Diet Preference, Feed Efficiency and Expression of the Sodium-Dependent Glucose Transporter Isoform 1 and Sweet Taste Receptors in the Jejunum of Lambs Supplemented with Different Flavours
Abstract
Simple Summary
Abstract
1. Introduction
2. Materials and Methods
2.1. Preference Study
2.2. Feed Intake, Performance, Nutrient Apparent Digestibility and Biopsy Sampling of Intestinal Tissue
2.3. Chemical Analysis
2.4. Determination of mRNA Abundance by Real-Time Polymerase Chain Reaction
2.5. Statistical Analysis
3. Results
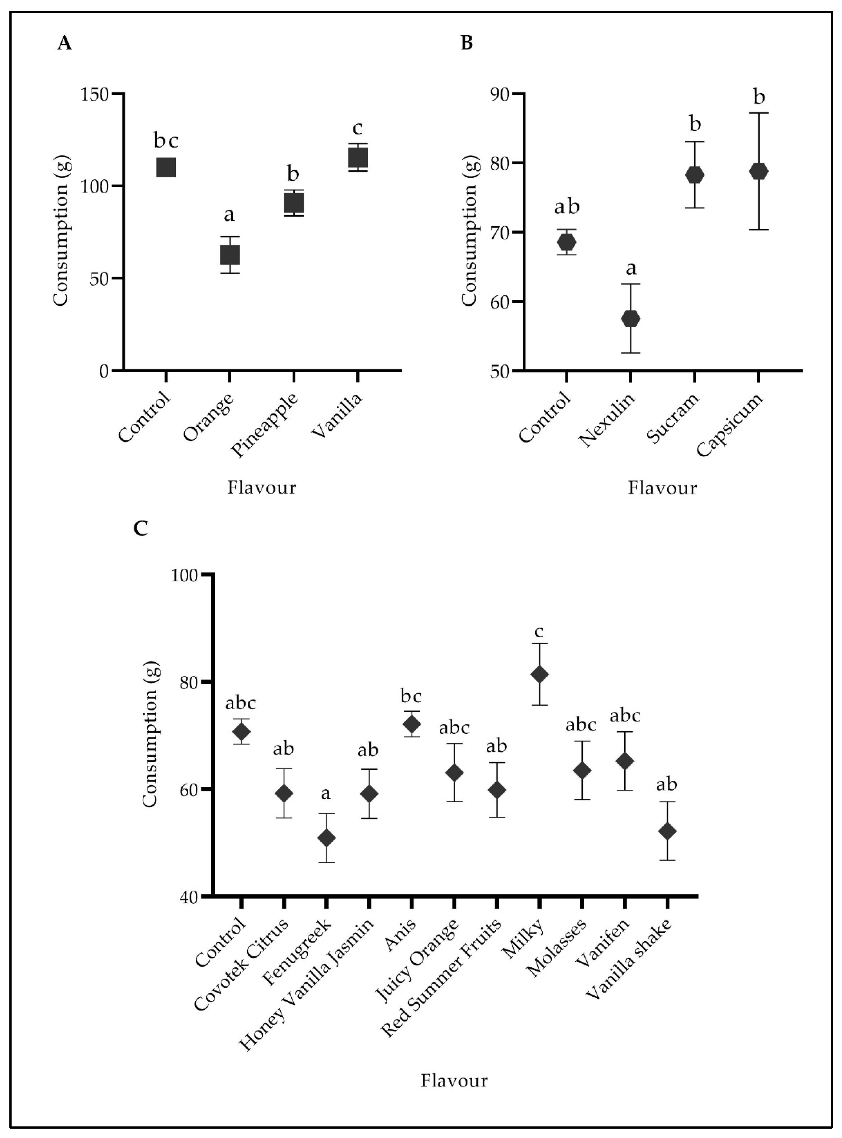
3.1. Flavour Preference
3.2. Feed Intake, Performance and Nutrient Apparent Digestibility
3.3. Energy Balance
3.4. T1R2, T1R3 and SGLT1 Gene Expression
4. Discussion
4.1. Flavour Preference
4.2. DMI, BW Gain, Nutrient Apparent Digestibility and Energy Balance
4.2.1. DMI and BW Gain
4.2.2. Nutrient Apparent Digestibility
4.2.3. Energy Balance
4.3. T1R2, T1R3 and SGLT1 Relative Gene Expression
5. Conclusions
Author Contributions
Funding
Institutional Review Board Statement
Informed Consent Statement
Data Availability Statement
Acknowledgments
Conflicts of Interest
References
- Favreau-Peigné, A.; Baumont, R.; Ginane, C. Food sensory characteristics: Their unconsidered roles in the feeding behaviour of domestic ruminants. Animal 2013, 7, 806–813. [Google Scholar] [CrossRef] [PubMed]
- McSweeney, F.K.; Swindell, S. General-process theories of motivation revisited: The role of habituation. Psychol. Bull. 1999, 125, 437–457. [Google Scholar] [CrossRef]
- De Souza Teixeira, O.; Kuczynski da Rocha, M.; Mendes Paizano Alforma, A.; Silva Fernandes, V.; de Oliveira Feijó, J.; Nunes Corrêa, M.; Andrighetto Canozzi, M.E.; McManus, C.; Jardim Barcellos, J.O. Behavioural and physiological responses of male and female beef cattle to weaning at 30, 75 or 180 days of age. Appl. Anim. Behav. Sci. 2021, 240, 105339. [Google Scholar] [CrossRef]
- Abdelsattar, M.M.; Vargas-Bello-Pérez, E.; Zhuang, Y.; Fu, Y.; Zhang, N. Impact of dietary supplementation of β-hydroxybutyric acid on performance, nutrient digestibility, organ development and serum stress indicators in early-weaned goat kids. Anim. Nutr. 2022, 9, 16–22. [Google Scholar] [CrossRef]
- McCoard, S.A.; Cristobal-Carballo, O.; Knol, F.W.; Heiser, A.; Khan, M.A.; Hennes, N.; Johnstone, P.; Lewis, S.; Stevens, D.R. Impact of early weaning on small intestine, metabolic, immune and endocrine system development, growth and body composition in artificially reared lambs. J. Anim. Sci. 2020, 98, skz356. [Google Scholar] [CrossRef]
- Jacela, J.Y.; DeRouchey, J.M.; Tokach, M.D.; Goodband, R.D.; Nelssen, J.L.; Renter, D.G.; Dritz, S.S. Feed additives for swine: Fact sheets—Flavors and mold inhibitors, mycotoxin binders, and antioxidants. J. Swine Health Prod. 2010, 18, 27–32. [Google Scholar] [CrossRef]
- Moran, A.W.; Al-Rammahi, M.; Zhang, C.; Bravo, D.; Calsamiglia, S.; Shirazi-Beechey, S.P. Sweet taste receptor expression in ruminant intestine and its activation by artificial sweeteners to regulate glucose absorption. J. Dairy Sci. 2014, 97, 4955–4972. [Google Scholar] [CrossRef]
