Genome-Wide Association Analysis Identifies the PMEL Gene Affecting Coat Color and Birth Weight in Simmental × Holstein
Abstract
:Simple Summary
Abstract
1. Introduction
2. Materials and Methods
2.1. Animal Phenotyping and Blood Collection
2.2. Genotyping and Quality Control
2.3. Statistical Analyses
2.4. Multiple Testing Corrections
2.5. Mapping of Candidate Genes
3. Results
3.1. Statistics and Analysis of Phenotypic Data
3.2. Population Stratification Analysis of Offspring
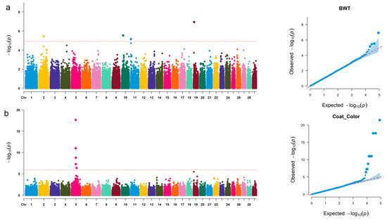
3.3. GWAS of Coat Color and Birth Weight
3.4. Association Analysis of Significantly Correlated SNPs for Coat Color and Birth Weight
4. Discussion
5. Conclusions
Author Contributions
Funding
Institutional Review Board Statement
Informed Consent Statement
Data Availability Statement
Acknowledgments
Conflicts of Interest
References
- Andersson, L. Genetic dissection of phenotypic diversity in farm animals. Nat. Rev. Genet. 2001, 2, 130–138. [Google Scholar] [CrossRef]
- Yamaguchi, Y.; Brenner, M.; Hearing, V.J. The regulation of skin pigmentation. J. Biol. Chem. 2007, 282, 27557–27561. [Google Scholar] [CrossRef] [PubMed]
- Ohbayashi, N.; Fukuda, M. Recent advances in understanding the molecular basis of melanogenesis in melanocytes. F1000Research 2020, 9, 608. [Google Scholar] [CrossRef] [PubMed]
- Bennett, D.C.; Lamoreux, M.L. The color loci of mice—A genetic century. Pigment. Cell Res. 2003, 16, 333–344. [Google Scholar] [CrossRef] [PubMed]
- Schiaffino, M.V. Signaling pathways in melanosome biogenesis and pathology. Int. J. Biochem. Cell Biol. 2010, 42, 1094–1104. [Google Scholar] [CrossRef] [PubMed]
- Hearing, V.J. The melanosome: The perfect model for cellular responses to the environment. Pigment. Cell Res. 2000, 13 (Suppl. S8), 23–34. [Google Scholar] [CrossRef] [PubMed]
- Knaust, J.; Weikard, R.; Albrecht, E.; Brunner, R.M.; Günther, J.; Kühn, C. Indication of Premelanosome Protein (PMEL) Expression Outside of Pigmented Bovine Skin Suggests Functions Beyond Eumelanogenesis. Genes 2020, 11, 788. [Google Scholar] [CrossRef] [PubMed]
- Hellström, A.R.; Watt, B.; Fard, S.S.; Tenza, D.; Mannström, P.; Narfström, K.; Ekesten, B.; Ito, S.; Wakamatsu, K.; Larsson, J.; et al. Inactivation of Pmel alters melanosome shape but has only a subtle effect on visible pigmentation. PLoS Genet. 2011, 7, e1002285. [Google Scholar] [CrossRef]
- Leite, J.; Da Silva, R.G.; Asensio, L.A.B.; de Sousa, J.E.R.; da Silva, W.S.T.; da Silva, W.E.; Façanha, D.A.E. Coat color and morphological hair traits influence on the mechanisms related to the heat tolerance in hair sheep. Int. J. Biometeorol. 2020, 64, 2185–2194. [Google Scholar] [CrossRef]
- Maia, A.S.; daSilva, R.G.; Battiston Loureiro, C.M. Sensible and latent heat loss from the body surface of Holstein cows in a tropical environment. Int. J. Biometeorol. 2005, 50, 17–22. [Google Scholar] [CrossRef]
- Isola, J.V.V.; Menegazzi, G.; Busanello, M.; Dos Santos, S.B.; Agner, H.S.S.; Sarubbi, J. Differences in body temperature between black-and-white and red-and-white Holstein cows reared on a hot climate using infrared thermography. J. Therm. Biol. 2020, 94, 102775. [Google Scholar] [CrossRef] [PubMed]
