Right Pulmonary Artery Distensibility Index in Heartworm Infected Dogs: Are the Different Methods Leading to Same Results?
Abstract
Simple Summary
Abstract
1. Introduction
2. Materials and Methods
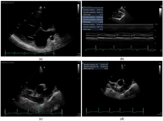
- (1)
- (2)
- method 2 (“Venco modified”): obtained in the same way as for method 1, but diameters of the RPA were measured with “the trailing edge to leading edge” (te-le) measurement convention (Figure 3).
- (3)
- method 3 (“Visser classic”) [19]: obtained by B-mode study using View 2. Minimum diastolic and maximum systolic internal diameters were measured with “the trailing edge to leading edge” (te-le) method, using the same location of the RPA. The measurements were performed as perpendicular as possible to the internal borders, where RPA was clearly visible, starting from the frame with the largest diameter, and subsequently, scrolling frame-by-frame, the smallest diameter of RPA was measured, attempting to measure it at the same location.
- (4)
- Method 4 (“Visser modified 1”, Visser “te-le”): using an M-mode image obtained from View 2, the diameters are measured using the “trailing edge to leading edge” (te-le) method.
- (5)
- Method 5 (“Visser modified 2”, Visser “le-le”): using an M-mode image obtained from View 2, the diameters are measured using the “leading edge to leading edge” (le-le) method.
Statistical Analysis
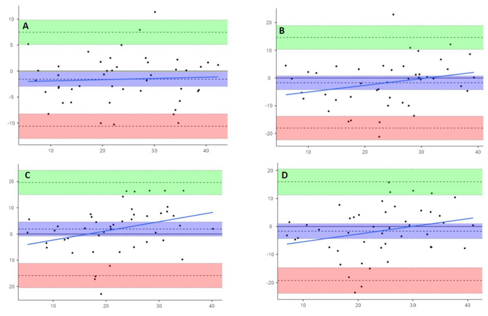
3. Results
4. Discussion
5. Conclusions
Author Contributions
Funding
Institutional Review Board Statement
Informed Consent Statement
Data Availability Statement
Conflicts of Interest
References
- McCall, J.W.; Genchi, C.; Kramer, L.H.; Guerrero, J.; Venco, L. Heartwormdisease in animals and humans. Adv. Parasitol. 2008, 66, 193–285. [Google Scholar] [CrossRef]
- Atwell, R.B.; Buoro, I.B.; Sutton, R.H. Experimental production of lesions In canine pulmonary arteries similar to those produced by Dirofilaria immitis infection. Vet. Rec. 1985, 116, 539–541. [Google Scholar] [CrossRef] [PubMed]
- Atwell, R.B.; Sutton, R.H.; Moodie, E.W. Pulmonary changes associated withdead filariae (Dirofilaria immitis) and concurrent antigenic exposure in dogs. J.Comp. Pathol. 1988, 98, 349–361. [Google Scholar] [CrossRef] [PubMed]
- Bowman, D.D.; Atkins, C.E. Heartworm biology, treatment, and control. Vet. Clin. N. Am. Small Anim. Pract. 2009, 39, 1127–1158. [Google Scholar] [CrossRef]
- Simón, F.; Siles-Lucas, M.; Morchón, R.; González-Miguel, J.; Mellado, I.; Carretón, E.; Montoya-Alonso, J.A. Human and Animal Dirofilariasis: The Emergence of a Zoonotic Mosaic. Clin. Microbiol. Rev. 2012, 25, 507–544. [Google Scholar] [CrossRef]
- Saouti, N.; Westerhof, N.; Postmus, P.E.; Vonk-Noordegraaf, A. The arterial load in pulmonary hypertension. Eur. Respir. Rev. 2010, 19, 197–203. [Google Scholar] [CrossRef] [PubMed]
- Ghio, S.; Schirinzi, S.; Pica, S. Pulmonary arterial compliance: How and why should we measure it? Glob. Cardiol. Sci. Pract. 2015, 28, 58. [Google Scholar] [CrossRef] [PubMed]
- Chemla, D.; Lau, E.M.T.; Papelier, Y.; Attal, P.; Hervé, P. Pulmonary vascular resistance and compliance relationship in pulmonary. Eur. Respir. J. 2015, 46, 1178–1189. [Google Scholar] [CrossRef]
- Lankhaar, J.W.; Westerhof, N.; Faes, T.J.C.; Gan, C.T.J.; Marques, K.M.; Boonstra, A.; van den Berg, F.G.; Postmus, P.E.; Vonk-Noordegraaf, A. Pulmonary vascular resistance and compliance stay inversely related during treatment of pulmonary hypertension. Eur. Heart J. 2008, 29, 1688–1695. [Google Scholar] [CrossRef] [PubMed]