- Neumann, N.J.; Fasshauer, M. Added flavors: Potential contributors to body weight gain and obesity? BMC Med. 2022, 20, 417. [Google Scholar] [CrossRef]
- Van Tien, D.; Lynch, J.J.; Hinch, G.N.; Nolan, J.V. Grass odor and flavor overcome feed neophobia in sheep. Small Rumin. Res. 1999, 32, 223–229. [Google Scholar] [CrossRef]
- Montoro, C.; Ipharraguerre, I.; Bach, A. Effect of flavoring a starter in a same manner as a milk replacer on intake and performance of calves. Anim. Feed Sci. Technol. 2011, 164, 130–134. [Google Scholar] [CrossRef]
- Harper, M.T.; Oh, J.; Giallongo, F.; Lopes, J.C.; Weeks, H.L.; Faugeron, J.; Hristov, A.N. Short communication: Preference for flavored concentrate premixes by dairy cows. J. Dairy Sci. 2016, 99, 6585–6589. [Google Scholar] [CrossRef] [PubMed]
- Atwood, S.B.; Provenza, F.D.; Wiedmeier, R.D.; Banner, R.E. Changes in preferences of gestating heifers fed untreated or ammoniated straw in different flavors. J. Anim. Sci. 2001, 79, 3027–3033. [Google Scholar] [CrossRef]
- Pepino, M.Y.; Bourne, C. Non-nutritive sweeteners, energy balance, and glucose homeostasis. Curr. Opin. Clin. Nutr. Metab. Care 2011, 14, 391–395. [Google Scholar] [CrossRef] [PubMed]
- Abou-Donia, M.B.; El-Masry, E.M.; Abdel-Rahman, A.A.; McLendon, R.E.; Schiffman, S.S. Splenda alters gut microflora and increases intestinal P-glycoprotein and cytochrome P-450 in male rats. J. Toxicol. Environ. Health-Part A Curr. Issues 2008, 71, 1415–1429. [Google Scholar] [CrossRef]
- Palmnäs, M.S.A.; Cowan, T.E.; Bomhof, M.R.; Su, J.; Reimer, R.A.; Vogel, H.J.; Hittel, D.S.; Shearer, J. Low-dose aspartame consumption differentially affects gut microbiota-host metabolic interactions in the diet-induced obese rat. PLoS ONE 2014, 9, e109841. [Google Scholar] [CrossRef]
- Oh, J.; Harper, M.; Giallongo, F.; Bravo, D.M.; Wall, E.H.; Hristov, A.N. Effects of rumen-protected Capsicum oleoresin on productivity and responses to a glucose tolerance test in lactating dairy cows. J. Dairy Sci. 2017, 100, 1888–1901. [Google Scholar] [CrossRef] [PubMed]
- Dyer, J.; Vayro, S.; King, T.P.; Shirazi-Beechey, S.P. Glucose sensing in the intestinal epithelium. Eur. J. Biochem. 2003, 270, 3377–3388. [Google Scholar] [CrossRef]
- Fournel, A.; Marlin, A.; Abot, A.; Pasquio, C.; Cirillo, C.; Cani, P.D.; Knauf, C. Glucosensing in the gastrointestinal tract: Impact on glucose metabolism. Am. J. Physiol. Liver Physiol. 2016, 310, G645–G658. [Google Scholar] [CrossRef]
- Moon, Y.W.; Lee, J.H.; Yoo, S.B.; Jahng, J.W. Capsaicin receptors are colocalized with sweet/bitter receptors in the taste sensing cells of circumvallate papillae. Genes Nutr. 2010, 5, 251–255. [Google Scholar] [CrossRef]
- Gu, X.F.; Lee, J.-H.; Yoo, S.B.; Moon, Y.W.; Jahng, J.W. Intra-oral pre-treatment with capsaicin increases consumption of sweet solutions in rats. Nutr. Neurosci. 2009, 12, 149–154. [Google Scholar] [CrossRef]
