A Novel Postbiotic Product Based on Weissella cibaria for Enhancing Disease Resistance in Rainbow Trout: Aquaculture Application
Abstract
Simple Summary
Abstract
1. Introduction
2. Materials and Methods
2.1. Bacteria Strains
2.2. Experimental Diets
2.3. Biosafety Evaluation of Postbiotic Products
2.4. Experimental Design
2.5. Sample Collection
2.6. Changes in Intestinal Microbiota
2.7. Cytokine Gene Expression
2.7.1. RNA Isolation
2.7.2. cDNA Preparation: RNA Reverse Transcription
2.7.3. Real-Time PCR (qPCR)
2.8. Experimental Infection
2.9. Ethics Statement
2.10. Statistical Analyses
3. Results
3.1. Biosafety Evaluation
3.2. Changes in Growth and Intestinal Microbiota
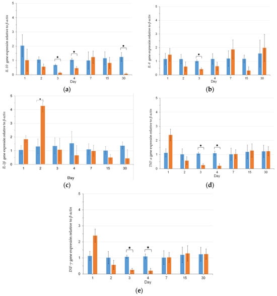
3.3. Effect on Cytokine Gene Expression
3.4. Effect on Disease Resistance to Y. ruckeri Challenge
4. Discussion
5. Conclusions
Author Contributions
Funding
Institutional Review Board Statement
Informed Consent Statement
Data Availability Statement
Acknowledgments
Conflicts of Interest
References
- APROMAR. Asociación Empresarial de Acuicultura en España. Aquaculture in Spain. 2022. Available online: https://apromar.es/wp-content/uploads/2022/10/Aquaculture-in-Spain-2022_APROMAR.pdf (accessed on 3 July 2023).
- Noble, A.; Summerfelt, S.T. Diseases encountered in rainbow trout cultured in recirculating systems. Annu. Rev. Fish Dis. 1996, 6, 65–92. [Google Scholar] [CrossRef]
- Wrobel, A.; Leo, J.C.; Linke, D. Overcoming fish defences: The virulence factors of Yersinia ruckeri. Genes 2019, 10, 700. [Google Scholar] [CrossRef]
- Fajardo, C.; Santos, P.; Passos, R.; Vaz, M.; Azeredo, R.; Machado, M.; Fernández-Boo, S.; Baptista, T.; Costas, B. Functional and Molecular Immune Response of Rainbow Trout (Oncorhynchus mykiss) Following Challenge with Yersinia ruckeri. Int. J. Mol. Sci. 2022, 23, 3096. [Google Scholar] [CrossRef]
- Bastardo, A.; Ravelo, C.; Romalde, J.L. Phylogeography of Yersinia ruckeri reveals effects of past evolutionary events on the current strain distribution and explains variations in the global transmission of enteric redmouth (ERM) disease. Front. Microbiol. 2015, 6, 1–12. [Google Scholar] [CrossRef]
- Calvez, S.; Gantelet, H.; Blanc, G.; Douet, D.G.; Daniel, P. Yersinia ruckeri biotypes 1 and 2 in France: Presence and antibiotic susceptibility. Dis. Aquat. Org. 2014, 109, 117–126. [Google Scholar] [CrossRef]
- Kumar, G.; Menanteau-Ledouble, S.; Saleh, M.; El-Matbouli, M. Yersinia ruckeri, the causative agent of enteric redmouth disease in fish. Vet. Res. 2015, 46, 103. [Google Scholar] [CrossRef]
- Capkin, E.; Altinok, I. Effects of dietary probiotic supplementations on prevention/treatment of yersiniosis disease. J. Appl. Microbiol. 2009, 106, 1147–1153. [Google Scholar] [CrossRef]
- Hossain, A.; Habibullah-Al-Mamun, M.; Nagano, I.; Masunaga, S.; Kitazawa, D.; Matsuda, H. Antibiotics, antibiotic-resistant bacteria, and resistance genes in aquaculture: Risks, current concern, and future thinking. Environ. Sci. Pollut. Res. Int. 2022, 29, 11054–11075. [Google Scholar] [CrossRef]
- Ang, C.Y.; Sano, M.; Dan, S.; Leelakriangsak, M.; Lal, T.M. Postbiotics Applications as Infectious Disease Control Agent in Aquaculture. Biocontrol Sci. 2020, 25, 1–7. [Google Scholar] [CrossRef] [PubMed]
