The Individual Division of Food Hoarding in Autumn Brandt’s Voles (Lasiopodomys brandtii)
Abstract
Simple Summary
Abstract
1. Introduction
2. Materials and Methods
2.1. Animals and Sample Treatments
2.2. Experimental Design
2.3. Marking Brandt’s Voles
2.4. Monitoring Hoarding Behavior
2.5. Video Data Analysis
2.6. Personality Determination
2.7. Open-Field Test
2.8. Y Maze Test
2.9. Statistical Analysis
3. Results
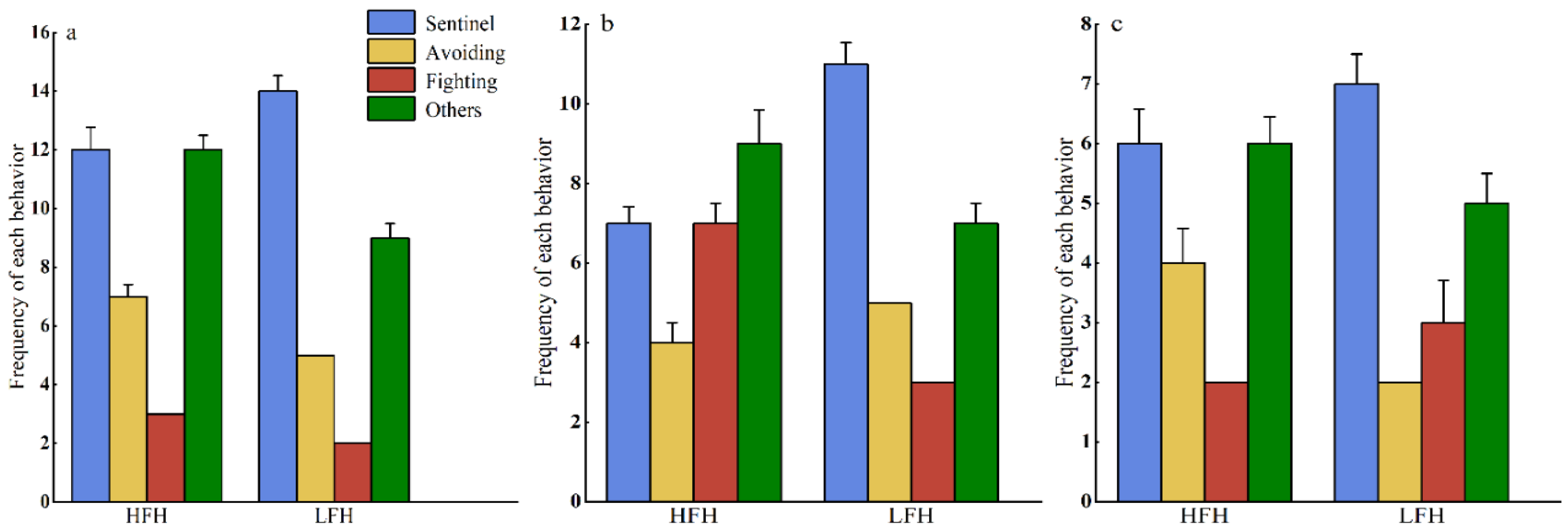
3.1. The Frequency of Each Behavior
3.2. The Difference in Behavior Frequency in High- and Low-Frequency Hoarders
3.3. Differences in Food Hoarding by Brandt’s Voles in Various Treatments
3.4. Sex Differences between High- and Low-Frequency Food Hoarders
3.5. The Exploratory Behavior in High- and Low-Frequency Food Hoarders
3.6. Spatial Memory in High- and Low-Frequency Food Hoarders
4. Discussion
5. Conclusions
Author Contributions
Funding
Institutional Review Board Statement
Informed Consent Statement
Data Availability Statement
Conflicts of Interest
References
- Keen-Rhinehart, E.; Dailey, M.J.; Bartness, T. Physiological mechanisms for food-hoarding motivation in animals. Philos. Trans. R. Soc. B-Biol. Sci. 2010, 365, 961–975. [Google Scholar] [CrossRef] [PubMed]
- Lichti, N.I.; Steele, M.A.; Swihart, R.K. Seed fate and decision-making processes in scatter-hoarding rodents. Biol. Rev. Camb. Philos. Soc. 2017, 92, 474–504. [Google Scholar] [CrossRef]
- Jiang, Z.G. Behavioral strategies for animal protection of food storage. J. Zool. 1996, 31, 52–55. [Google Scholar]
- Ebensperger, L.A. A review of the evolutionary causes of rodent group-living. Acta Theriol. 2001, 46, 115–144. [Google Scholar] [CrossRef]
- Yang, H.D.; Wang, Q.; Wang, D.H. Food hoarding, but not food intake, is attenuated by acute diazepam treatment in female Mongolian gerbils (Meriones unguiculatus). Horm. Behav. 2014, 66, 186–195. [Google Scholar] [CrossRef]
- Li, S.Y.; Liu, Z.; Li, J.; He, Q.Q.; Yang, M. Effects of low temperature and food restriction on hoarding behavior of striped hamsters. J. Wildl. 2020, 41, 280–287. [Google Scholar]
- Li, C.A.; Han, M.; Zhang, L.; Zhao, J.C.; Yin, J.X.; Wan, D.M. Pilferage Avoidance of Varied Tit, Parus varius in the Presence of Intra-and Inter-specific Competitors. J. Zool. 2016, 51, 198–206. [Google Scholar]