- Lee, G.; Chung, Y.-J.; Lee, M. Development of a gene expression panel, for the prediction of protein abundances in cancer cell lines. Curr. Bioinform. 2021, 16, 846–854. [Google Scholar] [CrossRef]
- National Research Council. Nutrient Requirements of Small Ruminants: Sheep, Goats, Cervids, and New World Camelids; National Academies Press: Washington, DC, USA, 2007; ISBN 978-0-309-10213-1. [Google Scholar]
- Oh, J.; Harper, M.T.; Melgar, A.; Räisänen, S.; Chen, X.; Nedelkov, K.; Fetter, M.; Ott, T.; Wall, E.H.; Hristov, A.N. Dietary supplementation with rumen-protected capsicum during the transition period improves the metabolic status of dairy cows. J. Dairy Sci. 2021, 104, 11609–11620. [Google Scholar] [CrossRef] [PubMed]
- AOAC. Official Methods of Analysis, 15th ed.; Association of Official Agricultural Chemists: Washington, DC, USA, 1990; pp. 136–138. [Google Scholar]
- Van Soest, P.J.; Robertson, J.B.; Lewis, B.A. Methods for dietary fiber, neutral detergent fiber, and nonstarch polysaccharides in relation to animal nutrition. J. Dairy Sci. 1991, 74, 3583–3597. [Google Scholar] [CrossRef]
- National Research Council. Nutrient Requirements of Dairy Cattle, 7th ed.; National Academies Press: Washington, DC, USA, 2001; ISBN 978-0-309-06997-7. [Google Scholar]
- Ye, J.; Coulouris, G.; Zaretskaya, I.; Cutcutache, I.; Rozen, S.; Madden, T.L. Primer-BLAST: A tool to design target-specific primers for polymerase chain reaction. BMC Bioinform. 2012, 13, 134. [Google Scholar] [CrossRef] [PubMed]
- Livak, K.J.; Schmittgen, T.D. Analysis of relative gene expression data using real-time quantitative PCR and the 2−ΔΔCT method. Methods 2001, 25, 402–408. [Google Scholar] [CrossRef] [PubMed]
- Simitzis, P.E.; Feggeros, K.; Bizelis, J.A.; Deligeorgis, S.G. Behavioural reaction to essential oils dietary supplementation in sheep. Biotechnol. Anim. Husb. 2005, 21, 97–103. [Google Scholar] [CrossRef]
- Nedelkov, K.; Harper, M.T.; Melgar, A.; Chen, X.; Räisänen, S.; Martins, C.M.M.R.; Faugeron, J.; Wall, E.H.; Hristov, A.N. Acceptance of flavored concentrate premixes by young ruminants following a short-term exposure. J. Dairy Sci. 2019, 102, 388–394. [Google Scholar] [CrossRef]
- Oh, J.; Giallongo, F.; Frederick, T.; Pate, J.; Walusimbi, S.; Elias, R.J.; Wall, E.H.; Bravo, D.; Hristov, A.N. Effects of dietary Capsicum oleoresin on productivity and immune responses in lactating dairy cows. J. Dairy Sci. 2015, 98, 6327–6339. [Google Scholar] [CrossRef]
- Oh, J.; Harper, M.; Giallongo, F.; Bravo, D.M.; Wall, E.H.; Hristov, A.N. Effects of rumen-protected Capsicum oleoresin on immune responses in dairy cows intravenously challenged with lipopolysaccharide. J. Dairy Sci. 2017, 100, 1902–1913. [Google Scholar] [CrossRef]
- McMeniman, J.P.; Rivera, J.D.; Schlegel, P.; Rounds, W.; Galyean, M.L. Effects of an artificial sweetener on health, performance, and dietary preference of feedlot cattle. J. Anim. Sci. 2006, 84, 2491–2500. [Google Scholar] [CrossRef] [PubMed]
