. Methods 2001, 25, 402–408. [Google Scholar] [CrossRef] [PubMed]
- Torrealba, D.; Seras-Franzoso, J.; Mamat, U.; Wilke, K.; Villaverde, A.; Roher, N.; Garcia-Fruitos, E. Complex Particulate Biomaterials as Immunostimulant-Delivery Platforms. PLoS ONE 2016, 11, e0164073. [Google Scholar] [CrossRef] [PubMed]
- Choi, K.Y.; Mookherjee, N. Multiple immune-modulatory functions of cathelicidin host defense peptides. Front. Immunol. 2012, 3, 149. [Google Scholar] [CrossRef]
- Veldhuizen, E.; Schneider, V.; Agustiandari, H.; Van Dijk, A.D.; Tjeerdsma, J.; JBikker, F.; Haagsman, H. Antimicrobial and Immunomodulatory Activities of PR-39 Derived Peptides. PLoS ONE 2014, 9, e95939. [Google Scholar] [CrossRef]
- Schmitt, P.; Wacyk, J.; Morales-Lange, B.; Rojas, V.; Guzman, F.; Dixon, B.; Mercado, L. Immunomodulatory effect of cathelicidins in response to a beta-glucan in intestinal epithelial cells from rainbow trout. Dev. Comp. Immunol. 2015, 51, 160–169. [Google Scholar] [CrossRef]
- Acosta, J.; Roa, F.; Gonzalez-Chavarria, I.; Astuya, A.; Maura, R.; Montesino, R.; Munoz, C.; Camacho, F.; Saavedra, P.; Valenzuela, A.; et al. In vitro immunomodulatory activities of peptides derived from Salmo salar NK-lysin and cathelicidin in fish cells. Fish Shellfish. Immunol. 2019, 88, 587–594. [Google Scholar] [CrossRef]
- Katzenback, B.A. Antimicrobial Peptides as Mediators of Innate Immunity in Teleosts. Biology 2015, 4, 607–639. [Google Scholar] [CrossRef] [PubMed]
- Alvarez, C.A.; Santana, P.A.; Salinas-Parra, N.; Beltran, D.; Guzman, F.; Vega, B.; Acosta, F.; Mercado, L. Immune Modulation Ability of Hepcidin from Teleost Fish. Animals 2022, 12, 1586. [Google Scholar] [CrossRef] [PubMed]
- Ghodsi, Z.; Kalbassi, M.R.; Farzaneh, P.; Mobarez, A.M.; Beemelmanns, C.; Amiri Moghaddam, J. Immunomodulatory function of antimicrobial peptide EC-Hepcidin1 modulates the induction of inflammatory gene expression in primary cells of Caspian Trout (Salmo trutta caspius Kessler, 1877). Fish Shellfish. Immunol. 2020, 104, 55–61. [Google Scholar] [CrossRef] [PubMed]
- Alvarez, C.A.; Guzman, F.; Cardenas, C.; Marshall, S.H.; Mercado, L. Antimicrobial activity of trout hepcidin. Fish Shellfish. Immunol. 2014, 41, 93–101. [Google Scholar] [CrossRef] [PubMed]
- Kanamori, Y.; Murakami, M.; Sugiyama, M.; Hashimoto, O.; Matsui, T.; Funaba, M. Hepcidin and IL-1beta. Vitam. Horm. 2019, 110, 143–156. [Google Scholar] [CrossRef] [PubMed]
- Weber, A.; Wasiliew, P.; Kracht, M. Interleukin-1 (IL-1) Pathway. Sci. Signal. 2010, 3, cm1. [Google Scholar] [CrossRef] [PubMed]
- Hong, S.; Li, R.; Xu, Q.; Secombes, C.J.; Wang, T. Two types of TNF-alpha exist in teleost fish: Phylogeny, expression, and bioactivity analysis of type-II TNF-alpha3 in rainbow trout Oncorhynchus mykiss. J. Immunol. 2013, 191, 5959–5972. [Google Scholar] [CrossRef] [PubMed]
- Peddie, S.; Zou, J.; Cunningham, C.; Secombes, C.J. Rainbow trout (Oncorhynchus mykiss) recombinant IL-1beta and derived peptides induce migration of head-kidney leucocytes in vitro. Fish Shellfish. Immunol. 2001, 11, 697–709. [Google Scholar] [CrossRef]
- Castro, R.; Zou, J.; Secombes, C.J.; Martin, S.A. Cortisol modulates the induction of inflammatory gene expression in a rainbow trout macrophage cell line. Fish Shellfish. Immunol. 2011, 30, 215–223. [Google Scholar] [CrossRef]
- Hong, S.; Zou, J.; Crampe, M.; Peddie, S.; Scapigliati, G.; Bols, N.C.; Cunningham, C.; Secombes, C. The production and bioactivity of rainbow trout (Oncorhynchus mykiss) recombinat IL-1B. Vet. Immunol. Immunopathol. 2001, 81, 1–14. [Google Scholar] [CrossRef]
- Pares, S.; Cano-Garrido, O.; Bach, A.; Ferrer-Miralles, N.; Villaverde, A.; Garcia-Fruitos, E.; Aris, A. The Potential of Metalloproteinase-9 Administration to Accelerate Mammary Involution and Boost the Immune System at Dry-Off. Animals 2021, 11, 3415. [Google Scholar] [CrossRef]
- Gifre-Renom, L.; Carratala, J.V.; Pares, S.; Sanchez-Garcia, L.; Ferrer-Miralles, N.; Villaverde, A.; Bach, A.; Garcia-Fruitos, E.; Aris, A. Potential of MMP-9 based nanoparticles at optimizing the cow dry period: Pulling apart the effects of MMP-9 and nanoparticles. Sci. Rep. 2020, 10, 11299. [Google Scholar] [CrossRef]
