Exposure of Mytilus galloprovincialis to Microplastics: Accumulation, Depuration and Evaluation of the Expression Levels of a Selection of Molecular Biomarkers
Abstract
:Simple Summary
Abstract
1. Introduction
2. Materials and Methods
2.1. Experimental Design
- (a)
- A “microbiological” depuration lasting 2 days, corresponding to the time usually applied for microbiological depuration in shellfish purification plants;
- (b)
- An “experimental” depuration lasting 7 days, assuming that increasing the dwell time in the shellfish purification plants could allow a better depuration from these contaminants. The same experiment in its entirety was repeated in triplicate.
2.2. Preparation of the Microplastic Mixture
2.3. MPs’ Qualitative-Quantitative Analysis
2.4. Gene Expression Analysis
2.4.1. RNA Extraction and cDNA Synthesis
2.4.2. Primers and PCR Efficiency (Eff)
2.4.3. qPCR Sybr Green
2.5. Statistical Analysis
3. Results
3.1. MPs’ Accumulation and Depuration
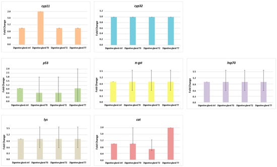
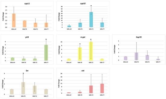
3.2. Gene Expression Analysis
4. Discussion
5. Conclusions
Author Contributions
Funding
Institutional Review Board Statement
Informed Consent Statement
Data Availability Statement
Conflicts of Interest
References
- Taylor, M.L.; Gwinnett, C.; Robinson, L.F.; Woodall, L.C. Plastic microfibre ingestion by deep-sea organisms. Sci. Rep. 2016, 6, 33997. [Google Scholar] [CrossRef] [PubMed]
- Barrows, A.P.W.; Cathey, S.E.; Petersen, C.W. Marine environment microfiber contamination: Global patterns and the diversity of microparticle origins. Environ. Pollut. 2018, 237, 275–284. [Google Scholar] [CrossRef] [PubMed]
- Stanton, T.; Johnson, M.; Nathanail, P.; MacNaughtan, W.; Gomes, R.L. Freshwater and airborne textile fibre populations are dominated by ‘natural’, not microplastic, fibres. Sci. Total Environ. 2019, 666, 377–389. [Google Scholar] [CrossRef] [PubMed]
- Vivekanand, A.C.; Mohapatra, S.; Tyagi, V.K. Microplastics in aquatic environment: Challenges and perspectives. Chemosphere 2021, 282, 131151. [Google Scholar] [CrossRef] [PubMed]
- Covernton, G.A.; Dietterle, M.; Pearce, C.M.; Gurney-Smith, H.J.; Dower, J.F.; Dudas, S.E. Depuration of anthropogenic particles by Pacific oysters (Crassostrea gigas): Feasibility and efficacy. Mar. Pollut. Bull. 2022, 181, 113886. [Google Scholar] [CrossRef] [PubMed]
- Browne, M.A.; Galloway, T.; Thompson, R. Microplastic an emerging contaminant of potential concern? Integr. Environ. Assess. Manag. 2007, 3, 559–561. [Google Scholar] [CrossRef] [PubMed]
- Sedlak, D. Three Lessons for the Microplastics Voyage. Environ. Sci. Technol. 2017, 51, 7747–7748. [Google Scholar] [CrossRef] [PubMed]
- Sharma, S.; Chatterjee, S. Microplastic pollution, a threat to marine ecosystem and human health: A short review. Environ. Sci. Pollut. Res. 2017, 24, 21530–21547. [Google Scholar] [CrossRef]
- Huang, W.; Song, B.; Liang, J.; Niu, Q.; Zeng, G.; Shen, M.; Deng, J.; Luo, Y.; Wen, X.; Zhang, Y. Microplastics and associated contaminants in the aquatic environment: A review on their ecotoxicological effects, trophic transfer, and potential impacts to human health. J. Hazard. Mater. 2021, 405, 124187. [Google Scholar] [CrossRef]
