Enhancing Weaned Piglet Health and Performance: The Role of Autolyzed Yeast (Saccharomyces cerevisiae) and β-Glucans as a Blood Plasma Alternative in Diets
Abstract
Simple Summary
Abstract
1. Introduction
2. Materials and Methods
2.1. Animal Ethics Statement
2.2. Sources of Autolyzed Yeast, β-Glucans and Blood Plasm
2.3. Experimental Design
2.4. Animals, Experimental Unit and Diets
2.5. Intestinal Permeability Evaluation and Blood Sampling
2.6. Gut Microbiota
2.7. Statistical Analyses
3. Results
3.1. Performance
3.2. Intestinal Health and Blood Parameters
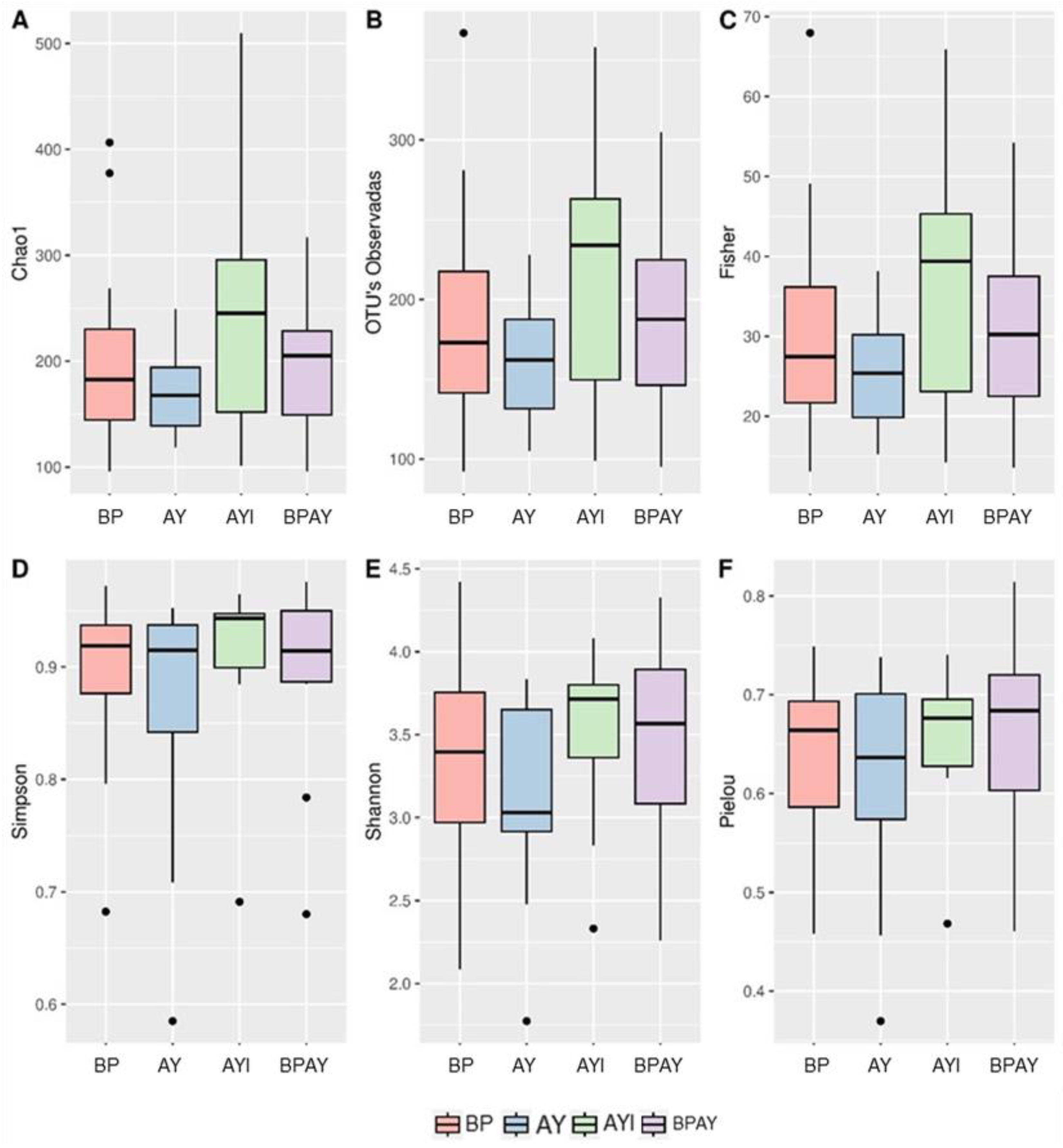
3.3. Gut Microbiota
4. Discussion
4.1. Performance
4.2. Intestinal Health and Blood Parameters
4.3. Gut Microbiota
5. Conclusions
Author Contributions
Funding
Institutional Review Board Statement
Informed Consent Statement
Data Availability Statement
Conflicts of Interest
References
- Jayaraman, B.; Nyachoti, C.M. Husbandry practices and gut health outcomes in weaned piglets: A review. Anim. Nutr. 2017, 3, 205–211. [Google Scholar] [CrossRef]
- Wensley, M.R.; Tokach, M.D.; Woodworth, J.C.; Goodband, R.D.; Gebhardt, J.T.; DeRouchey, J.M.; McKilligan, D. Maintaining continuity of nutrient intake after weaning. II. Review of post-weaning strategies. Transl. Anim. Sci. 2021, 5, txab022. [Google Scholar] [CrossRef]
- Novais, A.K.; Deschêne, K.; Martel-Kennes, Y.; Roy, C.; Laforest, J.-P.; Lessard, M.; Matte, J.J.; Lapointe, J. Weaning differentially affects mitochondrial function, oxidative stress, inflammation and apoptosis in normal and low birth weight piglets. PLoS ONE 2021, 16, e0247188. [Google Scholar] [CrossRef]
- Lallès, J.; Sève, B.; Pié, S.; Blazy, F.; Laffitte, J.; Oswald, I.P. Weaning Is Associated with an Upregulation of Expression of Inflammatory Cytokines in the Intestine of Piglets. J. Nutr. 2004, 134, 641–647. [Google Scholar] [CrossRef]
- De Vos, M.; Che, L.; Huygelen, V.; Willemen, S.; Michiels, J.; Van Cruchten, S.; Van Ginneken, C. Nutritional interventions to prevent and rear low-birthweight piglets. J. Anim. Physiol. Anim. Nutr. 2013, 98, 609–619. [Google Scholar] [CrossRef]
- Devillers, N.; Le Dividich, J.; Prunier, A. Influence of colostrum intake on piglet survival and immunity. Animal 2011, 5, 1605–1612. [Google Scholar] [CrossRef] [PubMed]
- Patil, A.; Kumar, S.; Verma, A.; Baghel, R. Probiotics as Feed Additives in Weaned Pigs: A Review. Livest. Res. Int. 2015, 3, 31–39. [Google Scholar]
- Boontiam, W.; Bunchasak, C.; Kim, Y.Y.; Kitipongpysan, S.; Hong, J. Hydrolyzed Yeast Supplementation to Newly Weaned Piglets: Growth Performance, Gut Health, and Microbial Fermentation. Animals 2022, 12, 350. [Google Scholar] [CrossRef] [PubMed]
- Moeser, A.J.; Pohl, C.S.; Rajput, M. Weaning stress and gastrointestinal barrier development: Implications for lifelong gut health in pigs. Anim. Nutr. 2017, 3, 313–321. [Google Scholar] [CrossRef] [PubMed]
- Blavi, L.; Solà-Oriol, D.; Llonch, P.; López-Vergé, S.; Martín-Orúe, S.M.; Pérez, J.F. Management and Feeding Strategies in Early Life to Increase Piglet Performance and Welfare around Weaning: A Review. Animals 2021, 11, 302. [Google Scholar] [CrossRef] [PubMed]
- Gresse, R.; Chaucheyras-Durand, F.; Fleury, M.A.; Van de Wiele, T.; Forano, E.; Blanquet-Diot, S. Gut Microbiota Dysbiosis in Postweaning Piglets: Understanding the Keys to Health. Trends Microbiol. 2017, 25, 851–873. [Google Scholar] [CrossRef] [PubMed]
