The Reproductive Biology of Puye (Galaxias maculatus) under Experimental Culture
Abstract
Simple Summary
Abstract
1. Introduction
2. Materials and Methods
2.1. Fish Maintenance and Handling
2.2. Fish Performance
2.3. Gonadosomatic Index (GSI)
2.4. Sexual Maturity Stages
2.5. Spawning Period and Spawning Frequency Determination
2.6. Fecundity Estimation
2.7. Statistical Analysis
3. Results
3.1. Fish Performance
3.2. Gonadosomatic Index (GSI)
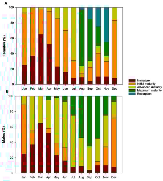
3.3. Sexual Maturity Stages
3.4. Spawning Period and Frequency
3.5. Fecundity
4. Discussion
5. Conclusions
Supplementary Materials
Author Contributions
Funding
Institutional Review Board Statement
Informed Consent Statement
Data Availability Statement
Acknowledgments
Conflicts of Interest
References
- Wansbrough, J.; Lokman, P.M.; Closs, G.P. Local Variation in the Timing of Reproduction and Recruitment in a Widely Distributed Diadromous Fish. N. Z. J. Mar. Freshw. Res. 2023, 1–17. [Google Scholar] [CrossRef]
- Boy, C.C.; Morriconi, E.; Calvo, J. Reproduction in Puyen, Galaxias Maculatus (Pisces: Galaxiidae), in the Southernmost Extreme of Distribution. J. Appl. Ichthyol. 2007, 23, 547–554. [Google Scholar] [CrossRef]
- Campos, H. Galaxias maculatus (Jenys) En Chile, Con Especial Referencia a Su Reproducción. Bol. Mus. Nac. Hist. Nat. Santiago 1970, 31, 5–20. [Google Scholar]
- Peredo, S.; Sobarzo, C. Ciclo Reproductivo Del Puye. Bol. Soc. Biol. Concepción 1994, 65, 65–70. [Google Scholar]
- Pollard, D. The Biology of a Landlocked Form of the Normally Catadromous Salmoniform Fish Galaxias maculatus (Jenyns). Mar. Freshw. Res. 1971, 22, 91–123. [Google Scholar] [CrossRef]
- Laurenson, L.J.B.; French, R.P.; Jones, P.; Ierodiaconou, D.; Gray, S.; Versace, V.L.; Rattray, A.; Brown, S.; Monk, J. Aspects of the Biology of Galaxias maculatus. J. Fish Biol. 2012, 81, 1085–1100. [Google Scholar] [CrossRef]
- Fierro, P.; Valdovinos, C.; Arismendi, I.; Díaz, G.; Ruiz De Gamboa, M.; Arriagada, L. Assessment of Anthropogenic Threats to Chilean Mediterranean Freshwater Ecosystems: Literature Review and Expert Opinions. Environ. Impact Assess. Rev. 2019, 77, 114–121. [Google Scholar] [CrossRef]
- Mardones, A.; Vega, R.; Encina, F. Cultivation of Whitebait (Galaxias maculatus) in Chile. Aquac. Res. 2008, 39, 731–737. [Google Scholar] [CrossRef]
- Campos, H.; Dazarola, G.; Dyer, B.; Fuentes, L.; Gavilalán, J.; Huaquín, L.; Martínez, G.; Meléndez, R.; Pequeño, G.; Ponce, F.; et al. Categorías de Conservación de Peces Nativos de Aguas Continentales de Chile. Bol. Mus. Nac. Hist. Nat. 1998, 47, 101–122. [Google Scholar] [CrossRef]
- Sernapesca. Available online: http://www.sernapesca.cl/informacion-utilidad/anuarios-estadisticos-de-pesca-y-acuicultura (accessed on 1 November 2023).
