Ram Semen Cryopreservation for Portuguese Native Breeds: Season and Breed Effects on Semen Quality Variation
Abstract
Simple Summary
Abstract
1. Introduction
2. Materials and Methods
2.1. Animals and Management
2.2. Semen Collection, Evaluation and Processing
2.3. Breeding and Non-Breeding Season
2.4. Statistical Analysis
3. Results
3.1. Ejaculate Traits (Volume, Spermatozoa Concentration and Total Sperm)
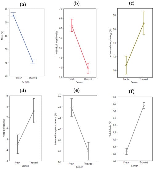
3.2. Spermatozoa Viability, Motility and Morphology
4. Discussion
5. Conclusions
Supplementary Materials
Author Contributions
Funding
Institutional Review Board Statement
Data Availability Statement
Acknowledgments
Conflicts of Interest
References
- DGAV. General Directorate for Food and Veterinary. In Official Catalog of Portuguese Autochthonous Breeds; DGAV, Lisbon, 2021. Available online: https://www.dgav.pt/wp-content/uploads/2021/04/Catalogo-Oficial-Racas-Autoctones-Portuguesas.pdf (accessed on 1 February 2023).
- Mascarenhas, R.; Baptista, M.; Cavaco-Gonçalves, S.; Barbas, J.P. [Characterization of Reproductive Activity and Use of AI in Small Ruminants]. In Agrorrural; Coelho, P.S., Reis, P., Eds.; INRB; INCM: Lisbon, Portugal, 2011; pp. 1071–1082. ISBN 978-972-27-2022-9. [Google Scholar]
- Barbas, J.P.; Mascarenhas, R.D. Cryopreservation of Domestic Animal Sperm Cells. Cell Tissue Bank. 2009, 10, 49–62. [Google Scholar] [CrossRef] [PubMed]
- Balaro, M.F.; da Fonseca, J.F.; Oba, E.; da Cruz Cardoso, E.; Brandão, F.Z. Is the Santa Inês Sheep a Typical Non-Seasonal Breeder in the Brazilian Southeast? Trop. Anim. Health Prod. 2014, 46, 1533–1537. [Google Scholar] [CrossRef] [PubMed]
- Rosa, H.J.D.; Bryant, M.J. Seasonality of Reproduction in Sheep. Small Rumin. Res. 2003, 48, 155–171. [Google Scholar] [CrossRef]
- Forcada, F.; Abecia, J.A. The effect of nutrition on the seasonality of reproduction in ewes. Reprod. Nutr. Dev. 2006, 46, 355–365. [Google Scholar] [CrossRef] [PubMed]
- Valente, S.S.; Pereira, R.M.; Baptista, M.C.; Marques, C.C.; Vasques, M.I.; Pereira, M.V.C.S.; Horta, A.E.M.; Barbas, J.P. In Vitro and in Vivo Fertility of Ram Semen Cryopreserved in Different Extenders. Anim. Reprod. Sci. 2010, 117, 74–77. [Google Scholar] [CrossRef] [PubMed]
- Barbas, J.; Serra, C.; Marques, C.; Baptista, M.; Mascarenhas, R.; Cavaco-Gonçalves, S. Fertility in the Saloia Breed after Cervical Breed after Cervical AI with Refrigerated and Frozen Semen: Ram Variation. Reprod. Domest. Anim. 2014, 41, 327. [Google Scholar]
- Barbas, J.; Baptista, M.; Horta, A. Comparison of Two Freezing Methods for Merino Regional and Serra Da Estrela Ram Semen. Rev. Port. Ciências Veterinárias 2005, 100, 53–60. [Google Scholar]