- Rezania, S.; Park, J.; Md Din, M.F.; Mat Taib, S.; Talaiekhozani, A.; Kumar Yadav, K.; Kamyab, H. Microplastics pollution in different aquatic environments and biota: A review of recent studies. Mar. Pollut. Bull. 2018, 133, 191–208. [Google Scholar] [CrossRef]
- Ugwu, K.; Herrera, A.; Gómez, M. Microplastics in marine biota: A review. Mar. Pollut. Bull. 2021, 169, 112540. [Google Scholar] [CrossRef]
- Von Hellfeld, R.; Zarzuelo, M.; Zaldibar, B.; Cajaraville, M.P.; Orbea, A. Accumulation, Depuration, and Biological Effects of Polystyrene Microplastic Spheres and Adsorbed Cadmium and Benzo(a)pyrene on the Mussel Mytilus galloprovincialis. Toxics 2022, 10, 18. [Google Scholar] [CrossRef] [PubMed]
- Cole, M.; Lindeque, P.; Halsband, C.; Galloway, T.S. Microplastics as contaminants in the marine environment: A review. Mar. Pollut. Bull. 2011, 62, 2588–2597. [Google Scholar] [CrossRef] [PubMed]
- Lee, H.; Shim, W.J.; Kwon, J.H. Sorption capacity of plastic debris for hydrophobic organic chemicals. Sci. Total Environ. 2014, 470–471, 1545–1552. [Google Scholar] [CrossRef] [PubMed]
- Smith, M.; Love, D.C.; Rochman, C.M.; Neff, R.A. Microplastics in Seafood and the Implications for Human Health. In Current Environmental Health Reports; Springer: Berlin/Heidelberg, Germany, 2018; Volume 5, pp. 375–386. [Google Scholar] [CrossRef]
- Xia, Y.; Niu, S.; Yu, J. Microplastics as vectors of organic pollutants in aquatic environment: A review on mechanisms, numerical models, and influencing factors. Sci. Total Environ. 2023, 887, 164008. [Google Scholar] [CrossRef] [PubMed]
- Setälä, O.; Norkko, J.; Lehtiniemi, M. Feeding type affects microplastic ingestion in a coastal invertebrate community. Mar. Pollut. Bull. 2016, 102, 95–101. [Google Scholar] [CrossRef] [PubMed]
- Phuong, N.N.; Zalouk-Vergnoux, A.; Kamari, A.; Mouneyrac, C.; Amiard, F.; Poirier, L.; Lagarde, F. Quantification and characterization of microplastics in blue mussels (Mytilus edulis): Protocol setup and preliminary data on the contamination of the French Atlantic coast. Environ. Sci. Pollut. Res. 2018, 25, 6135–6144. [Google Scholar] [CrossRef] [PubMed]
- Li, H.X.; Ma, L.S.; Lin, L.; Ni, Z.X.; Xu, X.R.; Shi, H.H.; Yan, Y.; Zheng, G.M.; Rittschof, D. Microplastics in oysters Saccostrea cucullata along the Pearl River Estuary, China. Environ. Pollut. 2018, 236, 619–625. [Google Scholar] [CrossRef] [PubMed]
- Qu, X.; Su, L.; Li, H.; Liang, M.; Shi, H. Assessing the relationship between the abundance and properties of microplastics in water and in mussels. Sci. Total Environ. 2018, 621, 679–686. [Google Scholar] [CrossRef]
- Stamataki, N.; Hatzonikolakis, Y.; Tsiaras, K.; Tsangaris, C.; Petihakis, G.; Sofianos, S.; Triantafyllou, G. Modelling mussel (Mytilus spp.) microplastic accumulation. Ocean Sci. 2020, 16, 927–949. [Google Scholar] [CrossRef]
- Laubscher, A.; Hamm, T.; Lenz, M. Where have all the beads gone? Fate of microplastics in a closed exposure system and their effects on clearance rates in Mytilus spp. Mar. Pollut. Bull. 2023, 187, 114474. [Google Scholar] [CrossRef] [PubMed]
- Renzi, M.; Guerranti, C.; Blašković, A. Microplastic contents from maricultured and natural mussels. Mar. Pollut. Bull. 2018, 131, 248–251. [Google Scholar] [CrossRef] [PubMed]