- Salminen, S.; Collado, M.C.; Endo, A.; Hill, C.; Lebeer, S.; Quigley, E.M.M.; Sanders, M.E.; Shamir, R.; Swann, J.R.; Szajewska, H.; et al. The International Scientific Association of Probiotics and Prebiotics (ISAPP) consensus statement on the definition and scope of postbiotics. Nat. Rev. Gastroenterol. Hepatol. 2021, 18, 649–667. [Google Scholar] [CrossRef] [PubMed]
- Abbass, A.; Sharifuzzaman, S.M.; Austin, B. Cellular components of probiotics control Yersinia ruckeri infection in rainbow trout, Oncorhynchus mykiss (Walbaum). J. Fish Dis. 2010, 33, 31–37. [Google Scholar] [CrossRef] [PubMed]
- Quintanilla-Pineda, M.; Achou, C.G.; Díaz, J.; Gutiérrez-Falcon, A.; Bravo, M.; Herrera-Muñoz, J.I.; Peña-Navarro, N.; Alvarado, C.; Ibañez, F.C.; Marzo, F. In Vitro Evaluation of Postbiotics Produced from Bacterial Isolates Obtained from Rainbow Trout and Nile Tilapia against the Pathogens Yersinia ruckeri and Aeromonas salmonicida subsp. salmonicida. Foods 2023, 12, 861. [Google Scholar] [CrossRef] [PubMed]
- Kahyani, F.; Pirali-Kheirabadi, E.; Shafiei, S.; Shenavar Masouleh, A. Effect of dietary supplementation of potential probiotic Weissella confusa on innate immunity, immune-related genes expression, intestinal microbiota and growth performance of rainbow trout (Oncorhynchus mykiss). Aquac. Nutr. 2021, 27, 1411–1420. [Google Scholar] [CrossRef]
- Abriouel, H.; Lerma, L.L.; Casado Muñoz, M.d.C.; Montoro, B.P.; Kabisch, J.; Pichner, R.; Cho, G.S.; Neve, H.; Fusco, V.; Franz, C.M.A.P.; et al. The controversial nature of the Weissella genus: Technological and functional aspects versus whole genome analysis-based pathogenic potential for their application in food and health. Front. Microbiol. 2015, 6, 1197. [Google Scholar] [CrossRef]
- Quintanilla-Pineda, M.; Díaz, J.; Gutiérrez-Falcon, A.; Ibañez, F.C.; Marzo, F. Profiling a New Postbiotic Product for Its Application in Fish Aquaculture. Fishes 2023, 8, 304. [Google Scholar] [CrossRef]
- Zhu, X.-K.; Yang, B.-T.; Hao, Z.-P.; Li, H.-Z.; Cong, W.; Kang, Y.-H. Dietary supplementation with Weissella cibaria C-10 and Bacillus amyloliquefaciens T-5 enhance immunity against Aeromonas veronii infection in crucian carp (Carassiu auratus). Microb. Pathog. 2022, 167, 105559. [Google Scholar] [CrossRef]
- Cabello-Olmo, M.; Oneca, M.; Torre, P.; Díaz, J.V.; Encio, I.J.; Barajas, M.; Araña, M. Influence of storage temperature and packaging on bacteria and yeast viability in a plant-based fermented food. Foods 2020, 9, 302. [Google Scholar] [CrossRef]
- Medina, M.; Sotil, G.; Flores, V.; Fernández, C.; Sandoval, N. In vitro assessment of some probiotic properties and inhibitory activity against Yersinia ruckeri of bacteria isolated from rainbow trout Oncorhynchus mykiss (Walbaum). Aquac. Rep. 2020, 18, 100447. [Google Scholar] [CrossRef]
- Standen, B.T.; Rodiles, A.; Peggs, D.L.; Davies, S.J.; Santos, G.A.; Merrifield, D.L. Modulation of the intestinal microbiota and morphology of tilapia, Oreochromis niloticus, following the application of a multi-species probiotic. Appl. Microbiol. Biotechnol. 2015, 99, 8403–8417. [Google Scholar] [CrossRef]
- Adel, M.; Lazado, C.C.; Safari, R.; Yeganeh, S.; Zorriehzahra, M.J. Aqualase®, a yeast-based in-feed probiotic, modulates intestinal microbiota, immunity and growth of rainbow trout Oncorhynchus mykiss. Aquac. Res. 2017, 48, 1815–1826. [Google Scholar] [CrossRef]
- Livak, K.J.; Schmittgen, T.D. Analysis of relative gene expression data using real-time quantitative PCR and the 2(-Delta Delta C(T)) Method. Methods 2001, 25, 402–408. [Google Scholar] [CrossRef] [PubMed]