- Vega, R. Contribucion Al Cultivo de Los Peces Chilenos Galaxias maculatus (Jenyns, 1842) y Genypterus chilensis (Guichenot, 1848). Doctoral Dissertation, Universidad de Las Palmas de Gran Canaria, Las Palmas, Spain, December 2013. [Google Scholar]
- Milano, D.; Rechencq, M.; Lippolt, G.E.; Vigliano, P.H. The Effect of Climate Change on Galaxias maculatus Thermal Habitat Availability in Northern Andean Patagonian Lakes. Freshw. Biol. 2021, 66, 2210–2222. [Google Scholar] [CrossRef]
- Hickford, M.J.H.; Schiel, D.R. Population Sinks Resulting from Degraded Habitats of an Obligate Life-History Pathway. Oecologia 2011, 166, 131–140. [Google Scholar] [CrossRef] [PubMed]
- Boy, C.C.; Pérez, A.F.; Tagliaferro, M.; Lattuca, M.E.; Gutiérrez, M.; Vanella, F.A. Exploring Bioenergetics of Diadromous Galaxias maculatus in the Southernmost Extreme of Its Distribution: Summer Is Not Always the Better Season. J. Exp. Mar. Bio. Ecol. 2017, 488, 102–110. [Google Scholar] [CrossRef]
- Boy, C.C.; Pérez, A.F.; Lattuca, M.E.; Calvo, J.; Morriconi, E. Reproductive Biology of Galaxias maculatus (Jenyns 1842) in the Río Ovando, a High-Latitude Environment in Southernmost Patagonia, Argentina. J. Appl. Ichthyol. 2009, 25, 661–668. [Google Scholar] [CrossRef]
- Encina-Montoya, F.; Vega-Aguayo, R.; Mardones-Lazcano, A.; Rueda, T.; Tello, A. Characterization of Whitebait (Galaxias maculatus) Respiratory Rates to Optimize Intensive Culture Carrying Capacities. Aquac. Res. 2011, 42, 835–843. [Google Scholar] [CrossRef]
- Barile, J.; Escudero, M.; Carreño, E. Combined Effect of Temperature and Salinity on Embryonic Survival of Galaxias maculatus. Rev. Biol. Mar. Oceanogr. 2013, 48, 641–645. [Google Scholar] [CrossRef]
- Marín, S.L.; Carvajal, J.; Manríquez, A.; Mancilla, M. Effects of Experimental Infection by Caligus rogercresseyi (Copepoda: Caligidae) on the Common Jollytail, Galaxias maculatus (Osmeriforme: Galaxiidae) (Jenyns, 1842) in Chile. Aquaculture 2009, 295, 138–141. [Google Scholar] [CrossRef]
- McRae, N.K.; Gaw, S.; Glover, C.N. Mechanisms of Zinc Toxicity in the Galaxiid Fish, Galaxias maculatus. Comp. Biochem. Physiol. Part C Toxicol. Pharmacol. 2016, 179, 184–190. [Google Scholar] [CrossRef]
- Benzie, V. Some Ecological Aspects of the Spawning Behaviour and Early Development of the Common Whitebait. Proc. N. Z. Ecol. Soc. 1968, 15, 31–39. [Google Scholar]
- Hickford, M.J.H.; Cagnon, M.; Schiel, D.R. Predation, Vegetation and Habitat-Specific Survival of Terrestrial Eggs of a Diadromous Fish, Galaxias maculatus (Jenyns, 1842). J. Exp. Mar. Bio. Ecol. 2010, 385, 66–72. [Google Scholar] [CrossRef]
- Koster, W.M.; Dawson, D.; Pomorin, K.; Morrongiello, J.R. Downstream Migration of Telemetry-Tagged Adult Common Galaxias. Mar. Freshw. Res. 2023, 74, 164–171. [Google Scholar] [CrossRef]
- Pacicco, A.E.; Brown-peterson, N.J.; Murie, D.J.; Allman, R.J.; Snodgrass, D.; Franks, J.S. Reproductive Biology of Yellowfin Tuna (Thunnus albacares) in the Northcentral U.S. Gulf of Mexico. Fish. Res. 2023, 261, 106620. [Google Scholar] [CrossRef]
