Environmental Enrichment Devices Are Safe and Effective at Reducing Undesirable Behaviors in California Sea Lions and Northern Elephant Seals during Rehabilitation
Abstract
Simple Summary
Abstract
1. Introduction
2. Materials and Methods
2.1. Animal Management
2.2. Enrichment Devices
2.3. Behavioral Sampling
2.4. EED Introduction and Removal
2.5. Data Analysis
3. Results
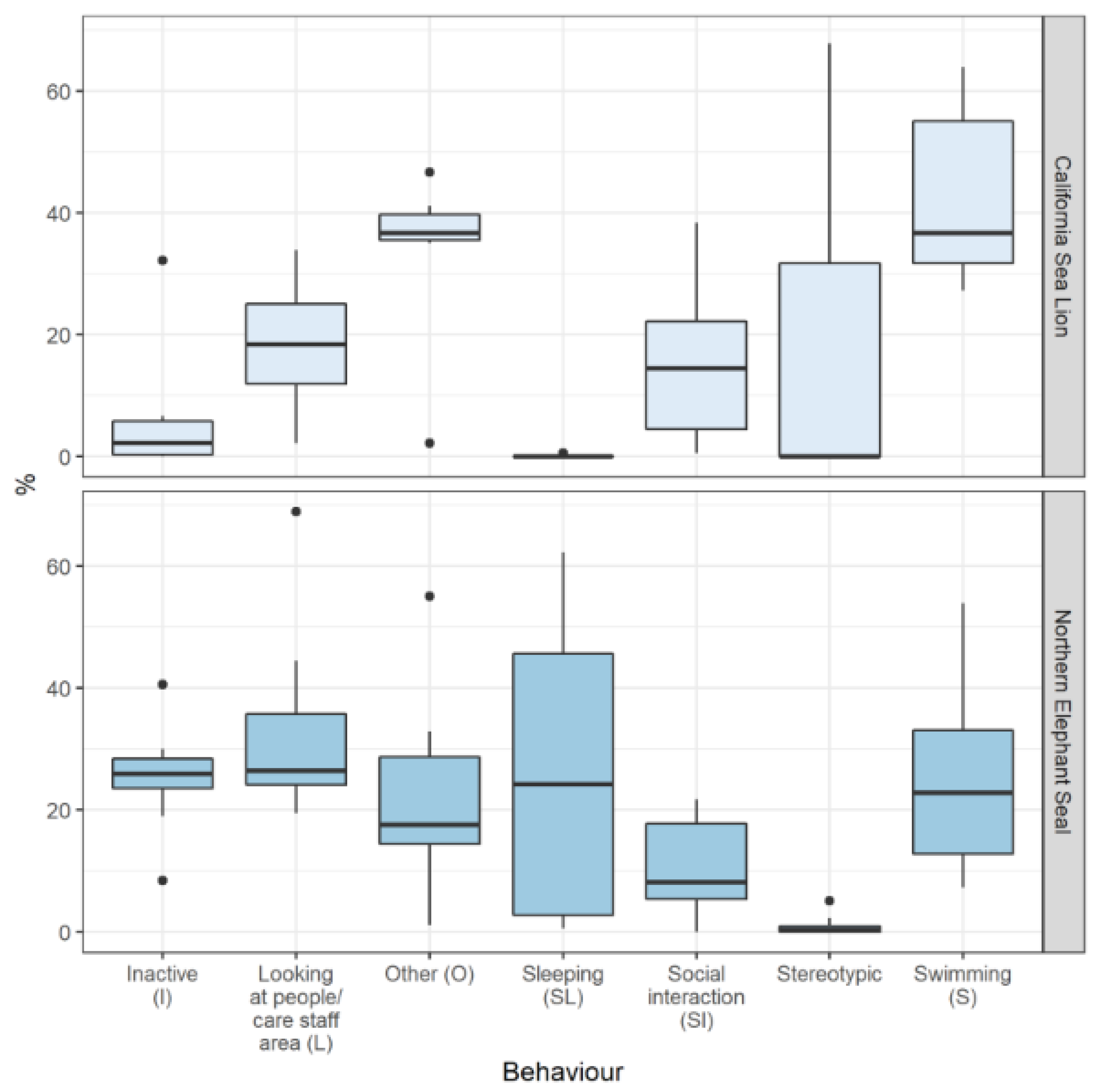
3.1. Baseline Behavior and Behavior in the Presence of EEDs
3.2. Species and Individual Preferences of Interacting with the EEDs
3.3. Effects of Age on Use of EEDs
3.4. Effects of EEDs on Stereotypical Behavior
3.5. Effects of EEDs on Looking at People/Care Staff Areas
4. Discussion
5. Conclusions
Author Contributions
Funding
Institutional Review Board Statement
Informed Consent Statement
Data Availability Statement
Acknowledgments
Conflicts of Interest
References
- Würbel, H.; Chapman, R.; Rutland, C. Effect of feed and environmental enrichment on development of stereotypic wire-gnawing in laboratory mice. Appl. Anim. Behav. Sci. 1998, 60, 69–81. [Google Scholar] [CrossRef]
- Shepherdson, D. The role of environmental enrichment in the captive breeding and reintroduction of endangered species. In Creative Conservation; Springer: Dordrecht, The Netherlands, 2013. [Google Scholar]
- Young, R.J. Environmental Enrichment for Captive Animals; John Wiley & Sons: Hoboken, NJ, USA, 1994; pp. 167–177. [Google Scholar]
- Carlstead, K.; Seidensticker, J.; Baldwin, R. Environmental enrichment for zoo bears. Zoo Biol. 1991, 10, 3–16. [Google Scholar] [CrossRef]
- Swaisgood, R.; Shepherdson, D. Environmental enrichment as a strategy for mitigating stereotypies in zoo animals: A literature review and meta-analysis. In Stereotypic Animal Behaviour: Fundamentals and Applications to Welfare; CABI: Wallingford, UK, 2008; p. 256. [Google Scholar]
- Hunter, S.A.; Bay, M.S.; Martin, M.L.; Hatfield, J.S. Behavioral effects of environmental enrichment on harbor seals (Phoca vitulina concolor) and gray seals (Halichoerus grypus). Zoo Biol. 2002, 21, 375–387. [Google Scholar] [CrossRef]
- Herron, M.E.; Kirby-Madden, T.M.; Lord, L.K. Effects of environmental enrichment on the behavior of shelter dogs. J. Am. Vet. Med. Assoc. 2014, 244, 687–692. [Google Scholar] [CrossRef] [PubMed]