- Yang, H.D.; Wang, Q.; Wang, D.H. Effect of dopamine on feeding behavior of Mongolian gerbils. Acta Theriol. Sin. 2015, 35, 349–358. [Google Scholar]
- Schmidt, E.; Mykytczuk, N.; Schulte-Hostedde, A.I. Effects of the captive and wild environment on diversity of the gut microbiome of deer mice (Peromyscus maniculatus). ISME J. 2019, 13, 1293–1305. [Google Scholar] [CrossRef]
- Cui, C.; Xie, Y.J.; Hua, Y.L.; Yang, S.M.; Yin, B.F.; Wei, W.H. Brandt’s vole (Lasiopodomys brandtii) affects its habitat quality by altering plant community composition. Biologia 2020, 75, 1097–1104. [Google Scholar] [CrossRef]
- Dai, X.; Han, Y.X.; Shen, Q.Y.; Tang, H.; Cheng, L.Z.; Yang, F.P.; Wei, W.H.; Yang, S.M. Effect of food restriction on food grinding in Brandt’s voles. Animals 2023, 13, 3424. [Google Scholar] [CrossRef] [PubMed]
- Gromov, V.S. Ecology and social behaviour of the Mongolian gerbil: A generalised review. Behaviour 2021, 159, 403–441. [Google Scholar] [CrossRef]
- Millar, J.S.; Zwickel, F.C. Characteristics and ecological siginificance of hay piles of pikas. Mammalia 1972, 36, 657–667. [Google Scholar] [CrossRef]
- Gurnell, R.J. Home range, territoriality, caching behavior and food supply of the red squirrel (Tamiasciurus hudsonicus fremonth) in a subalpine lodgepole pine forest. Anim. Behav. 1984, 32, 1119–1131. [Google Scholar] [CrossRef]
- Yang, H.D.; Wang, D.H. Effects of food deprivation on the feeding behavior of male Mongolian gerbils. Acta Theriol. Sin. 2013, 33, 47–54. [Google Scholar]
- Wauters, L.A.; Suhonen, J.; Dhondt, A.A. Fitness consequences of hoarding behavior in the Eurasian red squirrel. Proc. R. Soc. B Biol. Sci. 1995, 262, 277–281. [Google Scholar] [CrossRef]
- Gan, L.; Liu, W.; Wang, D.H. Advances in understanding the mechanisms of ecological adaptation, physiological and genetic response to personality in small mammals. J. Ecol. 2023, 42, 725–735. [Google Scholar]
- Toscano, B.J.; Gownaris, N.J.; Heerhartz, S.M.; Monaco, C.J. Personality foraging behavior and specialization: Integrating behavioral and food web ecology at the individual level. Oecologia 2016, 182, 55–69. [Google Scholar] [CrossRef]
- Bohn, S. The Effects of Individual and Environmental Variation on a Food Hoarding Rodent’s Stored Resources. Ph.D. Thesis, University of Guelph, Guelph, ON, Canada, 2023. Available online: https://hdl.handle.net/10214/27973 (accessed on 1 October 2023).