- Welch, T.J.; Good, C.M. Mortality associated with weissellosis (Weissella sp.) in USA farmed rainbow trout: Potential for control by vaccination. Aquaculture 2013, 388–391, 122–127. [Google Scholar] [CrossRef]
- Ballantyne, R.; Lee, J.W.; Wang, S.T.; Lin, J.S.; Tseng, D.Y.; Liao, Y.C.; Chang, H.T.; Lee, T.Y.; Liu, C.H. Dietary administration of a postbiotic, heat-killed Pediococcus pentosaceus PP4012 enhances growth performance, immune response and modulates intestinal microbiota of white shrimp, Penaeus vannamei. Fish Shellfish Immunol. 2023, 139, 108882. [Google Scholar] [CrossRef] [PubMed]
- Wu, X.; Teame, T.; Hao, Q.; Ding, Q.; Liu, H.; Ran, C.; Yang, Y.; Zhang, Y.; Zhou, Z.; Duan, M.; et al. Use of a paraprobiotic and postbiotic feed supplement (HWFTM) improves the growth performance, composition and function of gut microbiota in hybrid sturgeon (Acipenser baerii x Acipenser schrenckii). Fish Shellfish Immunol. 2020, 104, 36–45. [Google Scholar] [CrossRef] [PubMed]
- Meng, D.; Hao, Q.; Zhang, Q.; Yu, Z.; Liu, S.; Yang, Y.; Ran, C.; Zhang, Z.; Zhou, Z. A compound of paraprobiotic and postbiotic derived from autochthonous microorganisms improved growth performance, epidermal mucus, liver and gut health and gut microbiota of common carp (Cyprinus carpio). Aquaculture 2023, 570, 739378. [Google Scholar] [CrossRef]
- Yu, Z.; Hao, Q.; Liu, S.B.; Zhang, Q.S.; Chen, X.Y.; Li, S.H.; Ran, C.; Yang, Y.L.; Teame, T.; Zhang, Z.; et al. The positive effects of postbiotic (SWF concentration®) supplemented diet on skin mucus, liver, gut health, the structure and function of gut microbiota of common carp (Cyprinus carpio) fed with high-fat diet. Fish Shellfish Immunol. 2023, 135, 108681. [Google Scholar] [CrossRef]
- Ringø, E.; Olsen, R.E.; Gifstad, T.; Dalmo, R.A.; Amlund, H.; Hemre, G.I.; Bakke, A.M. Prebiotics in aquaculture: A review. Aquac. Nutr. 2010, 16, 117–136. [Google Scholar] [CrossRef]
- Li, X.; Ringø, E.; Hoseinifar, S.H.; Lauzon, H.L.; Birkbeck, H.; Yang, D. The adherence and colonization of microorganisms in fish gastrointestinal tract. Rev. Aquac. 2019, 11, 603–618. [Google Scholar] [CrossRef]
- Picchietti, S.; Fausto, A.M.; Randelli, E.; Carnevali, O.; Taddei, A.R.; Buonocore, F.; Scapigliati, G.; Abelli, L. Early treatment with Lactobacillus delbrueckii strain induces an increase in intestinal T-cells and granulocytes and modulates immune-related genes of larval Dicentrarchus labrax (L.). Fish Shellfish Immunol. 2009, 26, 368–376. [Google Scholar] [CrossRef]
- Muñoz-Atienza, E.; Araújo, C.; Magadán, S.; Hernández, P.E.; Herranz, C.; Santos, Y.; Cintas, L.M. Invitro and in vivo evaluation of lactic acid bacteria of aquatic origin as probiotics for turbot (Scophthalmus maximus L.) farming. Fish Shellfish Immunol. 2014, 41, 570–580. [Google Scholar] [CrossRef]
- Pérez-Sánchez, T.; Mora-Sánchez, B.; Jirón, W.; Flores, B.; Balcázar, J.L. Effect of a postbiotic on the histopathological features and expression levels of immune-related genes in farmed rainbow trout (Oncorhynchus mykiss). Aquac. Res. 2021, 52, 5882–5885. [Google Scholar] [CrossRef]
- Mora-Sánchez, B.; Balcázar, J.L.; Pérez-Sánchez, T. Effect of a novel postbiotic containing lactic acid bacteria on the intestinal microbiota and disease resistance of rainbow trout (Oncorhynchus mykiss). Biotechnol. Lett. 2020, 42, 1957–1962. [Google Scholar] [CrossRef] [PubMed]
