Species Differences and Tissue Distribution of Heavy Metal Residues in Wild Birds
Abstract
Simple Summary
Abstract
1. Introduction
2. Materials and Methods
2.1. Study Site and Sample Collection
2.2. Sample Preparation and Heavy Metal Determination
2.3. Assessment and Quality Control
2.4. Statistical Analysis
3. Results
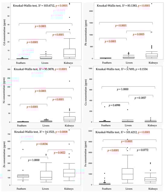
3.1. Tissue Distribution of Heavy Metals
3.2. The Differences of Metal Residues Were Related to the Groups of Birds
3.3. The Relationship of Accumulated Tissues for Heavy Metals
4. Discussion
5. Conclusions
Author Contributions
Funding
Institutional Review Board Statement
Informed Consent Statement
Data Availability Statement
Acknowledgments
Conflicts of Interest
References
- Bozorg-Haddad, O.; Delpasand, M.; Loáiciga, H.A. 10—Water quality, hygiene, and health. In Economical, Political, and Social Issues in Water Resources; Bozorg-Haddad, O., Ed.; Elsevier: Amsterdam, The Netherlands, 2021; pp. 217–257. [Google Scholar]
- Kiran; Bharti, R.; Sharma, R. Effect of heavy metals: An overview. Mater. Today Proc. 2022, 51, 880–885. [Google Scholar] [CrossRef]
- Efraín, T.-S.; Isela, H.-P.; Miguel Santoyo, M.; Leticia, V.-C.; Patricia Mussali, G. Heavy Metal Pollution as a Biodiversity Threat. In Heavy Metals; Hosam El-Din, M.S., Refaat, F.A., Eds.; IntechOpen: Rijeka, Croatia, 2018; p. 21. [Google Scholar]
- Egwumah, F. Paramount Roles of Wild Birds as Bioindicators of Contamination. Int. J. Avian Wildl. Biol. 2017, 2, 194–200. [Google Scholar] [CrossRef]
- Anbazhagan, V.; Partheeban, E.C.; Arumugam, G.; Selvasekaran, V.; Rajendran, R.; Paray, B.A.; Al-Sadoon, M.K.; Al-Mfarij, A.R. Avian feathers as a biomonitoring tool to assess heavy metal pollution in a wildlife and bird sanctuary from a tropical coastal ecosystem. Environ. Sci. Pollut. Res. 2021, 28, 38263–38273. [Google Scholar] [CrossRef] [PubMed]
- Li, F.; Ding, C. Effects of heavy metal pollution on birds. Shengtai Xuebao Acta Ecol. Sin. 2007, 27, 296–302. [Google Scholar]
- Varagiya, D.; Jethva, B.; Pandya, D. Feather heavy metal contamination in various species of waterbirds from Asia: A review. Environ. Monit. Assess. 2021, 194, 26. [Google Scholar] [CrossRef]
- Grúz, A.; Mackle, O.; Bartha, A.; Szabó, R.; Déri, J.; Budai, P.; Lehel, J. Biomonitoring of toxic metals in feathers of predatory birds from eastern regions of Hungary. Environ. Sci. Pollut. Res. Int. 2019, 26, 26324–26331. [Google Scholar] [CrossRef] [PubMed]
- Janaydeh, M.; Ismail, A.; Zulkifli, S.Z.; Bejo, M.H.; Aziz, N.A.A.; Taneenah, A. The use of feather as an indicator for heavy metal contamination in house crow (Corvus splendens) in the Klang area, Selangor, Malaysia. Environ. Sci. Pollut. Res. 2016, 23, 22059–22071. [Google Scholar] [CrossRef]
- Sanchari, B. Birds as Intrinsic Bio-Indicators for Probing Heavy Metal Contamination Signatures in Polluted Environmental Matrices. In Heavy Metals; Basim, A.A., Ed.; IntechOpen: Rijeka, Croatia, 2023; pp. 1–16, Chapter 5. [Google Scholar]