- Andersson, L.S.; Wilbe, M.; Viluma, A.; Cothran, G.; Ekesten, B.; Ewart, S.; Lindgren, G. Equine multiple congenital ocular anomalies and silver coat colour result from the pleiotropic effects of mutant PMEL. PLoS ONE 2013, 8, e75639. [Google Scholar] [CrossRef]
- Hansen, P.J. Effects of coat colour on physiological responses to solar radiation in Holsteins. Vet. Rec. 1990, 127, 333–334. [Google Scholar]
- Anzures-Olvera, F.; Véliz, F.G.; de Santiago, A.; García, J.E.; Mellado, J.; Macías-Cruz, U.; Avendaño-Reyes, L.; Mellado, M. The impact of hair coat color on physiological variables, reproductive performance and milk yield of Holstein cows in a hot environment. J. Therm. Biol. 2019, 81, 82–88. [Google Scholar] [CrossRef] [PubMed]
- Getachew, T.; Abebe, A.; Gizaw, S.; Rischkowsky, B.; Bisrat, A.; Haile, A. Coat color alterations over the years and their association with growth performances in the Menz sheep central nucleus and community-based breeding programs. Trop. Anim. Health Prod. 2020, 52, 2977–2985. [Google Scholar] [CrossRef]
- Atashi, H.; Asaadi, A. Association between gestation length and lactation performance, lactation curve, calf birth weight and dystocia in Holstein dairy cows in Iran. Anim. Reprod. 2019, 16, 846–852. [Google Scholar] [CrossRef] [PubMed]
- Schiermiester, L.N.; Thallman, R.M.; Kuehn, L.A.; Kachman, S.D.; Spangler, M.L. Estimation of breed-specific heterosis effects for birth, weaning, and yearling weight in cattle. J. Anim. Sci. 2015, 93, 46–52. [Google Scholar] [CrossRef]
- Fiems, L.O.; Ampe, B. Importance of dam BW change and calf birth weight in double-muscled Belgian Blue cattle and its relationship with parity and calving interval. Animal 2015, 9, 94–103. [Google Scholar] [CrossRef]
- Msanga, Y.N.; Syrstad, O.; Mgheni, M. Influence of season of birth on weight for age in two genetic groups of cattle. Trop. Anim. Health Prod. 1986, 18, 217–221. [Google Scholar] [CrossRef]
- Snelling, W.M.; Allan, M.F.; Keele, J.W.; Kuehn, L.A.; McDaneld, T.; Smith, T.P.; Sonstegard, T.S.; Thallman, R.M.; Bennett, G.L. Genome-wide association study of growth in crossbred beef cattle. J. Anim. Sci. 2010, 88, 837–848. [Google Scholar] [CrossRef]
- Lu, D.; Sargolzaei, M.; Kelly, M.; Vander Voort, G.; Wang, Z.; Mandell, I.; Moore, S.; Plastow, G.; Miller, S.P. Genome-wide association analyses for carcass quality in crossbred beef cattle. BMC Genet. 2013, 14, 80. [Google Scholar] [CrossRef]
- Rajawat, D.; Panigrahi, M.; Nayak, S.S.; Ghildiyal, K.; Sharma, A.; Kumar, H.; Parida, S.; Bhushan, B.; Gaur, G.K.; Mishra, B.P.; et al. Uncovering genes underlying coat color variation in indigenous cattle breeds through genome-wide positive selection. Anim. Biotechnol. 2023, 7, 1–14. [Google Scholar] [CrossRef]
- Chang, C.C.; Chow, C.C.; Tellier, L.C.; Vattikuti, S.; Purcell, S.M.; Lee, J.J. Second-generation PLINK: Rising to the challenge of larger and richer datasets. Gigascience 2015, 4, 7. [Google Scholar] [CrossRef] [PubMed]
