Ballou’s Ancestral Inbreeding Coefficient: Formulation and New Estimate with Higher Reliability
Abstract
Simple Summary
Abstract
1. Introduction
2. Notation
3. Derivation of Expression
4. New Estimate and Its Performance
4.1. New Estimate of
4.2. Performance of Hybrid Estimate
5. Discussion
6. Conclusions
Supplementary Materials
Funding
Institutional Review Board Statement
Informed Consent Statement
Data Availability Statement
Acknowledgments
Conflicts of Interest
References
- Falconer, D.S.; Mackay, T.F.C. Introduction to Quantitative Genetics, 4th ed.; Longman: London, UK, 1996; pp. 247–252. [Google Scholar]
- Charlesworth, D.; Wills, J.H. The genetics of inbreeding depression. Nat. Rev. Genet. 2009, 10, 783–796. [Google Scholar] [CrossRef] [PubMed]
- Hedrick, P.W.; Gurcía-Dorado, A. Understanding inbreeding depression, purging, and genetic rescue. Trends Ecol. Evol. 2016, 31, 940–952. [Google Scholar] [CrossRef]
- Crnokrak, P.; Roff, D.A. Inbreeding depression in the wild. Heredity 1999, 83, 260–270. [Google Scholar] [CrossRef]
- Keller, L.F.; Waller, D.M. Inbreeding effects in wild populations. Trends Ecol. Evol. 2002, 17, 230–241. [Google Scholar] [CrossRef]
- Lande, R.; Schmske, D.W. The evolution of self-fertilization and inbreeding in plants. I. Genetic models. Evolution 1985, 39, 24–40. [Google Scholar]
- Simmons, M.J.; Crow, J.F. Mutations affecting fitness in Drosophila populations. Ann. Rev. Genet. 1977, 11, 49–78. [Google Scholar] [CrossRef] [PubMed]
- Hedrick, P.W. Purging inbreeding depression and the possibility of extinction: Full-sib mating. Heredity 1994, 73, 363–372. [Google Scholar] [CrossRef]
- Gurcía-Dorado, A. Understanding and predicting the fitness decline of shrunk populations: Inbreeding, purging, mutation, and standard selection. Genetics 2012, 190, 1461–1476. [Google Scholar] [CrossRef]
- Ballou, J.D. Ancestral inbreeding only minimally affects inbreeding depression in mammalian populations. J. Hered. 1997, 88, 169–178. [Google Scholar] [CrossRef]
- Kalinowski, S.T.; Hedrick, P.W.; Miller, P.S. Inbreeding depression in the Speke’s Gazelle captive breeding program. Conser. Biol. 2000, 14, 1375–1384. [Google Scholar] [CrossRef]
- Boakes, E.H.; Wang, J.; Amos, W. An investigation of inbreeding depression and purging in captive pedigreed populations. Heredity 2007, 98, 172–182. [Google Scholar] [CrossRef]
- Schäler, J.; Krǖger, B.; Thaller, G.; Hinrichs, D. Comparison of ancestral, partial, and genomic inbreeding in a local pig breed to achieve genetic diversity. Conserv. Genet. Resour. 2020, 12, 77–86. [Google Scholar] [CrossRef]
- Addo, S.; Schäler, J.; Hinrichs, D.; Thaller, G. Genetic diversity and ancestral history of the German Angler and the Red-and-While dual-purpose cattle breeds assessed through pedigree analysis. Agric. Sci. 2007, 8, 1033–1047. [Google Scholar]
- Mc Parland, S.; Kearney, F.; Berry, D. Purging inbreeding depression within the Irish Holstein-Friesian population. Genet. Sel. Evol. 2009, 41, 16. [Google Scholar] [CrossRef]
