Effects of Tetrabasic Zinc Chloride on the Diarrhea Rate, Intestinal Morphology, Immune Indices and Microflora of Weaned Piglets
Abstract
Simple Summary
Abstract
1. Introduction
2. Materials and Methods
2.1. Animals and Experimental Designs
2.2. Feeding and Management
2.3. Diarrhea Scores
2.4. Sample Collections
2.5. Chemical Analysis for Diet and Feces
2.6. Histological Analysis
2.7. Immunity of the Intestinal Tract
2.8. Microbiological Analysis of Intestinal Contents
2.9. Statistical Analysis
3. Results
3.1. The Diarrhea Rate
3.2. Total Tract Digestibility of Crude Protein
3.3. Intestinal Morphology
3.4. Intestinal Mucosal Immunity
3.5. PH of Gastric Contents
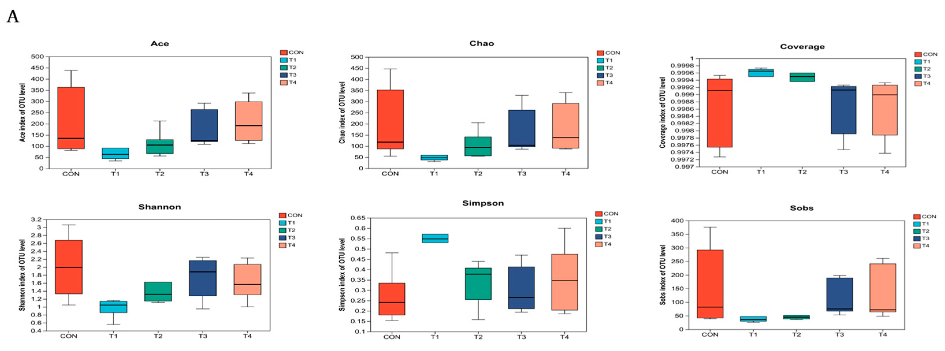
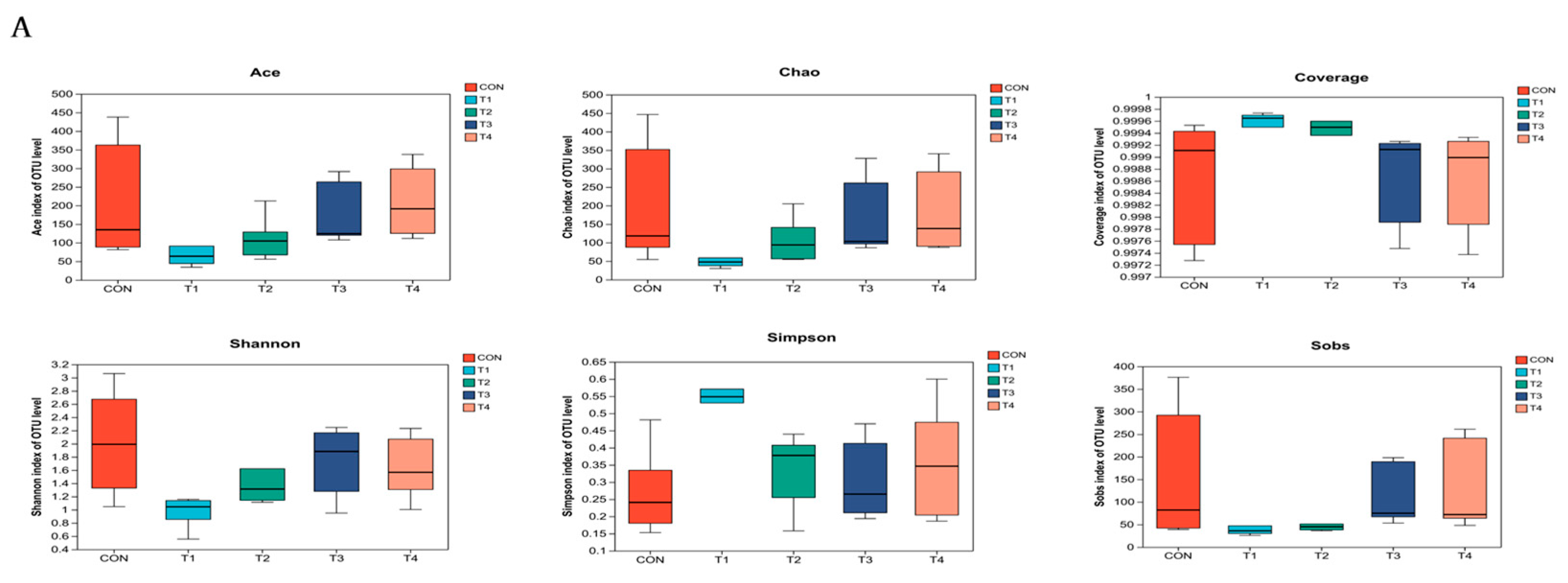
3.6. The Intestinal Microbial Composition of Piglets
4. Discussion
5. Conclusions
Author Contributions
Funding
Institutional Review Board Statement
Informed Consent Statement
Data Availability Statement
Acknowledgments
Conflicts of Interest
References
- Liu, S.; Xiao, H.; Xiong, Y.; Chen, J.; Wu, Q.; Wen, X.; Jiang, Z.; Wang, L. Effects of Fermented Feed on the Growth Performance, Intestinal Function, and Microbiota of Piglets Weaned at Different Age. Front. Vet. Sci. 2022, 9, 841762. [Google Scholar] [CrossRef] [PubMed]
- Chen, L.; Zhong, Y.; Ouyang, X.; Wang, C.; Yin, L.; Huang, J.; Li, Y.; Wang, Q.; Xie, J.; Huang, P.; et al. Effects of β-Alanine on Intestinal Development and Immune Performance of Weaned Piglets. Anim. Nutr. 2023, 12, 398–408. [Google Scholar] [CrossRef]
- Tang, X.; Xiong, K.; Fang, R.; Li, M. Weaning Stress and Intestinal Health of Piglets: A Review. Front. Immunol. 2022, 13, 1042778. [Google Scholar] [CrossRef] [PubMed]
- Ahmed, S.T.; Hwang, J.A.; Hoon, J.; Mun, H.S.; Yang, C.J. Comparison of Single and Blend Acidifiers as Alternative to Antibiotics on Growth Performance, Fecal Microflora, and Humoral Immunity in Weaned Piglets. Asian-Australas. J. Anim. Sci. 2014, 27, 93–100. [Google Scholar] [CrossRef] [PubMed]
- Pang, J.; Liu, Y.; Kang, L.; Ye, H.; Zang, J.; Wang, J.; Han, D. Bifidobacterium Animalis Promotes the Growth of Weaning Piglets by Improving Intestinal Development, Enhancing Antioxidant Capacity, and Modulating Gut Microbiota. Appl. Environ. Microbiol. 2022, 88, e0129622. [Google Scholar] [CrossRef]
- Perez, V.; Shanmugasundaram, R.; Sifri, M.; Parr, T.M.; Selvaraj, R.K. Effects of Hydroxychloride and Sulfate Form of Zinc and Manganese Supplementation on Superoxide Dismutase Activity and Immune Responses Post Lipopolysaccharide Challenge in Poultry Fed Marginally Lower Doses of Zinc and Manganese. Poult. Sci. 2017, 96, 4200–4207. [Google Scholar] [CrossRef] [PubMed]
