Growth Stages and Inter-Species Gut Microbiota Composition and Function in Captive Red Deer (Cervus elaphus alxaicus) and Blue Sheep (Pseudois nayaur)
Abstract
Simple Summary
Abstract
1. Introduction
2. Materials and Methods
2.1. Study Design and Sample Collection
2.2. DNA Extraction
2.3. 16S rRNA Gene Sequencing
2.4. Statistical Analysis
2.5. Gut Microbial Community Composition and Co-Occurrence Network Construction
2.6. Analysis of Predicted Functional Genes
3. Results
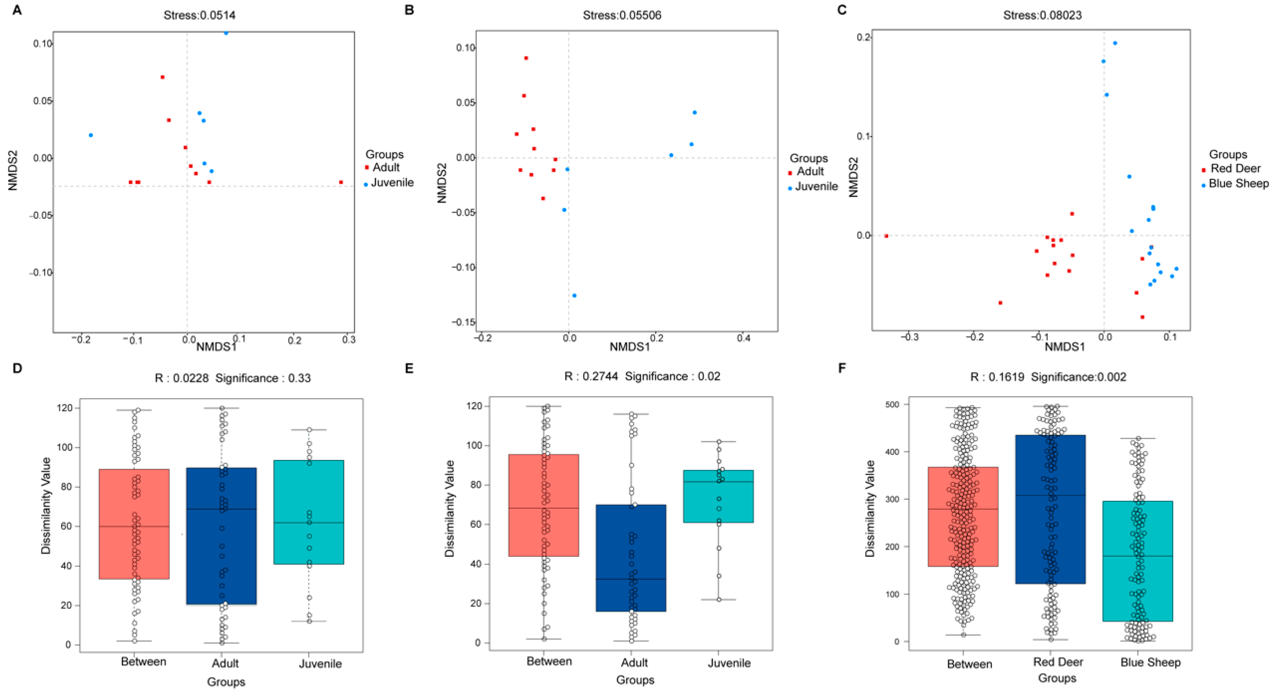
3.1. Gut Microbiota Diversity
3.2. Gut Microbiota Composition
3.3. Gut Microbiota Community Assembly and Co-Occurrence Network Analysis
3.4. Functional Prediction of the Gut Microbiome of Captive Blue Sheep and Red Deer
4. Discussion
4.1. Associations of Gut Microbiota with Growth Stages
4.2. Associations of Gut Microbiota with Inter-Species
5. Conclusions
Supplementary Materials
Author Contributions
Funding
Institutional Review Board Statement
Informed Consent Statement
Data Availability Statement
Acknowledgments
Conflicts of Interest
References
- Wang, B.; Liu, X.; Bian, Y.; Sun, G.; Wang, H.; Zhang, J.; Zhang, Z.; Zou, X. Correlation analysis of breast fibroadenoma and the intestinal flora based on 16S rRNA sequencing. Oncol. Transl. Med. 2021, 7, 269–274. [Google Scholar]
- Franza, L.; Carusi, V.; Altamura, S.; Gasbarrini, A.; Caraffa, A.; Kritas, S.K.; Ronconi, G.; Gallenga, C.E.; Di Virgilio, F.; Pandolfi, F. Gut microbiota and immunity in common variable immunodeficiency: Crosstalk with pro-inflammatory cytokines. J. Biol. Regul. Homeost. Agents 2019, 33, 315–319. [Google Scholar]
- Shipo, L.; Xing, H.; Liyun, G.; Li, S.P.; Heng, X.; Guo, L.Y.; Lessing, D.J.; Chu, W.H. SCFAs improve disease resistance via modulate gut microbiota, enhance immune response and increase antioxidative capacity in the host. Fish Shellfish Immunol. 2022, 120, 560–568. [Google Scholar]
- Tsegay, T.; Xuexiang, W.; Qiang, H.; Qianwen, D.; Hongliang, L.; Chao, R.; Yalin, Y.; Liqiu, X.; Shaojun, W.; Zhigang, Z.; et al. Dietary SWF® enhanced growth performance and disease resistance in hybrid sturgeon (Acipenser baerii × Acipenser schrenckii) mediated by the gut microbiota. Aquac. Rep. 2020, 17, 100346. [Google Scholar]
- Wang, H.; Xu, R.; Zhang, H.; Zhu, W. Swine gut microbiota and its interaction with host nutrient metabolism. Anim. Nutr. 2020, 6, 410–420. [Google Scholar]
- Wang, H.F.; L, P.F.; Yi, G.; Leng, J. Progress in Microbial Nutrient Metabolism and Microbiota-Gut-Brain Axis Interaction. Chin. J. Anim. Nutr. 2020, 32, 28–35. (In Chinese) [Google Scholar]
- Lan, W. The Diversity of Capative Giant Panda Gut Microbiome Viewed Across Age; College of Life Science China West Normal University: Nanchong, China, 2019. [Google Scholar]
- Bu, J.; Wang, Z. Cross-Talk between Gut Microbiota and Heart via the Routes of Metabolite and Immunity. Gastroenterol. Res. Pract. 2018, 2018, 6458094. [Google Scholar] [CrossRef] [PubMed]
- De Muinck, E.J.; Trosvik, P. Individuality and convergence of the infant gut microbiota during the first year of life. Nat. Commun. 2018, 9, 2233. [Google Scholar] [CrossRef]
