Simple Summary
We studied how captive red panda (Ailurus fulgens) spend their day at three zoos within Australasia, using video cameras, and in-person observations. The red panda in this study were active at dawn and dusk, with another period of activity around midnight. The temperature greatly affected how red panda spent their time, with more focus on resting and sleeping when temperatures were high. This preliminary study suggests environmental changes directly affect red panda behaviour. This knowledge will help inform captive facilities about husbandry and provide insight into how their wild counterparts will cope with global temperatures increasing.
Abstract
We studied the activity budgets of seven Ailurus fulgens, at three zoos within Australasia, using video cameras, and in-person observations. Red panda in this study followed a crepuscular activity pattern, with another short peak of activity around midnight. Ambient temperature greatly affected panda activity patterns; red panda allocated more time to resting and sleeping when temperatures increased. This preliminary study suggests how environmental factors affect captive red panda, which will help better inform captive facilities, and how this might impact their wild conspecifics.
1. Introduction
Red panda (Ailurus fulgens) are currently listed as an endangered species under the IUCN Red List [1] and Appendix I in CITES [2]. Numbers are estimated to be between 10,000 and 15,000, but due to a lack of ongoing monitoring and an elusive nature, these numbers could be as low as a few thousand [1,3]. Red panda are found along the Himalayan Mountain range across Nepal, Bhutan, the northern rim of India, Myanmar, and three Chinese provinces: Sichuan, Yunnan, and Tibet [1,4].
Red panda have proven to be an extremely popular exhibit animal. They are charismatic, easy to work with, and require relatively little floor space, and their primary food source grows almost anywhere [5,6]. In 1977, the international studbook for red panda was created [7]. Individuals that are part of the cooperative worldwide breeding program are accounted for, and their genetics are managed. In 2009, a species survival plan (SSP) was implemented by the AZA (Association of Zoos and Aquariums) small carnivore taxon advisory group (TAG). Captive populations appear strong in number, with ~800 genetically managed individuals worldwide [8], and ~500 unmanaged in China [9]. However, fertility and mortality rates differ significantly across the globe. Mortality rates of cubs in Australasia are around 10%, while in North America they may reach up to 40% [5].
Red panda were long considered to contain two sub-species, Ailurus fulgens and Ailurus styani/refulgens. However, recent genome sequencing by Hu et al. [10] showed that they are actually two species, undergoing a bottleneck after the Penultimate Glaciation (194,000–135,000 years ago). Both species are high-altitude specialists (1400–4800 m) that find temperatures above 24 °C difficult and require protection when mean temperatures exceed 27 °C [1,6,11,12]. Typically, the slightly larger Ailurus styani is found at lower altitudes, 1400–3400 m, in the southern Sichuan region of China [4], while the smaller A. fulgens is found between 1500 and 4800 m. The majority of A. fulgens habitat is found around 3000 m, with bamboo being a key factor for their distribution [13,14].
Wild red panda activity budgets have mainly been studied in Chinese reserves and show a diurnal to crepuscular activity pattern, with less movement around midday [15,16,17]. Yonzon and Hunter [18] studied A. fulgens in Nepal and found consistent crepuscular patterns, which may have been affected by human and livestock use of the same areas and resources. Wei and Zhang [19] argue that while it seems that captive red panda follow a more crepuscular lifestyle, this is due to keeper movements and feeding times.
The aim of this study was to assess what factors may affect captive red panda behaviour and activity patterns. As two observational methods were used, we also aimed to see if there are any major differences in behaviours recorded between the two types.
2. Materials and Methods
2.1. Study Animals
The research was conducted at three zoos in New Zealand and Australia (Table 1). In 2018, 23 zoos within Australasia were part of the Red Panda Species Protection Plan (SPP); 17 of them housed 51 red panda (all captive-born), with the other 5 planning to house red panda in the near future. This study follows 7 out of the 51 panda (13.7% of the population) currently (2018) housed in Australasian zoos.
Table 1.
Details of red panda studied and the enclosures they lived in.
Two of the panda in this study, Chito and Pasang, were on an anti-inflammatory, once a day for their joints, due to their age.