- Sahraei, M.; Janmmohamdi, H.; Taghizadeh, A.; Cheraghi, S. Effect of Different Zinc Sources on Tibia Bone Morphology and Ash Content of Broiler Chickens. Adv. Biol. Res. 2012, 6, 128–132. [Google Scholar]
- Wang, W.; Van Noten, N.; Degroote, J.; Romeo, A.; Vermeir, P.; Michiels, J. Effect of Zinc Oxide Sources and Dosages on Gut Microbiota and Integrity of Weaned Piglets. J. Anim. Physiol. Anim. Nutr. 2019, 103, 231–241. [Google Scholar] [CrossRef]
- Johanns, V.C.; Ghazisaeedi, F.; Epping, L.; Semmler, T.; Lübke-Becker, A.; Pfeifer, Y.; Bethe, A.; Eichhorn, I.; Merle, R.; Walther, B.; et al. Effects of a Four-Week High-Dosage Zinc Oxide Supplemented Diet on Commensal Escherichia Coli of Weaned Pigs. Front. Microbiol. 2019, 10, 2734. [Google Scholar] [CrossRef]
- Oh, H.-J.; Park, Y.-J.; Cho, J.H.; Song, M.-H.; Gu, B.-H.; Yun, W.; Lee, J.-H.; An, J.-S.; Kim, Y.-J.; Lee, J.-S.; et al. Changes in Diarrhea Score, Nutrient Digestibility, Zinc Utilization, Intestinal Immune Profiles, and Fecal Microbiome in Weaned Piglets by Different Forms of Zinc. Animals 2021, 11, 1356. [Google Scholar] [CrossRef]
- Yu, L.; Yi, J.; Chen, Y.; Huang, M.; Zhu, N. Relative Bioavailability of Broiler Chickens Fed with Zinc Hydroxychloride and Sulfate Sources for Corn-Soybean Meal. Biol. Trace Elem. Res. 2022, 200, 4114–4125. [Google Scholar] [CrossRef] [PubMed]
- Mavromichalis, I.; Webel, D.M.; Parr, E.N.; Baker, D.H. Growth-Promoting Efficacy of Pharmacological Doses of Tetrabasic Zinc Chloride in Diets for Nursery Pigs. Can. J. Anim. Sci. 2001, 81, 387–391. [Google Scholar] [CrossRef]
- Zhang, G.; Hu, G.; Yang, Z.; Zhao, J. Effects of Tetrabasic Zinc Chloride on Growth Performance, Nutrient Digest ibility and Fecal Microbial Community in Weaned Piglets. Front. Vet. Sci. 2022, 9, 905242. [Google Scholar] [CrossRef]
- Chen, G.; Li, Z.; Liu, S.; Tang, T.; Chen, Q.; Yan, Z.; Peng, J.; Yang, Z.; Zhang, G.; Liu, Y.; et al. Fermented Chinese Herbal Medicine Promoted Growth Performance, Intestinal Health, and Regulated Bacterial Microbiota of Weaned Piglets. Animals 2023, 13, 476. [Google Scholar] [CrossRef]
- Le, M.H.A.; Galle, S.; Yang, Y.; Landero, J.L.; Beltranena, E.; Gänzle, M.G.; Zijlstra, R.T. Effects of Feeding Fermented Wheat with Lactobacillus Reuteri on Gut Morphology, Intestinal Fermentation, Nutrient Digestibility, and Growth Performance in Weaned Pigs. J. Anim. Sci. 2016, 94, 4677–4687. [Google Scholar] [CrossRef]
- Papadomichelakis, G.; Palamidi, I.; Paraskeuas, V.V.; Giamouri, E.; Mountzouris, K.C. Evaluation of a Natural Phytogenic Formulation as an Alternative to Pharmaceutical Zinc Oxide in the Diet of Weaned Piglets. Animals 2023, 13, 431. [Google Scholar] [CrossRef] [PubMed]