- Heo, J.M.; Opapeju, F.O.; Pluske, J.R.; Kim, J.C.; Hampson, D.J.; Nyachoti, C.M. Gastrointestinal health and function in weaned pigs: A review of feeding strategies to control post-weaning diarrhoea without using in-feed antimicrobial compounds. J. Anim. Physiol. Anim. Nutr. 2013, 97, 207–237. [Google Scholar] [CrossRef] [PubMed]
- Liu, Y.; Espinosa, C.D.; Abelilla, J.J.; Casas, G.A.; Lagos, L.V.; Lee, S.A.; Kwon, W.B.; Mathai, J.K.; Navarro, D.M.D.L.; Jaworski, N.W.; et al. Non-antibiotic feed additives in diets for pigs: A review. Anim. Nutr. 2018, 4, 113–125. [Google Scholar] [CrossRef]
- Polo, J.; Opriessnig, T.; O’Neill, K.C.; Rodríguez, C.; Russell, L.E.; Campbell, J.; Crenshaw, J.; Segalés, J.; Pujols, J. Neutralizing antibodies against porcine circovirus type 2 in liquid pooled plasma contribute to the biosafety of commercially manufactured spray-dried porcine plasma1. J. Anim. Sci. 2013, 91, 2192–2198. [Google Scholar] [CrossRef] [PubMed]
- Almeida, F.; Htoo, J.; Thomson, J.; Stein, H. Comparative amino acid digestibility in US blood products fed to weanling pigs. Anim. Feed. Sci. Technol. 2013, 181, 80–86. [Google Scholar] [CrossRef]
- Hansen, J.A.; Nelssen, J.L.; Goodband, R.D.; Weeden, T.L. Evaluation of animal protein supplements in diets of early-weaned pigs2. J. Anim. Sci. 1993, 71, 1853–1862. [Google Scholar] [CrossRef]
- Balan, P.; Staincliffe, M.; Moughan, P.J. Effects of spray-dried animal plasma on the growth performance of weaned piglets—A review. J. Anim. Physiol. Anim. Nutr. 2020, 105, 699–714. [Google Scholar] [CrossRef] [PubMed]
- Pérez-Bosque, A.; Polo, J.; Torrallardona, D. Spray dried plasma as an alternative to antibiotics in piglet feeds, mode of action and biosafety. Porc. Heal. Manag. 2016, 2, 16. [Google Scholar] [CrossRef]
- Saleh, M.A.; Amorim, A.B.; Grecco, H.A.; Berto, D.A.; Padovani, C.R.; Orsi, R.d.O.; Tse, M.L. Effects of β-(1→3,1→6)-d-glucan and density of diets on the blood profiles of immunologically challenged weaned piglets. Int. J. Biol. Macromol. 2015, 80, 659–667. [Google Scholar] [CrossRef]
- Jiang, X.; Agazzi, A.; Awati, A.; Vitari, F.; Bento, H.; Ferrari, A.; Alborali, G.; Crestani, M.; Domeneghini, C.; Bontempo, V. Influence of a blend of essential oils and an enzyme combination on growth performance, microbial counts, ileum microscopic anatomy and the expression of inflammatory mediators in weaned piglets following an Escherichia coli infection. Anim. Feed. Sci. Technol. 2015, 209, 219–229. [Google Scholar] [CrossRef]
- Trckova, M.; Faldyna, M.; Alexa, P.; Zajacova, Z.S.; Gopfert, E.; Kumprechtova, D.; Auclair, E.; D’Inca, R. The effects of live yeast Saccharomyces cerevisiae on postweaning diarrhea, immune response, and growth performance in weaned piglets1,2. J. Anim. Sci. 2014, 92, 767–774. [Google Scholar] [CrossRef]
- Hu, L.; Che, L.; Luo, G.; Su, G.; Fei, H.; Xuan, Y.; Fang, Z.; Lin, Y.; Xu, S.; Yang, W.; et al. Effects of Yeast-Derived Protein vs. Spray-Dried Porcine Plasma Supplementation on Growth Performance, Metabolism and Immune Response of Weanling Piglets. Ital. J. Anim. Sci. 2014, 13, 3154. [Google Scholar] [CrossRef]
- Krüger, D.; van der Werf, M. Benefits of Application of Yeast Cell Walls in Animal Husbandry. Available online: https://www.ohly.com/media/4393/benefits-of-application-of-yeast-cell-walls-in-animal-husbandry.pdf (accessed on 5 February 2024).
- European Parliament. Regulation (EU) 2019/6 of the European Parliament and of the Council; European Parliament: Strasbourg, France, 2019; pp. 1–125.
- European Parliament. Regulation (EC) No. 1831/2003 of the European Parliament and of the Council on Additives for Use in Animal Nutrition; European Parliament: Brussels, Belgium, 2003; pp. 1–15.