- Purcell, S.; Neale, B.; Todd-Brown, K.; Thomas, L.; Ferreira, M.A.; Bender, D.; Maller, J.; Sklar, P.; de Bakker, P.I.; Daly, M.J.; et al. PLINK: A tool set for whole-genome association and population-based linkage analyses. Am. J. Hum. Genet. 2007, 81, 559–575. [Google Scholar] [CrossRef] [PubMed]
- Browning, S.R.; Browning, B.L. Rapid and accurate haplotype phasing and missing-data inference for whole-genome association studies by use of localized haplotype clustering. Am. J. Hum. Genet. 2007, 81, 1084–1097. [Google Scholar] [CrossRef] [PubMed]
- Browning, B.L.; Browning, S.R. A unified approach to genotype imputation and haplotype-phase inference for large data sets of trios and unrelated individuals. Am. J. Hum. Genet. 2009, 84, 210–223. [Google Scholar] [CrossRef]
- Price, A.L.; Patterson, N.J.; Plenge, R.M.; Weinblatt, M.E.; Shadick, N.A.; Reich, D. Principal components analysis corrects for stratification in genome-wide association studies. Nat. Genet. 2006, 38, 904–909. [Google Scholar] [CrossRef]
- Zhou, X.; Stephens, M. Genome-wide efficient mixed-model analysis for association studies. Nat. Genet. 2012, 44, 821–824. [Google Scholar] [CrossRef]
- Turner, S.D. qqman: An R package for visualizing GWAS results using Q-Q and manhattan plots. bioRxiv 2018, 25, 731. [Google Scholar] [CrossRef]
- Liang, J.; Song, W.; Tromp, G.; Kolattukudy, P.E.; Fu, M. Genome-wide survey and expression profiling of CCCH-zinc finger family reveals a functional module in macrophage activation. PLoS ONE 2008, 8, e2880. [Google Scholar] [CrossRef]
- Yang, W.; Yang, L.; Wang, J.; Zhang, Y.; Li, S.; Yin, Q.; Suo, J.; Ma, R.; Ye, Y.; Cheng, H.; et al. Msi2-mediated MiR7a-1 processing repression promotes myogenesis. J. Cachexia Sarcopenia Muscle 2022, 13, 728–742. [Google Scholar] [CrossRef] [PubMed]
- Dempsey LA: Modulating RNF41. Nat. Immunol. 2023, 24, 1396. [CrossRef]
- Audano, M.; Pedretti, S.; Cermenati, G.; Brioschi, E.; Diaferia, G.R.; Ghisletti, S.; Cuomo, A.; Bonaldi, T.; Salerno, F.; Mora, M.; et al. Zc3h10 is a novel mitochondrial regulator. EMBO Rep. 2018, 19, e45531. [Google Scholar] [CrossRef]
- Buac, K.; Xu, M.; Cronin, J.; Weeraratna, A.T.; Hewitt, S.M.; Pavan, W.J. NRG1/ERBB3 signaling in melanocyte development and melanoma: Inhibition of differentiation and promotion of proliferation. Pigment. Cell Melanoma Res. 2009, 22, 773–784. [Google Scholar] [CrossRef] [PubMed]
- AlAbdi, L.; Alshammari, M.; Helaby, R.; Khan, A.O.; Alkuraya, F.S. PMEL is mutated in oculocutaneous albinism. Hum. Genet. 2023, 142, 139–144. [Google Scholar] [CrossRef] [PubMed]
- Malnic, B.; Godfrey, P.A.; Buck, L.B. The human olfactory receptor gene family. Proc. Natl. Acad. Sci. USA 2004, 101, 2584–2589. [Google Scholar] [CrossRef]
- Tian, C.; Gregersen, P.K.; Seldin, M.F. Accounting for ancestry: Population substructure and genome-wide association studies. Hum. Mol. Genet. 2008, 17, R143–R150. [Google Scholar] [CrossRef]
- Ma, S.; Shi, G. On rare variants in principal component analysis of population stratification. BMC Genet. 2020, 21, 34. [Google Scholar] [CrossRef]