- Jami, E.; Israel, A.; Kotser, A.; Mizrahi, I. Exploring the bovine rumen bacterial community from birth to adulthood. Isme, J. 2013, 7, 1069–1079. [Google Scholar] [CrossRef]
- Ma, J.F.; Chen, J.Y.; Gan, M.L.; Chen, L.; Zhao, Y.; Zhu, Y.; Niu, L.L.; Zhang, S.H.; Zhu, L.; Shen, L.Y. Gut Microbiota Composition and Diversity in Different Commercial Swine Breeds in Early and Finishing Growth Stages. Animals 2022, 12, 1067. [Google Scholar] [CrossRef]
- Claesson, M.J.; Jeffery, I.B.; Conde, S.; Power, S.E.; O’Connor, E.M.; Cusack, S.; Harris, H.M.B.; Coakley, M.; Lakshminarayanan, B.; O’Sullivan, O.; et al. Gut microbiota composition correlates with diet and health in the elderly. Nature 2012, 488, 178–184. [Google Scholar] [CrossRef]
- He, J.; Hai, L.; Orgoldol, K.; Yi, L.; Ming, L.; Guo, F.C.; Li, G.W.; Ji, R.M.T. High-Throughput Sequencing Reveals the Gut Microbiome of the Bactrian Camel in Different Ages. Curr. Microbiol. 2019, 76, 810–817. [Google Scholar] [CrossRef] [PubMed]
- Zhu, Y.; Li, Y.D.; Yang, H.Q. Establishment of Gut Microbiome During Early Life and Its Relationship With Growth in Endangered Crested Ibis (Nipponia nippon). Front. Microbiol. 2021, 12, 723682. [Google Scholar] [CrossRef] [PubMed]
- Yatsunenko, T.; Rey, F.E.; Manary, M.J.; Trehan, I.; Dominguez-Bello, M.G.; Contreras, M.; Magris, M.; Hidalgo, G.; Baldassano, R.N.; Anokhin, A.P.; et al. Human gut microbiome viewed across age and geography. Nature 2012, 486, 222–227. [Google Scholar] [CrossRef] [PubMed]
- Jeffery, I.B.; O’Toole, P.W. Diet-Microbiota Interactions and Their Implications for Healthy Living. Nutrients 2013, 5, 234–252. [Google Scholar] [CrossRef]
- Wang, X.; Chen, Y.; Shang, Y.; Wu, X.; Wei, Q.; Chen, J.; Yan, J.; Zhang, H. Comparison of the gut microbiome in red deer (Cervus elaphus) and fallow deer (Dama dama) by high-throughput sequencing of the V3–V4 region of the 16S rRNA gene. Scienceasia 2019, 45, 515–524. [Google Scholar] [CrossRef]
- Liu, Z.; Zhu, Z.; Gao, H.; Zhao, C.; Sun, Y.; Teng, L. Comparative analysis of winter diets and habitat use by the sympatric blue sheep (Pseudois nayaur) and Alashan red deer (Cervus alashanicus) in the Helan Mountains, China. Folia Zool. 2018, 67, 43–53. [Google Scholar] [CrossRef]
- Lovari, S.; Lorenzini, R.; Masseti, M.; Pereladova, O.; Carden, R.F.; Brook, S.M.; Mattioli, S. Cervus Elaphus. The IUCN Red List of Threatened Species 2018. Available online: https://dx.doi.org/10.2305/IUCN.UK.2018-2.RLTS.T55997072A142404453.en (accessed on 12 November 2022). [CrossRef]
- Harris, R.B. Pseudois nayaur. The IUCN Red List of Threatened Species 2014. Available online: https://dx.doi.org/10.2305/IUCN.UK.2014-3.RLTS.T61513537A64313015.en (accessed on 12 November 2022). [CrossRef]
- Liu, Z.; Cao, L.; Wang, X.; Li, T.; Li, Z. Winter Bed-Site Selection by Blue Sheep (Pseudois nayaur) in Helan Mountains, Ningxia, China. Acta Theriol. Sin. 2005, 25, 1–8. [Google Scholar]