- Pei, X.; Xiao, Z.; Liu, L.; Wang, G.; Tao, W.; Wang, M.; Zou, J.; Leng, D. Effects of Dietary Zinc Oxide Nanoparticles Supplementation on Growth Performance, Zinc Status, Intestinal Morphology, Microflora Population, and Immune Response in Weaned Pigs. J. Sci. Food Agric. 2019, 99, 1366–1374. [Google Scholar] [CrossRef] [PubMed]
- Højberg, O.; Canibe, N.; Poulsen, H.D.; Hedemann, M.S.; Jensen, B.B. Influence of Dietary Zinc Oxide and Copper Sulfate on the Gastrointestinal Ecosystem in Newly Weaned Piglets. Appl. Environ. Microbiol. 2005, 71, 2267–2277. [Google Scholar] [CrossRef]
- Peng, P.; Deng, D.; Chen, S.; Li, C.; Luo, J.; Romeo, A.; Li, T.; Tang, X.; Fang, R. The Effects of Dietary Porous Zinc Oxide Supplementation on Growth Performance, Inflammatory Cytokines and Tight Junction’s Gene Expression in Early-Weaned Piglets. J. Nutr. Sci. Vitaminol. 2020, 66, 311–318. [Google Scholar] [CrossRef]
- Liu, H.; Hu, J.; Mahfuz, S.; Piao, X. Effects of Hydrolysable Tannins as Zinc Oxide Substitutes on Antioxidant Status, Immune Function, Intestinal Morphology, and Digestive Enzyme Activities in Weaned Piglets. Animals 2020, 10, 757. [Google Scholar] [CrossRef]
- Zhang, G.; Zhao, J.B.; Dong, W.X.; Song, X.M.; Lin, G.; Li, D.F.; Zhang, S. Yeast-Derived Mannan-Rich Fraction as an Alternative for Zinc Oxide to Alleviate Diarrhea Incidence and Improve Growth Performance in Weaned Pigs. Anim. Feed. Sci. Technol. 2021, 281, 115111. [Google Scholar] [CrossRef]
- Shurson, G.C.; Urriola, P.E.; Hung, Y.-T. Too Much of a Good Thing: Rethinking Feed Formulation and Feeding Practices for Zinc in Swine Diets to Achieve One Health and Environmental Sustainability. Animals 2022, 12, 3374. [Google Scholar] [CrossRef] [PubMed]
- Zhang, B.; Guo, Y. Beneficial Effects of Tetrabasic Zinc Chloride for Weanling Piglets and the Bioavailability of Zinc in Tetrabasic Form Relative to ZnO. Anim. Feed. Sci. Technol. 2007, 135, 75–85. [Google Scholar] [CrossRef]
- Walk, C.L.; Wilcock, P.; Magowan, E. Evaluation of the Effects of Pharmacological Zinc Oxide and Phosphorus Source on Weaned Piglet Growth Performance, Plasma Minerals and Mineral Digestibility. Animal 2015, 9, 1145–1152. [Google Scholar] [CrossRef] [PubMed]
- Schell, T.C.; Kornegay, E.T. Zinc Concentration in Tissues and Performance of Weanling Pigs Fed Pharmacological Levels of Zinc from ZnO, Zn-Methionine, Zn-Lysine, or ZnSO4. J. Anim. Sci. 1996, 74, 1584. [Google Scholar] [CrossRef] [PubMed]
- Muniyappan, M.; Shanmugam, S.; Park, J.H.; Han, K.; Kim, I.H. Effects of Fermented Soybean Meal Supplementation on the Growth Performance and Apparent Total Tract Digestibility by Modulating the Gut Microbiome of Weaned Piglets. Sci. Rep. 2023, 13, 3691. [Google Scholar] [CrossRef]