- Ruckman, L.; Petry, A.L.; A Gould, S.; Patience, J.F. The impact of porcine spray-dried plasma protein and dried egg protein harvested from hyper-immunized hens, provided in the presence or absence of subtherapeutic levels of antibiotics in the feed, on growth and indicators of intestinal function and physiology of nursery pigs. Transl. Anim. Sci. 2020, 4, txaa095. [Google Scholar] [CrossRef] [PubMed]
- Remus, A.; Andretta, I.; Kipper, M.; Lehnen, C.; Klein, C.; Lovatto, P.; Hauschild, L. A meta-analytical study about the relation of blood plasma addition in diets for piglets in the post-weaning and productive performance variables. Livest. Sci. 2013, 155, 294–300. [Google Scholar] [CrossRef][Green Version]
- Rostagno, H.S.; Albino, L.F.T.; Donzele, J.L.; Gomes, P.C.; de Oliveira, R.F.; Lopes, D.C.; Ferreira, A.S.; Barreto, S.L.T.; Euclides, R. Tabelas Brasileiras Para Suínos e Aves, 4th ed.; UFV, Departamento de Zootecnia: Viçosa, Brazil, 2017; ISBN 978-85-8179-120-3. [Google Scholar]
- Liu, P.; Piao, X.S.; Thacker, P.A.; Zeng, Z.K.; Li, P.F.; Wang, D.; Kim, S.W. Chito-oligosaccharide reduces diarrhea incidence and attenuates the immune response of weaned pigs challenged with Escherichia coli K881. J. Anim. Sci. 2010, 88, 3871–3879. [Google Scholar] [CrossRef] [PubMed]
- Rossi, L.; Turin, L.; Alborali, G.L.; Demartini, E.; Filipe, J.F.S.; Riva, F.; Riccaboni, P.; Scanziani, E.; Trevisi, P.; Dall’ara, P.; et al. Translational Approach to Induce and Evaluate Verocytotoxic E. coli O138 Based Disease in Piglets. Animals 2021, 11, 2415. [Google Scholar] [CrossRef] [PubMed]
- Spiehs, M.J.; Shurson, G.C.; Johnston, L.J. Effects of Two Direct-Fed Microbials on the Ability of Pigs Toresist an Infection with Salmonella Enterica SerovarTyphimurium. Journal of Swine Health and Production 2008, 16, 27–36. [Google Scholar]
- Vicuña, E.A.; Kuttappan, V.A.; Tellez, G.; Hernandez-Velasco, X.; Seeber-Galarza, R.; Latorre, J.D.; Faulkner, O.B.; Wolfenden, A.D.; Hargis, B.M.; Bielke, L.R. Dose titration of FITC-D for optimal measurement of enteric inflammation in broiler chicks. Poult. Sci. 2015, 94, 1353–1359. [Google Scholar] [CrossRef] [PubMed]
- Degnan, P.H.; Ochman, H. Illumina-based analysis of microbial community diversity. ISME J. 2011, 6, 183–194. [Google Scholar] [CrossRef]
- Caporaso, J.G.; Lauber, C.L.; Walters, W.A.; Berg-Lyons, D.; Lozupone, C.A.; Turnbaugh, P.J.; Fierer, N.; Knight, R. Global patterns of 16S rRNA diversity at a depth of millions of sequences per sample. Proc. Natl. Acad. Sci. USA 2011, 108 (Suppl. 1), 4516–4522. [Google Scholar] [CrossRef]
- Caporaso, J.G.; Kuczynski, J.; Stombaugh, J.; Bittinger, K.; Bushman, F.D.; Costello, E.K.; Fierer, N.; Gonzalez Peña, A.; Goodrich, J.K.; Gordon, J.I.; et al. QIIME allows analysis of high-throughput community sequencing data. Nat. Methods 2010, 7, 335–336. [Google Scholar] [CrossRef] [PubMed]
- Parks, D.H.; Chuvochina, M.; Rinke, C.; Mussig, A.J.; Chaumeil, P.-A.; Hugenholtz, P. GTDB: An ongoing census of bacterial and archaeal diversity through a phylogenetically consistent, rank normalized and complete genome-based taxonomy. Nucleic Acids Res. 2021, 50, D785–D794. [Google Scholar] [CrossRef] [PubMed]
- McMurdie, P.J.; Holmes, S. phyloseq: An R package for reproducible interactive analysis and graphics of microbiome census data. PLoS ONE 2013, 8, e61217. [Google Scholar] [CrossRef] [PubMed]
- Oksanen, J. Community Ecology Package 2022. Available online: https://cran.r-project.org/web/packages/vegan/vegan.pdf (accessed on 12 January 2024).
- Lahti, L. Introduction to the Microbiome R Package 2018. Available online: https://bioconductor.org/packages/devel/bioc/vignettes/microbiome/inst/doc/vignette.html (accessed on 12 January 2024).
- Czech, A.; Smolczyk, A.; Grela, E.R.; Kiesz, M. Effect of dietary supplementation with Yarrowia lipolytica or Saccharomyces cerevisiae yeast and probiotic additives on growth performance, basic nutrients digestibility and biochemical blood profile in piglets. J. Anim. Physiol. Anim. Nutr. 2018, 102, 1720–1730. [Google Scholar] [CrossRef] [PubMed]
- de Vries, H.; Geervliet, M.; Jansen, C.A.; Rutten, V.P.M.G.; van Hees, H.; Groothuis, N.; Wells, J.M.; Savelkoul, H.F.J.; Tijhaar, E.; Smidt, H. Impact of Yeast-Derived β-Glucans on the Porcine Gut Microbiota and Immune System in Early Life. Microorganisms 2020, 8, 1573. [Google Scholar] [CrossRef] [PubMed]
- Garcia, G.; Dogi, C.; Poloni, V.; Fochesato, A.; Leblanc, A.D.M.d.; Cossalter, A.; Payros, D.; Oswald, I.; Cavaglieri, L. Beneficial effects of Saccharomyces cerevisiae RC016 in weaned piglets: In Vivo and Ex Vivo analysis. Benef. Microbes 2019, 10, 33–42. [Google Scholar] [CrossRef] [PubMed]