- Pandiyan, J.; Jagadheesan, R.; Karthikeyan, G.; Mahboob, S.; Al-Ghanim, K.A.; Al-Misned, F.; Ahmed, Z.; Krishnappa, K.; Elumalai, K.; Govindarajan, M. Probing of heavy metals in the feathers of shorebirds of Central Asian Flyway wintering grounds. Sci. Rep. 2020, 10, 22118. [Google Scholar] [CrossRef]
- Eeva, T.; Raivikko, N.; Espín, S.; Sánchez-Virosta, P.; Ruuskanen, S.; Sorvari, J.; Rainio, M. Bird Feces as Indicators of Metal Pollution: Pitfalls and Solutions. Toxics 2020, 8, 124. [Google Scholar] [CrossRef] [PubMed]
- Aljohani, A.S.M. Heavy metal toxicity in poultry: A comprehensive review. Front. Vet. Sci. 2023, 10, 1161354. [Google Scholar] [CrossRef]
- Smith, P.N.; Cobb, G.P.; Godard-Codding, C.; Hoff, D.; McMurry, S.T.; Rainwater, T.R.; Reynolds, K.D. Contaminant exposure in terrestrial vertebrates. Environ. Pollut. 2007, 150, 41–64. [Google Scholar] [CrossRef] [PubMed]
- Berglund, Å.M.; Koivula, M.J.; Eeva, T. Species- and age-related variation in metal exposure and accumulation of two passerine bird species. Env. Pollu. 2011, 159, 2368–2374. [Google Scholar] [CrossRef]
- Abbasi, N.A.; Jaspers, V.L.; Chaudhry, M.J.; Ali, S.; Malik, R.N. Influence of taxa, trophic level, and location on bioaccumulation of toxic metals in bird’s feathers: A preliminary biomonitoring study using multiple bird species from Pakistan. Chemosphere 2015, 120, 527–537. [Google Scholar] [CrossRef] [PubMed]
- Ittiporn, K.; Roachanakanan, R.; Pumijumnong, N.; Hempoonsert, J. Accumulation of Lead in Bird Feather from Different Feeding Habits at Bung Boraphet Wetland, Nakhon Sawan Province, Thailand. Hat Yai Acad. J. 2012, 10, 79–84. [Google Scholar]
- El-Shabrawy, N.M.; Kamel, A.M.; Goda, A.S.; Donia, G.R.; Salah-Eldein, A.M. Comparison of heavy metals concentration in different tissues of four wild bird species. Adv. Anim. Vet. Sci. 2022, 10, 307–315. [Google Scholar] [CrossRef]
- Vizuete, J.; Pérez-López, M.; Míguez-Santiyán, M.P.; Hernández-Moreno, D. Mercury (Hg), Lead (Pb), Cadmium (Cd), Selenium (Se), and Arsenic (As) in Liver, Kidney, and Feathers of Gulls: A Review. Rev. Environ. Contam. Toxicol. 2019, 247, 85–146. [Google Scholar] [CrossRef] [PubMed]
- Akele, M.L.; Desalegn, S.K.; Asfaw, T.B.; Assefa, A.G.; Alemu, A.K.; de Oliveira, R.R. Heavy metal contents in bovine tissues (kidney, liver and muscle) from Central Gondar Zone, Ethiopia. Heliyon 2022, 8, e12416. [Google Scholar] [CrossRef] [PubMed]
- Lehel, J.; Grúz, A.; Bartha, A.; Pintér, I.; Lénárt, Z.; Major, L.; Menyhárt, L.; Szabó, R.; Budai, P. Comparison of metal burden in different muscle tissues of Great cormorant (Phalacrocorax carbo). Environ. Sci. Pollut. Res. Int. 2022, 29, 2375–2384. [Google Scholar] [CrossRef] [PubMed]
- Fazio, F.; D’Iglio, C.; Capillo, G.; Saoca, C.; Peycheva, K.; Piccione, G.; Makedonski, L. Environmental Investigations and Tissue Bioaccumulation of Heavy Metals in Grey Mullet from the Black Sea (Bulgaria) and the Ionian Sea (Italy). Animals 2020, 10, 1739. [Google Scholar] [CrossRef]
- Ashraf, M.A.; Ali, Z. Bioaccumulation of trace elements in migratory waterbirds at two wetlands of Indus river. Aquat. Ecosyst. Health Manag. 2021, 24, 111–120. [Google Scholar] [CrossRef]