- McDowall, R.M.; Mitchell, C.P.; Brothers, E.B. Age at Migration from the Sea of Juvenile Galaxias in New Zealand (Pisces: Galaxiidae). Bull. Mar. Sci. 1994, 54, 385–402. [Google Scholar]
- Stevens, J.C.B.; Hickford, M.J.H.; Schiel, D.R. Evidence of Iteroparity in the Widely Distributed Diadromous Fish Inanga Galaxias maculatus and Potential Implications for Reproductive Output. J. Fish Biol. 2016, 89, 1931–1946. [Google Scholar] [CrossRef] [PubMed]
- Ruzzante, D.E. Domestication Effects on Aggressive and Schooling Behavior in Fish. Aquaculture 1994, 120, 1–24. [Google Scholar] [CrossRef]
- Palińska-Żarska, K.; Król, J.; Woźny, M.; Kamaszewski, M.; Szudrowicz, H.; Wiechetek, W.; Brzuzan, P.; Fopp-Bayat, D.; Żarski, D. Domestication Affected Stress and Immune Response Markers in Perca fluviatilis in the Early Larval Stage. Fish Shellfish Immunol. 2021, 114, 184–198. [Google Scholar] [CrossRef]
- Rojo, J.H.; Boy, C.C. Life-History Traits in the Southernmost Landlocked Population of the Fish Galaxias maculatus. Polar Biol. 2022, 45, 1093–1103. [Google Scholar] [CrossRef]
- Mitchell, C.P. Laboratory Culture of Galaxias maculatus and Potential Applications. N. Z. J. Mar. Freshw. Res. 1989, 23, 325–336. [Google Scholar] [CrossRef]
- Milla, S.; Pasquet, A.; El Mohajer, L.; Fontaine, P. How Domestication Alters Fish Phenotypes. Rev. Aquac. 2021, 13, 388–405. [Google Scholar] [CrossRef]
- Jørgensen, C.; Holt, R.E. Natural Mortality: Its Ecology, How It Shapes Fish Life Histories, and Why It May Be Increased by Fishing. J. Sea Res. 2013, 75, 8–18. [Google Scholar] [CrossRef]
- Jørgensen, C.; Fiksen, Ø. Modelling Fishing-Induced Adaptations and Consequences for Natural Mortality. Can. J. Fish. Aquat. Sci. 2010, 67, 1086–1097. [Google Scholar] [CrossRef]
- Finstad, A.G.; Ugedal, O.; Forseth, T.; Næsje, T.F. Energy-Related Juvenile Winter Mortality in a Northern Population of Atlantic Salmon (Salmo salar). Can. J. Fish. Aquat. Sci. 2004, 61, 2358–2368. [Google Scholar] [CrossRef]
- Boy, C.C.; Rojo, J.H.; Fraysse, C.P.; Odetto, A.; Aureliano, D.R.; Pérez, A.F. Reproductive Traits in the Southernmost Landlocked Population of the Fish Galaxias maculatus. Hydrobiologia 2023, 25, 1–12. [Google Scholar] [CrossRef]
- Zattara, E.E.; Premoli, A.C. Genetic Structuring in Andean Landlocked Populations of Galaxias maculatus: Effects of Biogeographic History. J. Biogeogr. 2005, 32, 5–14. [Google Scholar] [CrossRef]
- Carrea, C.; Cussac, V.E.; Ruzzante, D.E. Genetic and Phenotypic Variation among Galaxias maculatus Populations Reflects Contrasting Landscape Effects between Northern and Southern Patagonia. Freshw. Biol. 2013, 58, 36–49. [Google Scholar] [CrossRef]
- Rojo, J.H.; Fernández, D.A.; Figueroa, D.E.; Boy, C.C. Phenotypic and Genetic Differentiation between Diadromous and Landlocked Puyen Galaxias maculatus. J. Fish Biol. 2020, 96, 956–967. [Google Scholar] [CrossRef] [PubMed]