- Oh, J.; Hristov, A.N.; Lee, C.; Cassidy, T.; Heyler, K.; Varga, G.A.; Pate, J.; Walusimbi, S.; Brzezicka, E.; Toyokawa, K.; et al. Immune and production responses of dairy cows to postruminal supplementation with phytonutrients. J. Dairy Sci. 2013, 96, 7830–7843. [Google Scholar] [CrossRef] [PubMed]
- Tager, L.R.; Krause, K.M. Effects of essential oils on rumen fermentation, milk production, and feeding behavior in lactating dairy cows. J. Dairy Sci. 2011, 94, 2455–2464. [Google Scholar] [CrossRef]
- Abecia, L.; Rodríguez-Romero, N.; Yañez-Ruiz, D.R.; Fondevila, M. Biodiversity and fermentative activity of caecal microbial communities in wild and farm rabbits from Spain. Anaerobe 2012, 18, 344–349. [Google Scholar] [CrossRef] [PubMed]
- Cardozo, P.W.; Calsamiglia, S.; Ferret, A.; Kamel, C. Effects of alfalfa extract, anise, capsicum, and a mixture of cinnamaldehyde and eugenol on ruminal fermentation and protein degradation in beef heifers fed a high-concentrate diet. J. Anim. Sci. 2006, 84, 2801–2808. [Google Scholar] [CrossRef] [PubMed]
- Ali, W.A.; Ahmed, A.; El-Gabry, H. Effects of capsaicin supplementation on productive and physiological performance of Pekin ducks during summer season. Egypt. J. Nutr. Feed. 2016, 19, 549–561. [Google Scholar] [CrossRef]
- El-Tazi, S.M.A. Response of broiler chicken to diets containing different mixture powder levels of red pepper and black pepper as natural feed additive. Anim. Vet. Sci. 2014, 2, 81–86. [Google Scholar] [CrossRef]
- Diaz-sanchez, S.; Souza, D.D.; Biswas, D.; Hanning, I. Botanical alternatives to antibiotics for use in organic poultry production. Poult. Sci. 2015, 94, 1419–1430. [Google Scholar] [CrossRef] [PubMed]
- Fattori, V.; Hohmann, M.; Rossaneis, A.; Pinho-Ribeiro, F.; Verri, W. Capsaicin: Current understanding of its mechanisms and therapy of pain and other pre-clinical and clinical uses. Molecules 2016, 21, 844. [Google Scholar] [CrossRef]
- Zhao, P.Y.; Jung, J.H.; Kim, I.H. Effect of feed flavor and sweetener on growth performance, nutrient digestibility, blood profile, and diarrhea score in weaning pigs. J. Anim. Sci. 2012, 90, 833–839. [Google Scholar] [CrossRef]
- Van den Berg, M.; Giagos, V.; Lee, C.; Brown, W.Y.; Cawdell-Smith, A.J.; Hinch, G.N. The influence of odour, taste and nutrients on feeding behaviour and food preferences in horses. Appl. Anim. Behav. Sci. 2016, 184, 41–50. [Google Scholar] [CrossRef]
- Sterk, A.; Schlegel, P.; Mul, J.; Ubbink-Blanksma, M.; Bruininx, E.M.A.M. Effects of sweeteners on individual feed intake characteristics and performance in group-housed weanling pigs. J. Anim. Sci. 2008, 86, 2990–2997. [Google Scholar] [CrossRef]
- Thacker, P.A.; Haq, I. Effect of enzymes, flavor and organic acids on nutrient digestibility, performance and carcass traits of growing-finishing pigs fed diets containing dehydrated lucerne meal. J. Sci. Food Agric. 2009, 89, 101–108. [Google Scholar] [CrossRef]
- Munro, P.J.; Lirette, A.; Anderson, D.M.; Ju, H.Y. Effects of a new sweetener, Stevia, on performance of newly weaned pigs. Can. J. Anim. Sci. 2000, 80, 529–531. [Google Scholar] [CrossRef]