- Liu, Z.; Wang, X.; Li, Z.; Cui, D.; Li, X. Comparison of Seasonal Feeding Habitats by Blue Sheep (Pseudois nayaur) during Winter and Spring in Helan Mountain, China. Zool. Res. 2005, 26, 580–589. [Google Scholar]
- Hofmann, R.R. Evolutionary steps of ecophysiological adaptation and diversification of ruminants: A comparative view of their digestive system. Oecologia 1989, 78, 443–457. [Google Scholar] [CrossRef]
- Shrestha, R.; Wegge, P.; Koirala, R.A. Summer diets of wild and domestic ungulates in Nepal Himalaya. J. Zool. 2005, 266, 111–119. [Google Scholar] [CrossRef]
- Ye, C.; Zhang, M.; Liu, Z.; Hu, T.; Li, Z. Summer diets of Sympatric Blue Sheep (Pseudois nayaur) and Red Deer (Cervus elaphus alxaicus) in the Helan Mountains, China. Acta Ecologica Sinica 2010, 30, 1486–1493. [Google Scholar]
- Luo, Y.; Zhang, M.; Liu, Z.; Liu, Z.; Li, Z.; Hu, T.; Wang, J. Habitat selection of sympatric blue sheep (Pseudois nayaur) and red deer (Cervus elaphus alxaicus) during rutting periods in the Helan Mountains, China. Acta Ecologica Sinica 2010, 30, 3744–3751. [Google Scholar]
- Li, Z.; Wang, J.; Khattak, R.H.; Han, X.; Liu, P.; Liu, Z.; Teng, L. Coexistence mechanisms of sympatric ungulates: Behavioral and physiological adaptations of blue sheep (Pseudois nayaur) and red deer (Cervus elaphus alxaicus) in Helan Mountains, China. Front. Ecol. Evol. 2022, 10, 925465. [Google Scholar] [CrossRef]
- Jiang, F.; Gao, H.; Qin, W.; Song, P.; Wang, H.; Zhang, J.; Liu, D.; Wang, D.; Zhang, T. Marked Seasonal Variation in Structure and Function of Gut Microbiota in Forest and Alpine Musk Deer. Front. Microbiol. 2021, 12, 699797. [Google Scholar] [CrossRef]
- Khattak, R.H.; Liu, Z.; Teng, L.; Ahmed, S.; Ali Shah, S.S.; Abdel-Hakeem, S.S. Investigation on Parasites and Some Causes of Mortality in Captive Punjab urial (Ovis vignei punjabiensis), Pakistan. Iran. J. Parasitol. 2021, 16, 64–71. [Google Scholar] [CrossRef]
- Hayat Khattak, R.; Liu, Z.; Teng, L.; James Roberts, N. Determining Optimal Stock Density of Punjab Urial (Ovis vignei punjabiensis) in Captivity for Breeding, Population Growth and Reintroduction Potential. Pak. J. Biol. Sci. PJBS 2020, 23, 1227–1230. [Google Scholar] [CrossRef] [PubMed]
- Correa-Fiz, F.; Blanco-Fuertes, M.; Navas, M.J.; Lacasta, A.; Bishop, R.P.; Githaka, N.; Onzere, C.; Le Potier, M.F.; Almagro-Delgado, V.; Martinez, J.; et al. Comparative analysis of the fecal microbiota from different species of domesticated and wild suids. Sci. Rep. 2019, 9, 13616. [Google Scholar] [CrossRef]
- Xu, X.; Zhang, Z. Sex- and age-specific variation of gut microbiota in Brandt’s voles. PeerJ 2021, 9, e11434. [Google Scholar] [CrossRef]
- Murray, M.H.; Becker, D.J.; Hall, R.J.; Hernandez, S.M. Wildlife health and supplemental feeding: A review and management recommendations. Biol. Conserv. 2016, 204, 163–174. [Google Scholar] [CrossRef]
- Molecular Cloning: A Laboratory Manual; Cold Spring Harbor Laboratories: Cold Spring Harbor, NY, USA, 1989.
- Martin, M. Cutadapt Removes Adapter Sequences From High-Throughput Sequencing Reads. EMBnet J. 2011, 17, 10–12. [Google Scholar] [CrossRef]