- Bergstrom, T.C. On the evolution of hoarding, risk-taking, and wealth distribution in nonhuman and human populations. Proc. Natl. Acad. Sci. USA 2014, 111, 10860–10867. [Google Scholar] [CrossRef]
- Wan, X.R.; Wang, M.J.; Wang, G.H.; Zhong, W.Q. The preference of Brandt’s voles for the selection of main grass species. J. Ecol. 2002, 21, 68–69. [Google Scholar]
- Li, G.L.; Hou, X.L.; Wan, X.R.; Zhang, Z.B. Sheep grazing causes shift in sex ratio and cohort structure of Brandt’s vole: Implication of their adaptation to food shortage. Integr. Zool. 2016, 11, 76–84. [Google Scholar] [CrossRef] [PubMed]
- Zhang, X.Q.; Zhang, W.J.; Zheng, S.S.; Wang, Y.; Su, Y.Z.; Jia, J.J.; Wan, X.R.; Chen, H. The preference of Brandt’s voles for different food particle sizes in autumn grass storage period. J. Cap. Norm. Univ. (Nat. Sci. Ed.) 2015, 36, 58–62. [Google Scholar]
- Song, W.T.; Wang, Y.; Zhang, X.Q.; Zhang, W.J.; Zheng, S.S.; Ge, X.G.D.E.; Chen, W.; Wan, X.R. The effects of colony number and feeding distance on the vigilance frequency of Brandt’s voles during grass storage. J. Zool. 2017, 52, 754–760. [Google Scholar]
- Wan, X.R.; Zhong, W.Q. Comparison of two methods for estimating the grass storage area of Brandt’s voles in winter. J. Ecol. 2000, 19, 75–76. [Google Scholar]
- Wang, T.T.; Bai, M.C.R.; Hai, S.Z.; Wang, D. Construction of behavior spectrum of Brandt’s vole. J. Grassl. 2015, 23, 646–652. [Google Scholar]
- Shang, P.J.; Ji, N.C.; Yang, J.W.; Zhao, Y.J.; Tuo, Z.J.; Zhang, X.H. Based on the comparison of APP/PS1 double transgenic mice and wild-type mice, the advantages and disadvantages of learning and memory related behavioral experiments and the matters needing attention were reviewed. Acta Lab. Anim. Sci. Sin. 2023, 31, 969–984. [Google Scholar]
- Huang, C.H. Effects of Long-Term High-Fat Diet on Cognitive/Emotional Behavior of C57BL/6J Mice and Its Inflammatory Mechanism. Master’s Thesis, Southeast University, Nanjing, China, 2022. [Google Scholar]
- Sohroforouzani, A.M.; Shakerian, S.; Ghanbarzadeh, M.; Alaei, H. Effect of forced treadmill exercise on stimulation of BDNF expression, depression symptoms, tactile memory and working memory in LPS-treated rats. Behav. Brain Res. 2022, 418, 113645. [Google Scholar] [CrossRef]
- Rebiguli, I.S.L.M.; Kharibinuur, A.B.L.T.; Abdu, P.A.; Youliduzi, M.M.T.; Yusufujiang, A.L.; Maimaiti, A.L. Detection and analysis of behavioral, blood and skin histopathological indexes of psoriasis mice. Chin. J. Comp. Med. 2023, 33, 39–47. [Google Scholar]
- Zhang, Z.B. Study on the relationship between El Niño-Southern Oscillation and the outbreaks of lemmings and voles in Europe. Sci. Instrum. News 2001, 46, 197–204. [Google Scholar]
- Yin, B.F.; Li, G.L.; Wan, X.R.; Shang, G.Z.; Wei, W.H.; Zhang, Z.B. Large-scale field enclosure experiments reveal the complex effects of feeding on the population dynamics of Brandt’s voles. China Sci. Life Sci. 2017, 47, 997–1006. [Google Scholar]
- Haapakoski, M.; Sundell, J.; Ylnen, H. Predation risk and food: Opposite effects on overwintering survival and onset of breeding in a boreal rodent. J. Anim. Ecol. 2012, 81, 1183–1192. [Google Scholar] [CrossRef] [PubMed]
- Agren, G.; Zhou, Q.; Zhong, W. Ecology and social-behavior of Mongolian gerbils, Meriones unguiculatus, at Xilinhot, Inner Mongolia, China. Anim. Behav. 1989, 37, 11–27. [Google Scholar] [CrossRef]