2.2. Observation Methods
During public opening hours, red panda were observed for 1.5 h, twice a day, by the same observer to avoid inter-observer biases. Observation times were varied throughout the day to construct a general picture of daily behaviour. We developed an ethogram (Table 2) and recorded every behavioural occurrence for all panda over 10 min periods. The behaviours were decided upon both before and during observations, which only one person conducted. We modified behaviour descriptions from other red panda studies [20,21]. A definition of scent marking was created following Conover and Gittleman [22]. There was a 5 min break between each 10 min observation period. This was an all occurrences, interval sampling technique, as behaviours could happen at any time during the observations, and the length of behaviours may be cut off by the end of the interval. Also included in the observations was the time of day that the behaviour occurred, current weather conditions, keeper presence, which panda performed the behaviour, and the total length of the behaviour in seconds (to the nearest 10 s).
Table 2.
Ethogram of red panda behaviours.
Video cameras were also used to supplement observations of red panda behaviour. A Blackeye camera (model: BE2-W) (Kinopta, Porirua, New Zealand) was set up outside each enclosure to record behaviour for the entire trial. At Auckland Zoo, this camera was on the enclosure’s back wall, only accessible with a keeper escort, and showed the main latrine site, feeding area, and walkways. Because of the size of the enclosure at Hamilton Zoo, much of it was out of view of the camera, which necessitated a focal area to be chosen. This area encompassed a large tower, many aerial walkways, and a latrine site. The camera was set up on a “staff only” path. The camera could be checked every morning for battery life, and batteries swapped as needed. CWS (Currumbin Wildlife Sanctuary) was also placed on an easy-to-reach perimeter fence so that it could be checked daily. This camera focused on the front platform where the panda slept and where most of the aerial walkways were. Apart from CWS camera footage, which was able to view the entire enclosure and was always recording, all other observations are a proportion of the time spent viewing animals. If animals were off-screen or outside viewing times, these data points were excluded.
This manuscript comes from a larger dataset [23], in which author K. Bugler carried out her master’s thesis. After a period of observations, to gather baseline behaviours, camera traps were put inside enclosures. This is the only point of difference in this study. As camera traps may also affect behaviour, this manuscript only considered the data from before camera traps were placed. Therefore, our observations at CWS were condensed into three days and a week each at Auckland Zoo and Hamilton Zoo. Video cameras were set up to capture as much as possible. Areas included were often sleeping, resting, and main walking areas,
2.3. Data Analysis
Time-series graphs (in Microsoft Excel, 2016) were created to show when active behaviours occurred throughout a typical captive red panda day. Chi-square tests for this dataset were carried out in R studio (version 1.3.959) [24].
Models were created using R studio’s “glm” function (from the packages MASS, version 7.3-51.6, and lme4, version 1.1-23). Length of time was the predictor variable, with behaviour as a factor (fixed effects). This formed a basic model, which was then fitted to three alternative generalised linear models to test the best fit: a normal distribution glm, a Poisson glm, and a negative binomial glm. Model fit was assessed using the AIC (Akaike information criterion) function to compare models, and the negative binomial distribution had the best fit. Using the drop1 function on the chosen model, we tested which variables were significant. This test is useful when multiple variables are included in the initial model. Variables are removed one by one from the model and then compared in the output, showing which variable had the least impact on the overall result. Other factors were temperature, date, time, weather, individual panda, and position in the enclosure. These factors were tested, by individual zoo, with the drop1 feature until the model had only significant terms. We then examined how behaviour and other factors affected the response (length of time) on means plots, using the “emmeans” function from the package emmeans (version 1.4.7) [25] ctb (Producer, city, state abbr. if Canada or USA, country), as well as pairwise comparison tests to test for differences between levels of categorical factors.
3. Results
3.1. Active Behaviours
Behaviours from all panda at all zoos were combined (Figure 1A) and showed a slightly crepuscular pattern of activity, mostly following keeper activity, and another shorter peak around midnight.
Figure 1.
Frequency of active behaviours for red panda at three zoos, in 10 min intervals. The red lines show when direct observations were carried out. R2 values are calculated from an nth order polynomial line. (A) All zoos combined; (B) Auckland Zoo; (C) Hamilton Zoo; (D) Currumbin Wildlife Sanctuary.
Auckland Zoo (Figure 1B) direct observations showed a rise in activity in the afternoon until observations ceased. Compared to the camera footage, red panda were active all through the afternoon and into the early hours of the evening, significantly reducing activity around midnight.