- Ponce, C.H.; Brown, M.S.; Silva, J.S.; Schlegel, P.; Rounds, W.; Hallford, D.M. Effects of a dietary sweetener on growth performance and health of stressed beef calves and on diet digestibility and plasma and urinary metabolite concentrations of healthy calves. J. Anim. Sci. 2014, 92, 1630–1638. [Google Scholar] [CrossRef] [PubMed]
- Aregheore, E.M. Effect of sex on feed intake, growth and nutrients digestibility in Blackhead sheep fed complete mash rations of crop residues. J. Anim. Feed Sci. 1997, 6, 71–79. [Google Scholar] [CrossRef]
- Rodríguez, A.B.; Bodas, R.; Prieto, N.; Landa, R.; Mantecón, A.R.; Giráldez, F.J. Effect of sex and feeding system on feed intake, growth, and meat and carcass characteristics of fattening Assaf lambs. Livest. Sci. 2008, 116, 118–125. [Google Scholar] [CrossRef]
- De Araújo, T.L.A.C.; Pereira, E.S.; Mizubuti, I.Y.; Campos, A.C.N.; Pereira, M.W.F.; Heinzen, E.L.; Magalhães, H.C.R.; Bezerra, L.R.; da Silva, L.P.; Oliveira, R.L. Effects of quantitative feed restriction and sex on carcass traits, meat quality and meat lipid profile of Morada Nova lambs. J. Anim. Sci. Biotechnol. 2017, 8, 46. [Google Scholar] [CrossRef]
- Polák, J.; Frynta, D. Sexual size dimorphism in domestic goats, sheep, and their wild relatives. Biol. J. Linn. Soc. 2009, 98, 872–883. [Google Scholar] [CrossRef]
- Illius, A.W.; Gordon, I.J. Prediction of intake and digestion in ruminants by a model of rumen kinetics integrating animal size and plant characteristics. J. Agric. Sci. 1991, 116, 145–157. [Google Scholar] [CrossRef]
- Clarke, I.J. Sex and season are major determinants of voluntary food intake in sheep. Reprod. Fertil. Dev. 2001, 13, 577–582. [Google Scholar] [CrossRef]
- Huntington, G.B.; Harmon, D.L.; Richards, C.J. Sites, rates, and limits of starch digestion and glucose metabolism in growing cattle. J. Anim. Sci. 2006, 84 (Suppl. S13), 14–24. [Google Scholar] [CrossRef] [PubMed]
- Larsen, M.; Lund, P.; Weisbjerg, M.R.; Hvelplund, T. Digestion site of starch from cereals and legumes in lactating dairy cows. Anim. Feed Sci. Technol. 2009, 153, 236–248. [Google Scholar] [CrossRef]
- Moharrery, A.; Larsen, M.; Weisbjerg, M.R. Starch digestion in the rumen, small intestine, and hind gut of dairy cows—A meta-analysis. Anim. Feed Sci. Technol. 2014, 192, 1–14. [Google Scholar] [CrossRef]
- Archimède, H.; Sauvant, D.; Schmidely, P. Quantitative review of ruminal and total tract digestion of mixed diet organic matter and carbohydrates. Reprod. Nutr. Dev. 1997, 37, 173–189. [Google Scholar] [CrossRef] [PubMed]
- Platel, K.; Srinivasan, K. Influence of dietary spices or their active principles on digestive enzymes of small intestinal mucosa in rats. Int. J. Food Sci. Nutr. 1996, 47, 55–59. [Google Scholar] [CrossRef]
- Mills, J.; France, J.; Dijkstra, J. A review of starch digestion in the lactating dairy cow and proposals for a mechanistic model: 2. Postruminal starch digestion and small intestinal glucose absorption. J. Anim. Feed Sci. 1999, 8, 451–481. [Google Scholar] [CrossRef]