- Dieffenbach, P.B.; Maracle, M.; Tschumperlin, D.J.; Fredenburgh, L.E. Mechanobiological Feedback in Pulmonary Vascular Disease. Front. Physiol. 2018, 9, 951. [Google Scholar] [CrossRef]
- Bouchard, A.; Higgins, C.B.; Byrd, B.F.; Amparo, E.; Osaki, L.; Axelrod, R. Magnetic resonance imaging in pulmonary arterial hypertension. Am. J. Cardiol. 1985, 56, 938–942. [Google Scholar] [CrossRef] [PubMed]
- Bogren, H.G.; Klipstein, R.H.; Mohiaddin, R.H.; Firmin, D.N.; Underwood, S.R.; Rees, R.S.O. Pulmonary artery distensibility and blood flow patterns: A magnetic resonance study of normal subjects and of patients with pulmonary arterial hypertension. Am. Heart J. 1989, 11, 990–999. [Google Scholar] [CrossRef] [PubMed]
- Sanz, J.; Kariisa, M.; Dellegrottaglie, S.; Prat-Gonzalez, S.; Garcia, M.J.; Fuster, V. Evaluation of pulmonary artery stiffness in pulmonary hypertension with cardiac magnetic resonance. JACC Cardiovasc. Imaging 2009, 2, 286–295. [Google Scholar] [CrossRef] [PubMed]
- Forouzan, O.; Warczytowa, J.; Wieben, O.; François, J.C.; Chesler, N.C. Non-invasive measurement using cardiovascular magnetic resonance of changes in pulmonary artery stiffness with exercise. J. Cardiovasc. Magn. Reson. 2015, 17, 109. [Google Scholar] [CrossRef]
- Pasierski, T.J.; Starling, R.C.; Binkley, P.F.; Pearson, A.C. Echocardiographic Evaluation of Pulmonary Artery Distensibility. Chest 1993, 103, 1080–1083. [Google Scholar] [CrossRef] [PubMed]
- Malhotra, R.; Dhakal, B.P.; Eisman, A.S.; Pappagianopoulos, P.P.; Dress, A.; Weiner, R.B.; Baggish, A.L.; Semigran, M.J.; Lewis, G.D. Pulmonary Vascular Distensibility Predicts Pulmonary Hypertension Severity, Exercise Capacity, and Survival in Heart Failure. Circ. Heart Fail. 2016, 9, 10. [Google Scholar] [CrossRef]
- Venco, L.; Mihaylovab, L.; Boon, J.A. Right Pulmonary Artery Distensibility Index (RPAD Index).A field study of an echocardiographic method to detect earlydevelopment of pulmonary hypertension and its severityeven in the absence of regurgitant jets for Doppler evaluationin heartworm-infected dogs. Vet. Parasitol. 2014, 206, 60–66. [Google Scholar] [CrossRef]
- Vezzosi, T.; Marchesotti, F.; Tognetti, R.; Venco, L.; Domenech, O. Comparison of two echocardiographic views for evaluating the right pulmonary artery distensibility index in dogs. J. Vet. Intern. Med. 2015, 29, 426. [Google Scholar]
- Visser, L.C.; Im, M.K.; Johnson, L.R.; Stern, J.A. Diagnostic value of right pulmonary artery distensibility index in dogs with pulmonary hypertension: Comparison with Doppler echocardiographic estimates of pulmonary arterial pressure. J. Vet. Intern. Med. 2016, 30, 543–552. [Google Scholar] [CrossRef]
- Serrano-Parreño, B.; Carretón, E.; Caro-Vadillo, A.; Falcon-Cordon, Y.; Falcon-Cordon, S.; Montoya-Alonso, J.A. Evaluation of pulmonary hypertension and clinical status in dogs with heartworm by right pulmonary artery distensibility index and other echocardiographic parameters. Parasit. Vectors. 2017, 10, 106. [Google Scholar] [CrossRef]
- Chan, I.P.; Weng, M.C.; Hsueh, T.; Lin, Y.C.; Lin, S.L. Prognostic value of right pulmonary artery distensibility in dogs with pulmonary hypertension. J. Vet. Sci. 2019, 20, e34. [Google Scholar] [CrossRef] [PubMed]
- Roels, E.; Merveille, A.C.; Moyse, E.; Gomart, S.; Clercx, C.; Mc Entee, K. Diagnostic value of the pulmonary veinto-right pulmonary artery ratio in dogs with pulmonary hypertension of precapillary origin. J. Vet. Cardiol. 2019, 24, 85–94. [Google Scholar] [CrossRef]