At Hamilton Zoo (Figure 1C), camera footage and observations showed two peaks in activity around 0900–1100 and 1600–1800. Observational data points finished around 1600–1700 due to the zoo opening hours. At CWS (Figure 1D), there was an increase in activity between 0800 and 0900, for both monitoring methods, coinciding with when keepers first arrived with food and clean water. However, the camera footage showed that the morning peak started much earlier, around 0500. There was another spike in activity in the afternoon, when keepers fed the panda again, and activity reduced further from 1830 onwards.
3.2. All Behaviours
Sleeping was the most common behaviour at ~68% (observations) and ~44% (camera footage) of the time (Table 3). The next most common behaviours were locomotion (~13%/~22%), resting (~7%/~15%), eating (~6%/~12%), and grooming (~6%/~3%).
Table 3.
Time spent performing behaviours across zoos as determined by two observation methods. Percentages are calculated from the total time observed/observation type.
There was a significant interaction between the observation method and behaviour type (ꭓ2 = 923.56, DF = 17, p < 0.001). All three zoos, when analysed separately, showed a positive significant interaction between method of observation and behaviour (Auckland Zoo (ꭓ2 = 110.41, DF = 7, p < 0.001), Hamilton Zoo (ꭓ2 = 232.14, DF = 7, p < 0.001), Currumbin Wildlife Sanctuary (ꭓ2 = 36.80, DF = 7, p < 0.001)). For sleeping, the most common behaviour, there was a significant difference between observational methods (T = 4.541, DF = 190.56, p = 9.912 × 10−6).
There were overlaps in the duration of a behaviour between zoos (Figure 2), but no overlaps occurred when observational methods were compared (Figure 2). Pairwise comparisons showed differences in mean length (seconds) of behaviours between all zoos (Auckland/Currumbin: p < 0.0001) (Auckland/Hamilton: p < 0.0001) (Currumbin/Hamilton: p < 0.0001). The observational method showed differences in the mean length of behaviours at the different zoos.
Figure 2.
The average duration (response) of behaviours carried out at individual zoos by method type, as determined by Emmeans plot output as a histogram (+95 CI) v 1.4.7.
3.3. Temperature Effects
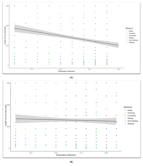
Daytime temperatures during observations (Table 4) ranged from 11 °C at Hamilton Zoo to 32 °C at CWS. When drop1 chi-square tests were carried out, the duration of behaviours was significantly affected by temperature (Auckland Zoo (ꭓ2 = 977.66, DF = 1, p < 0.001), Hamilton Zoo (ꭓ2 = 914.94, DF = 1, p < 0.001), and CWS (Temperature: ꭓ2 = 483.11, DF = 1, p < 0.01)). Short-duration behaviours, such as scent marking, locomotion, and eating, occurred less often in hotter conditions (Figure 3A–C). Scent marking increased at Auckland Zoo (Figure 3A) between 21 °C and 24 °C, but was not observed at all over 29 °C at CWS (Figure 3C). Locomotion length and frequencies changed with increasing temperatures (Figure 4). More time was given to resting and sleeping (Figure 5) as the temperature increased. All behaviours, and durations of behaviour, were performed at all temperatures at Auckland Zoo and Hamilton Zoo (Figure 3B). The most significant change in behaviours performed was seen at CWS, when temperatures increased above 29 °C.
Table 4.
Temperatures across facilities during the study period, from observational dataset. Showing only daytime temperatures (0930–1930 at Auckland Zoo, 1000–1600 at Hamilton Zoo, and 0715–1630 at CWS).

Figure 3.
Showing how the duration of behaviours was influenced by temperature at different zoo sites. The five most common behavioural categories were picked for this graph as defecation, interactions, playing, and scent marking occurred infrequently. (A) Auckland Zoo, Adj R2 = 0.052105, Intercept = 954.88, Slope = −30.654, p = 1.7274 × 10−5; (B) Hamilton Zoo, Adj R2 = −0.0012626, Intercept = 264.26, Slope = −0.022011, p = 0.99485; (C) Currumbin Wildlife Sanctuary, Adj R2 = 0.024695, Intercept = −362.83, Slope = 18.718, p = 0.0011086. (black line: Estimated means, grey shadow: +95 CI) v 1.4.7.
Figure 4.
A linear model with a straight line fitted (R studio v 1.4.7) shows that the duration of locomotion events across all zoos was affected by temperature.