- Beyer, J.; Green, N.W.; Brooks, S.; Allan, I.J.; Ruus, A.; Gomes, T.; Bråte, I.L.N.; Schøyen, M. Blue mussels (Mytilus edulis spp.) as sentinel organisms in coastal pollution monitoring: A review. Mar. Environ. Res. 2017, 130, 338–365. [Google Scholar] [CrossRef] [PubMed]
- Baechler, B.R.; Stienbarger, C.D.; Horn, D.A.; Joseph, J.; Taylor, A.R.; Granek, E.F.; Brander, S.M. Microplastic occurrence and effects in commercially harvested North American finfish and shellfish: Current knowledge and future directions. Limnol. Oceanogr. Lett. 2020, 5, 113–136. [Google Scholar] [CrossRef]
- Daniel, D.B.; Ashraf, P.M.; Thomas, S.N.; Thomson, K.T. Microplastics in the edible tissues of shellfishes sold for human consumption. Chemosphere 2021, 264, 128554. [Google Scholar] [CrossRef] [PubMed]
- Lozano-Hernández, E.A.; Ramírez-Álvarez, N.; Rios Mendoza, L.M.; Macías-Zamora, J.V.; Sánchez-Osorio, J.L.; Hernández-Guzmán, F.A. Microplastic concentrations in cultured oysters in two seasons from two bays of Baja California, Mexico. Environ. Pollut. 2021, 290, 118031. [Google Scholar] [CrossRef] [PubMed]
- Sendra, M.; Sparaventi, E.; Novoa, B.; Figueras, A. An overview of the internalization and effects of microplastics and nanoplastics as pollutants of emerging concern in bivalves. Sci. Total Environ. 2021, 753, 142024. [Google Scholar] [CrossRef]
- Santonicola, S.; Volgare, M.; Cocca, M.; Dorigato, G.; Giaccone, V.; Colavita, G. Impact of Fibrous Microplastic Pollution on Commercial Seafood and Consumer Health: A Review. Animals 2023, 13, 1736. [Google Scholar] [CrossRef]
- Rosa, M.; Ward, J.E.; Shumway, S.E. Selective Capture and Ingestion of Particles by Suspension-Feeding Bivalve Molluscs: A Review. J. Shellfish Res. 2018, 37, 727–746. [Google Scholar] [CrossRef]
- Browne, M.A.; Chapman, M.G.; Thompson, R.C.; Amaral Zettler, L.A.; Jambeck, J.; Mallos, N.J. Spatial and Temporal Patterns of Stranded Intertidal Marine Debris: Is There a Picture of Global Change? Environ. Sci. Technol. 2015, 49, 7082–7094. [Google Scholar] [CrossRef]
- von Moos, N.; Burkhardt-Holm, P.; Köhler, A. Uptake and Effects of Microplastics on Cells and Tissue of the Blue Mussel Mytilus edulis L. after an Experimental Exposure. Environ. Sci. Technol. 2012, 46, 11327–11335. [Google Scholar] [CrossRef] [PubMed]
- Fernández, B.; Albentosa, M. Insights into the uptake, elimination and accumulation of microplastics in mussel. Environ. Pollut. 2019, 249, 321–329. [Google Scholar] [CrossRef] [PubMed]
- Lacroix, C.; Coquillé, V.; Guyomarch, J.; Auffret, M.; Moraga, D. A selection of reference genes and early-warning mRNA biomarkers for environmental monitoring using Mytilus spp. as sentinel species. Mar. Pollut. Bull. 2014, 86, 304–313. [Google Scholar] [CrossRef] [PubMed]
- Paul-Pont, I.; Lacroix, C.; González Fernández, C.; Hégaret, H.; Lambert, C.; le Goïc, N.; Frère, L.; Cassone, A.L.; Sussarellu, R.; Fabioux, C.; et al. Exposure of marine mussels Mytilus spp. to polystyrene microplastics: Toxicity and influence on fluoranthene bioaccumulation. Environ. Pollut. 2016, 216, 724–737. [Google Scholar] [CrossRef] [PubMed]
- Brandts, I.; Teles, M.; Gonçalves, A.P.; Barreto, A.; Franco-Martinez, L.; Tvarijonaviciute, A.; Martins, M.A.; Soares, A.M.V.M.; Tort, L.; Oliveira, M. Effects of nanoplastics on Mytilus galloprovincialis after individual and combined exposure with carbamazepine. Sci. Total Environ. 2018, 643, 775–784. [Google Scholar] [CrossRef]