- Burant, C.F. Fructose transporter in human spermatozoa and small intestine is GLUTS. J. Biol. Chem. 1992, 267, 14523–14526. [Google Scholar] [CrossRef]
- Dyer, J.; Vayro, S.; Shirazi-Beechey, S.P. Mechanism of glucose sensing in the small intestine. Biochem. Soc. Trans. 2003, 31, 1140–1142. [Google Scholar] [CrossRef]
- Ferraris, R.P.; Diamond, J. Regulation of intestinal sugar transport. Physiol. Rev. 1997, 77, 257–302. [Google Scholar] [CrossRef]
- Ludy, M.J.; Moore, G.E.; Mattes, R.D. The effects of capsaicin and capsiate on energy balance: Critical review and meta-analyses of studies in humans. Chem. Senses 2012, 37, 103–121. [Google Scholar] [CrossRef]
- Calsamiglia, S.; Busquet, M.; Cardozo, P.W.; Castillejos, L.; Ferret, A. Invited review: Essential oils as modifiers of rumen microbial fermentation. J. Dairy Sci. 2007, 90, 2580–2595. [Google Scholar] [CrossRef] [PubMed]
- Neyrinck, A.M.; Possemiers, S.; Verstraete, W.; De Backer, F.; Cani, P.D.; Delzenne, N.M. Dietary modulation of clostridial cluster XIVa gut bacteria (Roseburia spp.) by chitin-glucan fiber improves host metabolic alterations induced by high-fat diet in mice. J. Nutr. Biochem. 2012, 23, 51–59. [Google Scholar] [CrossRef] [PubMed]
- Sclafani, A. Sweet taste signaling in the gut. Proc. Natl. Acad. Sci. USA 2007, 104, 14887–14888. [Google Scholar] [CrossRef] [PubMed]
- Wang, P.; Yan, Z.; Zhong, J.; Chen, J.; Ni, Y.; Li, L.; Ma, L.; Zhao, Z.; Liu, D.; Zhu, Z. Transient receptor potential vanilloid 1 activation enhances gut glucagon-like peptide-1 secretion and improves glucose homeostasis. Diabetes 2012, 61, 2155–2165. [Google Scholar] [CrossRef]
- Mace, O.J.; Affleck, J.; Patel, N.; Kellett, G.L. Sweet taste receptors in rat small intestine stimulate glucose absorption through apical GLUT2. J. Physiol. 2007, 582, 379–392. [Google Scholar] [CrossRef]
- Damak, S.; Minqing, R.; Keiko, Y.; Zaza, K.; Vijaya, V.; Shiying, Z.; Peihua, J.; Ninomiya, Y.; Margolskee, R.F. Detection of sweet and umami taste in the absence of taste receptor T1r3. Science 2003, 301, 850–853. [Google Scholar] [CrossRef]
- Shigemura, N.; Yasumatsu, K.; Yoshida, R.; Sako, N.; Katsukawa, H.; Nakashima, K.; Imoto, T.; Ninomiya, Y. The role of the dpa Locus in Mice. Chem. Senses 2005, 30 (Suppl. S1), 84–85. [Google Scholar] [CrossRef]
- Kusuhara, Y.; Yoshida, R.; Ohkuri, T.; Yasumatsu, K.; Voigt, A.; Hübner, S.; Maeda, K.; Boehm, U.; Meyerhof, W.; Ninomiya, Y. Taste responses in mice lacking taste receptor subunit T1R1. J. Physiol. 2013, 591, 1967–1985. [Google Scholar] [CrossRef]
- Lescale-Matys, L.; Dyer, J.; Scott, D.; Freeman, T.C.; Wright, E.M.; Shirazi-Beechey, S.P. Regulation of the ovine intestinal Na+/glucose co-transporter (SGLT1) is dissociated from mRNA abundance. Biochem. J. 1993, 291, 435–440. [Google Scholar] [CrossRef]