- Mihok, T.; Hreško Šamudovská, A.; Bujňák, L.; Timkovičová Lacková, P. Determination of Buffering Capacity of the Selected Feeds Used in Swine Nutrition. J. Cent. Eur. Agric. 2022, 23, 732–738. [Google Scholar] [CrossRef]
- Parma, L.; Yúfera, M.; Navarro-Guillén, C.; Moyano, F.J.; Soverini, M.; D’Amico, F.; Candela, M.; Fontanillas, R.; Gatta, P.P.; Bonaldo, A. Effects of Calcium Carbonate Inclusion in Low Fishmeal Diets on Growth, Gastrointestinal pH, Digestive Enzyme Activity and Gut Bacterial Community of European Sea Bass (Dicentrarchus Labrax L.) Juveniles. Aquaculture 2019, 510, 283–292. [Google Scholar] [CrossRef]
- Wang, Y.; Li, J.; Wang, H.; Mi, Y.; Xue, Y.; Li, J.; Ma, Y. Effects of Essential Oil Coated with Glycerol Monolaurate on Growth Performance, Intestinal Morphology, and Serum Profiles in Weaned Piglets. Anim. Biosci. 2023, 36, 753–760. [Google Scholar] [CrossRef] [PubMed]
- Liu, P.; Pieper, R.; Tedin, L.; Martin, L.; Meyer, W.; Rieger, J.; Plendl, J.; Vahjen, W.; Zentek, J. Effect of Dietary Zinc Oxide on Jejunal Morphological and Immunological Characteristics in Weaned Piglets1. J. Anim. Sci. 2014, 92, 5009–5018. [Google Scholar] [CrossRef] [PubMed]
- Perić, D.; Barea, R.; Nešić, S.; Makivić, L.; Janjić, J.; Šefer, D.; Marković, R. Effects of Dietary Supplementation with Benzoic Acid and Chelated Copper, Zinc and Manganese Sources on Production Performance in Piglets. Acta Vet. 2023, 73, 355–373. [Google Scholar] [CrossRef]
- Zhong, W.; McClain, C.J.; Cave, M.; Kang, Y.J.; Zhou, Z. The Role of Zinc Deficiency in Alcohol-Induced Intestinal Barrier Dysfunction. Am. J. Physiol.-Gastrointest. Liver Physiol. 2010, 298, G625–G633. [Google Scholar] [CrossRef] [PubMed]
- Dong, X.; Xu, Q.; Wang, C.; Zou, X.; Lu, J. Supplemental-Coated Zinc Oxide Relieves Diarrhoea by Decreasing Intestinal Permeability in Weanling Pigs. J. Appl. Anim. Res. 2019, 47, 362–368. [Google Scholar] [CrossRef]
- He, B.; Li, T.; Wang, W.; Gao, H.; Bai, Y.; Zhang, S.; Zang, J.; Li, D.; Wang, J. Metabolic Characteristics and Nutrient Utilization in High-Feedefficiency Pigs Selected Using Different Feed Conversion Ratio Models. Sci. China 2019, 62, 959–970. [Google Scholar] [CrossRef]
- Vahjen, W.; Pieper, R.; Zentek, J. Increased Dietary Zinc Oxide Changes the Bacterial Core and Enterobacterial Composition in the Ileum of Piglets. J. Anim. Sci. 2011, 89, 2430–2439. [Google Scholar] [CrossRef]
- Wilfried Vahjen, R.P. The Impact of Dietary Zinc Oxide on the Bacterial Diversity of the Small Intestinal Microbiota of Weaned Piglets. J. Veterinar Sci. Technol. 2014, 5, 171. [Google Scholar] [CrossRef]