- Marques, C.; Barbas, J.P.; Baptista, M.; Cannas Serra, C.; Vasques, M.I.; Pereira, R.; Cavaco, G.S.; Horta, A. Reproduction in the ovine Saloia breed: Seasonal and individual factors affecting fresh and frozen semen performance, in vivo and in vitro fertility. In Animal Products from the Mediterranean Area; Ribeiro, J.M.C.R., Horta, A.E.M., Mosconi, C., Rosati, A., Eds.; EAAP Scientific Series; Wageningen Academic Publishers: Wageningen, The Netherlands, 2006; Volume 119, pp. 331–336. ISBN 978-90-76998-86-2. [Google Scholar]
- Domínguez, M.P.; Falcinelli, A.; Hozbor, F.; Sánchez, E.; Cesari, A.; Alberio, R.H. Seasonal Variations in the Composition of Ram Seminal Plasma and Its Effect on Frozen-Thawed Ram Sperm. Theriogenology 2008, 69, 564–573. [Google Scholar] [CrossRef]
- Benmoula, A.; Badi, A.; El Fadili, M.; EL Khalil, K.; Allai, L.; El Hilali, A.; El Amiri, B. Effect of Season on Scrotal Circumference, Semen Characteristics, Seminal Plasma Composition and Spermatozoa Motility during Liquid Storage in INRA180 Rams. Anim. Reprod. Sci. 2017, 180, 17–22. [Google Scholar] [CrossRef]
- Badi, A.; Benmoula, A.; El Khalil, K.; Allai, L.; Essamadi, A.; Nasser, B.; El Amiri, B. Does Advanced Age Affect Reproductive Variables, Semen Composition, and Liquid Semen Storage during Different Seasons in Boujaâd Rams? Anim. Reprod. Sci. 2018, 197, 40–47. [Google Scholar] [CrossRef]
- Pereira, R.M.L.N.; Marques, C.C.; Pimenta, J.; Barbas, J.P.; Baptista, M.; Torres, A.; Costa, L. Assisted Reproductive Technologies (ART) Directed to Germplasm Preservation. In Advances in Animal Health, Medicine and Production: A Research Portrait of the Centre forInterdisciplinary Research in Animal Health (CIISA), University of Lisbon; Springer: Berlin/Heidelberg, Germany, 2020; pp. 199–215. [Google Scholar]
- Evans, G.; Maxwell, W.M.C.; Salamon, S. Salamon’s Artificial Insemination of Sheep and Goats; Butterworths: Sydney, Australia; Boston, MA, USA, 1987; ISBN 978-0-409-49177-7. [Google Scholar]
- Fernandes, M.; Hernández, P.R.; Simões, J.; Barbas, J.P. Effects of Three Semen Extenders, Breeding Season Month and Freezing–Thawing Cycle on Spermatozoa Preservation of Portuguese Merino Sheep. Animals 2021, 11, 2619. [Google Scholar] [CrossRef] [PubMed]
- Balasse, M.; Tresset, A.; Bălăşescu, A.; Blaise, E.; Tornero, C.; Gandois, H.; Fiorillo, D.; Nyerges, É.Á.; Frémondeau, D.; Banffy, E.; et al. Animal Board Invited Review: Sheep Birth Distribution in Past Herds: A Review for Prehistoric Europe (6th to 3rd Millennia BC). Animal 2017, 11, 2229–2236. [Google Scholar] [CrossRef] [PubMed]
- Tornero, C.; Balasse, M.; Bréhard, S.; Carrère, I.; Fiorillo, D.; Guilaine, J.; Vigne, J.-D.; Manen, C. Early Evidence of Sheep Lambing De-Seasoning in the Western Mediterranean in the Sixth Millennium BCE. Sci. Rep. 2020, 10, 12798. [Google Scholar] [CrossRef] [PubMed]