- Ermer, P.M.; Miller, P.S.; Lewis, A.J. Diet preference and meal patterns of weanling pigs offered diets containing either spray-dried porcine plasma or dried skim milk2. J. Anim. Sci. 1994, 72, 1548–1554. [Google Scholar] [CrossRef] [PubMed]
- Torrallardona, D.; Conde, M.R.; Badiola, I.; Polo, J.; Brufau, J. Effect of fishmeal replacement with spray-dried animal plasma and colistin on intestinal structure, intestinal microbiology, and performance of weanling pigs challenged with Escherichia coli K991. J. Anim. Sci. 2003, 81, 1220–1226. [Google Scholar] [CrossRef]
- Shurson, G. Yeast and yeast derivatives in feed additives and ingredients: Sources, characteristics, animal responses, and quantification methods. Anim. Feed. Sci. Technol. 2018, 235, 60–76. [Google Scholar] [CrossRef]
- Pereira, C.M.C.; Donzele, J.L.; Silva, F.C.d.O.; de Oliveira, R.F.M.; Kiefer, C.; Ferreira, A.S.; Hannas, M.I.; Brustolini, P.C. Yeast extract with blood plasma in diets for piglets from 21 to 35 days of age. Rev. Bras. de Zootec. 2012, 41, 1676–1682. [Google Scholar] [CrossRef]
- Li, H.; Zhao, P.; Lei, Y.; Li, T.; Kim, I. Response to an Escherichia coli K88 oral challenge and productivity of weanling pigs receiving a dietary nucleotides supplement. J. Anim. Sci. Biotechnol. 2015, 6, 49. [Google Scholar] [CrossRef]
- Waititu, S.M.; Heo, J.M.; Patterson, R.; Nyachoti, C.M. Dietary yeast-based nucleotides as an alternative to in-feed antibiotics in promoting growth performance and nutrient utilization in weaned pigs. Can. J. Anim. Sci. 2016, 96, 289–293. [Google Scholar] [CrossRef]
- Cruz, A.; Håkenåsen, I.M.; Skugor, A.; Mydland, L.T.; Åkesson, C.P.; Hellestveit, S.S.; Sørby, R.; Press, C.M.; Øverland, M. Candida utilis yeast as a protein source for weaned piglets: Effects on growth performance and digestive function. Livest. Sci. 2019, 226, 31–39. [Google Scholar] [CrossRef]
- Carlson, M.S.; Veum, T.L.; Turk, J.R. Effects of Yeast Extract versus Animal Plasma in Weanling Pig Diets on Growth Performance and Intestinal Morphology. Journal of Swine Health and Production 2005, 13, 204–209. [Google Scholar]
- Qin, L.; Ji, W.; Wang, J.; Li, B.; Hu, J.; Wu, X. Effects of dietary supplementation with yeast glycoprotein on growth performance, intestinal mucosal morphology, immune response and colonic microbiota in weaned piglets. Food Funct. 2019, 10, 2359–2371. [Google Scholar] [CrossRef]
- Sampath, V.; Baek, D.H.; Shanmugam, S.; Kim, I.H. Dietary Inclusion of Blood Plasma with Yeast (Saccharomyces cerevisiae) Supplementation Enhanced the Growth Performance, Nutrient Digestibility, Lactobacillus Count, and Reduced Gas Emissions in Weaning Pigs. Animals 2021, 11, 759. [Google Scholar] [CrossRef] [PubMed]
- Zhang, J.Y.; Park, J.W.; Kim, I.H. Effect of supplementation with brewer’s yeast hydrolysate on growth performance, nutrients digestibility, blood profiles and meat quality in growing to finishing pigs. Asian-Australasian J. Anim. Sci. 2019, 32, 1565–1572. [Google Scholar] [CrossRef] [PubMed]
- dos Santos, J.C.; de Figueiredo, A.M.B.; Silva, M.V.T.; Cirovic, B.; de Bree, L.C.J.; Damen, M.S.; Moorlag, S.J.; Gomes, R.S.; Helsen, M.M.; Oosting, M.; et al. β-Glucan-Induced Trained Immunity Protects against Leishmania braziliensis Infection: A Crucial Role for IL-32. Cell Rep. 2019, 28, 2659–2672.e6. [Google Scholar] [CrossRef] [PubMed]
- Rhouma, M.; Fairbrother, J.M.; Beaudry, F.; Letellier, A. Post weaning diarrhea in pigs: Risk factors and non-colistin-based control strategies. Acta Vet. Scand. 2017, 59, 31. [Google Scholar] [CrossRef] [PubMed]
- Zenhom, M.; Hyder, A.; de Vrese, M.; Heller, K.J.; Roeder, T.; Schrezenmeir, J. Prebiotic Oligosaccharides Reduce Proinflammatory Cytokines in Intestinal Caco-2 Cells via Activation of PPARγ and Peptidoglycan Recognition Protein 31–3. J. Nutr. 2011, 141, 971–977. [Google Scholar] [CrossRef] [PubMed]
- Saccharomyces cerevisiae as a probiotic feed additive to non and pseudo-ruminant feeding: A review. J. Appl. Microbiol. 2019, 128, 658–674. [CrossRef]
- Hu, X.; Gao, Z.; Hu, J.; Wang, W.; Dai, J.; Gong, A.; Wang, X. Effects of yeast hydrolysate versus plasma powder on growth, immunity, and intestinal morphology of weanling piglets. South Afr. J. Anim. Sci. 2023, 53, 117–124. [Google Scholar] [CrossRef]
- Saladrigas-García, M.; D’angelo, M.; Ko, H.L.; Nolis, P.; Ramayo-Caldas, Y.; Folch, J.M.; Llonch, P.; Solà-Oriol, D.; Pérez, J.F.; Martín-Orúe, S.M. Understanding host-microbiota interactions in the commercial piglet around weaning. Sci. Rep. 2021, 11, 1–18. [Google Scholar] [CrossRef] [PubMed]