- Bhutta, H.Y.; Deelman, T.E.; Ashley, S.W.; Rhoads, D.B.; Tavakkoli, A. Disrupted circadian rhythmicity of the intestinal glucose transporter SGLT1 in Zucker diabetic fatty rats. Dig. Dis. Sci. 2013, 58, 1537–1545. [Google Scholar] [CrossRef]
- Ran, T.; Li, H.; Liu, Y.; Tang, S.; Han, X.; Wang, M.; He, Z.; Kang, J.; Yan, Q.; Tan, Z.; et al. Expression of genes related to sweet taste receptors and monosaccharides transporters along the gastrointestinal tracts at different development stages in goats. Livest. Sci. 2016, 188, 111–119. [Google Scholar] [CrossRef]
- Chaiyasit, K.; Wittayalertpanya, S.; Khovidhunkit, W. Pharmacokinetic and the effect of capsaicin in Capsicum frutescens on decreasing plasma glucose level. J. Med. Assoc. Thail. 2009, 92, 108–113. [Google Scholar]
- Park, K.; Brown, P.D.; Kim, Y.B.; Kim, J.-S. Capsaicin modulates K+ currents from dissociated rat taste receptor cells. Brain Res. 2003, 962, 135–143. [Google Scholar] [CrossRef] [PubMed]
- Laffitte, A.; Neiers, F.; Briand, L. Functional roles of the sweet taste receptor in oral and extraoral tissues. Curr. Opin. Clin. Nutr. Metab. Care 2014, 17, 379–385. [Google Scholar] [CrossRef]






| Feeds | TMR | Pellets |
|---|---|---|
| Corn grains | 13.9 | 10.4 |
| Wheat bran | 19.6 | 1.7 |
| Gluten feed | 5.3 | |
| Barley grain | 11.4 | |
| Soybean meal | 31.2 | |
| Sunflower meal | 9.5 | 6.1 |
| Wheat grain | 11.3 | |
| Dried distiller grains | 7.0 | |
| Vegetable oil | 1.2 | |
| Grass hay | 15.1 | |
| Wheat silage | 11.3 | |
| Wheat straw | 15.8 | |
| Citrus pulps | 2.5 | |
| Soybean hulls | 9.5 | 0.9 |
| Limestone | 1.3 | 5.0 |
| Salt | 0.5 | 5.0 |
| NH4Cl | 0.5 | |
| Na bicarbonate | 1.0 | |
| Cu sulphate | 0.02 | |
| Vitamin mix * | 0.9 | 1.9 |
| Chemical composition | ||
| Moisture, | 37.1 | 10.4 |
| Crude protein | 12.5 | 26.0 |
| Crude fat | 2.76 | 3.63 |
| ME, Mcal/kg DM | 2.30 | 2.70 |
| NDF | 48.2 | 16.6 |
| Ca | 0.85 | 2.30 |
| P | 0.46 | 0.48 |
| Cu | 0.49 | 0.51 |
| Vit A, IU | 5862 | 14,000 |
| Gene 1 | Primer F (5′-3′) | Primer R (5′-3′) | Product Size | Gene Accession Number |
|---|---|---|---|---|
| G6PDH | ATTGTGGAGAAGCCCTTCGG | GGTAGTGGTCGATGCGGTAG | 106 | NM_001093780.1 |
| B2M | TGCTGAAGAACGGGGAGAAG | GAACTCAGCGTGGGACAGAA | 92 | NM_001009284.2 |
| GAPDH | GGCGTGAACCACGAGAAGTA | GGCGTGGACAGTGGTCATAA | 141 | NM_001190390.1 |
| T1R2 | TTGGCCCCAAGTGTTACCTG | CCCTGGATCACGCTGTTGAA | 76 | KC469057.1 |
| T1R3 | TGACCGATGGGCTGCTATAC | GCAGAGGTGAAGTGCGTGG | 80 | XM_015099284.1 |
| SLC5A1 (SGLT1) | GAGGGTACAGTGCCTTCGTG | GGATCGCGGAAGATGTGGAA | 127 | NM_001009404.1 |
| Treatments 1 | ||||||
|---|---|---|---|---|---|---|
| Variable 2 | Control | Sucram | Mix | Caps | SEM 3 | p-Value |
| DM | 69.3 | 71.0 | 69.7 | 71.2 | 7.33 | 0.934 |
| OM | 63.8 | 64.7 | 64.3 | 65.5 | 6.74 | 0.964 |
| CP | 10.5 | 10.7 | 10.6 | 10.8 | 10.64 | 0.973 |
| NDF | 23.3 | 23.6 | 23.5 | 24.0 | 2.30 | 0.955 |
| ADF | 9.5 | 9.7 | 9.7 | 9.8 | 0.93 | 0.952 |
| Hemicellulose | 13.8 | 13.9 | 13.9 | 14.2 | 1.38 | 0.953 |
| EE | 3.0 | 3.0 | 3.0 | 3.1 | 0.35 | 0.893 |
| Treatment 1 | ||||||
|---|---|---|---|---|---|---|