- Martinez-Royo, A.; Alabart, J.L.; Sarto, P.; Serrano, M.; Lahoz, B.; Folch, J.; Calvo, J.H. Genome-Wide Association Studies for Reproductive Seasonality Traits in Rasa Aragonesa Sheep Breed. Theriogenology 2017, 99, 21–29. [Google Scholar] [CrossRef] [PubMed]
- Simões, J.; Bauer, A. Reproductive and Milk Production Profiles in Serrana Goats. In Sustainable Goat Production in Adverse Environments; Simões, J., Gutiérrez, C., Eds.; Springer: Cham, Switzerland; Berlin/Heidelberg, Germany, 2017; Volume II, pp. 233–243. ISBN 978-3-319-71293-2. [Google Scholar] [CrossRef]
- Abecia, J.; Chemineau, P.; Keller, M.; Delgadillo, J. Extended Day Length in Late Winter/Early Spring, with a Return to Natural Day Length of Shorter Duration, Increased Plasma Testosterone and Sexual Performance in Rams with or without Melatonin Implants. Reprod. Domest. Anim. 2017, 52, 851–856. [Google Scholar] [CrossRef]
- Arrebola, F.; Castillejo-Lacalle, E.; Borjas-Muñoz, F.; Querino-Santiago, F.J.; Redondo-Cardador, F.C.; Abecia, J. Comparison of Four Strategies of Ram Management in a Semen Collection Centre. Reprod. Domest. Anim. 2022, 57, 103–105. [Google Scholar] [CrossRef]
- Hodge, M.J.; Rindfleish, S.J.; de las Heras-Saldana, S.; Stephen, C.P.; Pant, S.D. Heritability and Genetic Parameters for Semen Traits in Australian Sheep. Animals 2022, 12, 2946. [Google Scholar] [CrossRef]
- Andrade, C. Productive and Reproductive Traits (Chapter 1). In Churra do Campo Sheep Breed; Instituto Politécnico de Castelo Branco: Castelo Branco, Portugal, 2012; pp. 1–17. [Google Scholar]
- AniDop, INIAV Churra Do Campo 2017. Available online: http://anidop.iniav.pt/index.php/racas/racas-autoctones/ovinos/churra-do-campo (accessed on 2 February 2023).
- Nordstoga, A.; Söderquist, L.; Ådnøy, T.; Paulenz, H. Effect of Different Packages and Freezing/Thawing Protocols on Fertility of Ram Semen. Reprod. Domest. Anim. 2009, 44, 527–531. [Google Scholar] [CrossRef]
- Vozaf, J.; Svoradová, A.; Baláži, A.; Vašíček, J.; Olexiková, L.; Dujíčková, L.; Makarevich, A.V.; Jurčík, R.; Ďúranová, H.; Chrenek, P. The Cryopreserved Sperm Traits of Various Ram Breeds: Towards Biodiversity Conservation. Animals 2022, 12, 1311. [Google Scholar] [CrossRef]
- Rocha, R.; Vaz Velho, M.; Santos, J.; Fernandes, P. Serra Da Estrela PDO Cheese Microbiome as Revealed by Next Generation Sequencing. Microorganisms 2021, 9, 2007. [Google Scholar] [CrossRef]
- Khan, I.M.; Cao, Z.; Liu, H.; Khan, A.; Rahman, S.U.; Khan, M.Z.; Sathanawongs, A.; Zhang, Y. Impact of Cryopreservation on Spermatozoa Freeze-Thawed Traits and Relevance OMICS to Assess Sperm Cryo-Tolerance in Farm Animals. Front. Vet. Sci. 2021, 8, 609180. [Google Scholar] [CrossRef] [PubMed]