Figure 5.
A linear model with a straight line fitted (R studio v 1.4.7) shows that the duration of sleeping events across all zoos was affected by temperature.
4. Discussion
We estimated captive red pa nda (A. fulgens) daily activity patterns and compared them between zoos. This was achieved by monitoring red panda behaviour through in-person observations and a continuously recording camera. When all observations were combined (Figure 1A), there were three peaks of activity (camera footage). The first occurred around 0600, before the zoos opened to the public, and the second occurred at 1700–1800, when zoos closed. The third and shortest peak of activity occurred around midnight. When observational data were considered, we saw two small peaks at 0800 and 1600. A comparison of active behaviours between both monitoring methods revealed that observations alone clearly miss active behaviours, which was consistently the case when zoos were considered independently.
Food presentation across zoos varied and likely affected when animals were active. At Auckland Zoo (Figure 1B), no fruit was left out for panda; instead, keepers would enter the enclosure and wait in the feeding area, offering them “panda cake” (a mixture of specialty biscuits, soaked overnight, with baby food and pear juice). Entering the enclosure to offer grapes was also performed during public-focused encounters. In the afternoon, cut pears were put onto a hanging log with nails so that the panda had to manipulate them off the device to eat. This was the beginning of their peak activity period. Fresh-cut bamboo was always on offer.
Hamilton Zoo (Figure 1C) had less prominent peaks in activity. There was an increase in activity around 0900 when keepers arrived with food and medication for Chito. Cleaning usually took place simultaneously. The fruit was placed in feeding stations that a panda would stand on top of a platform to open. As with all zoos, bamboo was always on offer. The activity was highest between 1500 and 1700, with another short peak between 2200 and 0000.
The most obvious example of panda activity co-occurring with keeper activity was at CWS (Figure 1D). Keepers would first enter the enclosure around 0800 with food and would wait until Pasang approached for his medicine. Cleaning would occur shortly afterwards. Keepers then arrived again around 1400 with another bowl of food that was removed around 1600. Cut bamboo was offered, but the observer never witnessed it being eaten. Pasang was not observed performing any active behaviours between 1130 and 1300, likely due to midday heat.
Previous studies on wild A. fulgens show bimodal/crepuscular activity patterns [15,26]. However, more recent studies [27,28] show that a wild red panda’s most active hours are around dawn and midday. Trail camera studies in the wild showed the highest peak of activity between 0400 and 0600, and another between 1000 and 1400 [26]. The previous findings of a crepuscular pattern are consistent with camera footage at CWS. Pasang would sleep from 1900 to the early morning hours when he would scent mark before keepers arrived. Scent marking and other exploratory/territorial behaviours are considered positive indicators of red panda health in captivity [29]. This bimodal pattern of activity during the day clearly followed keeper timings. The activity of captive red panda was influenced by keeper presence and management, only slightly deviating from wild patterns. Care should be taken around feeding times and other keeper activities. Our recommendations are to feed panda early in the day to stimulate natural foraging hours, but to also leave some food overnight in secure devices (so that rodents and birds cannot eat it all). Fresh bamboo should be on offer at all times. If it is drying out, it should be replaced more often and placed in water or cooler areas, as red panda ignore dried-out leaves.
Recent wild studies of A. fulgens saw individuals allocating their time to avoid human/animal disturbances and areas with high disturbance [28]. Krebs et al. found that red panda showed anticipatory behaviours before keepers arrived and increased movement once they left [21]. Reid found that Chinese red panda were more active in daylight hours, with decreased movement around midday [16]. Zhang et al. describe two activity peaks at 0700–1000 and 1700–1800 [15]. Red panda were more active during daylight hours, with intermittent crepuscular movements. Johnson et al. found A. styani to be more crepuscular and nocturnal than other studies, although the panda studied may not have established a home range [17]. If a majority of red panda time budget studies in captivity are from A. fulgens, this may account for the differences in wild studies with A. styani.
When comparing the two observational methods, differences in the lengths of behaviours recorded occurred between the types rather than between zoos. Observations recorded longer behaviours (Figure 2). This is likely due to observations being carried out during the day, when red panda spent more time resting and sleeping, which are uninterrupted behaviours.