- Gutiérrez-Gil, B.; Wiener, P.; Williams, J.L. Genetic effects on coat colour in cattle: Dilution of eumelanin and phaeomelanin pigments in an F2-Backcross Charolais x Holstein population. BMC Genet. 2007, 8, 56. [Google Scholar] [CrossRef]
- Pausch, H.; Wang, X.; Jung, S.; Krogmeier, D.; Edel, C.; Emmerling, R.; Götz, K.U.; Fries, R. Identification of QTL for UV-protective eye area pigmentation in cattle by progeny phenotyping and genome-wide association analysis. PLoS ONE 2012, 7, e36346. [Google Scholar] [CrossRef]
- Watt, B.; van Niel, G.; Raposo, G.; Marks, M.S. PMEL: A pigment cell-specific model for functional amyloid formation. Pigment. Cell Melanoma Res. 2013, 26, 300–315. [Google Scholar] [CrossRef] [PubMed]
- Maibam, U.; Hooda, O.K.; Sharma, P.S.; Upadhyay, R.C.; Mohanty, A.K. Differential level of oxidative stress markers in skin tissue of zebu and crossbreed cattle during thermal stress. Livest. Sci. 2018, 207, 45–50. [Google Scholar] [CrossRef]
- Mészáros, G.; Petautschnig, E.; Schwarzenbacher, H.; Sölkner, J. Genomic regions influencing coat color saturation and facial markings in Fleckvieh cattle. Anim. Genet. 2015, 46, 65–68. [Google Scholar] [CrossRef]
- Kühn, C.; Weikard, R. An investigation into the genetic background of coat colour dilution in a Charolais x German Holstein F2 resource population. Anim. Genet. 2007, 38, 109–113. [Google Scholar] [CrossRef]
- Schmutz, S.M.; Dreger, D.L. Interaction of MC1R and PMEL alleles on solid coat colors in Highland cattle. Anim. Genet. 2013, 44, 9–13. [Google Scholar] [CrossRef]
- Kimura, S.; Hatakeyama, T.; Koutaka, T.; Kubo, K.; Morita, S.; Eguchi, K.; Saitoh, K.; Yamauchi, K.; Imai, S.; Kashimura, A.; et al. PMEL p.Leu18del dilutes coat color of Kumamoto sub-breed of Japanese Brown cattle. BMC Genom. 2022, 23, 694. [Google Scholar] [CrossRef]
- Kerje, S.; Sharma, P.; Gunnarsson, U.; Kim, H.; Bagchi, S.; Fredriksson, R.; Schütz, K.; Jensen, P.; von Heijne, G.; Okimoto, R.; et al. The Dominant white, Dun and Smoky color variants in chicken are associated with insertion/deletion polymorphisms in the PMEL17 gene. Genetics 2004, 168, 1507–1518. [Google Scholar] [CrossRef] [PubMed]
- Clark, L.A.; Wahl, J.M.; Rees, C.A.; Murphy, K.E. Retrotransposon insertion in SILV is responsible for merle patterning of the domestic dog. Proc. Natl. Acad. Sci. USA 2006, 103, 1376–1381. [Google Scholar] [CrossRef]
- Brunberg, E.; Andersson, L.; Cothran, G.; Sandberg, K.; Mikko, S.; Lindgren, G. A missense mutation in PMEL17 is associated with the Silver coat color in the horse. BMC Genet. 2006, 7, 46. [Google Scholar] [CrossRef]
- Martínez-Esparza, M.; Jiménez-Cervantes, C.; Bennett, D.C.; Lozano, J.A.; Solano, F.; García-Borrón, J.C. The mouse silver locus encodes a single transcript truncated by the silver mutation. Mamm. Genome 1999, 10, 1168–1171. [Google Scholar] [CrossRef]
- Kotnik, B.; Petrič, N.; Zgur, S. Parameters affecting calving difficulty of Charolais and Limousin breed at the educational and research centre Logatec. Acta Agric. Slov. 2009, 94, 27–31. [Google Scholar]