- Moore, M.; Early, G.; Touhey, K.; Barco, S.; Gulland, F.; Wells, R. Rehabilitation and release of marine mammals in the United States: Risks and benefits. Mar. Mammal Sci. 2007, 23, 731–750. [Google Scholar] [CrossRef]
- Gallini, S.H.; Di Girolamo, N.; Hann, E.; Paluch, H.; DiGeronimo, P.M. Outcomes of 4819 cases of marine animals presented to a wildlife rehabilitation center in New Jersey, USA (1976–2016). Sci. Rep. 2021, 11, 2182. [Google Scholar] [CrossRef]
- Osinga, N.; Ferdous, M.S.; Morick, D.; Hartmann, M.G.; Ulloa, J.A.; Vedder, L.; Udo de Haes, H.A.; Brakefield, P.M.; Osterhaus, A.D.M.E.; Kuiken, T. Patterns of stranding and mortality in common seals (Phoca vitulina) and grey seals (Halichoerus grypus) in the Netherlands between 1979 and 2008. J. Comp. Pathol. 2012, 147, 550–565. [Google Scholar] [CrossRef]
- Zatrak, M.; Brittain, S.; Himmelreich, L.; Lovick-Earle, S.; Pizzi, R.; Shaw, K.J.; Grant, R.A.; Geary, M. Factors affecting the survival of harbor (Phoca vitulina) and gray seal (Halichoerus grypus) juveniles admitted for rehabilitation in the UK and Ireland. Mar. Mammal Sci. 2022, 1–19. [Google Scholar] [CrossRef]
- Shepherdson, D.J. Tracing the path of environmental enrichment in zoos. In Second Nature: Environmental Enrichment for Captive Animals; Smithsonian: Washington, DC, USA, 1998; pp. 1–12. [Google Scholar]
- Wells, D.L. Sensory stimulation as environmental enrichment for captive animals: A review. Appl. Anim. Behav. Sci. 2009, 118, 1–11. [Google Scholar] [CrossRef]
- Carlstead, K.; Shepherdson, D. Alleviating stress in zoo animals with environmental enrichment. In The Biology of Animal Stress: Basic Principles and Implications for Animal Welfare; Cabi Publishing: Wallingford, UK, 2000; pp. 337–354. [Google Scholar]
- Goldenberg, S.Z.; Parker, J.M.; Chege, S.M.; Greggor, A.L.; Hunt, M.; Lamberski, N.; Leigh, K.A.; Nollens, H.H.; Ruppert, K.A.; Thouless, C.; et al. Revisiting the 4 R’s: Improving post-release outcomes for rescued mammalian wildlife by fostering behavioral competence during rehabilitation. Front. Conserv. Sci. 2022, 3, 72. [Google Scholar] [CrossRef]
- Reading, R.P.; Miller, B.; Shepherdson, D. The value of enrichment to reintroduction success. Zoo Biol. 2013, 32, 332–341. [Google Scholar] [CrossRef]