- Ács, V.; Köver, G.; Farkas, J.; Bokor, Á.; Nagy, I. Effects of long-term selection in the Border Collie Dog breed: Inbreeding purge of canine hip and elbow dysplasia. Animals 2020, 10, 1743. [Google Scholar] [CrossRef]
- Curik, I.; Köver, G.; Farkas, J.; Szendro, Z.; Romvári, R.; Sölkner, J.; Nagy, I. Inbreeding depression for kit survival at birth in a rabbit population under long-term selection. Genet. Sel. Evol. 2020, 52, 39. [Google Scholar] [CrossRef]
- Justinski, C.; Wilkens, J.; Distl, O. Genetic diversity and trends of ancestral and new inbreeding in German sheep breeds by pedigree data. Animals 2023, 13, 623. [Google Scholar] [CrossRef]
- Posta, J.; Somogyvári, E.; Mihók, S. Historical changes and description of the current Hungarian Hucul horse population. Animals 2020, 10, 1242. [Google Scholar] [CrossRef]
- Rodríguez-Ramilo, S.; Reverter, A.; Sánchez, J.P.; Fernández, J.; Velasco-Galilea, M.; González, O.; Piles, M. Networks of inbreeding coefficients in a population of rabbits. J. Anim. Breed. Genet. 2020, 137, 599–608. [Google Scholar] [CrossRef] [PubMed]
- Wirth, A.; Duda, J.; Distl, O. Genetic diversity and the impact of the breed populations of US Brown Swiss in German Brown cattle. Animals 2021, 11, 152. [Google Scholar] [CrossRef]
- Doekes, H.P.; Veerkamp, R.F.; Bijma, P.; de Jong, G.; Hiemstra, S.J.; Widing, J.J. Inbreeding depression due to recent and ancient inbreeding in Dutch Holstein-Friesian dairy cattle. Genet. Sel. Evol. 2019, 51, 54. [Google Scholar] [CrossRef]
- Michels, P.W.; Distl, O. Genetic diversity and trends of ancestral and new inbreeding in Deutsh Drahthaar assessed by pedigree data. Animals 2022, 12, 929. [Google Scholar] [CrossRef]
- Justinski, C.; Wilkens, J.; Distl, O. Inbreeding depression and purging for meat performance traits in German sheep breeds. Animals 2023, 13, 3547. [Google Scholar] [CrossRef]
- Wirth, A.; Duda, J.; Distl, O. Impact of inbreeding and ancestral inbreeding on longevity traits in German Brown cows. Animals 2023, 13, 2765. [Google Scholar] [CrossRef]
- Justinski, C.; Wilkens, J.; Distl, O. Effect of individual rate of inbreeding, recent and ancestral inbreeding on wool quality, muscling conformation and exterior in German sheep breeds. Animals 2023, 13, 3329. [Google Scholar] [CrossRef]
- Tohidi, R.; Cue, R.I.; Nazari, B.M.; Pahlavan, R. The effect of new and ancestral inbreeding on milk production traits in Iranian Holstein cattle. J. Anim. Breed. Genet. 2023, 140, 276–286. [Google Scholar] [CrossRef]
- Vostra-Vydrova, H.; Hofmanova, B.; Moravcikova, N.; Rychtarova, J.; Kasarda, R.; Machova, K.; Brzakova, M.; Vostry, L. Genetic diversity, admixture and the effect of inbreeding on milk performance in two autochthonous goat breeds. Livest. Sci. 2020, 240, 104163. [Google Scholar] [CrossRef]
- Vostry, L.; Milerski, M.; Schmidova, J.; Vostra-Vydrova, H. Genetic diversity and effect of inbreeding on litter size of the Romanov sheep. Small Rumin. Res. 2018, 168, 25–31. [Google Scholar] [CrossRef]