- Galarza, D.A.; López-Sebastián, A.; Woelders, H.; Blesbois, E.; Santiago-Moreno, J. Two-Step Accelerating Freezing Protocol Yields a Better Motility, Membranes and DNA Integrities of Thawed Ram Sperm than Three-Steps Freezing Protocols. Cryobiology 2019, 91, 84–89. [Google Scholar] [CrossRef] [PubMed]
- Peris-Frau, P.; Martín-Maestro, A.; Iniesta-Cuerda, M.; Sánchez-Ajofrín, I.; Mateos-Hernández, L.; Garde, J.J.; Villar, M.; Soler, A.J. Freezing–Thawing Procedures Remodel the Proteome of Ram Sperm before and after In Vitro Capacitation. Int. J. Mol. Sci. 2019, 20, 4596. [Google Scholar] [CrossRef] [PubMed]
- Saha, A.; Asaduzzaman, M.; Bari, F.Y. Cryopreservation Techniques for Ram Sperm. Vet. Med. Int. 2022, 2022, 1–16. [Google Scholar] [CrossRef] [PubMed]
- Pinto-Pinho, P.; Arantes-Rodrigues, R.; Gaivão, I.; Peixoto, F.; Gomes, Z.; Brito, M.; Moutinho, O.; Colaço, B.; Pinto-Leite, R. Mitochondrial Effects, DNA Damage, and Antioxidant Enzyme Activity in Cryopreserved Human Sperm Samples: A Pilot Study. Physiologia 2022, 2, 80–93. [Google Scholar] [CrossRef]
- Lv, C.; Wu, G.; Hong, Q.; Quan, G. Spermatozoa Cryopreservation: State of Art and Future in Small Ruminants. Biopreservation Biobanking 2019, 17, 171–182. [Google Scholar] [CrossRef]
- Medeiros, C.M.O.; Forell, F.; Oliveira, A.T.D.; Rodrigues, J.L. Current Status of Sperm Cryopreservation: Why Isn’t It Better? Theriogenology 2002, 57, 327–344. [Google Scholar] [CrossRef] [PubMed]
- Kumar, A.; Prasad, J.K.; Srivastava, N.; Ghosh, S.K. Strategies to Minimize Various Stress-Related Freeze–Thaw Damages During Conventional Cryopreservation of Mammalian Spermatozoa. Biopreservation Biobanking 2019, 17, 603–612. [Google Scholar] [CrossRef]
- Mara, L.; Casu, S.; Carta, A.; Dattena, M. Cryobanking of Farm Animal Gametes and Embryos as a Means of Conserving Livestock Genetics. Anim. Reprod. Sci. 2013, 138, 25–38. [Google Scholar] [CrossRef]
- Oldenbroek, J.K.; Windig, J.J. Opportunities of Genomics for the Use of Semen Cryo-Conserved in Gene Banks. Front. Genet. 2022, 13, 907411. [Google Scholar] [CrossRef]
- Chemineau, P.; Malpaux, B.; Brillard, J.P.; Fostier, A. Seasonality of reproduction and production in farm fishes, birds and mammals. Animal 2007, 1, 419–432. [Google Scholar] [CrossRef] [PubMed]
- Chesneau, D.; Guillaume, D.; Chemineau, P.; Malpaux, B. Continuous light after 2 months of long days stimulates ram testis volume and increases fertility in spring. Animal 2017, 11, 1189–1195. [Google Scholar] [CrossRef] [PubMed]
- Morris, G.J. Rapidly Cooled Human Sperm: No Evidence of Intracellular Ice Formation. Hum. Reprod. 2006, 21, 2075–2083. [Google Scholar] [CrossRef] [PubMed]