- Zhang, J.K.K.; Flouri, T.; Stamatakis, A. PEAR: A fast and accurate Illumina Paired-End reAd mergeR. Bioinformatics 2014, 30, 614–620. [Google Scholar] [CrossRef] [PubMed]
- Schmieder, R.E.R. Quality control and preprocessing of metagenomic datasets. Bioinformatics 2011, 27, 863–8864. [Google Scholar] [CrossRef] [PubMed]
- Edgar, R.C. UPARSE: Highly accurate OTU sequences from microbial amplicon reads. Nat. Methods 2013, 10, 996–998. [Google Scholar] [CrossRef]
- Edgar, R.C. SINTAX: A simple non-Bayesian taxonomy classifier for 16S and ITS sequences. biorxiv 2016, arXiv:biorxiv:074161. [Google Scholar]
- Quast, C.; Pruesse, E.; Yilmaz, P.; Gerken, J.; Schweer, T.; Yarza, P.; Peplies, J.; Gloeckner, F.O. The SILVA ribosomal RNA gene database project: Improved data processing and web-based tools. Nucleic Acids Res. 2013, 41, D590–D596. [Google Scholar] [CrossRef]
- Wang, Q.G.G.; Tiedje, J.M.; Cole, J.R. Naïve Bayesian Classifier for Rapid Assignment of rRNA Sequences into the New Bacterial Taxonomy. Appl. Environ. Microbiol. 2007, 73, 5261–5267. [Google Scholar] [CrossRef] [PubMed]
- Prodan, A.; Tremaroli, V.; Brolin, H.; Zwinderman, A.H.; Nieuwdorp, M.; Levin, E. Comparing bioinformatic pipelines for microbial 16S rRNA amplicon sequencing. PLoS ONE 2020, 15, e0227434. [Google Scholar] [CrossRef]
- Segata, N.; Izard, J.; Waldron, L.; Gevers, D.; Miropolsky, L.; Garrett, W.S.; Huttenhower, C. Metagenomic biomarker discovery and explanation. Genome Biol. 2011, 12, 1–18. [Google Scholar] [CrossRef]
- Stegen, J.C.; Fredrickson, J.K.; Wilkins, M.J.; Konopka, A.E.; Nelson, W.C.; Arntzen, E.V.; Chrisler, W.B.; Chu, R.K.; Danczak, R.E.; Fansler, S.J.; et al. Groundwater-surface water mixing shifts ecological assembly processes and stimulates organic carbon turnover. Nat. Commun. 2016, 7, 11237. [Google Scholar] [CrossRef]
- Stegen, J.C.; Xueju, L.; Fredrickson, J.K.; Konopka, A.E.; Nelson, W.C.; Arntzen, E.V.; Chrisler, W.B.; Chu, R.K.; Danczak, R.E.; Fansler, S.J.; et al. Quantifying community assem-bly processes and identifying features that impose them. ISME J. 2013, 7, 2069–2079. [Google Scholar] [CrossRef]
- Jacomy, M.; Venturini, T.; Heymann, S.; Bastian, M. ForceAtlas2, a Continuous Graph Layout Algorithm for Handy Network Visualization Designed for the Gephi Software. PLoS ONE 2014, 9, e98679. [Google Scholar] [CrossRef]
- Langfelder, P.; Horvath, S. Eigengene networks for studying the relationships between co-expression modules. Bmc Syst. Biol. 2007, 1, 1–17. [Google Scholar] [CrossRef]
- Zhou, J.; Deng, Y.; Luo, F.; He, Z.; Yang, Y. Phylogenetic Molecular Ecological Network of Soil Microbial Communities in Response to Elevated CO2. Mbio 2011, 2, e00122-11. [Google Scholar] [CrossRef] [PubMed]
- Olesen, J.M.; Bascompte, J.; Dupont, Y.L.; Jordano, P. The modularity of pollination networks. PNAS 2007, 104, 19891–19896. [Google Scholar] [CrossRef]
- Liu, W.; Graham, E.B.; Dong, Y.; Zhong, L.; Zhang, J.; Qiu, C.; Chen, R.; Lin, X.; Feng, Y. Balanced stochastic versus deterministic assembly processes benefit diverse yet uneven ecosystem functions in representative agroecosystems. Environ. Microbiol. 2021, 23, 391–404. [Google Scholar] [CrossRef] [PubMed]