- Carter, A.J.; English, S.; Clutton-Brock, T.H. Cooperative personalities and social niche specialization in female meerkats. J. Evol. Biol. 2014, 27, 815–825. [Google Scholar] [CrossRef] [PubMed]
- Deng, K.; Liu, W.; Wang, D.H. Research progress on the linkage mechanism between social behavior and kinship structure in population regulation of small mammals. J. Ecol. 2016, 35, 825–833. [Google Scholar]
- Ulrich, Y.; Saragosti, J.; Tokita, C.K.; Tarnita, C.E.; Kronauer, D.J.C. Fitness benefits and emergent division of labour at the onset of group living. Nature 2018, 560, 635–638. [Google Scholar] [CrossRef]
- Yang, H.D.; Wang, Q.; Wang, Z.; Wang, D.H. Food hoarding and associated neuronal activation in brain reward circuitry in Mongolian gerbils. Physiol. Behav. 2011, 104, 429–436. [Google Scholar] [CrossRef]
- Song, Y.R.; Li, G.L.; Zhang, Z.B. Cooperative feeding behavior of Brandt’s voles and its influencing factors. Acta Theriol. Sin. 2021, 41, 658–666. [Google Scholar]
- Prevedello, J.A.; Dickman, C.R.; Vieira, M.V.; Vieira, E.M. Population responses of small mammals to food supply and predators: A global meta-analysis. J. Anim. Ecol. 2013, 82, 927–936. [Google Scholar] [CrossRef]
- Searle, K.R.; Stokes, C.J.; Gordon, I.J. When foraging and fear meet: Using foraging hierarchies to inform assessments of landscapes of fear. Behav. Ecol. 2008, 19, 475–482. [Google Scholar] [CrossRef]
- Zhang, J. Effects of Competitive Disturbance on Rodent Hoarding Behavior. Master’s Thesis, Central China Normal University, Wuhan, China, 2019. [Google Scholar]
- Wong, R.; Jones, C.H. A comparative analysis of feeding and hoarding in hamsters and gerbils. Behav. Process. 1985, 11, 301–308. [Google Scholar] [CrossRef]
- Lee, T.H. Feeding and hoarding behaviour of the Eurasian red squirrel Sciuras vulgaris during autumn in Hokkaido, Japan. Acta Theriol. 2002, 47, 459–470. [Google Scholar] [CrossRef]
- Geyer, L.A.; Kornet, C.A.; Rogers, J.G., Jr. Factors affecting caching in the pine vole, Microtus pinetorum. Mammalia 1984, 48, 165–172. [Google Scholar] [CrossRef]
- Liu, W.; Wan, X.R.; Zhong, W.Q. Field experimental design of food-induced food storage in gerbil colonies and its application in community research. Acta Theriol. Sin. 2005, 25, 115–121. [Google Scholar]
- Liu, W.; Wan, X.; Zhong, W. Population dynamics of the Mongolian gerbils: Seasonal patterns and interactions among density, reproduction and climate. J. Arid Environ. 2007, 68, 383–397. [Google Scholar] [CrossRef]
- Shi, Y.Y. A Comparative Study on the Difference of Spatial Memory Ability of Rats with Different Storage Preference. Master’s Thesis, Zhengzhou University, Zhengzhou, China, 2022. [Google Scholar]
- Zhang, Y.J. Study on the Global Rodent Storage Behavior and Interaction Network of Plant Seeds. Master’s Thesis, Lanzhou University, Lanzhou, China, 2023. [Google Scholar]
- Zhang, D.Y.; Li, Y.; Li, J.; Zhang, Y.H.; Yi, X.F.; Wang, Z.Y. To explore the spatial memory of rodents with different food-storing behaviors based on Morris water maze. Acta Theriol. Sin. 2018, 38, 377–383. [Google Scholar]
- Dingemanse, N.J.; Réale, D. Natural selection and animal personality. Behaviour 2005, 142, 1159–1184. [Google Scholar] [CrossRef]
- Petelle, M.B.; Martin, J.G.A.; Blumstein, D.T. Mixed support for state maintaining risky personality traits in yellow-bellied marmots. Anim. Behav. 2019, 150, 177–188. [Google Scholar] [CrossRef]