- Ceballos, F.C.; Álvarez, G. Royal dynasties as human inbreeding laboratories: The Habsburgs. Heredity 2013, 111, 114–121. [Google Scholar] [CrossRef]
- Nagy, I.; Nguyen, T.A. Characterizing and eliminating the inbreeding load. Vet. Sci. 2024, 11, 8. [Google Scholar] [CrossRef] [PubMed]
- Suwanlee, S.; Baumung, R.; Sölkner, J.; Curik, I. Evaluation of ancestral inbreeding coefficient: Ballou’s formula versus gene dropping. Conser. Genet. 2007, 8, 489–495. [Google Scholar] [CrossRef]
- Kennedy, E.S.; Grueber, C.E.; Duncan, R.P.; Jamieson, I.G. Severe inbreeding depression and no evidence of purging in an extremely inbred wild species—The Chatham Island black Robin. Evolution 2013, 68, 987–995. [Google Scholar] [CrossRef]
- Lacy, R.C.; Alaks, G.; Walsh, A. Hierarchical analysis of inbreeding depression in Peromyscus polionotus. Evolution 1996, 50, 2187–2200, Erratum in Evolution 1997, 51, 1025. [Google Scholar] [CrossRef]
- Wright, S. Coefficient of inbreeding and relationship. Amer. Nat. 1922, 56, 330–338. [Google Scholar] [CrossRef]
- James, J.W. The spread of genes in random mating control populations. Genet. Res. 1962, 3, 1–19. [Google Scholar] [CrossRef]
- Geyer, C.J.; Thompson, E.A.; Ryder, O.A. Gene survival in the Asian wild horse (Equus Przewalskii): II. Gene survival in the whole population, in subgroups, and through history. Zoo Biol. 1989, 8, 313–329. [Google Scholar] [CrossRef]
- Jacqurad, A. The Genetic Structure of Populations.; Springer: New York, NY, USA, 1974; pp. 104–109. [Google Scholar]
- Vigeland, M.D. Pedigree Analysis in R; Academic press: London, UK, 2021; pp. 37–39. [Google Scholar]
- R Core Team. R: A Language and Environment for Statistical Computing; R Foundation for Statistical Computing: Vienna, Austria, 2018. [Google Scholar]
- Baumung, R.; Farkas, J.; Boichard, D.; Mészáros, G.; Sölkner, J.; Curik, I. GRAIN: A computer program to calculate ancestral and partial inbreeding coefficients using a gene dropping approach. J. Anim. Breed. Genet. 2015, 132, 100–108. [Google Scholar] [CrossRef]
- Doekes, H.P.; Curik, I.; Nagy, I.; Farkas, J.; Kövér, G.; Widing, J.J. Revised calculation of Kalinowski’s ancestral and new inbreeding coefficients. Diversity 2020, 12, 155. [Google Scholar] [CrossRef]
- Abney, M. A graphical algorithm for fast computation of identity coefficients and generalized kinship coefficients. Bioinformatics 2009, 12, 1561–1563. [Google Scholar] [CrossRef]
- Thompson, E.A. Gene identities and multiple relationships. Biometrics 1974, 30, 667–680. [Google Scholar] [CrossRef]
- Avarez, G.; Ceballos, F.C.; Quinteiro, C. The role of inbreeding in the extinction of a European royal dynasty. PLoS ONE 2009, 4, e5174. [Google Scholar]
- Gulisija, D.; Crow, J.F. Inbreeding purging from pedigree data. Evolution 2007, 61, 1043–1051. [Google Scholar] [CrossRef]
- López-Cortegano, E. purgeR: Inbreeding and purging in pedigreed populations. Bioinformatics 2022, 38, 564–565. [Google Scholar] [CrossRef]