- Adegbe, E.; Babajide, O.; Maina, L.; Elijah Adeniji, S. Heavy metal levels in cattle egrets (Bubulcus ibis) foraging in some abattoirs in Lagos State metropolis. Bull. Natl. Res. Cent. 2021, 45, 71. [Google Scholar] [CrossRef]
- Lehel, J.; Grúz, A.; Bartha, A.; Menyhárt, L.; Szabó, R.; Tibor, K.; Budai, P. Potentially toxic elements in different tissues of great cormorant (Phalacrocorax carbo) at a wetland area. Environ. Sci. Pollut. Res. Int. 2023, 30, 120540–120551. [Google Scholar] [CrossRef] [PubMed]
- Joshua, G.; Ali, Z.; Ayub, M.; Nadeem, S.I. Heavy metal contamination in wild avian species inhabiting human-modified habitats. Environ. Monit. Assess. 2021, 193, 588. [Google Scholar] [CrossRef] [PubMed]
- Zhang, W.w.; Ma, J.z. Waterbirds as bioindicators of wetland heavy metal pollution. Procedia Environ. Sci. 2011, 10, 2769–2774. [Google Scholar] [CrossRef]
- Markowski, M.; Kaliński, A.; Skwarska, J.; Wawrzyniak, J.; Bańbura, M.; Markowski, J.; Zieliński, P.; Bańbura, J. Avian feathers as bioindicators of the exposure to heavy metal contamination of food. Bull. Environ. Contam. Toxicol. 2013, 91, 302–305. [Google Scholar] [CrossRef] [PubMed]
- Castro, I.; Aboal, J.R.; Fernández, J.A.; Carballeira, A. Use of raptors for biomonitoring of heavy metals: Gender, age and tissue selection. Bull. Environ. Contam. Toxicol. 2011, 86, 347–351. [Google Scholar] [CrossRef] [PubMed]
- Mukhtar, H.; Chan, C.-Y.; Lin, Y.-P.; Lin, C.-M. Assessing the association and predictability of heavy metals in avian organs, feathers, and bones using crowdsourced samples. Chemosphere 2020, 252, 126583. [Google Scholar] [CrossRef]
- Maneas, G.; Bousbouras, D.; Norrby, V.; Berg, H. Status and Distribution of Waterbirds in a Natura 2000 Area: The Case of Gialova Lagoon, Messinia, Greece. Front. Ecol. Evol. 2020, 8, 501548. [Google Scholar] [CrossRef]
- Boros, E. Classification method for quantification of waterbird nutrient cycling guilds. MethodsX 2021, 8, 101597. [Google Scholar] [CrossRef]
- Pandiyan, J.; Zachariah, A.; Chandramohan, B.; Mahboob, S.; Al-Ghanim, K.A.; Nicoletti, M.; Zaib Un, N.; Govindarajan, M. DNA barcoding of waterbirds: A novel technique in environmental conservation biology. J. King Saud Univ. 2022, 34, 101750. [Google Scholar] [CrossRef]
- Yang, X.; Liu, W.; Li, S.; Ma, Z.; Chen, C.; Gu, W.; Qu, M.; Zhang, C.; Tao, J.; Ding, Z.; et al. Restoration of urban waterbird diversity: A case study of the construction of a waterbird ecological corridor in the Guangdong-Hong Kong-Macao Greater Bay Area, Southern China. Glob. Ecol. Conserv. 2022, 39, e02277. [Google Scholar] [CrossRef]
- Christopher, J.W.M.; Sarah, E.S.; David, L.A.; Bryce, W.R.; Elizabeth, K.M.; Jean-Francois, T.; Oleyar, M.D.; Jeff, J. Commentary: Defining Raptors and Birds of Prey. J. Raptor Res. 2019, 53, 419–430. [Google Scholar] [CrossRef]
- Shafie, N.J.; Anuar, H.; David, G.; Ahmad, A.; Abdullah, M.T. Bird species composition, density and feeding guilds in contrasting lowland dipterocarp forests of Terengganu, Peninsular Malaysia. Trop. Ecol. 2023, 64, 238–248. [Google Scholar] [CrossRef]