- Lee, R.; Lovatelli, A.; Ababouch, L. Bivalve depuration: Fundamental and practical aspects. In FAO Fisheries Technical Paper; Arabic edition; Food and Agriculture Organization of the United Nations: Rome, Italy, 2008. [Google Scholar]
- van Cauwenberghe, L.; Janssen, C.R. Microplastics in bivalves cultured for human consumption. Environ. Pollut. 2014, 193, 65–70. [Google Scholar] [CrossRef]
- Birnstiel, S.; Soares-Gomes, A.; da Gama, B.A.P. Depuration reduces microplastic content in wild and farmed mussels. Mar. Pollut. Bull. 2019, 140, 241–247. [Google Scholar] [CrossRef]
- Fernández, B.; Albentosa, M. Dynamic of small polyethylene microplastics (≤10 μm) in mussel’s tissues. Mar. Pollut. Bull. 2019, 146, 493–501. [Google Scholar] [CrossRef]
- Graham, P.; Palazzo, L.; Andrea de Lucia, G.; Telfer, T.C.; Baroli, M.; Carboni, S. Microplastics uptake and egestion dynamics in Pacific oysters, Magallana gigas (Thunberg, 1793), under controlled conditions. Environ. Pollut. 2019, 252, 742–748. [Google Scholar] [CrossRef]
- Rist, S.; Steensgaard, I.M.; Guven, O.; Nielsen, T.G.; Jensen, L.H.; Møller, L.F.; Hartmann, N.B. The fate of microplastics during uptake and depuration phases in a blue mussel exposure system. Environ. Toxicol. Chem. 2019, 38, 99–105. [Google Scholar] [CrossRef]
- Chae, Y.; An, Y.J. Effects of food presence on microplastic ingestion and egestion in Mytilus galloprovincialis. Chemosphere 2020, 240, 124855. [Google Scholar] [CrossRef] [PubMed]
- Pizzurro, F.; Recchi, S.; Nerone, E.; Barile, N.B. Evaluation of Clearance Gut Rate in Bivalves for Risk Assessment Associated with Their Consumption. Istituto Zooprofilattico Sperimentale dell’Abruzzo e Molise, Teramo, Italy. June 2022, Final Report-Activity 4.4-D 4.4.3. Unpublished work.
- Burns, E.E.; Boxall, A.B.A. Microplastics in the aquatic environment: Evidence for or against adverse impacts and major knowledge gaps. Environ. Toxicol. Chem. 2018, 37, 2776–2796. [Google Scholar] [CrossRef] [PubMed]
- Gardon, T.; Morvan, L.; Huvet, A.; Quillien, V.; Soyez, C.; le Moullac, G.; le Luyer, J. Microplastics induce dose-specific transcriptomic disruptions in energy metabolism and immunity of the pearl oyster Pinctada margaritifera. Environ. Pollut. 2020, 266, 115180. [Google Scholar] [CrossRef] [PubMed]
- Albentosa, M.; Sánchez-Hernández, M.; Campillo, J.A.; Moyano, F.J. Relationship between physiological measurements (SFG -scope for growth-) and the functionality of the digestive gland in Mytilus galloprovincialis. Comp. Biochem. Physiol. Part A Mol. Integr. Physiol. 2012, 163, 286–295. [Google Scholar] [CrossRef] [PubMed]
- Woodall, L.C.; Gwinnett, C.; Packer, M.; Thompson, R.C.; Robinson, L.F.; Paterson, G.L.J. Using a forensic science approach to minimize environmental contamination and to identify microfibres in marine sediments. Mar. Pollut. Bull. 2015, 95, 40–46. [Google Scholar] [CrossRef] [PubMed]
- Mathalon, A.; Hill, P. Microplastic fibers in the intertidal ecosystem surrounding halifaxharbor, nova scotia. Mar. Pollut. Bull. 2014, 81, 69–79. [Google Scholar] [CrossRef] [PubMed]
- Bessa, F.; Barría, P.; Neto, J.M.; Frias, J.P.G.L.; Otero, V.; Sobral, P.; Marques, J.C. Occurrence of microplastics in commercial fish from a natural estuarine environment. Mar. Pollut. Bull. 2018, 128, 575–584. [Google Scholar] [CrossRef] [PubMed]