| Variable 2 | Control | Sucram | Mix | Caps | SEM 3 | p-Value |
| DM | 73.6 | 73.9 | 74.0 | 77.4 | 2.53 | 0.469 |
| OM | 77.3 | 77.3 | 77.7 | 80.4 | 2.21 | 0.476 |
| CP | 73.1 | 73.8 | 73.6 | 77.7 | 2.11 | 0.395 |
| NDF | 57.4 | 55.2 | 55.7 | 62.0 | 4.06 | 0.349 |
| ADF | 45.9 | 43.9 | 44.4 | 51.2 | 5.34 | 0.493 |
| Hemicellulose | 65.3 | 63.1 | 63.5 | 69.6 | 3.45 | 0.265 |
| EE | 73.3 | 65.8 | 68.4 | 76.6 | 4.43 | 0.083 |
| Treatment 1 | ||||||
|---|---|---|---|---|---|---|
| Variable 2 | Control | Sucram | Mix | Caps | SEM 3 | p-Value |
| GEI | 326.8 | 331.7 | 329.0 | 333.7 | 35.28 | 0.983 |
| DE | 255.9 | 260.2 | 256.1 | 273.6 | 31.05 | 0.834 |
| FE | 70.9 | 71.5 | 73.0 | 63.1 | 10.70 | 0.756 |
| UE | 6.51 | 9.94 | 6.42 | 7.57 | 3.55 | 0.723 |
| GasE | 19.6 | 19.9 | 19.7 | 19.9 | 0.87 | 0.984 |
| ME | 217.9 | 211.5 | 191.3 | 207.6 | 9.71 | 0.267 |
| HiE | 81.7 | 82.9 | 82.3 | 82.8 | 3.63 | 0.983 |
| NE | 141.2 | 136.7 | 124.0 | 135.0 | 5.97 | 0.254 |
Disclaimer/Publisher’s Note: The statements, opinions and data contained in all publications are solely those of the individual author(s) and contributor(s) and not of MDPI and/or the editor(s). MDPI and/or the editor(s) disclaim responsibility for any injury to people or property resulting from any ideas, methods, instructions or products referred to in the content. |
© 2023 by the authors. Licensee MDPI, Basel, Switzerland. This article is an open access article distributed under the terms and conditions of the Creative Commons Attribution (CC BY) license (https://creativecommons.org/licenses/by/4.0/).
Share and Cite
Mwangi, F.; Dallasheh, A.; Kalyesubula, M.; Reicher, N.; Sabastian, C.; Mabjeesh, S.J. Diet Preference, Feed Efficiency and Expression of the Sodium-Dependent Glucose Transporter Isoform 1 and Sweet Taste Receptors in the Jejunum of Lambs Supplemented with Different Flavours. Animals 2023, 13, 1417. https://doi.org/10.3390/ani13081417
Mwangi F, Dallasheh A, Kalyesubula M, Reicher N, Sabastian C, Mabjeesh SJ. Diet Preference, Feed Efficiency and Expression of the Sodium-Dependent Glucose Transporter Isoform 1 and Sweet Taste Receptors in the Jejunum of Lambs Supplemented with Different Flavours. Animals. 2023; 13(8):1417. https://doi.org/10.3390/ani13081417
Chicago/Turabian StyleMwangi, Felista, Areen Dallasheh, Mugagga Kalyesubula, Naama Reicher, Chris Sabastian, and Sameer J. Mabjeesh. 2023. "Diet Preference, Feed Efficiency and Expression of the Sodium-Dependent Glucose Transporter Isoform 1 and Sweet Taste Receptors in the Jejunum of Lambs Supplemented with Different Flavours" Animals 13, no. 8: 1417. https://doi.org/10.3390/ani13081417
APA StyleMwangi, F., Dallasheh, A., Kalyesubula, M., Reicher, N., Sabastian, C., & Mabjeesh, S. J. (2023). Diet Preference, Feed Efficiency and Expression of the Sodium-Dependent Glucose Transporter Isoform 1 and Sweet Taste Receptors in the Jejunum of Lambs Supplemented with Different Flavours. Animals, 13(8), 1417. https://doi.org/10.3390/ani13081417