- Langille, M.G.I.; Zaneveld, J.; Caporaso, J.G.; McDonald, D.; Knights, D.; Reyes, J.A.; Clemente, J.C.; Burkepile, D.E.; Thurber, R.L.V.; Knight, R.; et al. Predictive functional profiling of microbial communities using 16S rRNA marker gene sequences. Nat. Biotechnol. 2013, 31, 814–821. [Google Scholar] [CrossRef]
- Kanehisa, M.; Goto, S.; Kawashima, S.; Okuno, Y.; Hattori, M. The KEGG resource for deciphering the genome. Nucleic Acids Res. 2004, 32, D277–D280. [Google Scholar] [CrossRef] [PubMed]
- von Mering, C.; Jensen, L.J.; Snel, B.; Hooper, S.D.; Krupp, M.; Foglierini, M.; Jouffre, N.; Huynen, M.A.; Bork, P. STRING: Known and predicted protein-protein associations, integrated and transferred across organisms. Nucleic Acids Res. 2005, 33, D433–D437. [Google Scholar] [CrossRef]
- Parks, D.H.T.G.; Hugenholtz, P.; Beiko, R.G. STAMP: Statistical analysis of taxonomic and functional profiles. Bioinformatics 2014, 30, 3123–3124. [Google Scholar] [CrossRef]
- Gilbert, J.A. Our unique microbial identity. Genome Biol. 2015, 16, 1–3. [Google Scholar] [CrossRef]
- Yang, X.; Xie, L.; Li, Y.; Wei, C. More than 9,000,000 Unique Genes in Human Gut Bacterial Community: Estimating Gene Numbers Inside a Human Body. PLoS ONE 2009, 4, e6074. [Google Scholar] [CrossRef]
- Zhao, L. GENOMICS The tale of our other genome. Nature 2010, 465, 879–880. [Google Scholar] [CrossRef]
- Jami, E.; Mizrahi, I. Composition and Similarity of Bovine Rumen Microbiota across Individual Animals. PLoS ONE 2012, 7, 33306. [Google Scholar] [CrossRef] [PubMed]
- Sun, Y.; Sun, Y.; Shi, Z.; Liu, Z.; Zhao, C.; Lu, T.; Gao, H.; Zhu, F.; Chen, R.; Zhang, J.; et al. Gut Microbiota of Wild and Captive Alpine Musk Deer (Moschus chrysogaster). Front. Microbiol. 2020, 10, 3156. [Google Scholar] [CrossRef]
- Koh, A.; De Vadder, F.; Kovatcheva-Datchary, P.; Backhed, F. From Dietary Fiber to Host Physiology: Short-Chain Fatty Acids as Key Bacterial Metabolites. Cell 2016, 165, 1332–1345. [Google Scholar] [CrossRef] [PubMed]
- Salyers, A.A. Bacteroides of the human lower intestinal tract. Annu. Rev. Microbiol. 1984, 38, 293–313. [Google Scholar] [CrossRef] [PubMed]
- Pryde, S.E.; Duncan, S.H.; Hold, G.L.; Stewart, C.S.; Flint, H.J.T. The microbiology of butyrate formation in the human colon. FEMS Microbiol. Lett. 2002, 217, 133–139. [Google Scholar] [CrossRef] [PubMed]
- Maslowski, K.M.; Vieira, A.T.; Ng, A.; Kranich, J.; Sierro, F.; Yu, D.; Schilter, H.C.; Rolph, M.S.; Mackay, F.; Artis, D.; et al. Regulation of inflammatory responses by gut microbiota and chemoattractant receptor GPR43. Nature 2009, 461, 1282–1286. [Google Scholar] [CrossRef]
- Feng, Q.; Liang, S.; Jia, H.; Stadlmayr, A.; Tang, L.; Lan, Z.; Zhang, D.; Xia, H.; Xu, X.; Jie, Z.; et al. Gut microbiome development along the colorectal adenoma-carcinoma sequence. Nat. Commun. 2015, 6, 6528. [Google Scholar] [CrossRef] [PubMed]