| Behavior Type | Description |
|---|---|
| Foraging | During the movement, performing a series of actions to search for food such as crawling, smelling the ground and vegetation, and digging at grass roots. |
| Feeding–Food hoarding | While situated in the posture of standing, sitting, squatting, or lying down, the two front claws grab food to assist the mouth in the biting and chewing of food. Bringing the food back to the warehouse in the nest so that it can be eaten when food is scarce. |
| Chirping | After discovering danger, examining the dangerous object while sitting, standing, or squatting, and issuing a series of screams to warn similar individuals. |
| Sentinel avoiding | Interrupting the ongoing behavior (such as running, feeding, foraging, etc.) to squat or sit still while rapidly turning the head to observe the surrounding environment to determine whether there is danger around, generally does not take longer than 3 s. Interrupting ongoing behavior (such as running, feeding, foraging, etc.) when finding danger or hearing a call and quickly running back into the hole, sometimes with a scream. |
| Fighting | A scuffle between two individuals. |
| Added Food | Added Food + Competition | Control | ||||
|---|---|---|---|---|---|---|
| Female | Male | Female | Male | Female | Male | |
| Marked after capture | 23 | 14 | 22 | 9 | 13 | 9 |
| Captured on video | 12 | 14 | 12 | 7 | 6 | 5 |
| Sample Area | Added Food | Added Food + Competition | Control |
|---|---|---|---|
| Food-hoarding frequency | 15.50 ± 14.60 | 12.74 ± 11.00 | 14.27 ± 12.06 |
| H = 5.350 | H = 5.536 | H = 0.468 | |
| Significance level | p = 0.069 | p = 0.063 | p = 0.791 |
Disclaimer/Publisher’s Note: The statements, opinions and data contained in all publications are solely those of the individual author(s) and contributor(s) and not of MDPI and/or the editor(s). MDPI and/or the editor(s) disclaim responsibility for any injury to people or property resulting from any ideas, methods, instructions or products referred to in the content. |
© 2024 by the authors. Licensee MDPI, Basel, Switzerland. This article is an open access article distributed under the terms and conditions of the Creative Commons Attribution (CC BY) license (https://creativecommons.org/licenses/by/4.0/).
Share and Cite
Zhang, Z.; Bu, F.; Sun, S.; Ming, M.; Liu, T.; Li, Y.; Wu, X.; Zhang, X.; Yuan, S.; Fu, H. The Individual Division of Food Hoarding in Autumn Brandt’s Voles (Lasiopodomys brandtii). Animals 2024, 14, 2719. https://doi.org/10.3390/ani14182719
Zhang Z, Bu F, Sun S, Ming M, Liu T, Li Y, Wu X, Zhang X, Yuan S, Fu H. The Individual Division of Food Hoarding in Autumn Brandt’s Voles (Lasiopodomys brandtii). Animals. 2024; 14(18):2719. https://doi.org/10.3390/ani14182719
Chicago/Turabian StyleZhang, Zhiliang, Fan Bu, Shanshan Sun, Ming Ming, Tao Liu, Yanan Li, Xiaodong Wu, Xueying Zhang, Shuai Yuan, and Heping Fu. 2024. "The Individual Division of Food Hoarding in Autumn Brandt’s Voles (Lasiopodomys brandtii)" Animals 14, no. 18: 2719. https://doi.org/10.3390/ani14182719
APA StyleZhang, Z., Bu, F., Sun, S., Ming, M., Liu, T., Li, Y., Wu, X., Zhang, X., Yuan, S., & Fu, H. (2024). The Individual Division of Food Hoarding in Autumn Brandt’s Voles (Lasiopodomys brandtii). Animals, 14(18), 2719. https://doi.org/10.3390/ani14182719