- Shi, L.; Ren, Y.; Zhou, H.; Hou, G.; Xun, W.; Yue, W.; Zhang, C.; Yang, R. Effect of Rapid Freezing–Thawing Techniques on the Sperm Parameters and Ultrastructure of Chinese Taihang Black Goat Spermatozoa. Micron 2014, 57, 6–12. [Google Scholar] [CrossRef] [PubMed]
- Salamon, S.; Maxwell, W.M. Storage of ram semen. Anim. Reprod. Sci. 2000, 62, 77–111. [Google Scholar] [CrossRef]
- Akhtar, M.F.; Ma, Q.; Li, Y.; Chai, W.; Zhang, Z.; Li, L.; Wang, C. Effect of Sperm Cryopreservation in Farm Animals Using Nanotechnology. Animals 2022, 12, 2277. [Google Scholar] [CrossRef]
- Martí, J.I.; Aparicio, I.M.; Leal, C.L.; García-Herreros, M. Seasonal dynamics of sperm morphometric subpopulations and its association with sperm quality parameters in ram ejaculates. Theriogenology 2012, 78, 528–541. [Google Scholar] [CrossRef]
- Carvajal-Serna, M.; Cardozo, J.A.; Grajales-Lombana, H.; Cebrián-Pérez, J.A.; Muiño-Blanco, T. Sperm Quality and Seminal Plasma Proteins in Three Sheep Breeds Under High Altitude and Tropical Conditions. Span. J. Agric. Res. 2018, 16, e0403. [Google Scholar] [CrossRef]


| Breed | Number of Rams | Number of Ejaculates |
|---|---|---|
| Serra da Estrela | 22 | 224 |
| Churro Galego Mirandês | 12 | 224 |
| Saloio | 11 | 235 |
| Bordaleiro Entre Douro e Minho | 10 | 253 |
| Churro Galego Bragançano | 7 | 176 |
| Churro do Campo | 7 | 51 |
| Merino Beira Baixa | 6 | 121 |
| Mondegueira | 5 | 97 |
| Churro Algarvio | 3 | 49 |
| Merino Branco | 2 | 41 |
| Total | 85 | 1471 |
| Breed | SPZ Traits | ||||||||
|---|---|---|---|---|---|---|---|---|---|
| Volume per Ejaculate (mL) | SPZ Concentration (106/mL) | Total per Ejaculate (106) | |||||||
| CV% | CV% | CV% | |||||||
| Serra da Estrela | 0.80 | 0.83 | 41 | 5100 | 5294 | 44 | 3918 | 4377 | 56 |
| Churro Galego Mirandês | 0.70 | 0.72 | 33 | 5420 | 5644 | 34 | 3714 | 4181 | 53 |
| Saloio | 0.90 | 0.90 | 34 | 4880 | 5009 | 31 | 4160 | 4571 | 49 |
| Bordaleiro Entre Douro e Minho | 0.50 | 0.56 | 47 | 5200 | 5470 | 47 | 2840 | 3114 | 60 |
| Churro Galego Bragançano | 0.90 | 0.88 | 41 | 4100 | 4042 | 31 | 3658 | 3752 | 57 |
| Churro do Campo | 0.50 | 0.53 | 31 | 3650 | 3660 | 35 | 1835 | 2041 | 59 |
| Merino Beira Baixa | 0.65 | 0.65 | 40 | 5200 | 5422 | 36 | 3050 | 3589 | 56 |
| Mondegueira | 0.85 | 0.88 | 80 | 4000 | 4060 | 27 | 3180 | 3516 | 65 |
| Churro Algarvio | 0.90 | 0.92 | 33 | 4740 | 4491 | 29 | 4320 | 4217 | 46 |
| Merino Branco | 0.85 | 0.85 | 31 | 6000 | 5670 | 21 | 4320 | 4928 | 41 |
| Total | 0.75 | 0.77 | 49 | 4900 | 5039 | 38 | 3523 | 3894 | 57 |
| Breed | SPZ Traits * | ||
|---|---|---|---|
| Volume per Ejaculate (mL) | SPZ Concentration (106/mL) | Total per Ejaculate (106) | |