Red panda in this study were less active (Table 3) than those in wild red panda studies. This is likely due to the increased foraging needs of wild red panda, but it could also be influenced by 2/7 panda in this study being on medication due to age-related illness. Studies of wild red panda observe active activity 45–60% of the time, dependent on season [16,18], whereas our study shows panda to be less active (19–36%). A more recent study [29] found captive red panda at Rotterdam Zoo to be active 40–53% of the time, although the two pairs in the study were young breeding pairs, and perhaps best compared to the pair at Auckland Zoo (Khela and Ramesh). In captivity, panda are brought a selection of food, such as bamboo, fruits, specialised biscuits, and the occasional day-old chick or mouse. This increase in fruit in the diet may lead to more short rests, as the stomach fills more rapidly [16]. This can be seen in wild red panda, which have a high frequency of short rests in spring when fruit and new, more nutritious bamboo shoots are available [15,27]. Glatston (2011) summarises that because “captive diets do not occupy enough of the red panda’s daily activity [7] panda may compensate for this activity ‘vacuum’ by over-grooming and eating hair”. We found that grooming occurred less than in other studies, and no stereotypy over-grooming was observed.
Average temperatures in Nepali/Indian border red panda habitat do not exceed 14 °C [27]. However, because temperatures were only reliably recorded during the daytime for this study (Table 4), we compare the maximum temperatures seen in the wild to this study. Ranges of temperature in Autumn in situ vary from 1.6 to 27.6 °C [27]. In this study, Auckland Zoo and Hamilton Zoo observations took place in Autumn, and temperatures ranged from 11 to 25 °C during the day, putting them in a similar range to the Nepal/India border red panda habitat. Summer ranges at CWS differed from in situ ranges. In the first week of summer daytime temperatures reached 32 °C, at CWS. While the maximum temperature, in-situ, throughout all summer, was only 28.9 °C [27]. Despite small sample sizes, results show interesting trends in red panda behaviour. Having n = 1 for CWS only hints at what might be happening for other red panda in this heat. This study indicates a need for further investigation into the impacts of temperature on red panda behaviour, both in captivity and the wild.
The temperature had a significant effect on panda behaviour. The temperature range in New Zealand is more similar to their natural range than the zoos in Australia and much of the rest of the world. At CWS, there were fewer short-duration behaviours (e.g., locomotion) as temperatures (above 29 °C) increased (Figure 3C). Loeffler states that “protection of red panda from temperatures above 27 °C is critical” [11]. The AZA red panda care manual also states that heat stress in red panda is intensified by high humidity [6]. Air-conditioned indoor areas or nest boxes are recommended in these conditions. Misters, which CWS turned on daily, are noted as being a way to provide cooled areas for red panda [6,12]. Auckland Zoo (Figure 3A) and Hamilton Zoo (Figure 4 also had significant temperature interactions, but these interactions were not as obvious to the observer, as even the highest temperature in the New Zealand zoos was not as high as the lowest temperature at CWS. Heat stress can increase stereotyping [30] and resting behaviours seen in captive red panda. Stereotypies may include pacing, tongue flicking, and position circling [31]. Pasang at CWS was seen tongue flicking in the hottest periods.
Temperatures in the upper range are of more concern with red panda than thermal lows, as their natural range rarely exceeds 20 °C. With dense fur coats, a fur covering over their footpads, and an ability to adjust their metabolism, red panda are very well adapted to life in the cold [5]. If red panda are housed in climates that regularly rise above 23.8 °C, in summer, then nest boxes should be in constant shade through the day. If temperatures rise above 26.6 °C, then air-conditioned dens or nest boxes should be provided, especially for pregnant or nursing dams [6]. Noticeable changes in the survivorship of neonates already occur with mean temperatures above 19 °C [5,32]. In contrast, indoor housing or access to an insulated nest box should be provided where winter temperatures drop below −6.6 °C [6]. In areas of extreme cold, supplemental heat should be provided in indoor housing or nest boxes. Preferably, these areas should be maintained between 1.6 °C and 23.8 °C [6]. A reduction in keeper interactions around the hottest part of the day may need to be taken into account to reduce heat stress on days where temperatures are over 27 °C.