- Falcon-Cordon, Y.; Montoya-Alonso, J.A.; Caro-Vadillo, A.; Matos-Rivero, J.I.; Carreton, E. Persistence of pulmonary endarteritis in canine heartworm infection 10months after the eradication of adult parasites of Dirofilaria immitis. Vet. Parasitol. 2019, 273, 1–4. [Google Scholar] [CrossRef] [PubMed]
- Maerz, I. Clinical and diagnostic imaging findings in 37 rescued dogs with heartworm disease in Germany. Vet. Parasitol. 2020, 283, 109156. [Google Scholar] [CrossRef] [PubMed]
- Birettoni, F.; Caivano, D.; Patata, V.; Moise, N.S.; Guglielmini, C.; Rishniw, M.; Porciello, F. Canine pulmonary vein-to-pulmonary ratio: Echocardiographic technique and reference intervals. J. Vet. Cardiol. 2016, 18, 326–335. [Google Scholar] [CrossRef]
- Revel, M.P.; Faivre, J.B.; Remy-Jardin, M. Pulmonary hypertension: ECG-gated 64-section CT angiographic evaluation of new functional parameters as diagnostic criteria. Radiology 2009, 250, 558–566. [Google Scholar] [CrossRef]
- Visser, L.C.; Wood, J.E.; Johnson, L.R. Survival characteristics and prognostic importance of echocardiographic measurements of right heart size and function in dogs with pulmonary hypertension. J. Vet. Intern. Med. 2020, 34, 1–10. [Google Scholar] [CrossRef]
- Thomas, W.P.; Gaber, C.E.; Jacobs, G.J. Recommendations for standards in transthoracic two-dimensional echocardiography in the dog and cat. Echocardiography Committee of the Specialty of Cardiology, American College of Veterinary Internal Medicine. J. Vet. Intern. Med. 1993, 7, 247–252. [Google Scholar] [CrossRef]
- Lang, R.M.; Badano, L.P.; Mor-Avi, V.; Afilalo, J.; Armstrong, A.; Ernande, L.; Flachskampf, F.A.; Foster, E.; Goldstein, S.A.; Kuznetsova, T.; et al. Recommendations for cardiac chamber quantification by echocardiography in adults: An update from the American Society of Echocardiography and the European Association of Cardiovascular Imaging. J. Am. Soc. Echocardiogr. 2008, 28, 1–39. [Google Scholar] [CrossRef]
- Ludbrook, J. Statistical techniques for comparing measures and methods of measurement: A critical review. Clin. Exp. Pharmacol. Physiol. 2002, 29, 527–536. [Google Scholar] [CrossRef]
- Franco, F.; Di Napoli, A. Valutazione della concordanza tra misurazioni di caratteri di tipo quantitativo: Il metodo di Bland-Altman. G. Tec. Nefrol. Dial. 2017, 29, 59. [Google Scholar] [CrossRef]





| Author | Year | Echocardiographic Method | View | Measuring Method |
|---|---|---|---|---|
| Venco | 2014 | M-mode | RPLA | lele |
| Vezzosi | 2015 | M-mode | RPSA RPLA | Not Specified |
| Visser | 2016 | B-mode | RPSA | tele |
| Birettoni | 2016 | M-mode | RPLA RPSA | tele |
| Serrano | 2017 | M-mode | RPLA | lele |
| Chan | 2019 | M-mode | RPLA | lele |
| Roels | 2019 | M-mode | RPLA | tele |
| Falcon-Cordon | 2019 | M-mode | RPLA | lele |
| Maerz | 2020 | M-mode | RPSA | lele |
| Reference Method | Venco Classic | ||||
|---|---|---|---|---|---|
| Systematic Differences | |||||
| Variable | n | Differences | |||
| Mean | SD | 95%CI | |||
| Visser classic | 46 | 1.72 | 8.3 | −0.755 to 4.2 | |
| Venco te-le | 46 | 1.57 | 4.6 | 0.19 to 2.93 | |
| Visser le-le | 46 | −1.89 | 9.04 | −4.57 to 0.79 | |
| Visser te-le | 46 | 1.66 | 9 | −1.01 to 4.32 | |
| Limits of Agreement | |||||
| Variable | n | Limits of Agreement | |||
| Lower limit | 95% CI | Upper limit | 95% CI | ||
| Visser classic | 46 | −14.6 | −18.9 to −10.3 | 18 | 13.7 to 22.2 |