- Hidalgo-Ruz, V.; Gutow, L.; Thompson, R.C.; Thiel, M. Microplastics in the Marine Environment: A Review of the Methods Used for Identification and Quantification. Environ. Sci. Technol. 2012, 46, 3060–3075. [Google Scholar] [CrossRef]
- de Witte, B.; Devriese, L.; Bekaert, K.; Hoffman, S.; Vandermeersch, G.; Cooreman, K.; Robbens, J. Quality assessment of the blue mussel (Mytilus edulis): Comparison between commercial and wild types. Mar. Pollut. Bull. 2014, 85, 146–155. [Google Scholar] [CrossRef]
- Pfaffl, M.W. A new mathematical model for relative quantification in real-time RT-PCR. Nucleic Acids Res. 2001, 29, e45. [Google Scholar] [CrossRef]
- Livak, K.J.; Schmittgen, T.D. Analysis of Relative Gene Expression Data Using Real-Time Quantitative PCR and the 2−ΔΔCT Method. Methods 2001, 25, 402–408. [Google Scholar] [CrossRef] [PubMed]
- Sokolova, I.M. Apoptosis in molluscan immune defense. Invertebr. Surviv. J. 2009, 6, 49–58. [Google Scholar]
- Avio, C.G.; Gorbi, S.; Milan, M.; Benedetti, M.; Fattorini, D.; D’Errico, G.; Pauletto, M.; Bargelloni, L.; Regoli, F. Pollutants bioavailability and toxicological risk from microplastics to marine mussels. Environ. Pollut. 2015, 198, 211–222. [Google Scholar] [CrossRef] [PubMed]
- van Cauwenberghe, L.; Claessens, M.; Vandegehuchte, M.B.; Janssen, C.R. Microplastics are taken up by mussels (Mytilus edulis) and lugworms (Arenicola marina) living in natural habitats. Environ. Pollut. 2015, 199, 10–17. [Google Scholar] [CrossRef] [PubMed]
- Lambert, S.; Scherer, C.; Wagner, M. Ecotoxicity testing of microplastics: Considering the heterogeneity of physicochemical properties. In Integrated Environmental Assessment and Management; Wiley-Blackwell: Hoboken, NJ, USA, 2017; Volume 13, pp. 470–475. [Google Scholar]
- Weinstein, J.E.; Ertel, B.M.; Gray, A.D. Accumulation and depuration of microplastic fibers, fragments, and tire particles in the eastern oyster, Crassostrea virginica: A toxicokinetic approach. Environ. Pollut. 2022, 308, 119681. [Google Scholar] [CrossRef]
- Ribeiro, F.; Garcia, A.R.; Pereira, B.P.; Fonseca, M.; Mestre, N.C.; Fonseca, T.G.; Ilharco, L.M.; Bebianno, M.J. Microplastics effects in Scrobicularia plana. Mar. Pollut. Bull. 2017, 122, 379–391. [Google Scholar] [CrossRef]
- Xu, X.Y.; Lee, W.T.; Chan, A.K.Y.; Lo, H.S.; Shin, P.K.S.; Cheung, S.G. Microplastic ingestion reduces energy intake in the clam Atactodea striata. Mar. Pollut. Bull. 2017, 124, 798–802. [Google Scholar] [CrossRef]
- Browne, M.A.; Dissanayake, A.; Galloway, T.S.; Lowe, D.M.; Thompson, R.C. Ingested Microscopic Plastic Translocates to the Circulatory System of the Mussel, Mytilus edulis (L.). Environ. Sci. Technol. 2008, 42, 5026–5031. [Google Scholar] [CrossRef]
- Ward, J.E.; Zhao, S.; Holohan, B.A.; Mladinich, K.M.; Griffin, T.W.; Wozniak, J.; Shumway, S.E. Selective Ingestion and Egestion of Plastic Particles by the Blue Mussel (Mytilus edulis) and Eastern Oyster (Crassostrea virginica): Implications for Using Bivalves as Bioindicators of Microplastic Pollution. Environ. Sci. Technol. 2019, 53, 8776–8784. [Google Scholar] [CrossRef]