- Pérez-Sánchez, T.; Mora-Sánchez, B.; Vargas, A.; Balcázar, J.L. Changes in intestinal microbiota and disease resistance following dietary postbiotic supplementation in rainbow trout (Oncorhynchus mykiss). Microb. Pathog. 2020, 142, 104060. [Google Scholar] [CrossRef] [PubMed]
- Secombes, C.J.; Wang, T.; Bird, S. The interleukins of fish. Dev. Comp. Immunol. 2011, 35, 1336–1345. [Google Scholar] [CrossRef]



| Gene | GeneBank Accession Number | Product Size | Forward Primer | Reverse Primer |
|---|---|---|---|---|
| β-actin | NM001124235 | 186 | GGACTGTTGACAGGAGATGG | ATGATGGAGTTGTAGGTGGTCT |
| INF-γ | AJ616215 | 151 | GTGAGCAGAGGGTGTTGATG | GATGGTAATGAACTCGGACAG |
| TNF-α | XM020497470 | 125 | GGCGAGCATACCACTCCTCT | TCGGACTCAGCATCACCGTA |
| IL-8 | NM001140710 | 136 | ATTGAGACGGAAAGCAGACG | CTTGCTCAGAGTGGCAATGA |
| IL-10 | AB118099 | 70 | CGACTTTAAATCTCCCATCGAC | GCATTGGACGATCTCTTTCTTC |
| IL-1B | AJ223954 | 91 | ACATTGCCAACCTCATCATCG | TTGAGCAGGTCCTTGTCCTTG |
| Process | Time | Temperature | |
|---|---|---|---|
| Hot-start enzyme activation | 1 cycle | 3 min | 95 °C |
| Amplification (44 cycles) | Denaturation | 5 s | 95 °C |
| Annealing and extension | 20 s | 55 °C (fluorescence reading) | |
| Extension | 5 s | 79 °C (fluorescence reading) | |
| Melting curve | Each 0.5 °C | every 5 s (fluorescence reading) | 65–95 °C |
| End | 10 °C |
| Counts (Log CFU/mL) | |||
|---|---|---|---|
| Day of Sampling | Control | Supplemented | |
| Total aerobic bacteria | 7 | 3.20 ± 0.08 | 3.03 ± 0.53 |
| 15 | 5.03 ± 0.22 | 4.51 ± 0.36 | |
| 30 | 4.35 ± 0.41 | 4.63 ± 0.07 | |
| Acid-lactic bacteria | 7 | 2.10 ± 0.14 | 2.36 ± 0.08 |
| 15 | 2.26 ± 0.20 | 2.73 ± 0.52 | |
| 30 | 2.26 ± 0.20 | 3.42 ± 0.21 * | |
Disclaimer/Publisher’s Note: The statements, opinions and data contained in all publications are solely those of the individual author(s) and contributor(s) and not of MDPI and/or the editor(s). MDPI and/or the editor(s) disclaim responsibility for any injury to people or property resulting from any ideas, methods, instructions or products referred to in the content. |
© 2024 by the authors. Licensee MDPI, Basel, Switzerland. This article is an open access article distributed under the terms and conditions of the Creative Commons Attribution (CC BY) license (https://creativecommons.org/licenses/by/4.0/).
Share and Cite
Quintanilla-Pineda, M.; Ibañez, F.C.; Garrote-Achou, C.; Marzo, F. A Novel Postbiotic Product Based on Weissella cibaria for Enhancing Disease Resistance in Rainbow Trout: Aquaculture Application. Animals 2024, 14, 744. https://doi.org/10.3390/ani14050744
Quintanilla-Pineda M, Ibañez FC, Garrote-Achou C, Marzo F. A Novel Postbiotic Product Based on Weissella cibaria for Enhancing Disease Resistance in Rainbow Trout: Aquaculture Application. Animals. 2024; 14(5):744. https://doi.org/10.3390/ani14050744
Chicago/Turabian StyleQuintanilla-Pineda, Mario, Francisco C. Ibañez, Chajira Garrote-Achou, and Florencio Marzo. 2024. "A Novel Postbiotic Product Based on Weissella cibaria for Enhancing Disease Resistance in Rainbow Trout: Aquaculture Application" Animals 14, no. 5: 744. https://doi.org/10.3390/ani14050744
APA StyleQuintanilla-Pineda, M., Ibañez, F. C., Garrote-Achou, C., & Marzo, F. (2024). A Novel Postbiotic Product Based on Weissella cibaria for Enhancing Disease Resistance in Rainbow Trout: Aquaculture Application. Animals, 14(5), 744. https://doi.org/10.3390/ani14050744