- Kogan, G.; Kocher, A. Role of yeast cell wall polysaccharides in pig nutrition and health protection. Livest. Sci. 2007, 109, 161–165. [Google Scholar] [CrossRef]
- Camilli, G.; Tabouret, G.; Quintin, J. The Complexity of Fungal β-Glucan in Health and Disease: Effects on the Mononuclear Phagocyte System. Front. Immunol. 2018, 9, 673. [Google Scholar] [CrossRef] [PubMed]
- Jiang, Z.; Wei, S.; Wang, Z.; Zhu, C.; Hu, S.; Zheng, C.; Chen, Z.; Hu, Y.; Wang, L.; Ma, X.; et al. Effects of different forms of yeast Saccharomyces cerevisiae on growth performance, intestinal development, and systemic immunity in early-weaned piglets. J. Anim. Sci. Biotechnol. 2015, 6, 47. [Google Scholar] [CrossRef] [PubMed]
- Perri, A.M.; O’Sullivan, T.L.; Harding, J.C.S.; Friendship, R.M. The use of serum beta-hydroxybutyrate to determine whether nursery pigs selected on the basis of clinical signs are anorexic. Can. Vet. J. 2016, 57, 1143–1148. [Google Scholar] [PubMed]
- Masino, S.A.; Rho, J.M. Mechanisms of Ketogenic Diet Action. In Jasper’s Basic Mechanisms of the Epilepsies; Noebels, J.L., Avoli, M., Rogawski, M.A., Olsen, R.W., Delgado-Escueta, A.V., Eds.; National Center for Biotechnology Information (US): Bethesda, MD, USA, 2012. [Google Scholar]
- Llauradó-Calero, E.; Climent, E.; Chenoll, E.; Ballester, M.; Badiola, I.; Lizardo, R.; Torrallardona, D.; Esteve-Garcia, E.; Tous, N. Influence of dietary n-3 long-chain fatty acids on microbial diversity and composition of sows’ feces, colostrum, milk, and suckling piglets’ feces. Front. Microbiol. 2022, 13, 982712. [Google Scholar] [CrossRef] [PubMed]
- Chen, W.; Yin, C.; Li, J.; Sun, W.; Li, Y.; Wang, C.; Pi, Y.; Cordero, G.; Li, X.; Jiang, X. Stimbiotics Supplementation Promotes Growth Performance by Improving Plasma Immunoglobulin and IGF-1 Levels and Regulating Gut Microbiota Composition in Weaned Piglets. Biology 2023, 12, 441. [Google Scholar] [CrossRef]
- Rhouma, M.; Braley, C.; Thériault, W.; Thibodeau, A.; Quessy, S.; Fravalo, P. Evolution of Pig Fecal Microbiota Composition and Diversity in Response to Enterotoxigenic Escherichia coli Infection and Colistin Treatment in Weaned Piglets. Microorganisms 2021, 9, 1459. [Google Scholar] [CrossRef]
- Gresse, R.; Chaucheyras Durand, F.; Dunière, L.; Blanquet-Diot, S.; Forano, E. Microbiota Composition and Functional Profiling Throughout the Gastrointestinal Tract of Commercial Weaning Piglets. Microorganisms 2019, 7, 343. [Google Scholar] [CrossRef] [PubMed]
- Lee, S.I.; Kim, J.K.; Hancock, J.D.; Kim, I.H. β-glucan from mulberry leaves and curcuma can improve growth performance and nutrient digestibility in early weaned pigs. J. Appl. Anim. Res. 2016, 45, 209–214. [Google Scholar] [CrossRef]
- Petersen, C.; Round, J.L. Defining dysbiosis and its influence on host immunity and disease. Cell. Microbiol. 2014, 16, 1024–1033. [Google Scholar] [CrossRef] [PubMed]
- Shin, N.-R.; Whon, T.W.; Bae, J.-W. Proteobacteria: Microbial signature of dysbiosis in gut microbiota. Trends Biotechnol. 2015, 33, 496–503. [Google Scholar] [CrossRef] [PubMed]
- Rychlik, I. Composition and Function of Chicken Gut Microbiota. Animals 2020, 10, 103. [Google Scholar] [CrossRef] [PubMed]
- Zhong, Y.; Nyman, M.; Fåk, F. Modulation of gut microbiota in rats fed high-fat diets by processing whole-grain barley to barley malt. Mol. Nutr. Food Res. 2015, 59, 2066–2076. [Google Scholar] [CrossRef]
- Feehan, B.; Ran, Q.; Monk, K.; Nagaraja, T.G.; Tokach, M.D.; Amachawadi, R.G.; Lee, S.T.M. High Proportions of Single-Nucleotide Variations Associated with Multidrug Resistance in Swine Gut Microbial Populations. bioRxiv 2022. [CrossRef]
- Wylensek, D.; Hitch, T.C.A.; Riedel, T.; Afrizal, A.; Kumar, N.; Wortmann, E.; Liu, T.; Devendran, S.; Lesker, T.R.; Hernández, S.B.; et al. A collection of bacterial isolates from the pig intestine reveals functional and taxonomic diversity. Nat. Commun. 2020, 11, 6389. [Google Scholar] [CrossRef] [PubMed]
- Zhang, T.; Li, M.; Shi, T.; Yan, Y.; Niyazbekova, Z.; Wang, X.; Li, Z.; Jiang, Y. Transmission of the gut microbiome in cohousing goats and pigs. Front. Microbiol. 2022, 13, 948617. [Google Scholar] [CrossRef]
- Clavel, T.; Lepage, P.; Charrier, C. The family Coriobacteriaceae. In The Prokaryotes: Actinobacteria; Springer: Berlin/Heidelberg, Germany, 2014; pp. 201–238. ISBN 9783642301384. [Google Scholar]