Zidar surveyed 69 zoos housing red panda from around the world and found that, on average, summer temperatures ranged between 12 and 36 °C and averaged 23.6 °C [33]. Of the zoos surveyed, 16 had average summer temperatures over 27 °C, of which five had no cooling system in place. This observation is cause for concern as temperature and humidity are consistently attributed to increases in neonatal mortality [5,11,34]. This higher infant mortality is likely due to the change in dam behaviour, where she spends less time in the nest box and more time outside [5,35]. However, the temperature is not the only important factor for juveniles. When combined with high humidity, cubs can suffer from dermatophytosis, leading to necroses of tails and ears [36]. While their native range has high humidity during the summer months, the high altitude keeps summer temperatures low, and therefore, young are not exposed to both factors [5]. If global temperatures continue to rise, captive red panda populations (without heat protection) may become less stable and genetically non-viable [34].
5. Conclusions
Peaks in activity occurred early morning, early evening, and midnight. While activity correlated to keeper activity, it also coincided with zoo opening hours and the coolest part of the day. Red panda were more active outside of opening hours and avoided activity during the warmest parts of the day. Care should be taken around when food is presented and keeper interaction/cleaning is occurring.
Research such as this provides husbandry managers with knowledge of the needs of endangered animals under their care. This study suggests that further investigation into which of these factors is the most important may help to improve captive conditions for red panda.
These captive red panda were much less active than their wild counterparts, likely due to differences in diet. Some captive red panda are known to over-groom to fill this extra time; however, this was not seen in our study.
An external thermometer that records temperatures at regular intervals should be added to complement continuous recording, as the temperature was an important factor for time spent moving. Further study on the impact of temperature on red panda activity may help to increase the knowledge for their husbandry manual [6].
Author Contributions
Conceptualisation, K.A.B. and A.M.P.; methodology, K.A.B.; validation, K.A.B., A.M.P. and J.G.R.; formal analysis, K.A.B. and J.G.R.; investigation, K.A.B.; resources, A.M.P. and J.G.R. data curation, K.A.B. and J.G.R.; writing—original draft preparation, K.A.B.; writing—review and editing, K.A.B., A.M.P. and J.G.R.; supervision, J.G.R. and A.M.P. All authors have read and agreed to the published version of the manuscript.
Funding
This research received no external funding and was internally funded through Lincoln University.
Institutional Review Board Statement
Lincoln University ethical review and approval were waived for this study due to only observational data being collected.
Informed Consent Statement
Not applicable.
Data Availability Statement
Data for this manuscript can be found at: (URL accessed on 21 February 2023) https://docs.google.com/spreadsheets/d/1QFp2r_XDOYeAnLRC5KS0sOADqmM5Y4WA/edit?usp=sharing&ouid=116158200715842018585&rtpof=true&sd=true.
Acknowledgments
The authors would like to thank Auckland Zoo, Hamilton Zoo, and Currumbin Wildlife Sanctuary for their enthusiastic involvement in this study. We would also like to acknowledge the masters thesis from the leader author, K. A. Bugler which can be found at: https://researcharchive.lincoln.ac.nz/handle/10182/14171 (accessed on 26 November 2022).
Conflicts of Interest
The authors declare no conflict of interest.
References
- Glatston, A.; Wei, F.; Than, Z.; Sherpa, A. Ailurus fulgens (errata versions published in 2017). The IUCN Red List of Threatened Species 2015. Available online: https://www.iucnredlist.org/species/714/110023718 (accessed on 20 October 2021).
- CITES. Lesser Panda. Available online: https://cites.org/eng/gallery/species/mammal/lesser_panda.html (accessed on 20 October 2021).
- Choudhury, A. An overview of the status and conservation of the red panda Ailurus fulgens in India, with reference to its global status. Oryx 2001, 35, 250–259. [Google Scholar] [CrossRef]
- Groves, C. The Taxonomy and Phylogeny of Ailurus. In Red Panda: Biology and Conservation of the First Panda, 1st ed.; Glatston, A.R., Ed.; Elsevier Inc.: London, UK, 2011; pp. 101–124. [Google Scholar] [CrossRef]
- Princée, F.P.; Glatston, A.R. Influence of climate on the survivorship of neonatal red pandas in captivity. Zoo Biol. 2016, 35, 104–110. [Google Scholar] [CrossRef] [PubMed]
- AZA Small Carnivore TAG. Red Panda Care Manual. Association of Zoos and Aquariums, Silver Spring. Available online: https://assets.speakcdn.com/assets/2332/red_panda_care_manual_2012.pdf (accessed on 25 October 2021).