- Jacobson, S.L.; Ross, S.R.; Bloomsmith, M.A. Characterizing abnormal behavior in a large population of zoo-housed chimpanzees: Prevalence and potential influencing factors. PeerJ 2016, 4, e2225. [Google Scholar] [CrossRef] [PubMed]
- Chudeau, K.R.; Johnson, S.P.; Caine, N.G. Enrichment reduces stereotypical behaviors and improves foraging development in rehabilitating Eastern Pacific Harbor Seals (Phoca vitulina richardii). Appl. Anim. Behav. Sci. 2019, 219, 104830. [Google Scholar] [CrossRef]
- Markowitz, H. Behavioral Enrichment in the Zoo; Van Nostrand Reinhold: New York, NY, USA, 1982. [Google Scholar]
- Rabin, L.A. Maintaining behavioural diversity in captivity for conservation: Natural behaviour management. Anim. Welf. 2003, 12, 85–94. [Google Scholar] [CrossRef]
- Bauer, G.B.; Cook, P.F.; Harley, H.E. The relevance of ecological transitions to intelligence in marine mammals. Front. Psychol. 2020, 11, 2053. [Google Scholar] [CrossRef] [PubMed]
- Coelho, C.M.; Schetini de Azevedo, C.; Young, R.J. Behavioral responses of maned wolves (Chrysocyon brachyurus, Canidae) to different categories of environmental enrichment stimuli and their implications for successful reintroduction. Zoo Biol. 2012, 31, 453–469. [Google Scholar] [CrossRef]
- Tetzlaff, S.J.; Sperry, J.H.; DeGregorio, B.A. Effects of antipredator training, environmental enrichment, and soft release on wildlife translocations: A review and meta-analysis. Biol. Conserv. 2019, 236, 324–331. [Google Scholar] [CrossRef]
- Melfi, V.A. There are big gaps in our knowledge, and thus approach, to Zoo Animal Welfare: A case for evidence-based Zoo Animal Management. Zoo Biology 2009, 28, 574–588. [Google Scholar] [CrossRef]
- Brando, S.; Broom, D.M.; Acasuso-Rivero, C.; Clark, F. Optimal marine mammal welfare under human care: Current efforts and future directions. Behav. Process. 2018, 156, 16–36. [Google Scholar] [CrossRef]
- Bateson, M.; Martin, P. Measuring Behaviour: An Introductory Guide; Cambridge University Press: Cambridge, UK, 2007. [Google Scholar]
- R Core Team. R: A Language and Environment for Statistical Computing. R Foundation for Statistical Computing 2021, Vienna, Austria. Available online: https://www.R-project.org/ (accessed on 8 March 2023).