- McCormack, U.M.; Curião, T.; Metzler-Zebeli, B.U.; Magowan, E.; Berry, D.P.; Reyer, H.; Prieto, M.L.; Buzoianu, S.G.; Harrison, M.; Rebeiz, N.; et al. Porcine Feed Efficiency-Associated Intestinal Microbiota and Physiological Traits: Finding Consistent Cross-Locational Biomarkers for Residual Feed Intake. mSystems 2019, 4, e00324-18. [Google Scholar] [CrossRef]
- Twitchell, E.L.; Tin, C.; Wen, K.; Zhang, H.; Becker-Dreps, S.; Azcarate-Peril, M.A.; Vilchez, S.; Li, G.; Ramesh, A.; Weiss, M.; et al. Modeling human enteric dysbiosis and rotavirus immunity in gnotobiotic pigs. Gut Pathog. 2016, 8, 1–18. [Google Scholar] [CrossRef] [PubMed]
- Le Sciellour, M.; Renaudeau, D.; Zemb, O. Longitudinal Analysis of the Microbiota Composition and Enterotypes of Pigs from Post-Weaning to Finishing. Microorganisms 2019, 7, 622. [Google Scholar] [CrossRef] [PubMed]
- Gardiner, G.E.; Metzler-Zebeli, B.U.; Lawlor, P.G. Impact of Intestinal Microbiota on Growth and Feed Efficiency in Pigs: A Review. Microorganisms 2020, 8, 1886. [Google Scholar] [CrossRef] [PubMed]
- Trevisi, P.; Luise, D.; Correa, F.; Bosi, P. Timely Control of Gastrointestinal Eubiosis: A Strategic Pillar of Pig Health. Microorganisms 2021, 9, 313. [Google Scholar] [CrossRef] [PubMed]
- Farnworth, E.R. The Beneficial Health Effects of Fermented Foods-Potential Probiotics Around the World. J. Nutraceuticals, Funct. Med Foods 2005, 4, 93–117. [Google Scholar] [CrossRef]
- Haller, D.; Colbus, H.; Gänzle, M.; Scherenbacher, P.; Bode, C.; Hammes, W. Metabolic and Functional Properties of Lactic Acid Bacteria in the Gastro-intestinal Ecosystem: A comparative in vitro Studybetween Bacteria of Intestinal and Fermented Food Origin. Syst. Appl. Microbiol. 2001, 24, 218–226. [Google Scholar] [CrossRef]
- Ricke, S.C.; Lee, S.I.; Kim, S.A.; Park, S.H.; Shi, Z. Prebiotics and the poultry gastrointestinal tract microbiome. Poult. Sci. 2020, 99, 670–677. [Google Scholar] [CrossRef]
- Khan, S.; Moore, R.J.; Stanley, D.; Chousalkar, K.K. The Gut Microbiota of Laying Hens and Its Manipulation with Prebiotics and Probiotics To Enhance Gut Health and Food Safety. Appl. Environ. Microbiol. 2020, 86, e00600-20. [Google Scholar] [CrossRef]
- Kumar, H.; Na Jang, Y.; Kim, K.; Park, J.; Jung, M.W.; Park, J.-E. Compositional and Functional Characteristics of Swine Slurry Microbes through 16S rRNA Metagenomic Sequencing Approach. Animals 2020, 10, 1372. [Google Scholar] [CrossRef]
- Yi, S.-W.; Lee, H.G.; So, K.-M.; Kim, E.; Jung, Y.-H.; Kim, M.; Jeong, J.Y.; Kim, K.H.; Oem, J.-K.; Hur, T.-Y.; et al. Effect of feeding raw potato starch on the composition dynamics of the piglet intestinal microbiome. Anim. Biosci. 2022, 35, 1698–1710. [Google Scholar] [CrossRef]





| Ingredients (%) | Pre-Starter I | Pre-Starter II | Starter I | Starter II | |||||||||
|---|---|---|---|---|---|---|---|---|---|---|---|---|---|
| BP | AY | AYI | BPAY | BP | AY | AYI | BPAY | BP | AY | AYI | BPAY | ||
| Corn | 45.37 | 40.77 | 40.77 | 43.04 | 42.71 | 39.91 | 39.91 | 41.31 | 50.99 | 49.56 | 49.56 | 50.27 | 62.27 |
| Soybean meal (45%) | 10.50 | 10.50 | 10.50 | 10.50 | 20.00 | 20.00 | 20.00 | 20.00 | 27.05 | 28.03 | 28.03 | 27.54 | 29.32 |
| Pre-cooked corn | 10.00 | 10.00 | 10.00 | 10.00 | 10.00 | 10.00 | 10.00 | 10.00 | 5.00 | 5.00 | 5.00 | 5.00 | - |
| Whey | 14.00 | 14.00 | 14.00 | 14.00 | 12.00 | 12.00 | 12.00 | 12.00 | 7.00 | 7.00 | 7.00 | 7.00 | - |
| Star Pro 3 | 10.00 | 10.00 | 10.00 | 10.00 | 5.00 | 5.00 | 5.00 | 5.00 | 2.50 | 2.50 | 2.50 | 2.50 | - |
| Plasma | 5.00 | - | - | 2.50 | 3.00 | - | - | 1.50 | 1.00 | - | - | 0.50 | - |
| Autolyzed yeast | - | 5.00 | 5.00 | 2.50 | - | 3.00 | 3.00 | 1.50 | - | 1.00 | 1.00 | 0.50 | - |
| Soy oil | 1.07 | 2.00 | 2.00 | 1.56 | 2.27 | 2.86 | 2.86 | 2.57 | - | - | - | - | 3.94 |
| Soy protein concentrate | 0.33 | 3.54 | 3.54 | 1.94 | 1.48 | 3.41 | 3.41 | 2.45 | 2.28 | 2.59 | 2.59 | 2.44 | - |
| Dicalcium phosphate | 0.86 | 1.19 | 1.19 | 1.03 | 0.92 | 1.12 | 1.12 | 1.02 | 1.36 | 1.42 | 1.42 | 1.39 | 1.75 |
| Limestone | 0.22 | 0.01 | 0.01 | 0.11 | 0.63 | 0.50 | 0.50 | 0.56 | 0.63 | 0.58 | 0.58 | 0.60 | 0.85 |
| Immunomodulator | - | - | 0.03 | - | - | - | 0.03 | - | - | - | 0.03 | - | - |
| L-lysine | 0.60 | 0.70 | 0.70 | 0.65 | 0.40 | 0.46 | 0.46 | 0.43 | 0.46 | 0.48 | 0.48 | 0.47 | 0.47 |
| L-threonine | 0.31 | 0.38 | 0.38 | 0.34 | 0.17 | 0.21 | 0.21 | 0.19 | 0.20 | 0.22 | 0.22 | 0.21 | 0.20 |
| DL-methionine | 0.28 | 0.34 | 0.34 | 0.31 | 0.20 | 0.24 | 0.24 | 0.22 | 0.21 | 0.22 | 0.22 | 0.21 | 0.15 |
| L-valine | 0.28 | 0.35 | 0.35 | 0.32 | 0.08 | 0.13 | 0.13 | 0.11 | 0.03 | 0.05 | 0.05 | 0.04 | 0.08 |