| Serra da Estrela | 0.84 ± 0.02 a | 5283 ± 66 a,b | 4396 ± 79 a |
| Churro Galego Mirandês | 0.72 ± 0.03 a,b,c | 5916 ± 79 a | 4319 ± 93 a |
| Saloio | 0.88 ± 0.03 a | 4889 ± 79 a,b | 4315 ± 93 a |
| Bordaleiro Entre Douro e Minho | 0.54 ± 0.02 c | 5.303 ± 83 a,b | 2881 ± 100 a,b |
| Churro Galego Bragançano | 0.81 ± 0.03 a,b | 3879 ± 98 b | 3248 ± 115 a,b |
| Churro do Campo | 0.52 ± 0.05 b,c | 3293 ± 136 b | 1764 ± 169 b |
| Merino Beira Baixa | 0.58 ± 0.04 b,c | 5068 ± 125 a,b | 2990 ± 149 a,b |
| Mondegueira | 0.83 ± 0.04 a,b | 3959 ± 125 a,b | 3291 ± 147 a,b |
| Churro Algarvio | 0.87 ± 0.05 a,b | 4011 ± 159 a,b | 3581 ± 188 a,b |
| Merino Branco | 0.85 ± 0.06 a,b,c | 5423 ± 197 a,b | 4718 ± 234 a,b |
| Spermatozoa (%) | Breed | Season | Thawing | Breed × Season | Breed × Thawing | Season × Thawing | Breed × Season × Thawing |
|---|---|---|---|---|---|---|---|
| Alive | ** | NS | *** | NS | *** | NS | NS |
| Individual motility | * | NS | *** | * | NS | NS | ** |
| Abnormal morphology | ** | NS | *** | ** | *** | * | NS |
| Head defects | *** | NS | *** | *** | *** | NS | NS |
| Intermediate piece defects | * | *** | *** | *** | * | * | NS |
| Tail defects | NS | NS | *** | NS | ** | NS | NS |
| Breed | Spermatozoa Traits (%) * | |||||
|---|---|---|---|---|---|---|
| Alive | IM | AM | Head D | IP D | Tail D | |
| Serra da Estrela | 71.0 ± 0.3 a | 54.3 ± 0.2 | 6.5 ± 0.2 a | 2.7 ± 0.2 a,c | 1.0 ± 0.1 a | 1.6 ± 0.1 |
| Churro Galego Mirandês | 61.5 ± 0.4 b | 67.0 ± 0.2 | 11.9 ± 0.2 b | 4.7 ± 0.2 a,b,c | 2.3 ± 0.1 b | 2.5 ± 0.1 |
| Saloio | 63.0 ± 0.4 b | 63.4 ± 0.2 | 9.5 ± 0.2 a,b | 4.1 ± 0.2 a,b,c | 1.5 ± 0.1 a,b | 2.2 ± 0.1 |
| Bordaleiro Entre Douro e Minho | 63.4 ± 0.4 a,b | 63.9 ± 0.2 | 15.1 ± 0.2 b | 7.9 ± 0.2 b | 2.4 ± 0.1 b | 2.8 ± 0.1 |
| Churro Galego Bragançano | 63.5 ± 0.5 a,b | 59.3 ± 0.3 | 8.5 ± 0.3 a,b | 2.4 ± 0.3 c | 1.9 ± 0.1 a,b | 2.8 ± 0.1 |
| Churro do Campo | 54.2 ± 0.6 b | 54.7 ± 0.3 | 11.7 ± 0.4 a,b | 5.5 ± 0.4 a,b,c | 0.8 ± 0.3 a,b | 3.7 ± 0.3 |
| Merino Beira Baixa | 74.6 ± 0.6 a | 67.2 ± 0.3 | 13.8 ± 0.3 b | 6.4 ± 0.3 a,b,c | 2.2 ± 0.2 a,b | 2.5 ± 0.2 |
| Mondegueira | 60.7 ± 0.6 a,b | 63.9 ± 0.3 | 11.1 ± 0.3 a,b | 6.9 ± 0.3 a,b,c | 1.9 ± 0.2 a,b | 2.0 ± 0.2 |
| Churro Algarvio | 64.1 ± 0.7 a,b | 59.7 ± 0.4 | 11.7 ± 0.4 a,b | 2.7 ± 0.4 a,b,c | 2.1 ± 0.2 a,b | 2.1 ± 0.2 |
| Merino Branco | 59.2 ± 0.9 a,b | 61.6 ± 0.5 | 11.5 ± 0.5 a,b | 3.7 ± 0.5 a,b,c | 2.4 ± 0.2 a,b | 3.1 ± 0.3 |
| Breed | Spermatozoa Traits (%) | |||||
|---|---|---|---|---|---|---|
| Alive | IM | AM | Head D | IP D | Tail D | |
| Serra da Estrela | 45.5 ± 0.3 | 34.1 ± 0.2 | 14.5 ± 0.2 a,b | 7.4 ± 0.2 a,b,c | 1.0 ± 0.1 | 4.4 ± 0.1 |