- Round, P.D. Gurney’s pittas in Thailand—From rediscovery to extinction in just 28 years. Nat. Hist. Bull. Siam Soc. 2014, 60, 3–8. [Google Scholar]
- Ranade, S.; Gore, J.; Ranade, S. A preliminary observation on the nesting of the Indochinese Roller Coracias affinis Horsfield, 1840 (Aves: Coraciiformes: Coraciidae) in Assam and northern West Bengal, India. J. Threat. Taxa 2023, 15, 24280–24283. [Google Scholar] [CrossRef]
- Yarnvudhi, A.; Leksungnoen, N.; Siri, S.; Ponpituk, Y.; Sukmasuang, R.; Duengkae, P.; Pongcharoen, C.; Sutummawong, N.; Marod, D.; Wachrinrat, C.; et al. Monetary evaluation of supporting ecosystem services as a habitat provider for birds in Thailand urban park. Biodiversitas J. Biol. Divers. 2022, 23, 942. [Google Scholar] [CrossRef]
- Evens, R.; Conway, G.; Franklin, K.; Henderson, I.; Stockdale, J.; Beenaerts, N.; Smeets, K.; Neyens, T.; Ulenaers, E.; Artois, T. DNA diet profiles with high-resolution animal tracking data reveal levels of prey selection relative to habitat choice in a crepuscular insectivorous bird. Ecol. Evol. 2020, 10, 13044–13056. [Google Scholar] [CrossRef] [PubMed]
- IUCN 2024. The IUCN Red List of Threatened Species. Version 2023-1. Available online: https://www.iucnredlist.org (accessed on 9 November 2023).
- Khidkhan, K.; Imsilp, K.; Poapolathep, A.; Poapolathep, S.; Tanhan, P. Potential human health risk from consumption of metallic elements-contaminated benthic mollusks from Don Hoi Lot sandbar, Thailand. Sci. Total Environ. 2017, 584–585, 1239–1247. [Google Scholar] [CrossRef]
- Abdullah, M.; Fasola, M.; Muhammad, A.; Malik, S.A.; Bostan, N.; Bokhari, H.; Kamran, M.A.; Shafqat, M.N.; Alamdar, A.; Khan, M.; et al. Avian feathers as a non-destructive bio-monitoring tool of trace metals signatures: A case study from severely contaminated areas. Chemosphere 2015, 119, 553–561. [Google Scholar] [CrossRef]
- Kanstrup, N.; Chriél, M.; Dietz, R.; Søndergaard, J.; Balsby, T.J.S.; Sonne, C. Lead and Other Trace Elements in Danish Birds of Prey. Arch. Environ. Contam. Toxicol. 2019, 77, 359–367. [Google Scholar] [CrossRef]
- Scheuhammer, A.M. The chronic toxicity of aluminium, cadmium, mercury, and lead in birds: A review. Environ. Pollut. 1987, 46, 263–295. [Google Scholar] [CrossRef]
- Anderson, E.R.; Shah, Y.M. Iron homeostasis in the liver. Compr. Physiol. 2013, 3, 315–330. [Google Scholar] [CrossRef] [PubMed]
- Lodenius, M.; Solonen, T. The use of feathers of birds of prey as indicators of metal pollution. Ecotoxicology 2013, 22, 1319–1334. [Google Scholar] [CrossRef] [PubMed]
- Rodríguez Álvarez, M.; Paz, S.; Hardisson, A.; González-Weller, D.; Rubio, C.; Gutiérrez, A. Assessment of Toxic Metals (Al, Cd, Pb) and Trace Elements (B, Ba, Co, Cr, Cu, Fe, Mn, Mo, Li, Zn, Ni, Sr, V) in the Common Kestrel (Falco tinnunculus) from the Canary Islands (Spain). Biol. Trace Elem. Res. 2022, 200, 3808–3818. [Google Scholar] [CrossRef] [PubMed]
- Mahapatra, B.B.; Marathe, S.A.; Meyer-Rochow, V.B.; Mishra, M. A closer look at the feather coloration in the male purple sunbird, Nectarinia asiatica. Micron 2016, 85, 44–50. [Google Scholar] [CrossRef] [PubMed]