- Planer, J.D.; Peng, Y.; Kau, A.L.; Blanton, L.V.; Ndao, I.M.; Tarr, P.I.; Warner, B.B.; Gordon, J.I. Development of the gut microbiota and mucosal IgA responses in twins and gnotobiotic mice. Nature 2016, 534, 263–266. [Google Scholar] [CrossRef] [PubMed]
- Zoncu, R.; Efeyan, A.; Sabatini, D.M. mTOR: From growth signal integration to cancer, diabetes and ageing. Nat. Rev. Mol. Cell Biol. 2011, 12, 21–35. [Google Scholar] [CrossRef] [PubMed]
- Wang, S.; Xia, G.-H.; He, Y.; Liao, S.X.; Yin, J.; Sheng, H.F.; Zhou, H.W. Distribution characteristics of trimethylamine N-oxide and its association with gut microbiota. J. South. Med. Univ. 2016, 36, 455–460. (In Chinese) [Google Scholar]
- Rautio, M.; Eerola, E.; Vaisanen-Tunkelrott, M.L.; Molitoris, D.; Lawson, P.; Collins, M.D.; Jousimies-Somer, H. Reclassification of Bacteroides putredinis (Weinberg et al., 1937) in a New Genus Alistipes gen. nov., as Alistipes putredinis comb. nov., and description of Alistipes finegoldii sp nov., from human sources. Syst. Appl. Microbiol. 2003, 26, 182–188. [Google Scholar] [CrossRef]
- Heckel, D.G. How do toxins from Bacillus thuringiensis kill insects? An evolutionary perspective. Arch. Insect Biochem. Physiol. 2020, 104, e21673. [Google Scholar] [CrossRef]
- Labussiere, E.; Achard, C.; Dubois, S.; Combes, S.; Castex, M.; Renaudeau, D. Saccharomyces cerevisiae boulardii CNCM I-1079 supplementation in finishing male pigs helps to cope with heat stress through feeding behaviour and gut microbiota modulation. Br. J. Nutr. 2022, 127, 353–368. [Google Scholar] [CrossRef]
- Kaakoush, N.O. Insights into the Role of Erysipelotrichaceae in the Human Host. Front. Cell. Infect. Microbiol. 2015, 5, 84. [Google Scholar] [CrossRef] [PubMed]
- Nuriel-Ohayon, M.; Neuman, H.; Koren, O. Microbial Changes during Pregnancy, Birth, and Infancy. Front. Microbiol. 2016, 7, 1031. [Google Scholar] [CrossRef]
- Fernando, S.C.; Purvis, H.T., II; Najar, F.Z.; Sukharnikov, L.O.; Krehbiel, C.R.; Nagaraja, T.G.; Roe, B.A.; DeSilva, U. Rumen Microbial Population Dynamics during Adaptation to a High-Grain Diet. Appl. Environ. Microbiol. 2010, 76, 7482–7490. [Google Scholar] [CrossRef]
- Zhu, Z.; Sun, Y.; Zhu, F.; Liu, Z.; Pan, R.; Teng, L.; Guo, S. Seasonal Variation and Sexual Dimorphism of the Microbiota in Wild Blue Sheep (Pseudois nayaur). Front. Microbiol. 2020, 11, 1260. [Google Scholar] [CrossRef]
- Macfarlane, G.T.G.G.R.; Cummings, J.H. Comparison of fermentstion reactions in differert regions of the human colon. J. Appl. Bacteriol. 1992, 71, 57–64. [Google Scholar]
- Sydenham, T.V.; Arpi, M.; Klein, K.; Justesen, U.S. Four Cases of Bacteremia Caused by Oscillibacter ruminantium, a Newly Described Species. J. Clin. Microbiol. 2014, 52, 1304–1307. [Google Scholar] [CrossRef]
- Wu, X.; Shang, Y.; Wei, Q.; Chen, J.; Zhang, H.; Chen, Y.; Gao, X.; Wang, Z.; Zhang, H. Gut Microbiota in Dholes During Estrus. Front. Microbiol. 2020, 11, 575731. [Google Scholar] [CrossRef]
- Belanche, A.; Doreau, M.; Edwards, J.E.; Moorby, J.M.; Pinloche, E.; Newbold, C.J. Shifts in the Rumen Microbiota Due to the Type of Carbohydrate and Level of Protein Ingested by Dairy Cattle Are Associated with Changes in Rumen Fermentation. J. Nutr. 2012, 142, 1684–1692. [Google Scholar] [CrossRef]