| L-tryptophan | 0.05 | 0.10 | 0.10 | 0.08 | 0.02 | 0.05 | 0.05 | 0.03 | 0.04 | 0.05 | 0.05 | 0.04 | 0.03 |
| Adsorbent | 0.15 | 0.15 | 0.15 | 0.15 | 0.15 | 0.15 | 0.15 | 0.15 | 0.15 | 0.15 | 0.15 | 0.15 | 0.15 |
| Salt | 0.32 | 0.32 | 0.32 | 0.32 | 0.32 | 0.32 | 0.32 | 0.32 | 0.44 | 0.50 | 0.50 | 0.47 | 0.53 |
| Banox 4 | 0.01 | 0.01 | 0.01 | 0.01 | 0.01 | 0.01 | 0.01 | 0.01 | 0.01 | 0.01 | 0.01 | 0.01 | 0.01 |
| Zinc oxide | 0.31 | 0.31 | 0.31 | 0.31 | 0.31 | 0.31 | 0.31 | 0.31 | 0.31 | 0.31 | 0.31 | 0.31 | - |
| Copper sulphate | 0.08 | 0.08 | 0.08 | 0.08 | 0.08 | 0.08 | 0.08 | 0.08 | 0.08 | 0.08 | 0.08 | 0.08 | - |
| Vitamin Premix 1 | 0.15 | 0.15 | 0.15 | 0.15 | 0.15 | 0.15 | 0.15 | 0.15 | 0.15 | 0.15 | 0.15 | 0.15 | 0.15 |
| Mineral Premix 2 | 0.10 | 0.10 | 0.10 | 0.10 | 0.10 | 0.10 | 0.10 | 0.10 | 0.10 | 0.10 | 0.10 | 0.10 | 0.10 |
| Nutrients | |||||||||||||
| Metabolic energy (kcal/kg) | 3550 | 3547 | 3547 | 3550 | 3460 | 3460 | 3460 | 3460 | 3350 | 3350 | 3350 | 3350 | 3350 |
| Protein, % | 18.50 | 18.50 | 18.50 | 18.50 | 20.00 | 20.00 | 20.00 | 20.00 | 20.00 | 20.00 | 20.00 | 20.00 | 19.45 |
| Fat, % | 3.15 | 3.99 | 3.99 | 3.59 | 4.32 | 4.85 | 4.85 | 4.58 | 4.55 | 4.84 | 4.84 | 4.69 | 6.46 |
| Crude fiber, % | 1.68 | 1.87 | 1.87 | 1.77 | 2.24 | 2.35 | 2.35 | 2.29 | 2.68 | 2.74 | 2.74 | 2.71 | 2.95 |
| Calcium, % | 0.53 | 0.53 | 0.53 | 0.53 | 0.68 | 0.68 | 0.68 | 0.68 | 0.75 | 0.75 | 0.75 | 0.75 | 0.87 |
| Total phosphorus, % | 0.57 | 0.65 | 0.65 | 0.61 | 0.57 | 0.62 | 0.62 | 0.60 | 0.62 | 0.63 | 0.63 | 0.63 | - |
| Available phosphorus, % | 0.44 | 0.44 | 0.44 | 0.44 | 0.40 | 0.40 | 0.40 | 0.40 | 0.42 | 0.42 | 0.42 | 0.42 | 0.43 |
| Lysine dig, % | 1.44 | 1.44 | 1.44 | 1.44 | 1.33 | 1.33 | 1.33 | 1.33 | 1.30 | 1.30 | 1.30 | 1.30 | 1.21 |
| Methionine (Met) dig, % | 0.52 | 0.60 | 0.60 | 0.56 | 0.49 | 0.54 | 0.54 | 0.52 | 0.51 | 0.53 | 0.53 | 0.52 | - |
| Met+ cysteine dig, % | 0.85 | 0.85 | 0.85 | 0.85 | 0.47 | 0.52 | 0.52 | 0.49 | 0.48 | 0.50 | 0.50 | 0.49 | 0.69 |
| Threonine dig, % | 0.94 | 0.94 | 0.94 | 0.94 | 0.79 | 0.79 | 0.79 | 0.79 | 0.77 | 0.77 | 0.77 | 0.77 | 0.78 |
| Tryptophan dig, % | 0.25 | 0.25 | 0.25 | 0.25 | 0.85 | 0.85 | 0.85 | 0.85 | 0.84 | 0.84 | 0.84 | 0.84 | 0.23 |
| Valine dig, % | 0.99 | 0.99 | 0.99 | 0.99 | 0.24 | 0.24 | 0.24 | 0.24 | 0.25 | 0.25 | 0.25 | 0.25 | 0.83 |
| Sodium, % | 0.42 | 0.31 | 0.31 | 0.37 | 0.89 | 0.89 | 0.89 | 0.89 | 0.81 | 0.81 | 0.81 | 0.81 | 0.25 |
| Zinc, % | 0.25 | 0.25 | 0.25 | 0.25 | 0.34 | 0.28 | 0.28 | 0.31 | 0.30 | 0.30 | 0.30 | 0.30 | - |
| Copper, % | 0.02 | 0.02 | 0.02 | 0.02 | 0.25 | 0.25 | 0.25 | 0.25 | 3.35 | 3.35 | 3.35 | 3.35 | - |
| Parameters | Treatments | CV (%) | p-Value | |||
|---|---|---|---|---|---|---|
| BP | AY | AYI | BPAY | |||
| Pre-Starter I (21–28 days) | ||||||
| LW21d (kg) | 5.246 | 5.248 | 5.243 | 5.249 | 15.6 | 0.9664 |
| DWG (kg/day) | 0.165 | 0.127 | 0.141 | 0.165 | 26.6 | 0.1123 |
| DFI (kg/day) | 0.228 a | 0.174 b | 0.188 b | 0.219 ab | 24.4 | 0.0854 |
| FCR | 1.342 | 1.320 | 1.341 | 1.333 | 7.9 | 0.7458 |
| Pre-Starter II (29–35 days) | ||||||
| LW29d (kg) | 6.404 | 6.139 | 6.233 | 6.402 | 14.9 | 0.9054 |
| DWG (kg/day) | 0.278 | 0.291 | 0.290 | 0.289 | 12.3 | 0.8125 |
| DFI (kg/day) | 0.423 | 0.396 | 0.398 | 0.417 | 15.0 | 0.8456 |
| FCR | 1.484 a | 1.358 b | 1.379 ab | 1.442 ab | 8.7 | 0.0152 |
| Starter I (36–42 days) | ||||||
| LW36d (kg) | 8.352 | 8.178 | 8.265 | 8.423 | 13.5 | 0.9857 |
| DWG (kg/day) | 0.387 | 0.374 | 0.402 | 0.378 | 12.6 | 0.4189 |
| DFI (kg/day) | 0.648 | 0.600 | 0.629 | 0.635 | 12.1 | 0.78247 |
| FCR | 1.617 | 1.606 | 1.574 | 1.692 | 9.3 | 0.1645 |
| Pre-Starter I e II, Starter I (21–42 days) | ||||||
| DWG (kg/day) | 0.284 | 0.264 | 0.278 | 0.277 | 12.2 | 0.9412 |
| DFI (kg/day) | 0.433 | 0.390 | 0.405 | 0.424 | 13.8 | 0.4987 |
| FCR | 1.529 b | 1.475 a | 1.458 a | 1.528 ab | 5.9 | 0.0540 |
| Starter II (42–63 days) | ||||||
| LW43d (kg) | 11.204 | 10.793 | 11.078 | 11.068 | 12.5 | 0.9147 |
| DWG (kg/day) | 0.570 | 0.560 | 0.569 | 0.584 | 12.2 | 0.9206 |
| DFI (kg/day) | 0.907 | 0.880 | 0.905 | 0.908 | 11.7 | 0.9546 |
| FCR | 1.594 | 1.575 | 1.575 | 1.556 | 3.4 | 0.5236 |
| LW63d (kg) | 23.238 | 22.607 | 23.028 | 23.327 | 11.7 | 0.9036 |
| Total (21–63 days) | ||||||
| DWG (kg/day) | 0.427 | 0.412 | 0.423 | 0.430 | 11.3 | 0.8547 |
| DFI (kg/day) | 0.670 | 0.635 | 0.655 | 0.666 | 11.8 | 0.8812 |
| FCR | 1.571 | 1.541 | 1.549 | 1.546 | 3.2 | 0.1250 |
| Treatments | CV (%) | p-Value | ||||
|---|---|---|---|---|---|---|
| BP | AY | AYI | BPAY | |||
| IFN-α (pg/mL) | 1.243 ab | 3.124 a | 1.234 b | 1.672 ab | 137.1 | 0.0612 |