- Li, J.; Wang, Z.; Rotchell, J.M.; Shen, X.; Li, Q.; Zhu, J. Where are we? Towards an understanding of the selective accumulation of microplastics in mussels. Environ. Pollut. 2021, 286, 117543. [Google Scholar] [CrossRef]
- Catarino, A.I.; Macchia, V.; Sanderson, W.G.; Thompson, R.C.; Henry, T.B. Low levels of microplastics (MP) in wild mussels indicate that MP ingestion by humans is minimal compared to exposure via household fibres fallout during a meal. Environ. Pollut. 2018, 237, 675–684. [Google Scholar] [CrossRef]
- Volgare, M.; Santonicola, S.; Cocca, M.; Avolio, R.; Castaldo, R.; Errico, M.E.; Gentile, G.; Raimo, G.; Gasperi, M.; Colavita, G. A versatile approach to evaluate the occurrence of microfibers in mussels Mytilus galloprovincialis. Sci. Rep. 2022, 12, 21827. [Google Scholar] [CrossRef]
- Bustamante, P.; Luna-Acosta, A.; Clemens, S.; Cassi, R.; Thomas-Guyon, H.; Warnau, M. Bioaccumulation and metabolisation of 14C-pyrene by the Pacific oyster Crassostrea gigas exposed via seawater. Chemosphere 2012, 87, 938–944. [Google Scholar] [CrossRef]
- Zanette, J.; Jenny, M.J.; Goldstone, J.V.; Parente, T.; Woodin, B.R.; Bainy, A.C.D.; Stegeman, J.J. Identification and expression of multiple CYP1-like and CYP3-like genes in the bivalve mollusk Mytilus edulis. Aquat. Toxicol. 2013, 128–129, 101–112. [Google Scholar] [CrossRef]
- Estévez-Calvar, N.; Romero, A.; Figueras, A.; Novoa, B. Genes of the Mitochondrial Apoptotic Pathway in Mytilus galloprovincialis. PLoS ONE 2013, 8, e61502. [Google Scholar] [CrossRef]
- Wang, J.; Zhang, G.; Fang, X.; Guo, X.; Li, L.; Luo, R.; Xu, F.; Yang, P.; Zhang, L.; Wang, X.; et al. The oyster genome reveals stress adaptation and complexity of shell formation. Nature 2012, 490, 49–54. [Google Scholar] [CrossRef]
- Rola, R.C.; Monteiro, M.d.C.; Reis, S.R.d.S.; Sandrini, J.Z. Molecular and biochemical biomarkers responses in the mussel Mytilus edulis collected from Southern Brazil coast. Mar. Pollut. Bull. 2012, 64, 766–771. [Google Scholar] [CrossRef]
- Gomes, T.; Chora, S.; Pereira, C.G.; Cardoso, C.; Bebianno, M.J. Proteomic response of mussels Mytilus galloprovincialis exposed to CuO NPs and Cu2+: An exploratory biomarker discovery. Aquat. Toxicol. 2014, 155, 327–336. [Google Scholar] [CrossRef]
- Pinsino, A.; Bergami, E.; della Torre, C.; Vannuccini, M.L.; Addis, P.; Secci, M.; Dawson, K.A.; Matranga, V.; Corsi, I. Amino-modified polystyrene nanoparticles affect signalling pathways of the sea urchin (Paracentrotus lividus) embryos. Nanotoxicology 2017, 11, 201–209. [Google Scholar] [CrossRef]
- Bergami, E.; Pugnalini, S.; Vannuccini, M.L.; Manfra, L.; Faleri, C.; Savorelli, F.; Dawson, K.A.; Corsi, I. Long-term toxicity of surface-charged polystyrene nanoplastics to marine planktonic species Dunaliella tertiolecta and Artemia franciscana. Aquat. Toxicol. 2017, 189, 159–169. [Google Scholar] [CrossRef]
- Blanco-Rayón, E.; Ivanina, A.v.; Sokolova, I.M.; Marigómez, I.; Izagirre, U. Sex and sex-related differences in gamete development progression impinge on biomarker responsiveness in sentinel mussels. Sci. Total Environ. 2020, 740, 140178. [Google Scholar] [CrossRef]
- Kapranov, S.V.; Karavantseva, N.V.; Bobko, N.I.; Ryabushko, V.I.; Kapranova, L.L. Sex- and sexual maturation-related aspects of the element accumulation in soft tissues of the bivalve Mytilus galloprovincialis Lam. collected off coasts of Sevastopol (southwestern Crimea, Black Sea). Environ. Sci. Pollut. Res. Int. 2021, 28, 21553–21576. [Google Scholar] [CrossRef]