- Pandiyan, J.; Poiyamozhi, A.; Mahboob, S.; Al-Ghanim, K.A.; Al-Misned, F.; Ahmed, Z.; Manzoor, I.; Govindarajan, M. Assessment of the Toxic Effects of Heavy Metals on Waterbirds and Their Prey Species in Freshwater Habitats. Toxics 2022, 10, 641. [Google Scholar] [CrossRef] [PubMed]
- Leo, Z.; Rob, G.B.; Jan van der, K. Granivorous Birds in the Sahel: Is Seed Supply Limiting Bird Numbers? Ardea 2023, 111, 283–304. [Google Scholar] [CrossRef]
- Titulaer, M.; Melgoza, A.; Rodríguez-Almeida, F.; Fernández, J. Importance of seed characteristics in diet preferences of granivorous birds: Pilot study with house sparrows (Passer domesticus). Interciencia 2018, 43, 511–515. [Google Scholar]
- Turček, F. Granivorous Birds in Ecosystems. Int. Stud. Sparrows 2010, 34, 5–7. [Google Scholar] [CrossRef]
- Hrabar, H.; Perrin, M. The effect of bill structure on seed selection by granivorous birds. Afr. Zool. 2002, 37, 67–80. [Google Scholar] [CrossRef]
- Wee, Y.C.; Wang, L.K. Breeding Behaviour of the Zebra dove, Geopelia Striata (Linnaeus, 1766). Nat. Singap. 2008, 1, 75–80. [Google Scholar]
- Fallon, J.; Redig, P.; Miller, T.; Lanzone, M.; Katzner, T. Guidelines for evaluation and treatment of lead poisoning of wild raptors. Wildl. Soc. Bull. 2017, 41, 1–7. [Google Scholar] [CrossRef]
- Nowrouzi, M.; Mansouri, B.; Hamidian, A.H.; Ebrahimi, T.; Kardoni, F. Comparison of the Metal Concentrations in the Feathers of Three Bird Species from Southern Iran. Bull. Environ. Contam. Toxicol. 2012, 89, 1802–1806. [Google Scholar] [CrossRef]
- Vizuete, J.; Hernández-Moreno, D.; López-Beceiro, A.; Fidalgo, L.E.; Soler, F.; Pérez-López, M.; Míguez-Santiyán, M.P. Heavy metals and metalloid levels in the tissues of yellow-legged gulls (Larus michahellis) from Spain: Sex, age, and geographical location differences. Environ. Sci. Pollut. Res. 2022, 29, 54292–54308. [Google Scholar] [CrossRef]




| Classification | Species No. | Common Name | Scientific Name | Age | n | IUCN Status | Reference for Bird Classification | 
|---|---|---|---|---|---|---|---|
| Water bird | 1 | Cinnamon Bittern | Ixobrychus cinnamomeus | Adult | 1 | LC [41] | Maneas et al. (2020) [31] | 
| 2 | Chinese Pond Heron | Ardeola bacchus | Adult | 3 | LC [41] | Boros (2021) [32] | |
| 3 | Asian Openbill | Anastomus oscitans | Adult | 2 | LC [41] | Pandiyan et al. (2022) [33] | |
| 4 | Black-crowned Night Heron | Nycticorax nycticorax | Adult | 1 | LC [41] | Boros (2021) [32] | |
| 5 | Ruddy-breasted Crake | Porzana fusca | Adult | 1 | LC [41] | Boros (2021) [32] | |
| 6 | Black-headed Ibis | Threskiornis melanocephalus | Adult | 2 | NT [41] | Boros (2021) [32] | |
| 7 | Greater Painted-snipe | Rostratula benghalensis | Adult | 2 | LC [41] | Boros (2021) [32] | |
| 8 | Striated Heron | Butorides striata | Adult | 1 | LC [41] | Boros (2021) [32] | |
| 9 | Grey-headed Swamphen | Porphyrio porphyrio | Adult | 3 | LC [41] | Yang et al. (2022) [34] | |
| 10 | Watercock | Gallicrex cinerea | Adult | 1 | LC [41] | Yang et al. (2022) [34] | |