- Chapman, A.; Morgan, D.L.; Gill, H.S. Description of the Larval Development of Galaxias Maculates in Landlocked Lentic and Lotic Systems in Western Australia. N. Z. J. Mar. Freshw. Res. 2009, 43, 563–569. [Google Scholar] [CrossRef]
- Gillanders, B.; Izzo, C.; Doubleday, Z.A.; Ye, Q. Partial Migration: Growth Varies between Resident and Migratory Fish. Biol. Lett. 2015, 11, 20140850. [Google Scholar] [CrossRef] [PubMed]
- Svanbäck, R.; Eklöv, P. Effects of Habitat and Food Resources on Morphology and Ontogenetic Growth Trajectories in Perch. Oecologia 2002, 131, 61–70. [Google Scholar] [CrossRef]
- Ndandala, C.B.; Dai, M.; Mustapha, U.F.; Li, X.; Liu, J.; Huang, H.; Li, G.; Chen, H. Current Research and Future Perspectives of GH and IGFs Family Genes in Somatic Growth and Reproduction of Teleost Fish. Aquac. Rep. 2022, 26, 101289. [Google Scholar] [CrossRef]
- Massou, A.M.; Panfili, J.; Le Bail, P.Y.; Laë, R.; Mikolasek, O.; Fontenelle, G.; Baroiller, J.F. Evidence of Perturbations Induced by Reproduction on Somatic Growth and Microincrement Deposition in Oreochromis niloticus Otoliths. J. Fish Biol. 2004, 64, 380–398. [Google Scholar] [CrossRef]
- Love, M. (Ed.) The Chemical Biology of Fishes; Academic Press: London, UK; New York, NY, USA, 1970; ISBN 12-455850-X. [Google Scholar]
- Mylonas, C.C.; Fostier, A.; Zanuy, S. Broodstock Management and Hormonal Manipulations of Fish Reproduction. Gen. Comp. Endocrinol. 2010, 165, 516–534. [Google Scholar] [CrossRef] [PubMed]
- Medina-Robles, V.M.; Sandoval-Vargas, L.Y.; Guaje-Ramírez, D.; Marín-Cossio, L.C.; Valdebenito Isler, I.; Cruz-Casallas, P.E. Cryopreservation of Coporo (Prochilodus mariae) Milt Using Three Permeating Cryoprotectant Agents and Two Freezing Systems. Aquac. Res. 2021, 52, 6760–6769. [Google Scholar] [CrossRef]
- Ferriz, R.A. Biología Del Puyen “Galaxias maculatus” (Jenyns) (Teleostomi, Galaxiidae) en un embalse norpatagonico. Lat. Am. J. Aquat. Res. 1987, 6, 29–38. [Google Scholar]
- Smalås, A.; Amundsen, P.A.; Knudsen, R. The Trade-off between Fecundity and Egg Size in a Polymorphic Population of Arctic Charr (Salvelinus alpinus (L.)) in Skogsfjordvatn, Subarctic Norway. Ecol. Evol. 2017, 7, 2018–2024. [Google Scholar] [CrossRef] [PubMed]
- Reid, J.E.; Chaput, G. Spawning History Influence on Fecundity, Egg Size, and Egg Survival of Atlantic Salmon (Salmo salar) from the Miramichi River, New Brunswick, Canada. ICES J. Mar. Sci. 2012, 69, 1678–1685. [Google Scholar] [CrossRef]
- Torsabo, D.; Ishak, S.D.; Noordin, N.M.; Koh, I.C.C.; Abduh, M.Y.; Iber, B.T.; Kuah, M.K.; Abol-Munafi, A.B. Enhancing Reproductive Performance of Freshwater Finfish Species through Dietary Lipids. Aquac. Nutr. 2022, 2022, 7138012. [Google Scholar] [CrossRef]
- El-Sayed, S.E.; Taeleb, A.A.; Arafa, S.Z.; Ali, S.S.; Abou Shafeey, H.E. Ultrastructural Study of the Ovary and Oogenesis of Polyonchobothrium Clarias Woodland, 1925 (Cestoda: Bothriocephalidea) Infecting Clarias Gariepinus from Egypt. Egypt. J. Aquat. Biol. Fish. 2019, 23, 313–325. [Google Scholar] [CrossRef][Green Version]