- Glatston, A.R. Synthesis. In Red Panda: Biology and Conservation of the First Panda, 1st ed.; Glatston, A.R., Ed.; Elsevier Inc.: London, UK, 2011; pp. 447–467. [Google Scholar] [CrossRef]
- Eriksson, P.; Zidar, J.; White, D.; Westander, J.; Andersson, M. Current husbandry of red pandas (Ailurus fulgens) in zoos. Zoo Biol. 2010, 29, 732–740. [Google Scholar] [CrossRef] [PubMed]
- Leus, K. The Global Captive Population of the Red Panda—Possibilities for the Future. In Red Panda: Biology and Conservation of the First Panda, 1st ed.; Glatston, A.R., Ed.; Elsevier Inc.: London, UK, 2011; pp. 335–356. [Google Scholar] [CrossRef]
- Hu, Y.; Thapa, A.; Wei, F. Ailurus fulgens (Himalayan Red Panda) and Ailurus styani (Chinese Red Panda). Trends Genet. 2020, 36, 624–625. [Google Scholar] [CrossRef] [PubMed]
- Loeffler, K. Red Panda Husbandry for Reproductive Management. In Red Panda: Biology and Conservation of the First Panda, 1st ed.; Glatston, A.R., Ed.; Elsevier Inc.: London, UK, 2011; pp. 231–255. [Google Scholar] [CrossRef]
- Roberts, M.S.; Gittleman, J.L. Ailurus fulgens. Mamm. Species 1984, 222, 1–8. [Google Scholar] [CrossRef]
- Lama, S.; Shrestha, S.; Koju, N.P.; Sherpa, A.P.; Tamang, M. Assessment of the Impacts of Livestock Grazing on Endangered Red Panda (Ailurus fulgens) Habitat in Eastern Nepal. Open J. Ecol. 2020, 10, 97–110. [Google Scholar] [CrossRef]
- Thapa, A.; Hu, Y.; Aryal, P.C.; Singh, P.B.; Shah, K.B.; Wei, F. The endangered red panda in Himalayas: Potential distribution and ecological habitat associates. Glob. Ecol. 2020, 21, e00890. [Google Scholar] [CrossRef]
- Zhang, Z.; Hu, J.; Han, Z.; Wei, F. Activity patterns of wild red pandas in Fengtongzhai Nature Reserve, China. Ital. J. Zool. 2011, 78, 398–404. [Google Scholar] [CrossRef]
- Reid, D.G.; Jinchu, H.; Yan, H. Ecology of the red panda Ailurus fulgens in the Wolong Reserve, China. J. Zool. 1991, 225, 347–364. [Google Scholar] [CrossRef]
- Johnson, K.G.; Schaller, G.B.; Jinchu, H. Comparative behavior of red and giant pandas in the Wolong Reserve, China. J. Mammal. 1988, 69, 552–564. [Google Scholar] [CrossRef]
- Yonzon, P.B.; Hunter, M.L.; Hunter, M.L. jnr Cheese, Tourists, and Red Pandas in the Nepal Himalayas. Conserv. Biol. 1991, 5, 196–202. [Google Scholar] [CrossRef]
- Wei, F.; Zhang, Z. Red Panda Ecology. In Red Panda: Biology and Conservation of the First Panda, 1st ed.; Glatston, A.R., Ed.; Elsevier Inc.: London, UK, 2011; pp. 193–212. [Google Scholar] [CrossRef]
- Andres-Bray, T.C.; Moller, P.; Powell, D.M. Preliminary model of personality structure in captive red pandas (Ailurus fulgens). J. Zoo Aqua. Res. 2020, 8, 29–36. [Google Scholar] [CrossRef]
- Krebs, B.L.; Torres, E.; Chesney, C.; Moon, V.K.; Watters, J.V. Applying Behavioral Conditioning to Identify Anticipatory Behaviors. J. App. Ani. Welf. Sci. 2017, 20, 155–175. [Google Scholar] [CrossRef] [PubMed]
- Conover, G.K.; Gittlemen, J.L. Scent-marking in captive red pandas (Ailurus fulgens). Zoo Biol. 1989, 8, 193–205. Available online: https://psycnet.apa.org/doi/10.1002/zoo.1430080210 (accessed on 26 November 2022). [CrossRef]
- Bugler, K. Monitoring the ‘original’ panda: Impacts and outcomes of using infra-red trail cameras on captive red panda (Ailurus fulgens) behaviour; Lincoln University: Lincoln, New Zealand, 2021; Available online: https://researcharchive.lincoln.ac.nz/handle/10182/14171 (accessed on 26 November 2021).