- Bates, D.; Maechler, M.; Bolker, B.; Walker, S. Fitting Linear Mixed-Effects using IME4. J. Stat. Softw. 2015, 67, 1–48. [Google Scholar] [CrossRef]
- Lüdecke, D.; Ben-Shachar, M.S.; Patil, I.; Waggoner, P.; Makowski, D. Performance: An R Package for Assessment, Comparison and Testing of Statistical Models. J. Open Source Softw. 2021, 6, 3139. [Google Scholar] [CrossRef]
- Wickham, H. ggplot2: Elegant Graphics for Data Analysis; Springer: New York, NY, USA, 2016. [Google Scholar]
- Wickham, H.; Averick, M.; Bryan, J.; Chang, W.; McGowan, L.D.A.; François, R.; Grolemund, G.; Hayes, A.; Henry, L.; Hester, J.; et al. Welcome to the tidyverse. J. Open Source Softw. 2019, 4, 1686. [Google Scholar] [CrossRef]
- Brando, S.; Kooistra, N.; Hosey, G. Pre and post session behaviour of captive bottlenose dolphins Tursiops truncatus involved in “Swim-with-Dolphin” events. J. Zoo Aquar. Res. 2019, 7, 195–202. [Google Scholar]
- Clegg, I.L.; Delfour, F. Cognitive judgement bias is associated with frequency of anticipatory behavior in Bottlenose Dolphins. Zoo Biol. 2018, 37, 67–73. [Google Scholar] [CrossRef] [PubMed]
- Jensen, A.-L.M.; Delfour, F.; Carter, T. Anticipatory behavior in captive bottlenose dolphins (Tursiops truncatus): A preliminary study. Zoo Biol. 2013, 32, 436–444. [Google Scholar] [CrossRef] [PubMed]
- Watters, J.V. Searching for behavioral indicators of welfare in zoos: Uncovering anticipatory behavior. Zoo Biol. 2014, 33, 251–256. [Google Scholar] [CrossRef] [PubMed]
- Samuels, A.; Bejder, L. Chronic interaction between humans and free-ranging bottlenose dolphins near Panama City Beach, Florida, USA. J. Cetacean Res. Manag. 2004, 6, 69–77. [Google Scholar] [CrossRef]
- Mason, G.; Rushen, J. (Eds.) Stereotypic Animal Behaviour: Fundamentals and Applications to Welfare; Cabi Publishing: Wallingford, UK, 2008. [Google Scholar]
- Smith, B.P.; Litchfield, C.A. An empirical case study examining effectiveness of environmental enrichment in two captive Australian sea lions (Neophoca cinerea). J. Appl. Anim. Welf. Sci. 2010, 13, 103–122. [Google Scholar] [CrossRef]
- Kastelein, R.A.; Wiepkema, P.R. A digging trough as occupational therapy for Pacific walruses (Odobenus rosmarus divergens) in human care. Aquat. Mamm. 1989, 15, 9–17. [Google Scholar]
- Eskelinen, H.; Winship, K.; Borger-Turner, J. Sex, age, and individual differences in bottlenose dolphins (Tursiops truncatus) in response to environmental enrichment. Anim. Behav. Cogn. 2015, 2, 241–253. [Google Scholar] [CrossRef]
- Woods, J.M.; Lane, E.K.; Miller, L.J. Preference assessments as a tool to evaluate environmental enrichment. Zoo Biol. 2020, 39, 382–390. [Google Scholar] [CrossRef] [PubMed]
- Mehrkam, L.R.; Dorey, N.R. Preference assessments in the zoo: Keeper and staff predictions of enrichment preferences across species. Zoo Biol. 2015, 34, 418–430. [Google Scholar] [CrossRef] [PubMed]
- Dallaire, J.A.; Field, N.; Mason, G.J. Activity and enrichment use in disabled asiatic black bears (Ursus thibetanus) rescued from bile farms. Anim. Welf. 2012, 21, 167–176. [Google Scholar] [CrossRef]
- Nakamura, M.; Matsushiro, M.; Tsunokawa, M.; Maehara, S.; Kooriyama, T. Survey of ophthalmic disorders among captive pinnipeds in Japan. J. Vet. Med. Sci. 2021, 83, 1075–1080. [Google Scholar] [CrossRef] [PubMed]
- Kot, B.W.; Morisaka, T.; Sears, R.; Samuelson, D.; Marshall, C.D. Low prevalence of visual impairment in a coastal population of gray seals (Halichoerus grypus) in the Gulf of St. Lawrence, Canada. Aquat. Mamm. 2012, 38, 423–427. [Google Scholar] [CrossRef]