- Meuwissen, T.; Luo, Z. Computing inbreeding coefficients in large populations. Genet. Sel. Evol. 1992, 24, 305–313. [Google Scholar] [CrossRef]
- Sargolzaei, M.; Iwaisaki, H.; Colleau, J.J. A fast algorithm for computing inbreeding coefficients in large populations. J. Anim. Breed. Genet. 2005, 122, 325–331. [Google Scholar] [CrossRef]
- Niforooshan, M.A.; Saaverda-Jiménez, L.A. groups: An R package for pedigree and genetic group data. Hereditas 2022, 157, 17. [Google Scholar] [CrossRef]
- Caballero, A.; Toro, M.A. Interrelations between effective population size and other pedigree tools for the management of conserved populations. Genet. Res. 2000, 75, 331–343. [Google Scholar] [CrossRef]
- Mrode, R.A. Linear Models for the Prediction of Animal Breeding Values; CAB International: Wallingford, UK, 1996; pp. 26–27. [Google Scholar]





| Exact Computation | Hybrid Method | ||||
|---|---|---|---|---|---|
| Inbred Ancestor | gc to X | FBAL_NEW | FBAL_NEW | FBAL_NEW | FBAL_NEW |
| B1 | 0.75 | 0.125 | 0.0938 | 0.1250 | 0.0938 |
| B2 | 0.25 | 0.125 | 0.0313 | 0.1243 | 0.0311 |
| B3 | 0.5 | 0.2031 | 0.1016 | 0.2027 | 0.1014 |
| FBAL_ANC,X = 0.2266 | FBAL_ANC,X = 0.2262 | ||||
| 5000 | 10,000 | 50,000 | 100,000 | |||||
|---|---|---|---|---|---|---|---|---|
| GDS | Hybrid | GDS | Hybrid | GDS | Hybrid | GDS | Hybrid | |
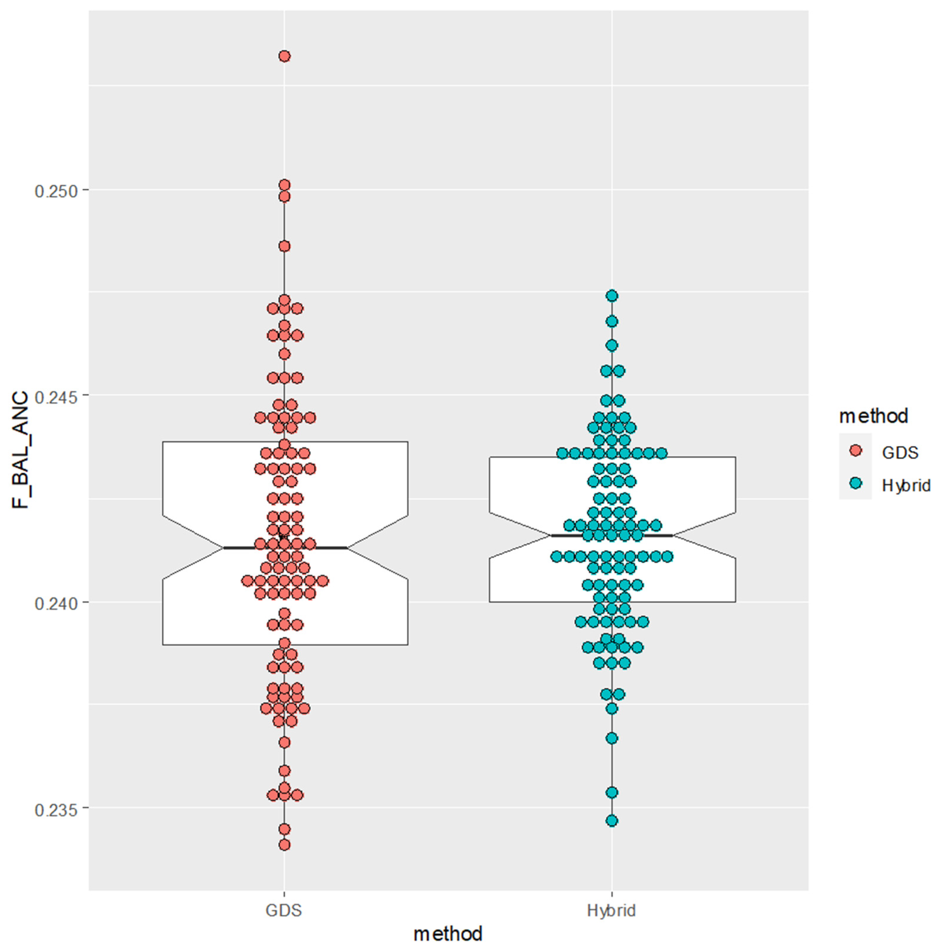
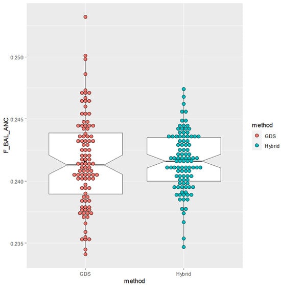
| Average | 0.2424 | 0.2421 | 0.2416 | 0.2416 | 0.2420 | 0.2417 | 0.2417 | 0.2415 |
| Median | 0.2424 | 0.2425 | 0.2413 | 0.2416 | 0.2421 | 0.2416 | 0.2418 | 0.2414 |
| Variance × 106 | 2.2067 | 1.2521 (56.7%) | 1.3429 | 0.5534 (41.2%) | 0.2345 | 0.1260 (54.2%) | 0.1096 | 0.0649 (59.3%) |
Disclaimer/Publisher’s Note: The statements, opinions and data contained in all publications are solely those of the individual author(s) and contributor(s) and not of MDPI and/or the editor(s). MDPI and/or the editor(s) disclaim responsibility for any injury to people or property resulting from any ideas, methods, instructions or products referred to in the content. |
© 2024 by the author. Licensee MDPI, Basel, Switzerland. This article is an open access article distributed under the terms and conditions of the Creative Commons Attribution (CC BY) license (https://creativecommons.org/licenses/by/4.0/).
Share and Cite
Nomura, T. Ballou’s Ancestral Inbreeding Coefficient: Formulation and New Estimate with Higher Reliability. Animals 2024, 14, 1844. https://doi.org/10.3390/ani14131844
Nomura T. Ballou’s Ancestral Inbreeding Coefficient: Formulation and New Estimate with Higher Reliability. Animals. 2024; 14(13):1844. https://doi.org/10.3390/ani14131844
Chicago/Turabian StyleNomura, Tetsuro. 2024. "Ballou’s Ancestral Inbreeding Coefficient: Formulation and New Estimate with Higher Reliability" Animals 14, no. 13: 1844. https://doi.org/10.3390/ani14131844
APA StyleNomura, T. (2024). Ballou’s Ancestral Inbreeding Coefficient: Formulation and New Estimate with Higher Reliability. Animals, 14(13), 1844. https://doi.org/10.3390/ani14131844