- Hernandez de-Dios, M.A.; Tovar-Ramírez, D.; Maldonado García, D.; Galaviz-Espinoza, M.A.; Spanopoulos Zarco, M.; Maldonado-García, M.C. Functional Additives as a Boost to Reproductive Performance in Marine Fish: A Review. Fishes 2022, 7, 262. [Google Scholar] [CrossRef]
- Watson, A.S.; Hickford, M.J.H.; Schiel, D.R. Closing the Life-History Loop: Density Effects on Fecundity and Egg Size of an Exploited, Amphidromous Fish (Galaxias maculatus) in Freshwater Protected Areas. Freshw. Biol. 2023, 68, 1136–1147. [Google Scholar] [CrossRef]
- Izquierdo, M.S. Effect of Broodstock Nutrition on Reproductive Performance of Fish. Aquaculture 2001, 197, 25–42. [Google Scholar] [CrossRef]






| Sexual Maturity Stage | GSI (%) | |||||||
|---|---|---|---|---|---|---|---|---|
| n | Males | n | Females | |||||
| Mean ± SD | Minimum | Maximum | Mean ± SD | Minimum | Maximum | |||
| Virginal | 50 | 0.91 ± 0.46 | 0.09 | 1.83 | 50 | 0.91 ± 0.46 | 0.09 | 1.83 |
| Initial maturity | 40 | 1.10 ± 1.62 | 1.12 | 5.42 | 50 | 4.00 ± 1.40 | 2.07 | 6.86 |
| Advanced maturity | 40 | 3.00 ± 1.03 | 3.21 | 7.23 | 30 | 9.90 ± 1.60 | 7.22 | 12.56 |
| Maximum maturity | 32 | 9.70 ± 2.12 | 4.22 | 10.56 | 46 | 17.70 ±2.92 | 13.03 | 25.16 |
Disclaimer/Publisher’s Note: The statements, opinions and data contained in all publications are solely those of the individual author(s) and contributor(s) and not of MDPI and/or the editor(s). MDPI and/or the editor(s) disclaim responsibility for any injury to people or property resulting from any ideas, methods, instructions or products referred to in the content. |
© 2024 by the authors. Licensee MDPI, Basel, Switzerland. This article is an open access article distributed under the terms and conditions of the Creative Commons Attribution (CC BY) license (https://creativecommons.org/licenses/by/4.0/).
Share and Cite
Sandoval-Vargas, L.; Pérez-Atehortúa, M.; Figueroa Villalobos, E.; Zamorano, J.; Valdebenito, I. The Reproductive Biology of Puye (Galaxias maculatus) under Experimental Culture. Animals 2024, 14, 320. https://doi.org/10.3390/ani14020320
Sandoval-Vargas L, Pérez-Atehortúa M, Figueroa Villalobos E, Zamorano J, Valdebenito I. The Reproductive Biology of Puye (Galaxias maculatus) under Experimental Culture. Animals. 2024; 14(2):320. https://doi.org/10.3390/ani14020320
Chicago/Turabian StyleSandoval-Vargas, Leydy, Maritza Pérez-Atehortúa, Elías Figueroa Villalobos, José Zamorano, and Iván Valdebenito. 2024. "The Reproductive Biology of Puye (Galaxias maculatus) under Experimental Culture" Animals 14, no. 2: 320. https://doi.org/10.3390/ani14020320
APA StyleSandoval-Vargas, L., Pérez-Atehortúa, M., Figueroa Villalobos, E., Zamorano, J., & Valdebenito, I. (2024). The Reproductive Biology of Puye (Galaxias maculatus) under Experimental Culture. Animals, 14(2), 320. https://doi.org/10.3390/ani14020320