- Hocking, D.P.; Salverson, M.; Evans, A.R. Foraging-based enrichment promotes more varied behaviour in captive Australian fur seals (Arctocephalus pusillus doriferus). PLoS ONE 2015, 10, e0124615. [Google Scholar] [CrossRef]
- Clark, F.E.; Davies, S.L.; Madigan, A.W.; Warner, A.J.; Kuczaj, S.A. Cognitive enrichment for bottlenose dolphins (Tursiops truncatus): Evaluation of A novel underwater maze device. Zoo Biol. 2013, 32, 608–619. [Google Scholar] [CrossRef]
- Moberg, G.P.; Mench, J.A. (Eds.) . The Biology of Animal Stress: Basic Principles and Implications for Animal Welfare; CABI: Wallingford, UK, 2000. [Google Scholar]
- Brando, S.; Burghardt, G. Studying play in zoos and aquariums. In Scientific Foundations of Zoos and Aquariums; Cambridge University Press: Cambridge, UK, 2019; pp. 558–585. [Google Scholar]
- Whitehead, H. Culture and social learning. In Encyclopedia of Marine Mammals; Academic Press: Cambridge, MA, USA, 2018; pp. 232–234. [Google Scholar] [CrossRef]
- Cheyne, S.M. The role of reintroduction in gibbon conservation: Opportunities and challenges. In The Gibbons; Springer: Berlin/Heidelberg, Germany, 2009; pp. 477–496. [Google Scholar]
- Adam, K.; Oswald, I. Sleep helps healing. Br. Med. J. 1984, 289, 1400. [Google Scholar] [CrossRef]
- Makecha, R.N.; Highfill, L.E. Environmental enrichment, marine mammals, and Animal Welfare: A brief review. Aquat. Mamm. 2018, 44, 221–230. [Google Scholar] [CrossRef]
- Delfour, F. Object manipulation and play behavior in bottlenose dolphins (Tursiops truncatus) under human care. Int. J. Comp. Psychol. 2017, 30. [Google Scholar] [CrossRef]
- Vickery, S.S.; Mason, G.J. Behavioral persistence in captive bears: Implications for reintroduction. Ursus 2003, 14, 35–43. [Google Scholar]
- Simeone, C.A.; Moore, K.M. Stranding response. In CRC Handbook of Marine Mammal Medicine; CRC Press: Boca Raton, FL, USA, 2018; pp. 3–18. [Google Scholar]







| Species | Name | Sex | Estimated Age and at Study | Notes |
|---|---|---|---|---|
| California Sea Lion | Amber | Male | Yearling: approx. 1–1.5 years and older than 1.5 years | Unilateral blindness Performing stereotypic behaviors |
| Julius | Male | Pup: approx. 4 to 7 months and 7–12 months | Performing stereotypic behaviors | |
| Mookie | Female | Pup: approx. 4 to 7 months and 7–12 months | ||
| Pigeon | Female | Yearling: approx. 1–1.5 years and older than 1.5 years | Performing stereotypic behaviors | |
| Pompey | Female | Pup: approx. 4 to 7 months and 7–12 months | ||
| Skipperdee | Female | Pup: approx. 4 to 7 months and 7–12 months | ||
| Unity | Male | Yearling: approx. 1–1.5 years and older than 1.5 years | ||
| Northern Elephant Seal | Aidan | Female | Weaners: 1.5–3 months and 3–6 months | |
| Barracuda | Female | |||
| Begley | Female | |||
| Bubbles | Male | |||
| Chaffee | Female | |||
| Flower | Female | |||
| Lassie | Female | |||
| Shipwreck | Male |
| Behavior | Definition |
|---|---|
| Swimming (S) | Animal is moving in the water, not interacting with anything or any other animal. |
| Interacting with Enrichment Device (IE) | Animal is interacting, exploring or playing with an enrichment device in some way (e.g., touching, biting, smelling), whether in the pool or on land. |
| Social Interaction (SI) | Animal is interacting in some way with another animal in the pool or on land. |
| Stereotypic Behavior (ST) | Animal is repeating a behavior with no apparent function (e.g., pattern swimming, suckling on self, sliding in and out of the water) |
| Sleeping (SL) | Animal has eyes closed, breathing slowed and is inactive. |
| Inactive (I) | Animal is not moving, but not sleeping; can see that the animal is awake, just not active. |