| 11 | Red-wattled Lapwing | Vanellus indicus | Adult | 3 | LC [41] | Boros (2021) [32] | |
| 12 | Brown-headed Gull | Larus brunnicephalus | Adult | 1 | LC [41] | Boros (2021) [32] | |
| 13 | Painted Stork | Mycteria leucocephala | Juvenile | 1 | LC [41] | Boros (2021) [32] | |
| 14 | Stork-billed Kingfisher | Pelargopsis capensis | Adult | 1 | LC [41] | Maneas et al., 2020 [31] | |
| 15 | Common Kingfisher | Alcedo atthis | Adult | 1 | LC [41] | Maneas et al. (2020) [31] | |
| Predatory bird | 16 | Crested Serpent Eagle | Spilornis cheela | Adult | 1 | LC [41] | Christopher et al. (2019) [35] | 
| 17 | Oriental Scops Owl | Otus sunia | Adult | 2 | LC [41] | Christopher et al. (2019) [35] | |
| 18 | Eastern Barn Owl | Tyto alba | Adult | 1 | LC [41] | Christopher et al. (2019) [35] | |
| 19 | Spotted Owlet | Athene brama | Adult | 1 | LC [41] | Christopher et al. (2019) [35] | |
| 20 | Asian Barred Owlet | Glaucidium cuculoides | Adult | 2 | LC [41] | Christopher et al. (2019) [35] | |
| 21 | Collared Scops Owl | Otus lettia | Adult | 3 | LC [41] | Christopher et al. (2019) [35] | |
| 22 | Black-winged Kite | Elanus caeruleus | Adult | 1 | LC [41] | Christopher et al. (2019) [35] | |
| 23 | Greater Coucal | Centropus sinensis | Adult | 1 | LC [41] | Shafie et al. (2023) [36] | |
| Omnivore | 24 | Gurney’s Pitta | Hydrornis gurneyi | Adult | 1 | CR [41] | Round (2014) [37] | 
| 25 | Indochinese Roller | Coracias affinis | Adult | 2 | LC [41] | Ranade et al. (2023) [38] | |
| 26 | Asian Koel | Eudynamys scolopaceus | Adult | 4 | LC [41] | Yarnvudhi et al. (2022) [39] | |
| 27 | Common Myna | Acridotheres tristis | Adult | 1 | LC [41] | Yarnvudhi et al. (2022) [39] | |
| Insectivore–frugivore | 28 | Lineated Barbet | Psilopogon lineatus | Adult | 2 | LC [41] | Shafie et al. (2023) [36] | 
| 29 | Coppersmith Barbet | Megalaima haemacephala | Adult | 1 | LC [41] | Shafie et al. (2023) [36] | |
| 30 | Yellow-vented Bulbul | Pycnonotus goiavier | Adult | 1 | LC [41] | Shafie et al. (2023) [36] | |
| 31 | Red-whiskered Bulbul | Pycnonotus jocosus | Adult | 1 | LC [41] | Shafie et al. (2023) [36] | |
| Insectivore | 32 | Green-billed Malkoha | Phaenicophaeus tristis | Adult | 2 | LC [41] | Shafie et al. (2023) [36] | 
| 33 | Greater Racquet-tailed Drongo | Dicrurus paradiseus | Adult | 1 | LC [41] | Shafie et al. (2023) [36] | |
| 34 | Barn Swallow | Hirundo rustica | Juvenile | 1 | LC [41] | Shafie et al. (2023) [36] | |
| 35 | Large-tailed Nightjar | Caprimulgus macrurus | Adult | 1 | LC [41] | Evens et al. (2020) [40] | |
| Granivore | 36 | Zebra Dove | Geopelia striata | Adult | 3 | LC [41] | Yarnvudhi et al. (2022) [39] | 
| 37 | Thick-billed Green Pigeon | Treron curvirostra | Adult | 3 | LC [41] | Yarnvudhi et al. (2022) [39] | 
| Metal | Feather (n = 60) | Liver (n = 50) | Kidney (n = 45) | ||||||
|---|---|---|---|---|---|---|---|---|---|
| Mean ± SD | Median | Min–Max | Mean ± SD | Median | Min–Max | Mean ± SD | Median | Min–Max | |
| Cd | 0.5 ± 0.2 | 0.5 | 0.2–1.6 | 1.9 ± 1.8 | 1.3 | 0.4–8.4 | 10.8 ± 14.9 | 5.4 | 0.6–64.1 | 