| Venco te-le | 46 | −7.5 | −9.8 to −5.1 | 10.6 | 8.2 to 1.9 |
| Visser le-le | 46 | −19.6 | −24.2 to −15 | 15.8 | 11.2 to 20.5 |
| Visser te-le | 46 | −1.9 | −20.5 to −11.3 | 19.2 | 14.7 to 23.8 |
| Regression | |||||
| Variable | Intercept | 95% CI | Slope | 95% CI | p |
| Visser classic | 12.4 | 7.7 to 17.2 | −0.46 | −0.65 to −0.27 | <0.0001 |
| Venco te-le | 4.2 | 1.01 to 7.4 | −0.11 | −0.24 to 0.01 | 0.0726 |
| Visser le-le | 11.2 | 6.4 to 16 | −0.57 | −0.76 to 0.38 | <0.0001 |
| Visser te-le | 13.8 | 8.8 to 18.8 | −0.53 | −0.72 to −0.33 | <0.0001 |
| Absolute Percentage Error | |||||
| Variable | n | Median | 95% CI | 95th Percentile | |
| Visser classic | 46 | 19.93% | 14.36 to 34.6 | 15.4% | |
| Venco te-le | 46 | 14.64% | 8.4 to 24.78 | 66.6% | |
| Visser le-le | 46 | 23.72% | 19.75 to 36.14 | 168.01% | |
| Visser te-le | 46 | 24.58% | 16.5 to 35.4 | 199.27% | |
| Differences | Mean Difference (± SEM) | 95% CI for Mean Difference | t | p-Value |
|---|---|---|---|---|
| Venco te-le | −1.56 ± 0.68 | −2.94 to −0.19 | −2.3 | 0.0261 |
| Visser classic | −1.72 ± 1.22 | −4.19 to 0.75 | −1.4 | 0.1686 |
| Visser le-le | 1.89 ± 1.33 | −0.80 to 4.57 | 1.4 | 0.1637 |
| Visser te-le | −1.66 ± 1.32 | −4.19 to 1.58 | −1.2 | 0.215 |
| Regression | r | a | b | p-Value |
|---|---|---|---|---|
| Venco te-le | 0.05 | 2.13 | 0.023 | 0.725 |
| Visser classic | 0.26 | 7.502 | 0.243 | 0.084 |
| Visser le-le | 0.32 | 5.83 | 0.35 | 0.0285 |
| Visser te-le | 0.26 | 8.235 | 0.276 | 0.076 |
| METODO | Mean | SD | |
|---|---|---|---|
| VENCO CLASSIC | Systolic | 4.1 | 3.1 |
| Diastolic | 4.8 | 3.4 | |
| VENCO tele | Systolic | 3.3 | 2.5 |
| Diastolic | 5.7 | 4 | |
| VISSER CLASSIC | Systolic | 3.7 | 2 |
| Diastolic | 4.5 | 3 | |
| VISSER tele | Systolic | 4.1 | 2.5 |
| Diastolic | 4.9 | 3 | |
| VISSER lele | Systolic | 3.6 | 2.5 |
| Diastolic | 4.8 | 2.7 |
Disclaimer/Publisher’s Note: The statements, opinions and data contained in all publications are solely those of the individual author(s) and contributor(s) and not of MDPI and/or the editor(s). MDPI and/or the editor(s) disclaim responsibility for any injury to people or property resulting from any ideas, methods, instructions or products referred to in the content. |
© 2023 by the authors. Licensee MDPI, Basel, Switzerland. This article is an open access article distributed under the terms and conditions of the Creative Commons Attribution (CC BY) license (https://creativecommons.org/licenses/by/4.0/).
Share and Cite
Basile, A.; Napoli, E.; Brianti, E.; Venco, L. Right Pulmonary Artery Distensibility Index in Heartworm Infected Dogs: Are the Different Methods Leading to Same Results? Animals 2023, 13, 418. https://doi.org/10.3390/ani13030418
Basile A, Napoli E, Brianti E, Venco L. Right Pulmonary Artery Distensibility Index in Heartworm Infected Dogs: Are the Different Methods Leading to Same Results? Animals. 2023; 13(3):418. https://doi.org/10.3390/ani13030418
Chicago/Turabian StyleBasile, Angelo, Ettore Napoli, Emanuele Brianti, and Luigi Venco. 2023. "Right Pulmonary Artery Distensibility Index in Heartworm Infected Dogs: Are the Different Methods Leading to Same Results?" Animals 13, no. 3: 418. https://doi.org/10.3390/ani13030418
APA StyleBasile, A., Napoli, E., Brianti, E., & Venco, L. (2023). Right Pulmonary Artery Distensibility Index in Heartworm Infected Dogs: Are the Different Methods Leading to Same Results? Animals, 13(3), 418. https://doi.org/10.3390/ani13030418