- Matozzo, V.; Marin, M.G. First Evidence of Gender-Related Differences in Immune Parameters of the Clam Ruditapes Philippinarum (Mollusca, Bivalvia). Mar. Biol. 2010, 157, 1181–1189. [Google Scholar] [CrossRef]
- Chapman, E.C.; O’Dell, A.R.; Meligi, N.M.; Parsons, D.R.; Rotchell, J.M. Seasonal expression patterns of clock-associated genes in the blue mussel Mytilus edulis. Chronobiol. Int. 2017, 34, 1300–1314. [Google Scholar] [CrossRef]
- Ciocan, C.M.; Cubero-Leon, E.; Puinean, A.M.; Hill, E.M.; Minier, C.; Osada, M.; Fenlon, K.; Rotchell, J.M. Effects of estrogen exposure in mussels, Mytilus edulis, at different stages of gametogenesis. Environ. Pollut. 2010, 158, 2977–2984. [Google Scholar] [CrossRef]
- Mincarelli, L.F.; Rotchell, J.M.; Chapman, E.C.; Turner, A.P.; Wollenberg Valero, K.C. Consequences of combined exposure to thermal stress and the plasticiser DEHP in Mytilus spp. differ by sex. Mar. Pollut. Bull. 2021, 170, 112624. [Google Scholar] [CrossRef]
- Mincarelli, L.F.; Chapman, E.C.; Rotchell, J.M.; Turner, A.P.; Wollenberg Valero, K.C. Sex and gametogenesis stage are strong drivers of gene expression in Mytilus edulis exposed to environmentally relevant plasticiser levels and pH 7.7. Environ. Sci. Pollut. Res. Int. 2023, 30, 23437–23449. [Google Scholar] [CrossRef]







| Gene Name | Abbreviation | Pathway/Function | Forward (5′-3′) | Reverse (5′-3′) | Accession Number | Reference |
|---|---|---|---|---|---|---|
| β-Actin | act | Housekeeping gene | CGACTCTGGAGATGGTGTCA | GCGGTGGTTGTGAATGAGTA | AF157491.1 | [36] |
| α-Tubulin | tub | Housekeeping gene | CTTCGGTGGTGGTACTGGAT | AGTGCTCAAGGGTGGTATGG | HM537081.1 | [36] |
| Cytochrome P450-1-like-1 | cyp11 | Phase I biotransformation | TGGTTGCGATTTGTTATGCCCTGGA | GGCGGAAAGCAATCCATCCGTGA | JX885878 | [34] |
| Cytochrome P450-3-like-2 | cyp32 | Phase I biotransformation | CAGACGCGCCAAAAGTGATA | GTCCCAAGCCAAAAGGAAGG | AB479539 | [34] |
| π-glutathione-S-transferase | π-gst | Phase II biotransformation | CCTGAAACCAACCAAGGGTTACAT | TGGACTCCTGGTCTAGCCAACACT | AF227977/AF527010 | [34] |
| p-53 tumor suppressor-like | p53 | Cellular stress response | CAACAACTTGCCCAATCCGA | GGCGGCTGGTATATGGATCT | AY579472/ DQ158079 | [34] |
| Heat shock protein 70 | hsp70 | Cellular tissue repair | CCCTTTCTTCAAGCACACAAGCA | AACTGGTTCCATGGTTCCTCTGAA | AF172607 | [36] |
| Cathepsin | cat | Immune system | CGCAGCTAATGTTGGCGCC | CTACGGCGATTGGTCCCTG | AF172607 | [36] |
| Lysozyme | lys | Immune system | TCGACTGTGGACAACCAAAA | GTGACCAATGTACCTCGCCA | AF334662/AF334665 | [35] |
| N. Organisms Found Contaminated | N. Organisms Found Contaminated (%) | l.c.l. | u.c.l. | N. MPs/Individuals’ Total Number ± SD | Average MPs Particles/g ± SD | Granules (%) | Fibers (%) | Fragments (%) | |
|---|---|---|---|---|---|---|---|---|---|
| EXPERIMENTAL GROUPS (replicate 1) | |||||||||
| Group T0 | 20/20 | 100% | 87% | 100% | 182 ± 8.69 | 2.40 ± 1.10 | 36 | 60 | 4 |
| Group T2 | 19/20 | 95% | 76% | 99% | 63 ± 2.40 | 0.79 ± 0.64 | 11 | 87 | 2 |
| Group T7 | 15/20 | 75% | 53% | 89% | 28 ± 1.23 | 0.39 ± 0.35 | 7 | 89 | 4 |
| EXPERIMENTAL GROUPS (replicate 2) | |||||||||