| Pb | 19.0 ± 5.3 | 18.6 | 4.3–32.1 | 56.7 ± 54.9 | 32.7 | 14.9–254.1 | 215.3 ± 370.8 | 112.6 | 16.2–2303.1 | 
| Ni | 1.5 ± 1.0 | 1.5 | ND–4.5 | 4.5 ± 4.0 | 2.9 | 1.0–17.3 | 32.4 ± 55.8 | 16.2 | 1.8–311.2 | 
| Cu | 11.7 ± 35.6 | 6.2 | 1.1–279.9 | 34.7 ± 146.0 | 8.8 | ND–1021.8 | 8.9 ± 12.5 | 6.7 | ND–71.5 | 
| Zn | 125.8 ± 52.2 | 121.5 | 55.0–488.4 | 149.7 ± 118.0 | 107.1 | 42.3–703.7 | 191.8 ± 129.5 | 165.8 | 59.2–755.9 | 
| Fe | 98.7 ± 157.7 | 55.3 | 16.0–1053.2 | 1228.9 ± 1067.3 | 992.3 | 147.1–5088.4 | 572.6 ± 400.9 | 478.4 | 170.7–2020.8 | 
| Element | Tissue | Feather | Liver | Kidney | 
|---|---|---|---|---|
| Cd | Feather | 1 | ||
| Liver | 0.1054 (p = 0.4665) | 1 | ||
| Kidney | 0.1053 (p = 0.4913) | 0.7988 (p < 0.0001) | 1 | |
| Pb | Feather | 1 | ||
| Liver | 0.4874 (p = 0.0003) | 1 | ||
| Kidney | 0.2315 (p = 0.1259) | 0.6253 (p < 0.0001) | 1 | |
| Ni | Feather | 1 | ||
| Liver | 0.0469 (p = 0.7464) | 1 | ||
| Kidney | 0.0564 (p = 0.7131) | 0.5468 (p < 0.0001) | 1 | |
| Cu | Feather | 1 | ||
| Liver | 0.0769 (p = 0.5957) | 1 | ||
| Kidney | −0.3486 (p = 0.0189) | 0.0544 (p = 0.7225) | 1 | |
| Zn | Feather | 1 | ||
| Liver | 0.1603 (p = 0.2663) | 1 | ||
| Kidney | 0.1034 (p = 0.4990) | 0.5241 (p = 0.0002) | 1 | |
| Fe | Feather | 1 | ||
| Liver | 0.0182 (p = 0.9004) | 1 | ||
| Kidney | −0.1202 (p = 0.4315) | 0.7988 (p = 0.0257) | 1 | 
| Disclaimer/Publisher’s Note: The statements, opinions and data contained in all publications are solely those of the individual author(s) and contributor(s) and not of MDPI and/or the editor(s). MDPI and/or the editor(s) disclaim responsibility for any injury to people or property resulting from any ideas, methods, instructions or products referred to in the content. | 
© 2024 by the authors. Licensee MDPI, Basel, Switzerland. This article is an open access article distributed under the terms and conditions of the Creative Commons Attribution (CC BY) license (https://creativecommons.org/licenses/by/4.0/).
Share and Cite
Khwankitrittikul, P.; Poapolathep, A.; Poapolathep, S.; Prasanwong, C.; Kulprasertsri, S.; Khidkhan, K. Species Differences and Tissue Distribution of Heavy Metal Residues in Wild Birds. Animals 2024, 14, 308. https://doi.org/10.3390/ani14020308
Khwankitrittikul P, Poapolathep A, Poapolathep S, Prasanwong C, Kulprasertsri S, Khidkhan K. Species Differences and Tissue Distribution of Heavy Metal Residues in Wild Birds. Animals. 2024; 14(2):308. https://doi.org/10.3390/ani14020308
Chicago/Turabian StyleKhwankitrittikul, Patamawadee, Amnart Poapolathep, Saranya Poapolathep, Chayanid Prasanwong, Sittinee Kulprasertsri, and Kraisiri Khidkhan. 2024. "Species Differences and Tissue Distribution of Heavy Metal Residues in Wild Birds" Animals 14, no. 2: 308. https://doi.org/10.3390/ani14020308
APA StyleKhwankitrittikul, P., Poapolathep, A., Poapolathep, S., Prasanwong, C., Kulprasertsri, S., & Khidkhan, K. (2024). Species Differences and Tissue Distribution of Heavy Metal Residues in Wild Birds. Animals, 14(2), 308. https://doi.org/10.3390/ani14020308
 
        
 
       