- Parra-Bracamonte, G.M.; Lopez-Villalobos, N.; Sifuentes-Rincon, A.M.; Morris, S.; Lopez-Bustamante, L.A.; Meza-Garcia, L.A. Single and composite influence of growth-related candidate gene polymorphisms on additive genetic variation of birth weight in Charolais beef cattle. Trop. Anim. Health Prod. 2014, 46, 509–512. [Google Scholar] [CrossRef] [PubMed]
- Ro, Y.; Choi, W.; Kim, H.; Jang, H.; Lee, H.; Lee, Y.; Kim, D. Prepubertal growth and single nucleotide polymorphism analysis of the growth hormone gene of low birth weight Holstein calves. J. Vet. Sci. 2018, 19, 157–160. [Google Scholar] [CrossRef]
- Choudhary, V.; Kumar, P.; Bhattacharya, T.K.; Bhushan, B.; Sharma, A.; Shukla, A. DNA polymorphism of insulin-like growth factor-binding protein-3 gene and its association with birth weight and body weight in cattle. J. Anim. Breed. Genet. 2007, 124, 29–34. [Google Scholar] [CrossRef]
- Katiyatiya, C.L.F.; Muchenje, V. Hair coat characteristics and thermophysiological stress response of Nguni and Boran cows raised under hot environmental conditions. Int. J. Biometeorol. 2017, 61, 2183–2194. [Google Scholar] [CrossRef]
- Buel, G.R.; Walters, K.J. Can AlphaFold2 predict the impact of missense mutations on structure? Nat. Struct. Mol. Biol. 2022, 29, 1–2. [Google Scholar] [CrossRef] [PubMed]





| Coat Color | Number | Birth Weight (kg) | |
|---|---|---|---|
| black/white | 158 | 41.92 ± 3.48 | 41.95 ± 3.53 a |
| red/white | 5 | 42.80 ± 4.53 | |
| brown/white | 66 | 43.18 ± 4.32 | 43.54 ± 4.78 b |
| gray/white | 4 | 49.40 ± 7.11 | |
| Total/Mean | 233 | 42.47 ± 3.95 | |
| Traits | Chromosome | SNP Reference | Significant SNPs | Position | p Value | Candidate Genes | Gene Names | Login Number | Gene Function |
|---|---|---|---|---|---|---|---|---|---|
| Birth weight | 2 | rs43326288 | BovineHD0200019955 | 68801335 | 3.49 × 10−6 | - | - | - | - |
| 10 | rs110100681 | ARS-BFGL-NGS-89500 | 20284816 | 2.91 × 10−6 | - | - | - | - | |
| 11 | rs42712296 | BovineHD1100000027 | 188097 | 6.93 × 10−6 | ZC3H6 | Zinc finger CCCH-type containing 6 | XM_0598916151 | Activation of macrophages and cellular immune response [30]. | |
| 19 | rs109722507 | BovineHD1900002375 | 8344354 | 1.15 × 10−7 | MSI2 | Musashi RNA binding protein 2 | NM_001206656.2 | Promote the proliferation and differentiation of muscle cells [31]. | |
| Coat color | 5 | rs137169378 | BovineHD0500016234 | 57113040 | 1.01 × 10−11 | RNF41 | Ring finger protein 41 | NM_001046525.1 | Dampen inflammatory responses and promote tissue repair [32]. |
| 5 | rs110022687 | BovineHD0500016256 | 57201800 | 1.01 × 10−11 | ZC3H10 | Zinc finger CCCH-type containing 10 | NM_001097993.1 | Regulation of mitochondrial function and promotion of myoblast differentiation [33]. | |
| 5 | rs136002689 | BovineHD0500016261 | 57230765 | 1.01 × 10−11 | ERBB3 | Erb-b2 receptor tyrosine kinase 3 | NM_001103105.1 | Inhibits melanocyte maturation [34]. | |