| IFN-γ (pg/mL) | 2.478 | 2.478 | 2.478 | 2.478 | 0.0 | 1.0000 |
| IL-10 (pg/mL) | 2.976 b | 6.453 ab | 4.212 ab | 8.280 a | 92.8 | 0.0723 |
| IL-1β (pg/mL) | 4.638 | 5.466 | 6.841 | 2.802 | 154.3 | 0.7521 |
| IL-4 (pg/mL) | 1.631 | 1.902 | 1.903 | 0.786 | 137.3 | 0.2014 |
| IL-6 (pg/mL) | 24.713 | 81.630 | 49.296 | 22.498 | 190.7 | 0.9523 |
| IL-8 (pg/mL) | 86.868 | 104.739 | 86.601 | 129.692 | 71.2 | 0.2874 |
| TNF-α (pg/mL) | 6.741 | 14.843 | 3.434 | 13.386 | 164.3 | 0.1289 |
| IL-12p40 (pg/mL) | 450.860 | 466.762 | 573.447 | 499.656 | 51.7 | 0.4920 |
| FITC-dextran (μg/mL) | 0.3980 | 0.3646 | 0.3731 | 0.3840 | 20.5 | 0.3741 |
| Treatments | p-Value | ||||
|---|---|---|---|---|---|
| BP | AY | AYI | BPAY | ||
| Diarrhea | |||||
| Score 2 (n) | 2 | 3 | 1 | 3 | 0.5600 |
| Score 3 (n) | 9 | 9 | 2 | 8 | 0.1401 |
| Score 2 + 3 (n) | 11 a | 12 a | 3 b | 11 a | 0.0816 |
| Diarrhea index | 0.183 | 0.200 | 0.050 | 0.183 | - |
| Thinness | |||||
| Score 1 (n) | 2 | 4 | 5 | 5 | 0.6593 |
| Score 2 (n) | 2 | 1 | 2 | 0 | 0.5246 |
| Score 1 + 2 (n) | 4 | 5 | 7 | 5 | 0.8043 |
| Thinness index | 0.066 | 0.083 | 0.116 | 0.083 | - |
| Medicines | |||||
| Medicated (n) | 7 | 2 | 3 | 2 | 0.1621 |
| Medications (n) | 17 a | 3 c | 8 b | 2 c | 0.0001 |
| Parameters | Treatments | CV (%) | p-Value | |||
|---|---|---|---|---|---|---|
| BP | AY | AYI | BPAY | |||
| 1st collection (35 days old) | ||||||
| Glucose mg/dL | 127.67 | 142.25 | 123.25 | 132.42 | 25.9 | 0.8804 |
| Triglycerides mg/dL | 41.17 b | 73.83 a | 69.92 ab | 69.58 ab | 56.0 | 0.0400 |
| Cholesterol mg/dL | 85.33 | 81.00 | 75.33 | 86.75 | 26.6 | 0.6467 |
| Insulin pmol/L | 28.58 | 35.92 | 23.54 | 18.10 | 67.2 | 0.1692 |
| Leptin pg/mL | 3976.98 | 2752.54 | 1800.32 | 2078.72 | 151.5 | 0.4530 |
| NEFA | 0.68 | 0.44 | 0.44 | 0.39 | 79.6 | 0.5424 |
| BHB ng/μL | 117.50 a | 79.96 b | 103.36 ab | 84.67 b | 32.0 | 0.0072 |
| 2nd collection (49 days old) | ||||||
| Glucose mg/dL | 103.82 b | 112.52 ab | 142.41 a | 131.89 ab | 27.5 | 0.0878 |
| Triglycerides mg/dL | 65.19 | 86.64 | 77.15 | 79.56 | 40.2 | 0.4760 |
| Cholesterol mg/dL | 112.01 | 101.07 | 94.66 | 108.95 | 32.4 | 0.5894 |
| Insulin pmol/L | 69.32 | 75.78 | 87.21 | 62.64 | 59.5 | 0.8603 |
| Leptin pg/mL | 203.42 | 209.60 | 90.83 | 124.76 | 112.6 | 0.3254 |
| NEFA | 0.65 | 0.62 | 0.72 | 0.53 | 51.7 | 0.8120 |
| BHB ng/μL | 34.70 | 39.18 | 26.14 | 40.50 | 68.3 | 0.5187 |
Disclaimer/Publisher’s Note: The statements, opinions and data contained in all publications are solely those of the individual author(s) and contributor(s) and not of MDPI and/or the editor(s). MDPI and/or the editor(s) disclaim responsibility for any injury to people or property resulting from any ideas, methods, instructions or products referred to in the content. |
© 2024 by the authors. Licensee MDPI, Basel, Switzerland. This article is an open access article distributed under the terms and conditions of the Creative Commons Attribution (CC BY) license (https://creativecommons.org/licenses/by/4.0/).
Share and Cite
Barducci, R.S.; Santos, A.A.D.; Pacheco, L.G.; Putarov, T.C.; Koch, J.F.A.; Callegari, M.A.; Dias, C.P.; de Carvalho, R.H.; da Silva, C.A. Enhancing Weaned Piglet Health and Performance: The Role of Autolyzed Yeast (Saccharomyces cerevisiae) and β-Glucans as a Blood Plasma Alternative in Diets. Animals 2024, 14, 631. https://doi.org/10.3390/ani14040631
Barducci RS, Santos AAD, Pacheco LG, Putarov TC, Koch JFA, Callegari MA, Dias CP, de Carvalho RH, da Silva CA. Enhancing Weaned Piglet Health and Performance: The Role of Autolyzed Yeast (Saccharomyces cerevisiae) and β-Glucans as a Blood Plasma Alternative in Diets. Animals. 2024; 14(4):631. https://doi.org/10.3390/ani14040631
Chicago/Turabian StyleBarducci, Robson Sfaciotti, Anderson Aparecido Dias Santos, Leticia Graziele Pacheco, Thaila Cristina Putarov, João Fernando Albers Koch, Marco Aurélio Callegari, Cleandro Pazinato Dias, Rafael Humberto de Carvalho, and Caio Abércio da Silva. 2024. "Enhancing Weaned Piglet Health and Performance: The Role of Autolyzed Yeast (Saccharomyces cerevisiae) and β-Glucans as a Blood Plasma Alternative in Diets" Animals 14, no. 4: 631. https://doi.org/10.3390/ani14040631
APA StyleBarducci, R. S., Santos, A. A. D., Pacheco, L. G., Putarov, T. C., Koch, J. F. A., Callegari, M. A., Dias, C. P., de Carvalho, R. H., & da Silva, C. A. (2024). Enhancing Weaned Piglet Health and Performance: The Role of Autolyzed Yeast (Saccharomyces cerevisiae) and β-Glucans as a Blood Plasma Alternative in Diets. Animals, 14(4), 631. https://doi.org/10.3390/ani14040631