- R Core Team. R: A language and environment for statistical computing. R Foundation for Statistical Computing, Vienna, Austria. 2021. Available online: https://www.R-project.org/ (accessed on 26 November 2021).
- Lenth, R. Emmeans: Estimated Marginal Means, aka Least-Squares Means_. R package version 1.8.3. 2022. Available online: https://CRAN.R-project.org/package=emmeans (accessed on 26 November 2021).
- Lama, S.T. Assessing mammal diversity, distribution, and abundance: Piloting arboreal camera trapping as a tool for monitoring endangered red panda in temperate forest of Eastern Nepal; Lincoln University: Lincoln, New Zealand, 2018; Available online: https://hdl.handle.net/10182/12053 (accessed on 10 September 2020).
- Bista, D.; Baxter, G.S.; Hudson, N.J.; Lama, S.T.; Weerman, J.; Murray, P.S. Movement and dispersal of a habitat specialist in human-dominated landscapes: A case study of the red panda. Move Ecol. 2021, 6, 62. [Google Scholar] [CrossRef] [PubMed]
- Bista, D.; Baxter, G.S.; Hudson, N.J.; Lama, S.T.; Murray, P.J. Effect of disturbances and habitat fragmentation on an arboreal habitat specialist mammal using GPS telemetry: A case of the red panda. Landsc. Ecol. 2022, 37, 795–809. [Google Scholar] [CrossRef] [PubMed]
- Spiexio, C.; Altamura, M.; Weerman, J.; Regaiolli, B. Behaviour of zoo-housed red panda (Ailurus fulgens): A case-study testing the behavioural variety index. J. Zool. Bot. Gard. 2022, 3, 223–237. [Google Scholar] [CrossRef]
- Khan, A.; Baskaran, N.; Rai, U. Drivers of psychological stress among captive red panda (Ailurus fulgens) in north-eastern India. Proceedings of Student Conference on Conservation Sciences at Indian Institute of Science, Bangalore, India, 21–24 September 2017. [Google Scholar] [CrossRef]
- Blasetti, A.; Boitani, L.; Riviello, M.C.; Visalberghi, E. Activity budgets and use of enclosed space by wild boars (Sus scrofa) in captivity. Zoo Biol. 1988, 7, 69–79. [Google Scholar] [CrossRef]
- Leus, K.; Weerman, J. The role of ex situ management in the conservation of red panda. In Red Panda: Biology and Conservation of the First Panda, 2nd ed.; Glatston, A.R., Ed.; Academic press: Cambridge, MA, USA, 2022; pp. 289–309. [Google Scholar] [CrossRef]
- Zidar, J. Keeping red pandas in captivity. SLU, Dept. of Animal Environment and Health, Skara, Sweden. 2008. Available online: https://stud.epsilon.slu.se/10802/ (accessed on 26 November 2021).
- Kapplehof, J.; Weerman, J. The development of the Red panda Ailurus fulgens EEP: From a failing captive population to a stable population that provides effective support to in situ conservation. Int. Zoo. Yb. 2020, 54, 102–112. [Google Scholar] [CrossRef]
- Dechanupong, J. Maternal Behavior and Time Allocation of Red Panda (Ailurus fulgens) in Captivity. School of Integrative Studies, George Mason University, United States of America. 2019. Available online: https://hdl.handle.net/1920/11515 (accessed on 8 September 2020).
- Loeffler, K. Management, Husbandry and Veterinary Medicine of Red Pandas Living ex situ in China. In Red Panda: Biology and Conservation of the First Panda, 1st ed.; Glatston, A.R., Ed.; Elsevier Inc.: London, UK, 2011; pp. 323–333. [Google Scholar] [CrossRef]
Disclaimer/Publisher’s Note: The statements, opinions and data contained in all publications are solely those of the individual author(s) and contributor(s) and not of MDPI and/or the editor(s). MDPI and/or the editor(s) disclaim responsibility for any injury to people or property resulting from any ideas, methods, instructions or products referred to in the content. |
© 2023 by the authors. Licensee MDPI, Basel, Switzerland. This article is an open access article distributed under the terms and conditions of the Creative Commons Attribution (CC BY) license (https://creativecommons.org/licenses/by/4.0/).