| 5 | - | Hypotrichosis_PMel17 | 57345303 | 2.22 × 10−18 | PMEL | Premelanosome protein | XM_005206504.5 | Affects melanosome maturation and melanin deposition [35]. | |
| 5 | - | PMEL_1 | 57345305 | 2.22 × 10−18 | |||||
| 5 | rs134930689 | BovineHD0500016585 | 58599028 | 7.01 × 10−13 | - | - | - | - | |
| 5 | rs383170073 | 5-59657291-A-C-rs383170073 | 59305325 | 3.13 × 10−10 | OR10A7 | Olfactory receptor family 10 subfamily A member 7 | NM_001389764.1 | Responsible for recognition and G protein-mediated odor signaling [36]. | |
| 5 | rs109924971 | BovineHD0500016696 | 59306323 | 3.13 × 10−10 | - | - | - | - | |
| 5 | rs109146332 | BovineHD0500016831 | 59851727 | 1.18 × 10−18 | - | - | - | - |
| Coat Color | SNP | Genotypes | Number | Birth Weight (kg) |
|---|---|---|---|---|
| black/white | Hypotrichosis_PMel17 | GG | 158 | 41.92 ± 3.48 |
| CG | 0 | 0 | ||
| PMEL_1 | AA | 158 | 41.92 ± 3.48 | |
| CA | 0 | 0 | ||
| red/white | Hypotrichosis_PMel17 | GG | 4 | 42.50 ± 5.25 |
| CG | 1 | 44.00 ± 0.00 | ||
| PMEL_1 | AA | 4 | 42.50 ± 5.25 | |
| CA | 1 | 44.00 ± 0.00 | ||
| brown/white | Hypotrichosis_PMel17 | GG | 32 | 42.58 ± 3.09 a |
| CG | 34 | 43.82 ± 5.25 a | ||
| PMEL_1 | AA | 32 | 42.58 ± 3.09 a | |
| CA | 34 | 43.82 ± 5.25 a | ||
| gray/white | Hypotrichosis_PMel17 | GG | 0 | 0 |
| CG | 4 | 49.40 ± 7.11 | ||
| PMEL_1 | AA | 0 | 0 | |
| CA | 4 | 49.40 ± 7.11 |
Disclaimer/Publisher’s Note: The statements, opinions and data contained in all publications are solely those of the individual author(s) and contributor(s) and not of MDPI and/or the editor(s). MDPI and/or the editor(s) disclaim responsibility for any injury to people or property resulting from any ideas, methods, instructions or products referred to in the content. |
© 2023 by the authors. Licensee MDPI, Basel, Switzerland. This article is an open access article distributed under the terms and conditions of the Creative Commons Attribution (CC BY) license (https://creativecommons.org/licenses/by/4.0/).
Share and Cite
Wang, J.; Fan, T.; Du, Z.; Xu, L.; Chen, Y.; Zhang, L.; Gao, H.; Li, J.; Ma, Y.; Gao, X. Genome-Wide Association Analysis Identifies the PMEL Gene Affecting Coat Color and Birth Weight in Simmental × Holstein. Animals 2023, 13, 3821. https://doi.org/10.3390/ani13243821
Wang J, Fan T, Du Z, Xu L, Chen Y, Zhang L, Gao H, Li J, Ma Y, Gao X. Genome-Wide Association Analysis Identifies the PMEL Gene Affecting Coat Color and Birth Weight in Simmental × Holstein. Animals. 2023; 13(24):3821. https://doi.org/10.3390/ani13243821
Chicago/Turabian StyleWang, Jing, Tingting Fan, Zhenwei Du, Lingyang Xu, Yan Chen, Lupei Zhang, Huijiang Gao, Junya Li, Yi Ma, and Xue Gao. 2023. "Genome-Wide Association Analysis Identifies the PMEL Gene Affecting Coat Color and Birth Weight in Simmental × Holstein" Animals 13, no. 24: 3821. https://doi.org/10.3390/ani13243821
APA StyleWang, J., Fan, T., Du, Z., Xu, L., Chen, Y., Zhang, L., Gao, H., Li, J., Ma, Y., & Gao, X. (2023). Genome-Wide Association Analysis Identifies the PMEL Gene Affecting Coat Color and Birth Weight in Simmental × Holstein. Animals, 13(24), 3821. https://doi.org/10.3390/ani13243821