| Churro Galego Mirandês | 50.8 ± 0.4 | 44.9 ± 0.2 | 19.2 ± 0.2 a,b | 9.9 ± 0.2 a,c | 1.1 ± 0.1 | 5.2 ± 0.1 |
| Saloio | 45.6 ± 0.4 | 40.6 ± 0.2 | 14.9 ± 0.2 a,b | 6.6 ± 0.2 a,b,c | 1.5 ± 0.1 | 5.6 ± 0.1 |
| Bordaleiro Entre Douro e Minho | 48.3 ± 0.4 | 42.1 ± 0.2 | 22.6 ± 0.2 a | 13.2 ± 0.2 a | 1.1 ± 0.1 | 5.6 ± 0.1 |
| Churro Galego Bragançano | 43.0 ± 0.5 | 38.6 ± 0.3 | 12.2 ± 0.3 b | 2.8 ± 0.3 b | 1.1 ± 0.1 | 6.7 ± 0.1 |
| Churro do Campo | 34.6 ± 0.6 | 28.8 ± 0.3 | 13.2 ± 0.4 a,b | 7.0 ± 0.4 a,b,c | 1.1 ± 0.3 | 4.0 ± 0.3 |
| Merino Beira Baixa | 53.4 ± 0.6 | 46.0 ± 0.3 | 24.1 ± 0.3 a,b | 12.1 ± 0.3 a,b,c | 1.5 ± 0.2 | 7.4 ± 0.2 |
| Mondegueira | 48.7 ± 0.6 | 42.7 ± 0.3 | 19.3 ± 0.3 a,b | 9.7 ± 0.3 a,b,c | 1.2 ± 0.2 | 6.5 ± 0.2 |
| Churro Algarvio | 38.8 ± 0.7 | 38.5 ± 0.4 | 13.0 ± 0.4 a,b | 3.1 ± 0.4 c | 1.4 ± 0.2 | 6.6 ± 0.2 |
| Merino Branco | 43.4 ± 0.9 | 41.3 ± 0.5 | 17.6 ± 0.5 a,b | 7.8 ± 0.5 a,b,c | 1.5 ± 0.2 | 7.4 ± 0.3 |
Disclaimer/Publisher’s Note: The statements, opinions and data contained in all publications are solely those of the individual author(s) and contributor(s) and not of MDPI and/or the editor(s). MDPI and/or the editor(s) disclaim responsibility for any injury to people or property resulting from any ideas, methods, instructions or products referred to in the content. |
© 2023 by the authors. Licensee MDPI, Basel, Switzerland. This article is an open access article distributed under the terms and conditions of the Creative Commons Attribution (CC BY) license (https://creativecommons.org/licenses/by/4.0/).
Share and Cite
Barbas, J.P.; Pimenta, J.; Baptista, M.C.; Marques, C.C.; Pereira, R.M.L.N.; Carolino, N.; Simões, J. Ram Semen Cryopreservation for Portuguese Native Breeds: Season and Breed Effects on Semen Quality Variation. Animals 2023, 13, 579. https://doi.org/10.3390/ani13040579
Barbas JP, Pimenta J, Baptista MC, Marques CC, Pereira RMLN, Carolino N, Simões J. Ram Semen Cryopreservation for Portuguese Native Breeds: Season and Breed Effects on Semen Quality Variation. Animals. 2023; 13(4):579. https://doi.org/10.3390/ani13040579
Chicago/Turabian StyleBarbas, João Pedro, Jorge Pimenta, Maria Conceição Baptista, Carla Cruz Marques, Rosa Maria Lino Neto Pereira, Nuno Carolino, and João Simões. 2023. "Ram Semen Cryopreservation for Portuguese Native Breeds: Season and Breed Effects on Semen Quality Variation" Animals 13, no. 4: 579. https://doi.org/10.3390/ani13040579
APA StyleBarbas, J. P., Pimenta, J., Baptista, M. C., Marques, C. C., Pereira, R. M. L. N., Carolino, N., & Simões, J. (2023). Ram Semen Cryopreservation for Portuguese Native Breeds: Season and Breed Effects on Semen Quality Variation. Animals, 13(4), 579. https://doi.org/10.3390/ani13040579