- Wan, Y.; Zhang, B. The Impact of Zinc and Zinc Homeostasis on the Intestinal Mucosal Barrier and Intestinal Diseases. Biomolecules 2022, 12, 900. [Google Scholar] [CrossRef]








| Items | Ingredient, % (d 1 to 14) | (d 15 to 28) |
|---|---|---|
| Ingredients, % | ||
| Corn | 33.12 | 39.00 |
| Soybean meal, 43% | 6.50 | 6.50 |
| Extruded corn | 30.00 | 30.00 |
| Soy protein concentrate | 7.00 | 5.00 |
| Whey powder | 8.00 | 5.00 |
| Fish meal | 5.00 | 4.00 |
| Fermented soybean meal | 5.00 | 5.00 |
| Soybean oil | 1.50 | 1.50 |
| Dicalcium phosphate | 1.30 | 0.42 |
| Limestone | 0.70 | 0.90 |
| Salt | 0.30 | 0.30 |
| L-Lys HCI, 78% | 0.46 | 0.50 |
| DL-Methionine, 98% | 0.09 | 0.10 |
| L-Threonine, 98% | 0.20 | 0.25 |
| L-Tryptophan, 98% | 0.03 | 0.05 |
| Acidifier | 0.30 | 0.30 |
| Premix 1 | 0.50 | 0.50 |
| Nutrient levels 2 | ||
| Digestible energy, kcal/kg | 3443.29 | 3422.64 |
| Crude protein, % | 19.62 | 18.14 |
| Calcium, % | 0.80 | 0.73 |
| Available phosphorus, % | 0.40 | 0.59 |
| SID 3 Lysine, % | 1.50 | 1.42 |
| SID Methionine, % | 0.43 | 0.41 |
| SID Threonine, % | 0.91 | 0.89 |
| SID Tryptophan, % | 0.24 | 0.24 |
| Items | Treatments | SEM 1 | p-Value | ||||
|---|---|---|---|---|---|---|---|
| CON | T1 | T2 | T3 | T4 | |||
| 0–14 d | 12.11 | 8.97 | 11.85 | 9.47 | 8.48 | 0.67 | 0.08 |
| 14–28 d | 6.95 a | 4.56 b | 6.53 a | 4.17 b | 2.79 b | 0.69 | 0.01 |
| 0–28 d | 9.81 a | 7.06 b | 9.58 a | 7.14 b | 5.86 b | 0.69 | <0.01 |
| Items | Treatments | SEM 1 | p-Value | ||||
|---|---|---|---|---|---|---|---|
| CON | T1 | T2 | T3 | T4 | |||
| CP, % | 68.86 bc | 74.35 ab | 62.46 c | 70.68 ab | 75.57 a | 0.01 | <0.01 |
| Item | Treatments | SEM 1 | p-Value | ||||
|---|---|---|---|---|---|---|---|
| CON | T1 | T2 | T3 | T4 | |||
| Duodenum | |||||||
| Villi height, μm | 372.07 | 439.10 | 419.28 | 468.43 | 492.65 | 19.15 | 0.33 |
| Crypt depth, μm | 444.27 | 377.16 | 358.06 | 363.97 | 330.54 | 14.19 | 0.12 |
| Villus height/crypt depth | 0.88 | 1.26 | 1.33 | 1.19 | 1.53 | 0.02 | 0.93 |
| Jejunum | |||||||
| Villi height, μm | 344.98 | 392.78 | 315.42 | 362.77 | 392.62 | 12.94 | 0.27 |
| Crypt depth, μm | 291.41 | 306.35 | 308.45 | 345.80 | 313.57 | 13.00 | 0.77 |
| Villus height/crypt depth | 1.23 | 1.40 | 1.14 | 1.13 | 1.50 | 0.07 | 0.31 |
| Ileum | |||||||
| Villi height, μm | 316.97 | 318.04 | 292.67 | 289.54 | 364.21 | 12.18 | 0.32 |
| Crypt depth, μm | 270.94 | 311.53 | 261.96 | 285.82 | 264.99 | 6.46 | 0.1 |
| Villus height/Crypt depth | 1.20 ab | 0.97 b | 1.18 ab | 1.04 b | 1.41 a | 0.05 | 0.01 |
| Items | Treatments | SEM 1 | p-Value | ||||