- Roher, N.; Callol, A.; Planas, J.V.; Goetz, F.W.; MacKenzie, S.A. Endotoxin recognition in fish results in inflammatory cytokine secretion not gene expression. Innate Immun. 2011, 17, 16–28. [Google Scholar] [CrossRef]
- Bhatwa, A.; Wang, W.; Hassan, Y.I.; Abraham, N.; Li, X.Z.; Zhou, T. Challenges Associated with the Formation of Recombinant Protein Inclusion Bodies in Escherichia coli and Strategies to Address Them for Industrial Applications. Front. Bioeng. Biotechnol. 2021, 9, 630551. [Google Scholar] [CrossRef]
- Slouka, C.; Kopp, J.; Hutwimmer, S.; Strahammer, M.; Strohmer, D.; Eitenberger, E.; Schwaighofer, A.; Herwig, C. Custom made inclusion bodies: Impact of classical process parameters and physiological parameters on inclusion body quality attributes. Microb. Cell Factories 2018, 17, 148. [Google Scholar] [CrossRef] [PubMed]
- Valdez-Cruz, N.A.; Reynoso-Cereceda, G.I.; Perez-Rodriguez, S.; Restrepo-Pineda, S.; Gonzalez-Santana, J.; Olvera, A.; Zavala, G.; Alagon, A.; Trujillo-Roldan, M.A. Production of a recombinant phospholipase A2 in Escherichia coli using resonant acoustic mixing that improves oxygen transfer in shake flasks. Microb. Cell Factories 2017, 16, 129. [Google Scholar] [CrossRef] [PubMed]
- Restrepo-Pineda, S.; Bando-Campos, C.G.; Valdez-Cruz, N.A.; Trujillo-Roldan, M.A. Recombinant production of ESAT-6 antigen in thermoinducible Escherichia coli: The role of culture scale and temperature on metabolic response, expression of chaperones, and architecture of inclusion bodies. Cell Stress Chaperones 2019, 24, 777–792. [Google Scholar] [CrossRef]
- Restrepo-Pineda, S.; Pérez, N.O.; Valdez-Cruz, N.A.; Trujillo-Roldan, M.A. Thermoinducible expression system for producing recombinant proteins in Escherichia coli: Advances and insights. FEMS Microbiol. Rev. 2021, 45, fuab023. [Google Scholar] [CrossRef] [PubMed]
- Garcia-Ochoa, F.; Gomez, E. Bioreactor scale-up and oxygen transfer rate in microbial processes: An overview. Biotechnol. Adv. 2009, 27, 153–176. [Google Scholar] [CrossRef] [PubMed]
- Lara, A.R.; Jaén, K.E.; Folarin, O.; Keshavarz-Moore, E.; Büchs, J. Effect of the oxygen transfer rate on oxygen-limited production of plasmid DNA by Escherichia coli. Biochem. Eng. J. 2019, 150, 107303. [Google Scholar] [CrossRef]
- Reynoso-Cereceda, G.I.; Garcia-Cabrera, R.I.; Valdez-Cruz, N.A.; Trujillo-Roldán, M.A. Shaken flasks by resonant acoustic mixing versus orbital mixing: Mass transfer coefficient kLa characterization and Escherichia coli cultures comparison. Biochem. Eng. J. 2016, 105, 379–390. [Google Scholar] [CrossRef]
- Krauss, U.; Jager, V.D.; Diener, M.; Pohl, M.; Jaeger, K.E. Catalytically-active inclusion bodies-Carrier-free protein immobilizates for application in biotechnology and biomedicine. J. Biotechnol. 2017, 258, 136–147. [Google Scholar] [CrossRef] [PubMed]
- Upadhyay, A.K.; Murmu, A.; Singh, A.; Panda, A.K. Kinetics of inclusion body formation and its correlation with the characteristics of protein aggregates in Escherichia coli. PLoS ONE 2012, 7, e33951. [Google Scholar] [CrossRef] [PubMed]
- Slouka, C.; Kopp, J.; Strohmer, D.; Kager, J.; Spadiut, O.; Herwig, C. Monitoring and control strategies for inclusion body production in E. coli based on glycerol consumption. J. Biotechnol. 2019, 296, 75–82. [Google Scholar] [CrossRef]
- Kopp, J.; Slouka, C.; Ulonska, S.; Kager, J.; Fricke, J.; Spadiut, O.; Herwig, C. Impact of Glycerol as Carbon Source onto Specific Sugar and Inducer Uptake Rates and Inclusion Body Productivity in E. coli BL21(DE3). Bioengineering 2017, 5, 1. [Google Scholar] [CrossRef]
Disclaimer/Publisher’s Note: The statements, opinions and data contained in all publications are solely those of the individual author(s) and contributor(s) and not of MDPI and/or the editor(s). MDPI and/or the editor(s) disclaim responsibility for any injury to people or property resulting from any ideas, methods, instructions or products referred to in the content. |
© 2024 by the authors. Licensee MDPI, Basel, Switzerland. This article is an open access article distributed under the terms and conditions of the Creative Commons Attribution (CC BY) license (https://creativecommons.org/licenses/by/4.0/).