- Bolin, D.C.; Donahue, J.M.; Vickers, M.L.; Giles, R.C.; Harrison, L.; Jackson, C.; Poonacha, K.B.; Roberts, J.F.; Sebastian, M.M.; Sells, S.F.; et al. Equine abortion and premature birth associated with Cellulosimicrobium cellulans infection. J. Vet. Diagn. Investig. 2004, 16, 333–336. [Google Scholar] [CrossRef]
- Biberstein, E.L.; Carter, G.R.; Carter, M.E.; Chengappa, M.M.J., Jr.; Donahue, J.M.; Inzana, T.J.; Kirkbride, C.A.; Nicoletti, P.; Phillips, J.E. Index—Diagnostic Procedure in Veterinary Bacteriology and Mycology (Fifth Edition). Diagn. Proced. Vet. Bacteriol. Mycol. 1990, 17, 589–620. [Google Scholar]
- Costa, M.C.; Arroyo, L.G.; Allen-Vercoe, E.; Staempfli, H.R.; Kim, P.T.; Sturgeon, A.; Weese, J.S. Comparison of the Fecal Microbiota of Healthy Horses and Horses with Colitis by High Throughput Sequencing of the V3–V5 Region of the 16S rRNA Gene. PLoS ONE 2012, 7, e41484. [Google Scholar] [CrossRef] [PubMed]
- Oikonomou, G.; Teixeira, A.G.V.; Foditsch, C.; Bicalho, M.L.; Machado, V.S.; Bicalho, R.C. Fecal Microbial Diversity in Pre-Weaned Dairy Calves as Described by Pyrosequencing of Metagenomic 16S rDNA. Associations of Faecalibacterium Species with Health and Growth. PLoS ONE 2013, 8, e63157. [Google Scholar] [CrossRef] [PubMed]
- Lyu, T.; Liu, G.; Zhang, H.; Wang, L.; Zhou, S.; Dou, H.; Pang, B.; Sha, W.; Zhang, H. Changes in feeding habits promoted the differentiation of the composition and function of gut microbiotas between domestic dogs (Canis lupus familiaris) and gray wolves (Canis lupus). Amb Express 2018, 8, 1–12. [Google Scholar] [CrossRef]
- Derrien, M.; Vaughan, E.E.; Plugge, C.M.; de Vos, W.M. Akkermansia muciniphila gen. nov., sp nov., a human intestinal mucin-degrading bacterium. Int. J. Syst. Evol. Microbiol. 2004, 54, 1469–1476. [Google Scholar] [CrossRef]
- Dai, X.; Guo, Z.; Chen, D.; Li, L.; Liu, T.; Jin, G.; Li, Y.; Cao, H.; Wang, B. Maternal Sucralose Intake Alters Gut Microbiota Of Offspring And Exacerbates Hepatic Steatosis In Adulthood. Gastroenterology 2020, 11, 1043–1063. [Google Scholar]
- Louis, P.; Flint, H.J. Diversity, metabolism and microbial ecology of butyrate-producing bacteria from the human large intestine. FEMS Microbiol. Lett. 2009, 294, 1–8. [Google Scholar] [CrossRef]
- Tett, A.; Pasolli, E.; Masetti, G.; Ercolini, D.; Segata, N. Prevotella diversity, niches and interactions with the human host. Nat. Rev. Microbiol. 2021, 19, 585–599. [Google Scholar] [CrossRef] [PubMed]
- Balzola, F.; Bernstein, C.; Ho, G.T.; Lees, C. A human gut microbial gene catalogue established by metagenomic sequencing: Commentary. Nature 2010, 464, 59–65. [Google Scholar]
- Round, J.L.; Mazmanian, S.K. The gut microbiota shapes intestinal immune responses during health and disease. Nat. Rev. Immunol. 2009, 9, 313–323. [Google Scholar] [CrossRef] [PubMed]










| Group | Growth Stage | Shannon | ACE | Chao1 | Simpson | 
|---|---|---|---|---|---|
| Red Deer | Juvenile | 5.48 ± 0.42 | 1547.36 ± 77.07 | 1570.67 ± 0.001 | 0.02 ± 0.02 | 