| Looking at People/Care Staff Area (L) | Animal is angling head and gaze towards nearby humans or towards care staff areas. |
| Other (O) | Behavior not listed on the ethogram. |
| California Sea Lions (Number of sessions) | |||||||||
| Enrichment | Amber | Julius | Mookie | Pigeon | Pompey | Skipperdee | Unity | Total number of sessions | |
| Artificial Kelp | 2 | 2 | 3 | 2 | 2 | 3 | 3 | 17 | |
| Horse KONG™ | 2 | 3 | 3 | 3 | 3 | 3 | 3 | 20 | |
| Wubba KONG™ | 2 | 3 | 3 | 3 | 3 | 3 | 3 | 20 | |
| None | 6 | 8 | 9 | 8 | 8 | 9 | 9 | 57 | |
| Enrichment | Northern Elephant Seals (Number of sessions) | ||||||||
| Aidan | Barracuda | Begley | Bubbles | Chaffee | Flower | Lassie | Shipwreck | Total number of sessions | |
| Artificial Kelp | 3 | 3 | 3 | 3 | 3 | 3 | 3 | 3 | 24 |
| Horse KONG™ | 3 | 3 | 3 | 3 | 3 | 3 | 3 | 3 | 24 |
| Wubba KONG™ | 3 | 3 | 3 | 3 | 3 | 3 | 3 | 3 | 24 |
| None | 9 | 9 | 9 | 9 | 9 | 9 | 9 | 9 | 72 |
| Behaviors | California Sea Lions | Northern Elephant Seals | ||||
|---|---|---|---|---|---|---|
| Artificial Kelp | Horse KONG™ | Wubba KONG™ | Artificial Kelp | Horse KONG™ | Wubba KONG™ | |
| Swimming (S) | 27.65 | 31.72 | 33.17 | 11.25 | 17.20 | 9.10 |
| Interacting with enrichment device (IE) | 20.39 | 13.36 | 7.50 | 16.94 | 13.73 | 21.74 |
| Social interaction (SI) | 4.71 | 9.18 | 11.17 | 2.08 | 5.27 | 3.13 |
| Stereotypic | 9.80 | 10.35 | 14.50 | 0.00 | 0.83 | 1.49 |
| Sleeping (SL) | 0.00 | 0.00 | 0.00 | 20.28 | 11.37 | 16.58 |
| Looking at people/care staff area (L) | 9.61 | 1185 | 11.33 | 15.56 | 23.44 | 18.89 |
| Inactive (I) | 6.86 | 6.18 | 0.83 | 19.72 | 11.93 | 14.67 |
| Other (O) | 20.98 | 17.36 | 21.50 | 14.17 | 16.23 | 14.40 |
Disclaimer/Publisher’s Note: The statements, opinions and data contained in all publications are solely those of the individual author(s) and contributor(s) and not of MDPI and/or the editor(s). MDPI and/or the editor(s) disclaim responsibility for any injury to people or property resulting from any ideas, methods, instructions or products referred to in the content. |
© 2023 by the authors. Licensee MDPI, Basel, Switzerland. This article is an open access article distributed under the terms and conditions of the Creative Commons Attribution (CC BY) license (https://creativecommons.org/licenses/by/4.0/).
Share and Cite
Donald, K.; Benedetti, A.; Goulart, V.D.L.R.; Deming, A.; Nollens, H.; Stafford, G.; Brando, S. Environmental Enrichment Devices Are Safe and Effective at Reducing Undesirable Behaviors in California Sea Lions and Northern Elephant Seals during Rehabilitation. Animals 2023, 13, 1222. https://doi.org/10.3390/ani13071222
Donald K, Benedetti A, Goulart VDLR, Deming A, Nollens H, Stafford G, Brando S. Environmental Enrichment Devices Are Safe and Effective at Reducing Undesirable Behaviors in California Sea Lions and Northern Elephant Seals during Rehabilitation. Animals. 2023; 13(7):1222. https://doi.org/10.3390/ani13071222
Chicago/Turabian StyleDonald, Kirsten, Amanda Benedetti, Vinícius Donisete Lima Rodrigues Goulart, Alissa Deming, Hendrik Nollens, Grey Stafford, and Sabrina Brando. 2023. "Environmental Enrichment Devices Are Safe and Effective at Reducing Undesirable Behaviors in California Sea Lions and Northern Elephant Seals during Rehabilitation" Animals 13, no. 7: 1222. https://doi.org/10.3390/ani13071222
APA StyleDonald, K., Benedetti, A., Goulart, V. D. L. R., Deming, A., Nollens, H., Stafford, G., & Brando, S. (2023). Environmental Enrichment Devices Are Safe and Effective at Reducing Undesirable Behaviors in California Sea Lions and Northern Elephant Seals during Rehabilitation. Animals, 13(7), 1222. https://doi.org/10.3390/ani13071222