|---|---|---|---|---|---|---|---|
| CON | T1 | T2 | T3 | T4 | |||
| Duodenum | |||||||
| IgG, μg /mg | 6.64 | 8.78 | 8.24 | 6.07 | 8.57 | 0.44 | 0.22 |
| IgA, μg /mg | 11.80 | 15.50 | 13.93 | 10.95 | 15.99 | 1.80 | 0.13 |
| IgM, μg /mg | 6.09 | 7.73 | 6.26 | 6.14 | 7.62 | 0.74 | 0.39 |
| Jejunum | |||||||
| IgG, μg /mg | 6.25 | 6.16 | 6.11 | 5.54 | 5.39 | 0.21 | 0.62 |
| IgA, μg /mg | 15.23 | 15.54 | 14.01 | 12.27 | 13.69 | 0.72 | 0.64 |
| IgM, μg/mg | 5.33 | 5.73 | 5.64 | 4.84 | 5.51 | 1.25 | 0.81 |
| Ileum | |||||||
| IgG, μg /mg | 5.95 | 5.17 | 6.46 | 6.21 | 5.94 | 0.22 | 0.44 |
| IgA, μg /mg | 12.19 | 11.35 | 14.97 | 5.19 | 13.87 | 0.54 | 0.08 |
| IgM, μg /mg | 5.32 | 4.72 | 5.02 | 4.98 | 5.25 | 0.78 | 0.72 |
| Items | Treatments | SEM 1 | p-Value | ||||
|---|---|---|---|---|---|---|---|
| CON | T1 | T2 | T3 | T4 | |||
| Stomach | 3.92 a | 5.76 c | 4.48 b | 4.57 b | 4.88 b | 0.14 | <0.01 |
Disclaimer/Publisher’s Note: The statements, opinions and data contained in all publications are solely those of the individual author(s) and contributor(s) and not of MDPI and/or the editor(s). MDPI and/or the editor(s) disclaim responsibility for any injury to people or property resulting from any ideas, methods, instructions or products referred to in the content. |
© 2024 by the authors. Licensee MDPI, Basel, Switzerland. This article is an open access article distributed under the terms and conditions of the Creative Commons Attribution (CC BY) license (https://creativecommons.org/licenses/by/4.0/).
Share and Cite
Peng, S.; Zhang, N.; Zhang, T.; Zhang, Y.; Dong, S.; Wang, H.; Xu, C.; Wang, C. Effects of Tetrabasic Zinc Chloride on the Diarrhea Rate, Intestinal Morphology, Immune Indices and Microflora of Weaned Piglets. Animals 2024, 14, 737. https://doi.org/10.3390/ani14050737
Peng S, Zhang N, Zhang T, Zhang Y, Dong S, Wang H, Xu C, Wang C. Effects of Tetrabasic Zinc Chloride on the Diarrhea Rate, Intestinal Morphology, Immune Indices and Microflora of Weaned Piglets. Animals. 2024; 14(5):737. https://doi.org/10.3390/ani14050737
Chicago/Turabian StylePeng, Shuyu, Nan Zhang, Tuan Zhang, Yu Zhang, Shuang Dong, Huiyun Wang, Cong Xu, and Chunlin Wang. 2024. "Effects of Tetrabasic Zinc Chloride on the Diarrhea Rate, Intestinal Morphology, Immune Indices and Microflora of Weaned Piglets" Animals 14, no. 5: 737. https://doi.org/10.3390/ani14050737
APA StylePeng, S., Zhang, N., Zhang, T., Zhang, Y., Dong, S., Wang, H., Xu, C., & Wang, C. (2024). Effects of Tetrabasic Zinc Chloride on the Diarrhea Rate, Intestinal Morphology, Immune Indices and Microflora of Weaned Piglets. Animals, 14(5), 737. https://doi.org/10.3390/ani14050737