| Adult | 5.28 ± 0.73 | 1511.23 ± 58.61 | 1537.32 ± 59.79 | 0.03 ± 0.05 | |
| p value | 2 groups | p > 0.05 | p > 0.05 | p > 0.05 | p > 0.05 | 
| Blue Sheep | Juvenile | 5.56 ± 0.21 | 1702.20 ± 50.28 | 1719.28 ± 45.74 | 0.01 ± 0.003 | 
| Adult | 5.39 ± 0.21 | 1491.96 ± 91.19 | 1527.03 ± 102.27 | 0.01 ± 0.003 | |
| p value | 2 groups | p > 0.05 | p < 0.05 | p < 0.05 | p > 0.05 | 
| Groups | Correlation | Genera | No. Module | Network Roles | 
|---|---|---|---|---|
| Red deer | 0.48 | Paracoccus | 3 | Connectors | 
| Blue sheep | 0.52 | Azospirillum | 6 | Connectors | 
| Cellulosimicrobium | 8 | Connectors | ||
| Desulfovibrio | 9 | Connectors | ||
| Fibrobacter | 1 | Module hubs | ||
| Georgenia | 8 | Connectors | ||
| Peptococcus | 5 | Connectors | ||
| Pontibacter | 7 | Connectors | ||
| Pseudomonas | 4 | Connectors | ||
| Slackia | 4 | Connectors | ||
| Truepera | 3 | Connectors | ||
| Vampirovibrio | 3 | Connectors | ||
| unclassified_Bacteroidetes | 5 | Connectors | ||
| unclassified_Demequinaceae | 3 | Connectors | ||
| unclassified_Gammaproteobacteria | 8 | Connectors | ||
| unclassified_Planococcaceae | 3 | Connectors | ||
| unclassified_Sutterellaceae | 3 | Module hubs | 
| Disclaimer/Publisher’s Note: The statements, opinions and data contained in all publications are solely those of the individual author(s) and contributor(s) and not of MDPI and/or the editor(s). MDPI and/or the editor(s) disclaim responsibility for any injury to people or property resulting from any ideas, methods, instructions or products referred to in the content. | 
© 2023 by the authors. Licensee MDPI, Basel, Switzerland. This article is an open access article distributed under the terms and conditions of the Creative Commons Attribution (CC BY) license (https://creativecommons.org/licenses/by/4.0/).
Share and Cite
Zhao, Y.; Sun, J.; Ding, M.; Hayat Khattak, R.; Teng, L.; Liu, Z. Growth Stages and Inter-Species Gut Microbiota Composition and Function in Captive Red Deer (Cervus elaphus alxaicus) and Blue Sheep (Pseudois nayaur). Animals 2023, 13, 553. https://doi.org/10.3390/ani13040553
Zhao Y, Sun J, Ding M, Hayat Khattak R, Teng L, Liu Z. Growth Stages and Inter-Species Gut Microbiota Composition and Function in Captive Red Deer (Cervus elaphus alxaicus) and Blue Sheep (Pseudois nayaur). Animals. 2023; 13(4):553. https://doi.org/10.3390/ani13040553
Chicago/Turabian StyleZhao, Yao, Jia Sun, Mengqi Ding, Romaan Hayat Khattak, Liwei Teng, and Zhensheng Liu. 2023. "Growth Stages and Inter-Species Gut Microbiota Composition and Function in Captive Red Deer (Cervus elaphus alxaicus) and Blue Sheep (Pseudois nayaur)" Animals 13, no. 4: 553. https://doi.org/10.3390/ani13040553
APA StyleZhao, Y., Sun, J., Ding, M., Hayat Khattak, R., Teng, L., & Liu, Z. (2023). Growth Stages and Inter-Species Gut Microbiota Composition and Function in Captive Red Deer (Cervus elaphus alxaicus) and Blue Sheep (Pseudois nayaur). Animals, 13(4), 553. https://doi.org/10.3390/ani13040553
 
        
 
                         
       