| Group T0 | 20/20 | 100% | 87% | 100% | 217 ± 5.58 | 2.15 ± 1.24 | 37 | 61 | 2 |
| Group T2 | 14/20 | 70% | 48% | 85% | 38 ± 1.76 | 0.45 ± 0.31 | 16 | 71 | 13 |
| Group T7 | 13/20 | 65% | 43% | 82% | 20 ± 0.97 | 0.17 ± 0.15 | 0 | 95 | 5 |
| EXPERIMENTAL GROUPS (replicate 3) | |||||||||
| Group T0 | 20/20 | 100% | 87% | 100% | 203 ± 8.29 | 1.97 ± 1.32 | 17 | 83 | 0 |
| Group T2 | 14/20 | 95% | 48% | 85% | 26 ± 8.19 | 0.24 ± 0.11 | 8 | 88 | 4 |
| Group T7 | 11/20 | 55% | 34% | 74% | 27 ± 0.78 | 0.26 ± 0.20 | 0 | 89 | 11 |
| Coefficients | Standard Error | Stat t | Significance Value | Lower 95% | Upper 95% | |
|---|---|---|---|---|---|---|
| Intercept | 1.91 | 0.12 | 15.28 | 3 × 10−34 | 1.66 | 2.16 |
| TIME | −0.25 | 0.03 | −8.30 | 2 × 10−14 | −0.31 | −0.19 |
| 10–50 µm | 50–100 µm | 200 µm | 100–500 µm | <1000 µm | 1000–2000 µm | 2000–3000 µm | >3000 µm | |
|---|---|---|---|---|---|---|---|---|
| Control group | 1% | 70% | 0% | 1% | 15% | 7% | 3% | 3% |
| T0 group | 0% | 0% | 6% | 1% | 18% | 43% | 24% | 7% |
| T2 group | 2% | 13% | 2% | 0% | 33% | 17% | 31% | 2% |
| T7 group | 1% | 5% | 0% | 3% | 51% | 20% | 11% | 9% |
Disclaimer/Publisher’s Note: The statements, opinions and data contained in all publications are solely those of the individual author(s) and contributor(s) and not of MDPI and/or the editor(s). MDPI and/or the editor(s) disclaim responsibility for any injury to people or property resulting from any ideas, methods, instructions or products referred to in the content. |
© 2023 by the authors. Licensee MDPI, Basel, Switzerland. This article is an open access article distributed under the terms and conditions of the Creative Commons Attribution (CC BY) license (https://creativecommons.org/licenses/by/4.0/).
Share and Cite
Pizzurro, F.; Nerone, E.; Ancora, M.; Di Domenico, M.; Mincarelli, L.F.; Cammà, C.; Salini, R.; Di Renzo, L.; Di Giacinto, F.; Corbau, C.; et al. Exposure of Mytilus galloprovincialis to Microplastics: Accumulation, Depuration and Evaluation of the Expression Levels of a Selection of Molecular Biomarkers. Animals 2024, 14, 4. https://doi.org/10.3390/ani14010004
Pizzurro F, Nerone E, Ancora M, Di Domenico M, Mincarelli LF, Cammà C, Salini R, Di Renzo L, Di Giacinto F, Corbau C, et al. Exposure of Mytilus galloprovincialis to Microplastics: Accumulation, Depuration and Evaluation of the Expression Levels of a Selection of Molecular Biomarkers. Animals. 2024; 14(1):4. https://doi.org/10.3390/ani14010004
Chicago/Turabian StylePizzurro, Federica, Eliana Nerone, Massimo Ancora, Marco Di Domenico, Luana Fiorella Mincarelli, Cesare Cammà, Romolo Salini, Ludovica Di Renzo, Federica Di Giacinto, Corinne Corbau, and et al. 2024. "Exposure of Mytilus galloprovincialis to Microplastics: Accumulation, Depuration and Evaluation of the Expression Levels of a Selection of Molecular Biomarkers" Animals 14, no. 1: 4. https://doi.org/10.3390/ani14010004
APA StylePizzurro, F., Nerone, E., Ancora, M., Di Domenico, M., Mincarelli, L. F., Cammà, C., Salini, R., Di Renzo, L., Di Giacinto, F., Corbau, C., Bokan, I., Ferri, N., & Recchi, S. (2024). Exposure of Mytilus galloprovincialis to Microplastics: Accumulation, Depuration and Evaluation of the Expression Levels of a Selection of Molecular Biomarkers. Animals, 14(1), 4. https://doi.org/10.3390/ani14010004

